INTRODUCCIÓN
Alrededor de 2,9 mil millones de llantas se produjeron en 2017, para atender la demanda mundial (Machin et al. 2017). La Agencia de Protección Ambiental de Estados Unidos (Environmental Protection Agency - EPA, por sus siglas en idioma inglés, 2010) menciona que tan solo en este país, en el 2003, había 275 millones de llantas acumuladas en apilamientos, además de los 290 millones más que se generaron. En México, la Secretaría de Medio Ambiente y Recursos Naturales (SEMARNAT) calcula que, anualmente, se generan cerca de 40 millones de llantas de desecho (EPA, 2010), razón suficiente para que exista un impulso global hacia la búsqueda de alternativas para el manejo efectivo de las mismas, una vez hayan cumplido su vida útil.
Son consideradas llantas usadas aquellas de todos los diámetros que han dejado de ser útiles, por haber perdido o disminuido las funciones principales, para las que fueron diseñadas; de igual forma, se categorizan, como residuos, las llantas incompletas o pedazos de ellas, que ya no tengan utilidad o que fueron reemplazadas, por considerarse inseguras o de desecho (SEMARNAT, 2012). Según cada país, puede representar un sinónimo de palabras, como neumático, rueda o caucho, entre otros, además de la alta variedad desarrollada por los diversos avances tecnológicos (Consejo de la Unión Europea, 2020). Para el caso de estudio, se empleará el término “llanta”, adoptado por la normatividad colombiana (Resolución 1326 de 2017).
La eliminación de este residuo es, actualmente, un desafío, considerando que su disposición en rellenos sanitarios ya no está permitida en algunos países (Oboiriena & North, 2017), incluyendo Colombia (Resolución 1326 de 2017); dentro de algunas razones, por su alta resistencia biológica y química a la degradación, por tanto, el impacto negativo que generan al medio ambiente (Oboiriena & North, 2017; Casolco et al. 2013).
Aragón & Espitia (2017) mencionan que, por año, en Bogotá (Colombia), aproximadamente, 750 mil llantas desechadas terminan dispuestas en andenes, parques, humedales o residencias, lo que, además de las implicaciones estéticas y paisajísticas, generan otro tipo de problemas ambientales, relacionados con la proliferación de mosquitos y plagas y vectores de enfermedades, por el estancamiento de aguas en su interior. De igual forma, son quemadas a cielo abierto para obtener el acero, generando gran cantidad de partículas de monóxido de carbono (CO), óxidos de azufre (SOx), óxidos de nitrógeno (NOx) y compuestos orgánicos volátiles (COVs) (Botero et al. 2008).
La EPA (2010) reporta que la quema de llantas emite tóxicos, como ácidos sulfúrico y nítrico, que afectan la salud humana o pueden llegar a generar contaminantes secundarios, por interacción con otras sustancias en la atmósfera. En otros casos, Aragón & Espitia (2017) mencionan que, en Bogotá, las llantas son destinadas en un 6,2%, para uso artesanal; 19,5%, para reencauche; 2,3%, como materia prima para la producción de pavimento asfáltico, caucho y alfombras y un 71,9%, para el aprovechamiento energético en hornos cementeros y termoeléctricas, requiriendo altos controles operacionales en sus chimeneas.
Es así como se evidencia la necesidad de implementar acciones tendientes a proteger el ambiente y la salud humana, por lo cual, el entonces Ministerio de Ambiente, Vivienda y Desarrollo Territorial (MAVDT), actualmente Ministerio de Ambiente y Desarrollo Sostenible (MADS), expidió la Resolución 1457 de 2010, por la cual se establecieron los Sistemas de Recolección Selectiva (SRS) y Gestión Ambiental de Llantas Usadas y se adoptaron otras disposiciones, la cual, una vez realizada su evaluación técnica, fue derogada por la Resolución 1326 de 2017 para avanzar en el fortalecimiento de dichos sistemas (Resolución 1326 de 2017).
En este contexto, se realizó un estudio sobre la gestión de llantas usadas en Tunja, Boyacá (Colombia), con el fin de indagar aspectos relacionados con su disposición y manejo en la ciudad, al igual que sobre el conocimiento de programas posconsumo, aprovechamiento y cumplimiento de la normatividad ambiental vigente.
MATERIALES Y MÉTODOS
Área de estudio. El estudio, se realizó en el municipio de Tunja, Boyacá (Colombia), ubicado a una altura promedio de 2.822m s.n.m., con coordenadas 5°32’25” N y 73°21’41” O y una extensión aproximada de 121.49km². Para la identificación de la población objeto de estudio, se consultó a la Cámara de Comercio del municipio, acerca de los establecimientos legalmente constituidos que realizaran actividades relacionadas con la generación de este tipo de residuos, tales como servitecas, talleres de mecánica o montallantas.
Recolección de datos. Para la recolección de información primaria, se visitaron 34 establecimientos, correspondientes al 91,8% del total identificados, teniendo en cuenta que, a 29 de marzo de 2016, se encontraban 37 establecimientos registrados ante la Cámara de Comercio, de los cuales, 3 no participaron en el estudio. En cada establecimiento, se aplicó una encuesta estructurada con aspectos relacionados con las actividades que realizan: generación, disposición y manejo de llantas usadas y conocimiento de programas posconsumo y puntos de recolección, entre otros aspectos. De igual forma, se efectuó la consulta de fuentes secundarias relacionadas con la generación y manejo de llantas usadas, en los ámbitos nacional e internacional.
RESULTADOS Y DISCUSIÓN
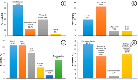
Actividades que realizan los establecimientos. Con referencia a las actividades económicas que realizan los establecimientos evaluados, se registró en mayor porcentaje los montallantas, seguido de entidades dedicadas a la venta de llantas (Figura 1A); estos resultados son similares a los reportados por Fonseca & Mesa (2017), quienes también encontraron que, en esta ciudad, los montallantas son los establecimientos que, en mayor proporción, se dedican al desarrollo de actividades relacionadas con la generación de llantas usadas. Al respecto, la Resolución 1326 de 2017 establece que “los montallantas deberán entregar las llantas usadas en los puntos de recolección, o mecanismos equivalentes de recolección definidos por los SRS y Gestión Ambiental de llantas Usadas”, por lo tanto, es importante involucrar activamente a estos establecimientos, como determinantes en la cadena de gestión de este residuo en el municipio.

Figura 1 Resultados obtenidos de la aplicación de encuestas. a) Actividades económicas a las que se dedican los establecimientos; b) Promedio de llantas usadas generadas mensualmente en los establecimientos; c) Tipo de llantas que generan los establecimientos; d) Disposición de llantas usadas.
Generación de llantas usadas. De acuerdo con la información suministrada en cuanto a la generación de llantas usadas mensualmente, el porcentaje más alto se presentó entre 20 y 40 unidades y los más bajos, se registran para las opciones entre 40 y 60 o más de 60 unidades (Figura 1B). En este caso, esto indicaría un aproximado de 360 llantas anualmente por establecimiento, sin considerar los sitios no registrados ante la Cámara de Comercio de la ciudad, que no fueron contemplados en este estudio. Con referencia al tipo de llanta generada, los porcentajes más altos se obtuvieron para los rines 13 y 14, seguido de llantas de Bus y, en menores cantidades, de camión y camioneta (Figura 1C).
Las llantas de rines 13 y 14 son las que mayormente se generan, debido a que son las utilizadas para automóviles (Espinoza et al. 2020). Asimismo, el Decreto 0014 de 2019 emitido por la Alcaldía de Tunja, menciona un aumento en el registro del Parque automotor de la ciudad, donde la matrícula de vehículos de servicio particular alcanzó una tasa de crecimiento aproximada del 30%, entre el 2014 al 2017 (Decreto 0014, 2019), lo cual, de igual forma, está relacionado con una mayor generación de llantas usadas; sin embargo, como mencionan Fonseca & Mesa (2017), Tunja no cuenta con fuentes de información e indicadores exactos que establezcan la cantidad y tipo de llantas usadas dispuestas en sitios inadecuados.
Esta problemática no solo se evidencia en este municipio; la producción de llantas usadas registra un volumen creciente a nivel mundial (Casolco et al. 2013; Acosta et al. 2013; Oboiriena & North, 2017; Song et al. 2018). En el contexto nacional, el Ministerio de Ambiente, Vivienda y Desarrollo Territorial (Resolución 1457, 2010), actualmente MADS, estimó que en Colombia se generan 61.000ton/año y en ciudades principales, como Bogotá, la apreciación es de 2,5 millones anuales (Aragón & Espitia, 2017) o en regiones, como el Valle de Aburrá (Antioquia), se reportó la generación de aproximadamente 1,3 millones, en 2007 (Botero et al. 2008).
A nivel internacional, la EPA menciona que durante las primeras etapas de la gestión de este residuo en Estados Unidos, se calculaba la existencia de más de 1.000 millones de llantas acumuladas en todo el territorio y en México, la SEMARNAT calculó la generación de, aproximadamente, 40 millones anuales (EPA, 2010), donde el cúmulo de llantas más grande se registró en 2008, en Ciudad Juárez, con más de 4 millones, por lo cual, manejar adecuadamente este residuo, se ha convertido en un desafío global (Song et al. 2018).
Disposición y manejo de las llantas usadas. De acuerdo con la información suministrada en cuanto a la disposición de llantas usadas, se encontró que la mayoría de establecimientos las entregan al cliente, seguido de la entrega a entidades para su reúso o reciclaje y un bajo porcentaje las almacena en su establecimiento (Figura 1D). Al respecto, la Autoridad Nacional de Licencias Ambientales, ANLA (2021), resalta que se podrán emplear instrumentos de gestión para promover y lograr la devolución de las llantas usadas por parte de los consumidores, como, por ejemplo, descuentos en llantas nuevas por la devolución de las usadas; publicidad impresa; adhesivos en llantas nuevas o en facturas de venta; campañas educativas, que se podrían implementar en los establecimientos del municipio, para fomentar su recolección selectiva.
En este sentido, el informe de Gestión de la Alcaldía Mayor de Tunja (2019a) menciona que durante el periodo 2016 a 2019, se realizaron 6 jornadas de recolección de residuos especiales, que permitieron colectar 4,726 unidades de llantas y aunque estas iniciativas son positivas en la cadena de gestión, no contribuyen en la solución de la problemática relacionada con el inadecuado manejo y disposición de las llantas usadas, generadas en el municipio. De igual manera, no se cuenta con reportes o informes públicos acerca de la disposición que se está realizando a las llantas recolectadas, que permitan identificar posibilidades de gestión ambiental, de acuerdo con su caracterización u opciones para su manejo, disposición o aprovechamiento.
En la actualidad, en Tunja, capital del departamento, no se tienen gestores de llantas usadas ubicados en la misma ciudad, lo que limita que se promueva activamente su adecuada disposición. Al respecto, la Corporación Autónoma Regional de Boyacá (Corpoboyacá, 2019), a pesar de tener 87 municipios del departamento bajo su jurisdicción, solo reporta dos empresas registradas como gestores: la “Renovadora de llantas Renoboy S.A”, que realiza actividades de reencauche y “Futuro Ambiental R&R S.A.S.”, dedicada al reciclaje de llantas, ubicadas en el municipio de Duitama (Boyacá) y, sobre las cuales, los distribuidores y los comercializadores no tienen conocimiento.
Conocimiento de programas posconsumo y puntos de recolección. Al indagar sobre el conocimiento de programas posconsumo, el 52,9% indicó conocerlos; al respecto, la Resolución 1326 de 2017, establece, como obligaciones de los distribuidores y los comercializadores, formar parte de los SRS, aceptar la devolución sin cargos para el consumidor, informar sobre los puntos de recolección, disponer de un espacio para la ubicación de estos puntos dentro de sus instalaciones y garantizar la seguridad de los mismos y diligenciar documentos para el control de las llantas que se recojan, entre otros aspectos, ante lo cual, se evidenció desconocimiento en los establecimientos evaluados y, por ende, inadecuada aplicación de la norma.
Con referencia a los puntos de recolección, solo el 58,8% manifestó identificarlos, aspecto que se debe fortalecer, considerando su importancia en la gestión del residuo; en este sentido, es significativo resaltar que los productores de las llantas que se comercializan en el país tienen la obligación de poner a disposición del público puntos de recolección que sean accesibles al consumidor, teniendo en cuenta, entre otros aspectos, el mercado y la densidad de la población, así como involucrar a los distribuidores y los comercializadores (Resolución 1326 de 2017). Al respecto, la EPA (2010) menciona que los establecimientos que se dedican a vender llantas al menudeo, pueden desempeñar un papel clave, siendo entes que faciliten el acceso a sitios de acopio o suministren información pertinente; asimismo, destaca la importancia de la difusión mediática, resaltando que la publicidad permite que la ciudadanía entienda mejor los programas propuestos y participe de manera más activa (EPA, 2010).
Por otra parte, en esta investigación, se identificó la necesidad no solamente de fortalecer la divulgación de los programas posconsumo, con fines de cumplir con la recolección selectiva en los establecimientos, sino también gestionar el fomento para el aprovechamiento de las llantas usadas en la ciudad, dado que no se cuenta con alternativas para la recuperación de materiales por medio de la reutilización, reciclaje o valorización energética, con propósitos de reincorporación en el ciclo económico y productivo, de acuerdo con lo reportado por parte de los establecimientos, consulta en la Cámara de Comercio y autoridades ambientales.
Sobre este aspecto, la gestión pública de llantas usadas en Bogotá modificó la conducta de los productores, quienes comenzaron a presentar los SRS y gestionar ambientalmente las llantas usadas, actividad que, antes del establecimiento de la política, no era realizada. De igual forma, se generaron cambios en los comercializadores y los distribuidores de llantas, así como en constructores de obras públicas, quienes, a partir de la expedición de la Resolución 6981 de 2011, empezaron a utilizar el Grano de Caucho Reciclado (GCR) en las obras a desarrollar, cumpliendo con valores superiores a las metas establecidas por el Distrito.
En el contexto nacional, se conocen empresas, como Rueda Verde, siendo una de las principales entidades que desarrolla un sistema sostenible de recolección selectiva y gestión ambiental de llantas usadas, quienes, a la fecha, cuentan con cobertura en 20 departamentos, 237 puntos de recolección y 1.382 usuarios institucionales o empresariales, entidad que ha recogido y gestionado más de 6’500.000 llantas, en menos de 4 años (Rueda Verde, 2017). Asimismo, Mundo Limpio es una organización ubicada en Rionegro (Antioquia), que presta sus servicios en todo el territorio nacional, con un enfoque hacia el aprovechamiento responsable de las llantas en desuso, de las cuales, se derivan subproductos, como caucho, acero y fibra, actividad, por la cual, gestionaron 9.000 toneladas de llantas usadas, en 2017 (Mundo Limpio, 2018).
De igual forma, la empresa Reciclair, ubicada en Mosquera (Cundinamarca), fomenta la cultura de reciclaje y aprovechamiento de llantas, para producir gránulos de caucho, para uso en ingeniería civil, superficies de asfalto/carreteras, zonas de recreación, campos de atletismo y más (Reciclair, 2014), por mencionar algunas de las empresas dedicadas al manejo y aprovechamiento de este residuo en el contexto nacional, con las cuales, se pueden suscribir acuerdos o motivar el acercamiento, como apoyo al manejo adecuado de las llantas desechadas en el municipio de Tunja.
Percepción acerca del aprovechamiento. Al indagar si considera que el reciclaje de llantas contribuye al cuidado del medio ambiente, el 97,1% indicó que sí, donde un 70,6% señala que favorece al mejoramiento del paisaje, eliminación de emisiones atmosféricas o disminución de riesgo de incendios; al respecto, existen múltiples investigaciones que promueven alternativas de aprovechamiento de llantas usadas, una vez han sido colectadas (Song et al. 2018; Oboiriena & North, 2017; Blanco et al. 2017; Peláez et al. 2017; Ospina & Villada, 2011).
Ortíz-Rodríguez et al. (2017) refieren que las opciones más posibles para la gestión y aprovechamiento de este residuo en Colombia son la reutilización, el reencauche, la incineración y la trituración, para generación de nuevos productos. Peláez et al. (2017) indican que para medianas y pequeñas empresas uno de los principales campos potenciales es utilizarlos como modificadores de pavimentos y concretos o la posibilidad de usarlos en sistemas de adsorción de contaminantes en medios acuosos, techos ecológicos y fabricación de celdas de combustible para generación de energía, aún en fase de investigación.
Ospina & Villada (2011) revisaron los métodos para caracterizar combustibles líquidos y gaseosos obtenidos de llantas en desuso; Marín (2012) indicó que pueden ser usadas para la producción de carbón activado de buena calidad, para remoción de contaminantes en el agua; Acosta et al. (2013) indican que la pirólisis se ha planteado como uno de los procesos tecnológicos apropiados para el aprovechamiento y la valorización del caucho de llantas usadas y Mondelo et al. (2014) manifiestan que algunas de las opciones para su manejo son la regeneración del caucho, uso energético o fabricación de nuevos materiales.
En el contexto internacional, Dobrotă et al. (2020) proponen un método para mejorar las marcas en las llantas, de tal forma que se especifiquen los tipos de materiales empleados para su fabricación, con el fin de realizar una separación rápida de los mismos y simplificar su reciclaje; Duda & Siwowski (2020) evaluaron la presión sobre fardos rellenos de llantas; Gajendra et al. (2020) investigaron su uso como reemplazo parcial de agregados finos en mezclas de concreto en diferentes porcentajes; Pertunia et al. (2020) sintetizaron un compuesto magnético de quitosano y carbón activado a partir de llantas recicladas, como material adsorbente para eliminación de parabenos por adsorción en soluciones modelo y muestras de aguas residuales reales.
Pinto et al. (2020) realizaron la licuefacción directa de carbón y residuos de glicerol, polietileno y aceite de pirólisis de llantas de desecho, para disminuir la producción de hidrocarburos con impacto negativo al medio ambiente, donde encontraron que el aceite de pirólisis demostró ser un buen disolvente aportante de hidrógeno; Ren et al. (2020) estudiaron la generación de carbón derivado de llantas de desecho, a través de procesos de pirolisis y tratamientos de activación y Rodovalho et al. (2020) identificaron una mezcla litológica aplicable a carreteras que usan materiales gruesos en minas a cielo abierto, con el objetivo de aumentar la eficiencia de las llantas y reducir la generación de caucho de desecho. Aquí se destacan algunos, de los múltiples estudios que se han realizado para fomentar el aprovechamiento de este residuo en el contexto nacional y mundial.
Por otra parte, en este estudio, se encontró que las alternativas que identifican los establecimientos, como viables para el manejo de llantas usadas en la ciudad de Tunja, en mayor porcentaje, son el uso asfáltico, combustible, uso para grama sintética y fabricación de otros productos, que requieran caucho, respectivamente (Figura 2). En cuanto al potencial de mejora en su gestión, a través de la implementación de una planta de reciclaje en Tunja, el 88,2% indicó que realizaría la entrega para disposición, a nivel local. Finalmente, frente al indagar si estaría dispuesto a comprar productos que incorporen dentro de sus materiales llanta recicladas, el 82,4% indicó que sí y solo un 17,6%, no adquiriría estos productos.
Con lo anterior, se identifica la necesidad de realizar estudios de caracterización de las llantas usadas que se generan en la ciudad, con el fin de analizar alternativas, para su aprovechamiento y potenciales estrategias de manejo, así como estudios de viabilidad (sociales, económicos y ambientales), asociados a la recolección, almacenamiento y entrega a gestores o posibilidades de implementación de desarrollo tecnológico para el aprovechamiento del caucho, uso energético o fabricación de nuevos productos, entre otras opciones, que ya se encuentran disponibles en el país.
Otras consideraciones y recomendaciones generales. La disminución de la problemática generada por las llantas de desecho representa un reto técnico, económico, político y ambiental; Sebola et al. (2018) mencionan que, aunque las tecnologías e innovaciones para recuperar llantas al final de su vida útil están bien establecidas, como se mencionó en este escrito, el reciclaje de llantas de desecho no tiene éxito, a nivel mundial. Frente a esta problemática, a través del Programa Frontera 2012, que tuvo como sucesor al Programa Frontera 2020, SEMARNAT y EPA, han promovido alianzas con la industria, círculos académicos y todos los niveles de gobierno, producto del cual, han logrado el saneamiento de millones de llantas desechadas y con base en las experiencias, resaltan la importancia de informar y coordinar a estos grupos para lograr el éxito de los programas de recolección y proyectos de saneamiento, donde se requiere cooperación y alianzas (EPA, 2010), lo que, para el contexto colombiano, requiere de un mayor seguimiento a los SRS por parte de los diferentes actores involucrados, especialmente, de los productores de las llantas que se comercializan el país.
Park et al. (2018) mencionan que siguiendo el ejemplo de los países de la OCDE, a partir del 2007, Colombia fue uno de los primeros países en América Latina en adoptar la responsabilidad extendida del productor (EPR por sus siglas en idioma inglés Extended Producer Responsibility), para fomentar el manejo adecuado de varios productos al final de su vida útil, dentro de ellos, las llantas usadas; sin embargo, resaltan que no hay investigaciones exhaustivas publicadas acerca de cómo se ha aplicado esta estrategia en el país, por lo tanto, esta investigación contribuye a identificar cómo se está realizando, en la actualidad, la gestión de este residuo, en el municipio de Tunja. Asimismo, con base en el análisis de la situación actual en Colombia y las lecciones de otros países, Park et al. (2018) sugieren que la efectividad de la REP requeriría el establecimiento de metas sólidas, pero factibles, permitiendo, al mismo tiempo, flexibilidad para cumplirlas.
Por su parte, la EPA (2010) resalta la importancia de la implementación de mercados de consumo ecológicamente aceptables y económicamente viables para las llantas de desecho, a fin de incrementar el reciclaje y la reutilización; abatir los apilamientos, buscando financiamiento e invirtiendo en centros de acopio y transferencia temporales, para facilitar su reciclaje y reutilización y apoyar programas de difusión educativa, dirigidos a diversos grupos de interés.
Teniendo en cuenta la problemática del manejo de llantas en Tailandia, Meunier et al. (2013) plantearon varias recomendaciones tecnológicas, políticas, institucionales, para partes interesadas y mecanismos de financiamiento, donde se resaltan algunas, que podrían ser consideradas, tanto para el municipio de Tunja como para el contexto nacional, tales como: desarrollar empresas incubadoras dedicadas a la gestión sostenible de llantas de desecho; establecer sanciones para las empresas que no cumplan con las políticas de gestión; incentivos para las empresas con prácticas comerciales respetuosas con el ambiente; incrementar la cooperación entre el sector privado y las instituciones reguladoras; ampliar la participación pública mediante el uso de campañas educativas e investigar más la información sobre las opiniones públicas y aceptación social de los sistemas de gestión de llantas desechadas, las cuales, abren muchas posibilidades de investigación y gestión, tanto en el contexto local como nacional.
Sebola et al. (2018) indican que las tasas de reciclaje de llantas en la Unión Europea, se acercan al 100%, resaltando que la Directiva de vehículos, al final de su vida útil (End of Life Vehicle Directive 2000/53/EC), permite a los usuarios de automóviles contribuir en la gestión de llantas desechadas; de igual forma, resaltan que el procesamiento de estos residuos es una oportunidad para la participación de la comunidad, la generación de empleo y nuevos sistemas industriales, entre otros aspectos, que podrían ser implementados para mejorar los sistemas de gestión en otros países, incluyendo Colombia.
Teniendo en cuenta los principales resultados, se concluye que la mayoría de establecimientos evaluados, en este estudio, reconocen las llantas usadas como un residuo de manejo especial, pero, a pesar de ello, la mayoría las entrega a los clientes y desconocen las obligaciones de los distribuidores y los comercializadores, relacionados con los SRS; además, no tienen conocimiento sobre gestores especiales, ni tecnologías para su aprovechamiento, aplicadas en otras regiones de Colombia. Acerca de las posibilidades para mejorar las acciones de gestión que se desarrollan actualmente, más de tres cuartas partes de los establecimientos, objeto de estudio, consideran importante el reciclaje de la llanta y están dispuestos a apoyar iniciativas de autoridades ambientales para vincularse a la recuperación de este residuo, donde es significativo considerar que una alternativa de mejora se puede proyectar a través de la destinación de una parte del pago de impuestos, para el financiamiento de la recolección selectiva.
De manera general, para el avance en la gestión de llantas usadas en Tunja, se recomienda el desarrollo de alternativas, de manera articulada, entre los diferentes actores directamente involucrados, como productores, gestores, distribuidores y comercializadores, consumidores y autoridades ambientales, regionales y municipales (Alcaldía Mayor de Tunja y Corporación Autónoma Regional - Corpoboyacá) e invitar a las instituciones académicas, de tal forma que se fomente su adecuado manejo, se faciliten los procedimientos para su devolución y se promueva, de manera eficiente, la recolección selectiva y aprovechamiento, considerando las opciones mencionadas a lo largo de este escrito.















