Services on Demand
Journal
Article
Indicators
-
Cited by SciELO -
Access statistics
Related links
-
Cited by Google -
Similars in
SciELO -
Similars in Google
Share
Estudios Gerenciales
Print version ISSN 0123-5923
estud.gerenc. vol.21 no.97 Cali Oct./Dec. 2005
MIGRACIÓN LABORAL INTERNACIONAL, REMESAS Y CRECIMIENTO ECONÓMICO
MÓNICA MARÍA SINISTERRA RODRÍGUEZ
Economista de la Universidad del Valle; especialización en Gerencia de Negocios Internacionales de la Universidad Icesi, profesora del Departamento de Economía de la Universidad del Cauca. Líneas de investigación: Teoría de juegos, mercados, negociación y contratos, Negociación y comercio internacional, Señalización, Instituciones. msinisterra@unicauca.edu.co
Fecha de recepción: 25-05-2005 Fecha de aceptación: 05-09-2005
RESUMEN
El artículo pretende mostrar las principales causas y efectos económicos de la migración laboral internacional. Partiendo de la teoría neoclásica del comercio internacional muestra como la movilidad internacional de trabajo genera crecimiento económico en el país destino al aumentar la cantidad del factor intensivo en el bien que exporta (efecto Rybczynski), y en el país origen, al aumentar los ingresos de las familias y por tanto el consumo, y/o al aumentar la inversión productiva utilizando las remesas repatriadas. Teniendo en cuenta la relevancia de las remesas para el desarrollo económico, es necesario a partir de la política pública reducir los actuales costos de transacción, entre otras barreras que impiden el mayor flujo de remesas.
PALABRAS CLAVE
Migración internacional; movilidad del trabajo en el comercio internacional; remesas; efectos bienestar país origen; crecimiento y desarrollo.
Clasificación: JEL: F22; F39; J61; D60; O15
ABSTRACT
The article seeks to show the main causes and economic effects of the international labor migration. Leaving of the neoclassical theory of the international trade shows as the international mobility of labor generates economic growth in the country destination when increasing the quantity of the intensive factor in the good that it exports (effect Rybczynski) and in the source country, when increasing the income of the families and therefore the consumption, and/or when increasing the productive investment using the repatriated remittances. Keeping in mind the relevance of the remittances for the economic development, is necessary starting from the public political to reduce the current transaction costs, among other barriers that impede a major flow of remittances.
KEY WORDS
International migration; international trade Labor Mobility international trade; remittances; welfare analysis; growth and development.
Classification: JEL: H52, I28
1. INTRODUCCIÓN
El siguiente documento busca analizar uno de los temas más importantes en el ámbito internacional en la actualidad: el papel de las transferencias económicas o "remesas" de los emigrantes en el desarrollo económico de las economías expulsoras.
Hasta ahora se ha prestado gran atención a los efectos en el país receptor o de destino del flujo de mano de obra barata en el comercio internacional de bienes y servicios, y en el desempeño macroeconómico de las economías. Sin embargo, es importante mostrar el efecto de la migración y las remesas en los países expulsores o los países de origen, que son los que experimentan la fuga de cerebros o capital humano, la desmembración familiar y la afluencia de transferencias o envíos de los emigrantes a sus familiares, teniendo como objetivo elaborar políticas públicas más efectivas.
Algunos estudios (Borjas, 1996; León- Ledesma y Piracha, 2001; Koc y Onan, 2001; Faini, 2002; Adams y Page, 2003; Cox y Ureta, 2003) han avanzado en este aspecto al estudiar las causas y el impacto de la migración internacional y las remesas, sobre la pobreza y otras condiciones de desarrollo en los países más pobres del mundo. No obstante, se debe profundizar en el análisis con miras a resolver la controversia existente acerca de si la migración laboral resulta en una agilización del proceso de desarrollo a través del uso de las remesas que alivian la pobreza al ser utilizadas como fuente de financiación externa para el desarrollo, o si por el contrario constituye una mayor dependencia de los países de las remesas de sus emigrantes y en una mayor desigualdad.
De acuerdo con los principales objetivos de política económica,1 la política pública laboral ha estado dirigida hacia la mejora de los incentivos económicos de la estructura productiva de los países, esto es, la flexibilización laboral y el aumento de la competencia en los mercados de trabajo. No obstante, parece que estas políticas no mejoran las condiciones socioeconómicas de la mayoría de la población, y más bien se han convertido en condicionantes de su movilidad horizontal.
Una de las causas más válidas de la migración laboral es la diferencia de salarios entre regiones o países. "El movimiento internacional de trabajo está asociado a diferenciales en las remuneraciones de este factor entre países, lo cual implica que la mano de obra se desplaza hacia aquellas naciones que brindan la mejor remuneración" (Gandolfo, 1998: 127-131).
Autores como Faini (Faini, 2002) demuestran empíricamente que el vínculo entre la migración de trabajadores calificados, la educación y las remesas es pequeño. Su documento muestra dos hipótesis básicas. Primero, un volumen mayor de emigrantes calificados está asociado con un flujo menor de remesas. Segundo, existe poca evidencia que sugiera que aumentar los niveles de calificación de los emigrantes tenga un efecto positivo en los logros educativos en el país de origen, y encuentra poco soporte sobre aquella visión optimista proveniente de los países destino o receptores que afirma que la migración altamente calificada es benéfica para los países de origen: "Nuestros resultados se adicionan por consiguiente a la preocupación que el proceso de globalización puede indudablemente castigar a los países relativamente pobres" (Faini, 2002:11). De aquí que un mejor resultado podrá obtenerse para estos países si la migración es temporal relacionada con capacitación en el país de destino.
Este artículo se propone analizar, en particular, el efecto de las transferencias o remesas de los emigrantes sobre el bienestar de sus países de origen, buscando mostrar el papel de la migración en el crecimiento económico y el potencial que tienen las remesas como mecanismo dinamizador, una vez canalizadas adecuadamente hacia el sector productivo.
Según cifras oficiales del Instituto Mundial de Cajas de Ahorro (IMCA, 2003), cerca de cien millones de emigrantes mantienen anualmente a casi quinientos millones de personas a través de envíos de dinero por valor de 100.000 millones de dólares, cifras que se duplican cuando se tienen en cuenta los canales no oficiales. Es decir, estas millonarias cifras están convirtiendo lo que parecía un problema social de unos pocos, en un problema global. Oficialmente se habla de que las remesas constituyen más del doble de los flujos oficiales netos (menos de 30.000 millones) y son la segunda fuente de financiación externa para los países en desarrollo después de la IED, con cifras alrededor de 133.000 millones de dólares.
Como se mostrará más adelante, esta migración significa un incremento de los salarios reales para aquellos dejados atrás en los países de origen, una reducción del desempleo y un mayor ingreso nacional, además del incremento en la productividad de los trabajadores que retornan y el aumento del consumo y la inversión con la utilización de las remesas y envíos.
Hechos recientes de la economía india muestran que miles de emigrantes de este país, que dejaron su tierra natal para irse a países como Estados Unidos como expertos en ramas de la informática, telecomunicaciones y desarrollo de software, a trabajar en condiciones laborales totalmente diferentes de las de su país de origen: altos salarios en empresas relativamente jóvenes que brindan cierto grado de movilidad, muchas de ellas ubicadas en la costa este de Estados Unidos, no sólo promovieron el crecimiento mundial de estas industrias sino que además impulsaron el crecimiento económico reciente de la India.
El fenómeno ha estado acompañado, además, del traslado de muchas empresas de servicios y de software a la India debido a los bajos costos laborales y del retorno de indios a su país debido en parte al decrecimiento de la economía de Estados Unidos, y también, a las mejores condiciones de vida que ofrece la India después de años de financiación a partir de las remesas.
Para América Latina en particular, el crecimiento económico y las mejores condiciones socioeconómicas se rán factibles en tanto la política económica y en general la política pública apoye la inversión productiva de los flujos financieros provenientes de los emigrantes, promueva su mejor organización y reduzca los costos de envío por transacción, costos que pueden operar como desincentivo para el ahorro.
En este sentido las transferencias de dinero de emigrantes a sus países de origen se pueden convertir indirectamente en una alternativa de financiación de la inversión productiva por lo menos de corto plazo. Entonces el desafío para los gobiernos de los países de origen es la reestructuración de la política pública al ofrecer soluciones alternativas locales a la financiación de la inversión productiva utilizando las transferencias o remesas, para lo cual se requeriría volver más competitivos los mercados de remesas, reducir los costos de transacción y ampliar la información sobre los beneficios del uso del sistema financiero legal.
El resto del documento es organizado como sigue. La sección dos explica las causas de la movilidad internacional del trabajo desde el punto de vista microeconómico, la sección tres realiza un análisis de los efectos sobre el bienestar de la migración laboral internacional, la sección cuatro expone algunos hechos estilizados en relación con el comportamiento de las transferencias y remesas de los emigrantes de América Latina y Colombia. Por último, las conclusiones.
2. MIGRACIÓN LABORAL INTERNACIONAL
El modelo básico de movimiento internacional de factores y comercio internacional se le debe a Mundell (1957). En este modelo el autor muestra que con los supuestos estándar del modelo Heckscher-Ohlin, un incremento en los obstáculos del comercio internacional promueve el movimiento internacional de factores y viceversa.

Partamos de una situación en la cual existe libre comercio internacional de bienes e inmovilidad internacional de factores. Supongamos que cada uno de los países se especializa en la producción del bien, que es intensivo en el factor abundante (Teorema H-O), esto es, el país I se especializa en la producción de X que utiliza en forma intensiva el factor abundante trabajo y el país II se especializa en la producción de Y que utiliza en forma intensiva el factor abundante capital. Dado que la especialización no es completa, y si los demás supuestos del teorema se cumplen, el teorema de la igualación de precios de los factores se cumple, de tal forma que las retribuciones de los factores K y L son iguales en los dos países I y II.
La movilidad de factores requiere no sólo que se remuevan los obstáculos a su movilidad sino además la existencia de diferenciales en las retribuciones. Entonces la imposición de un arancel en el país I sobre el bien X hace que los precios de los bienes no se igualen con el comercio internacional; si se cumplen las condiciones arriba expuestas, habrá razones para la movilidad internacional, en este caso del factor trabajo, debido a los diferenciales salariales.
El impuesto sobre X eleva su precio relativo; por el teorema Stolper- Samuelson se sabe que la retribución del factor utilizado intensivamente en la producción de X también aumenta, esto es, los salarios son ahora más altos en el país I que en el país II. Estos diferenciales salariales incentivarán al trabajo a moverse del país II al país I hasta que el diferencial desaparezca.
Las condiciones del teorema H-O garantizan que en la situación final alcanzada los ingresos de los países sean exactamente iguales a los que se tenían antes de imponer el arancel.
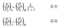
El país I impone el arancel sobre Y (el bien que importa), la imposición del arancel hace que el mercado no pueda estar en equilibrio, por lo que existirá un diferencial de precios:

Sea wij la retribución del trabajo o salario en el país i = {I, II} en términos del bien j = {X,Y}. Supongamos que
por lo que


entonces

Ese diferencial en las productividades hará que los trabajadores trasladen su trabajo del país I al país II en la misma industria, lo que implica que
no es una condición de equilibrio.
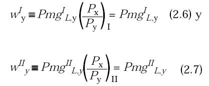
Ahora para el bien Y, suponemos que
por lo que


entonces:

Los trabajadores se moverán a la industria que produce X más productiva en el país I, lo que implica que no es una condición de equilibrio.
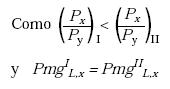
Según el teorema
son condiciones necesarias para el equilibrio, por lo que un equilibrio es posible sólo si
Por lo que los movimientos de trabajo continuarán hasta que los diferenciales desaparezcan.
Gráficamente puede demostrarse que un incremento en el factor de producción escaso, además de "aumentar su escasez" (Mundell, 1957), no incrementa el producto nacional bruto (PNB) del país destino si se introduce el supuesto de que se repatría en su totalidad la retribución de este factor.
La Gráfica 1 muestra el efecto de un incremento del factor trabajo en la economía del país II, representado como un desplazamiento de la curva de transformación de TT a TT, manteniendo los mismos términos de intercambio o relación de precios de los dos bienes X y Y (pendiente de la línea PP), el nuevo equilibrio es E. El traslado de E a E es explicado por el teorema Rybczynski mediante el incremento de la producción del bien X trabajo intensivo (distancia horizontal entre E y E) y la reducción de la producción del otro bien Y (distancia vertical entre E y E), debido al supuesto de homogeneidad de primer grado de las funciones relevantes, en la gráfica se representa con la línea Rybczynski o RR de pendiente negativa que muestra el espacio de puntos de producción correspondiente a mayores niveles del factor trabajo.

Los movimientos de trabajadores continuarán hasta que se igualen las productividades marginales. Esto es, en el punto E cuando el país produce lo suficiente de ambos bienes como para mantener su consumo inicial en C, y para pagar las retribuciones al extranjero. En este caso los precios relativos permanecen sin cambiar (pendiente de las líneas PP y PP es la misma) y también los ingresos ganados por los factores domésticos, por lo que el consumo permanece sin cambiar, al igual que el producto nacional bruto (punto D en la gráfica), debido a que hemos supuesto que los trabajadores reciben sus retribuciones sin pagar impuestos sobre sus ingresos y que además repatrían la totalidad de sus ingresos a sus países de origen. En otras palabras, aunque hay crecimiento económico debido al incremento del factor trabajo el ingreso nacional neto se mantiene igual.
Si representamos la repatriación en términos de alguno de los bienes producidos, podemos afirmar que si los trabajadores emigrantes repatrían su ingreso en términos de un solo bien, por ejemplo X , la cantidad de bienes dejada atrás estará representada por el punto D a la izquierda de E, por lo que el monto de la transferencia en términos reales sería DE de X, o en términos del bien Y, estará representada por el punto C debajo de E para el cual la transferencia sería CE de Y. Si repatrían una combinación de ambos bienes la cantidad de bienes dejada atrás estará representada por un punto entre D y C.
Sin embargo, como los trabajadores no repatrían toda su retribución sino que gastan en el país destino una parte de ella,2 los movimientos de bienes y de factores coexisten, por lo que no son en estricto sustitutos. No obstante, y de acuerdo con las principales implicaciones del modelo de Mundell (1957), se puede concluir que los obstáculos al comercio internacional estimularán los movimientos de factores y los obstáculos a los movimientos internacionales de factores estimularán el libre comercio de bienes.
3. EFECTOS SOBRE EL BIENESTAR
Para el país de destino los principales efectos sobre el bienestar están enmarcados en un mayor producto, el acceso inmediato a trabajadores calificados, la reducción del costo de calificación y la transferencia de tecnología como efectos positivos, y como efectos negativos se pueden contar el incremento de costos administrativos y de control, entre los que se encuentran los policiales, choques culturales, etc.
Para este trabajo interesa en particular analizar los efectos en el bienestar en el país de origen, en busca de profundizar el impacto de la emigración laboral y los efectos de las transferencias. Se pueden identificar a primera vista los siguientes efectos:
- Incremento de los ingresos de las familias de los emigrantes y por lo tanto del consumo.
- Alivio al problema del desempleo.
- Impacto positivo en la balanza de pagos.
- Aumento de la inversión.
- Otros efectos.
- Desmembración familiar.
- Incremento en los salarios de reserva para aquellos dejados atrás.
- Fuga de cerebros.
- Dependencia de las remesas y envíos de trabajadores emigrantes.
- Positivos:
- Negativos:
Pero en este punto no es claro cuáles efectos primarán sobre otros, por lo menos en términos reales. Para dilucidar este punto a continuación se mostrará el efecto de la migración en el mercado de trabajo de origen, a partir del análisis de las curvas de demanda de trabajo siguiendo el planteamiento de Wong (1995:636).
En la Gráfica 2, el país origen abundante en mano de obra está representado en el origen OI y el país de destino en O2, los ejes verticales representan los productos marginales del trabajo PMgL1 y PMgL2 en los dos países respectivamente que supondremos son lineales y decrecientes cuando el stock de capital es fijo. El eje horizontal representa la dotación mundial de mano de obra L, de la cual la dotación inicial de trabajo del país de origen es O1 L0 y la dotación inicial en el país de destino es O1 L0. Dada esta asignación existe un diferencial de salarios representado por el segmento AB, esto es, los salarios en el país de origen CA son menores que los salarios en el país destino CB. Por lo tanto, este diferencial impulsa la emigración de trabajadores del país I al país II en busca de salarios más altos, con perfecta movilidad y en ausencia de impuestos; esta emigración de trabajo será L1 L0 hasta alcanzar el equilibrio final E.
Esta redistribución mundial del trabajo conduce a la convergencia salarial en E aumentando los salarios en el país de origen y reduciéndolos en el país de destino. Además, aumenta la producción mundial puesto que la producción en el país de destino se incrementa en el área debajo de su curva de PMgL2 comprendida entre L1 y L0 (el área del trapecio BE L1L0), mientras que la producción en el país de origen se reduce en el área por debajo de su curva de PMgL1 (correspondiente al área del trapecio AE L1L0). Gráficamente existe un beneficio neto igual al área del triángulo ABE que corresponde a la diferencia en las ganancias de producto entre el país de destino y las pérdidas en el país de destino.
En conclusión, existe un efecto global positivo con la emigración. El movimiento internacional de trabajo permite obtener un mayor producto mundial. Sin embargo, en términos de la distribución del ingreso, puede observarse que algunos grupos (los trabajadores en el país de destino y los capitalistas en el país de origen) se ven perjudicados con ella.
Si se impone un impuesto ET sobre los ingresos de los emigrantes,3 donde T es el punto medio del segmento ED que representa el diferencial entre los salarios iniciales y finales en el país de origen, los salarios después de impuestos en el país de origen serán L1T, de tal forma que, a través de la política gubernamental, "aquellos dejados atrás quedan totalmente compensados, aunque la emigración no tenga un efecto distributivo sobre el ingreso" (Wong, 1995:635).
Interesa saber cuál es el efecto neto en el país de origen. En la Gráfica 3 puede verse cómo para esta economía con dos factores existe un beneficio de la emigración representado con salarios más altos w1 para los trabajadores del país, pero también una desmejora de la situación de los capitalistas cuyos ingresos pasan de ser el área (a + b + c) a ser solamente el área (a ).

El ingreso total de aquellos dejados atrás es (a + b + c + d) y su ingreso final es (a + b + d). En términos generales, el efecto neto es una pérdida para todos los que quedan en el país de origen, representada por c (Triángulo de Harberger); la emigración causa una caída del producto en el país de origen representada por (c + e), donde e representa los ingresos iniciales de los emigrantes, por lo que la pérdida neta es c.
Si la movilidad internacional de trabajo es explicada sólo por el diferencial salarial, el desplazamiento de la mano de obra será posible solamente si el nuevo salario en el país de destino es por lo menos igual a W1; esto implica que los ingresos de los emigrantes serán de (f + c + e), lo que significa que el bienestar nacional del país de origen es igual a (a + b + c + d + e + f) y por lo tanto, como un todo, el país de origen gana, como se había mostrado anteriormente (triángulo ABE en la Gráfica 2).
En conclusión, en términos reales la migración laboral genera un efecto positivo neto al país de destino, y un efecto negativo neto al país de origen cuando no existen transferencias de los emigrantes a aquellos dejados atrás en su país de origen. Sin embargo, si suponemos la existencia de esas transferencias o de envío de remesas a las familias, el efecto de la migración laboral sobre el país de origen es positivo, tal como se muestra en la siguiente sección.
4. TRANSFERENCIAS ECONÓMICAS Y REMESAS
En términos reales las transferencias económicas se entienden como los ingresos adicionales provenientes de la donación o envío de dinero desde el extranjero que aumentan los ingresos reales de un país. Su impacto sobre la economía real dependerá de la propensión marginal a consumir de los países involucrados, y los efectos de estas transferencias sobre el crecimiento económico estarán vinculados a otros factores como naturaleza del capital humano o grado de calificación, infraestructura legal y pública, etc.
No obstante, es imposible negar que las remesas tienen un gran impacto microeconómico en las economías al aumentar los ingresos de las familias dejadas atrás, como macroeconómico, al contribuir al crecimiento económico con una mayor inversión productiva, o a través del efecto multiplicador positivo del mayor consumo.
La repatriación parcial o total de los ingresos devengados por los emigrantes en el exterior puede alentar la inversión productiva y, por tanto, el crecimiento económico. El mecanismo con el cual esto se hace posible es el ahorro,4 aunque por norma general la proporción del ingreso del trabajador en el país de destino que retorna al país de origen es muy pequeña, sobre todo en el caso de migraciones permanentes.
4.1 Hechos estilizados para América Latina y Colombia
La repatriación de remuneraciones ha sido significativa en América Latina en la última década, destacándose países como El Salvador y México, en los cuales las remesas han llegado a constituir un 10% del PIB. De acuerdo con estadísticas de la CEPAL:
- "En años recientes las remesas de los trabajadores se han convertido en uno de los componentes más dinámicos de la cuenta corriente de la balanza de pagos de América Latina y el Caribe. Estas remesas se registran en la balanza de transferencias corrientes. En el 2002 las remesas se elevaron un 15%, totalizando 23.500 millones de dólares. En el primer trimestre del 2003 sumaron 6.300 millones de dólares, en comparación con 3.900 millones de dólares en el mismo período del 2000. Aunque parte de su crecimiento debe atribuirse al mejoramiento de los registros y de los mecanismos financieros de transferencia utilizados, los flujos de este tipo tienen una importancia cada vez mayor para las cuentas externas de la región" (CEPAL, 2003:53).
La Gráfica 4 muestra que el comportamiento de las remesas en el tiempo para América Latina ha sido estable y creciente, con un crecimiento que actúa en forma contracíclica en períodos de recesión.5 De hecho, las remesas se comportan en forma mucho más estable que los flujos de capital privado, como se muestra en el diagrama de la IED (Gráfica 5), que se mueve procíclicamente, lo que ha permitido aliviar las necesidades de las familias dejadas atrás por los trabajadores emigrantes de los países más pobres de América Latina, en un comportamiento que podría definirse como altruista, muy acorde con las formas culturales latinoamericanas y que elimina las ineficiencias resultantes de los flujos de ayuda que se realizan de gobierno a gobierno.


Desde los años noventa las remesas han sido una fuente importante de financiamiento externo, llegando a alcanzar niveles similares a las exportaciones, sobre todo en los países más pequeños, en donde tienen un impacto sobre variables macroeconómicas como las tasas de interés y el tipo de cambio.
Los países más grandes han tenido otras fuentes de financiamiento, como algunos instrumentos financieros y otras fuentes de origen privado que buscan los altos rendimientos que se presentan en estas economías, pero con elevado riesgo debido a su volatilidad, asociada también con el riesgo político y el conflicto social.
En la Tabla 1 se muestra cómo para el año 2002 los países con los mayores ingresos por envíos fueron Jamaica, El Salvador, República Dominicana, Guyana, Nicaragua y Guatemala, con remesas por habitante superiores a los 140 dólares. Venezuela y Argentina fueron los de menor ingreso de remesas por habitante (menos de 10 dólares).
La mayor parte de estas remesas provienen de Estados Unidos, que junto con Arabia Saudita se constituyen en los principales países emisores de este tipo de transferencias económicas. Aunque para el año 2003 el comportamiento de las remesas cambió, incrementándose significativamente en países como Argentina, Colombia y Ecuador, que fueron los tres países de la región donde hubo el mayor incremento de los flujos emigratorios en la última década, sobre todo a Europa, y especialmente a España.
Para el caso particular de Colombia, la Tabla 2 muestra la evolución reciente de las remesas per cápita en nuestro país, evidenciándose el crecimiento del flujo migratorio con una fuerte oleada a partir del año 2001, además de un incremento promedio anual de US$ 80 a US$ 100 per cápita de los envíos.

Según cifras del Banco de la República (Tabla 3) y el Ministerio de Relaciones Exteriores (MRE, 2003: 170), los emigrantes colombianos enviaron en el 2002 2.431 millones de dólares en remesas y giros que representaron el 2.1% del PIB, el 90% del total de la IED y el 40% del servicio de la deuda externa pública, superando los ingresos de las exportaciones de café, carbón y flores, con una frecuencia de siete transacciones anuales por persona y un promedio de pagos inferior a 300 US$ en más del 80% de los casos.

4.2 Costos de transacción de las remesas
Los costos de transacción o costos de usar el mercado se convierten en un incentivo (o desincentivo) para la realización de transacciones, lo que depende de su nivel. Menores costos de transacción permitirán un mayor flujo de transacciones.
El estudio de Ratha para países en desarrollo indica que los costos de transferir remesas desde los Estados Unidos hacia Centro y Suramérica fluctúan entre 13 y 20 por ciento o mayores. El Banco Mundial estima que reduciendo esos costos a incluso el 10 por ciento podría ahorrarles a los trabajadores y sus familias cerca de $3.500 millones de dólares al año (Ratha, 2003; 164-165).
Según la encuesta realizada por la Sección de Sector Externo del Departamento de Información Económica del Banco de la República, el costo promedio de envío de divisas por las grandes Entidades Transmisoras Internacionales de Divisas (ETD) a los giros provenientes desde España fue del 3.3% en 2003, que representa una reducción del 36% frente al estudio realizado durante el 2002 (Banrep, 2004;5). La Tabla 4 muestra cómo España es el segundo destino con mayor participación de envío de remesas de los colombianos cuando deciden emigrar, después de los Estados Unidos.

En términos generales, los costos de operación implícitos en el pago de una remesa promedio fluctúan entre un mínimo de $7.875 hasta un máximo de $45.000 por giro, lo que implica un costo de transacción entre US$3 y US$20, es decir, entre un 1% y un 7% del giro promedio en Colombia. No obstante la investigación deja claro que esto no es más que una aproximación, puesto que existe una considerable dispersión entre las comisiones, tasas de cambio y otras variables con las que operan las distintas entidades que realizan operaciones de giro en Colombia, además, algunas de las encuestadas manifestaron desconocer las condiciones de negociación con los comisionistas en el mercado emisor.
Algunos resultados interesantes de la encuesta son: primero, la aparente reducción de los costos de transacción por giros a partir del 2003; segundo, el beneficio de la entrada de los bancos en este mercado al reducir los costos de operación aprovechando las economías de escala, y por último, una considerable dispersión en las tasa de cambio de pagos de las remesas.
Haciendo referencia a las tasas de crecimiento necesarias en América Latina para alcanzar algún grado de convergencia en relación con los países más desarrollados, la CEPAL considera que las transferencias económicas pueden constituirse en un factor coadyuvador al proceso de crecimiento de los países menos desarrollados al involucrar los cambios estructurales necesarios:
- "Para crecer en torno al 6% por año, es necesario lograr tasas de inversión que superen entre cuatro y seis puntos los niveles promedio de los años noventa. Para evitar excesivamente los niveles de vulnerabilidad externa, el financiamiento de la inversión adicional debe provenir esencialmente de una expansión concomitante del ahorro nacional y estar acompañado de un desarrollo financiero nacional, que garantice la mejor forma de transferir ese ahorro hacia la inversión productiva"(CEPAL, 2001: xi).
En últimas, el crecimiento económico y, sobre todo, el desarrollo económico requieren un verdadero compromiso de los gobiernos para generar cambios en el largo plazo que permitan el progreso y la mejora en las condiciones de vida de todos y todas. No obstante, la existencia de un cada vez menor compromiso de crecimiento de largo plazo en los países en desarrollo se ve reflejado en el menor crecimiento del financiamiento de largo plazo debido a la menor afluencia de asistencia oficial para el desarrollo. 6
Las transferencias económicas de los emigrantes o remesas se constituyen en una fuente importante de recursos para un país, que pueden servir para generar desarrollo cuando se utilizan en proyectos productivos de desarrollo o inversión productiva. Sin embargo, no existen políticas públicas claras que apoyen iniciativas que promuevan su mejor uso, aprovechando la capacidad de ahorro de los emigrantes y sus familias en los países de origen.
5. CONCLUSIONES
Las remesas pueden ser una forma de asignar los recursos eficientemente, sobre todo en las economías más pobres. Por ello, ya sea reduciendo los costos de transacción de las transferencias de remesas que permita un mayor flujo de éstas en los países o eliminando las barreras a la libre movilidad internacional del trabajo se logra una mejora significativa en el bienestar global, tanto del país de origen como del país de destino.
En términos generales, una mayor movilidad internacional del trabajo puede contribuir al crecimiento económico no sólo del país de destino sino también del país de origen. Es necesario en este punto realizar estudios en los que se encuentre evidencia empírica que pueda determinar claramente la existencia de una relación positiva entre estas dos variables para los países expulsores de mano de obra, vía el flujo de remesas y transferencias económicas de los emigrantes.
Notas al pie de página
1. En Colombia, durante la década de los años ochenta, y más fuertemente en los noventa, estos objetivos de política han estado concentrados en el logro de una baja inflación y en el aumento del PIB.
2. Aunque no se diferencia en estricto la migración temporal de la migración permanente, en ambos casos, la repatriación de ingresos se presenta sólo que en una mayor proporción en la primera debido a las expectativas de retorno al país de origen.
3. En este caso particular, la emigración es independiente del impuesto, de tal forma que éste opera como un "impuesto Bhagwati" en el sentido de operar como un mecanismo de compensación en la distribución del ingreso. Si se supone que el impuesto es conocido por los emigrantes, el nuevo equilibrio será el punto Q sobre la línea paralela a PMgL2 lo que implica que el impuesto desestimula la emigración llegando ésta a L2 y no a L1 como antes del impuesto; en este sentido, si se permite que la información sobre la existencia del impuesto fluya libremente, éste termina sobre-compensando a aquellos dejados atrás.
4. La hipótesis básica del modelo de crecimiento económico exógeno de Solow es que el ahorro opera como el motor fundamental del crecimiento, por lo menos en el corto plazo. Este planteamiento es utilizado por el Banco Mundial y el BID para recomendar incrementos en el ahorro de individuos y familias de los países en desarrollo. No obstante, el crecimiento económico de largo plazo sólo es posible con motores de crecimiento como la tecnología y el capital humano, entre otros.
5. Dilip Ratha (2003; 157), economista senior del Banco Mundial, ha demostrado que las remesas no sólo constituyen la segunda fuente de financiación externa de los países en desarrollo, sino que en países como Brasil permitieron compensar los problemas de deuda, prestando dinero a tasas de interés más bajas y con mayor madurez al utilizar las remesas como colaterales.
6. Debe entenderse que la asistencia oficial para el desarrollo es imprescindible para lograr un esquema o marco de reglas legales, económicas y sociales que fortalezcan la toma de decisiones colectiva que generen resultados estables en el largo plazo al permitir la operación de convenciones sociales u otros mecanismos estabilizadores que reduzcan el riesgo y los costos de transacción.
BIBLIOGRAFIA
Adams, Richard H. Jr. y Page, John (2003). International Migration, Remittances and Poverty in Developing Countries (Docuento de trabajo 3179). Washignton: World Bank Policy Research. [ Links ]
Banco de la República (2004). Principales resultados de la encuesta de costos de transacción de remesas de trabajadores en Colombia. Reportes del Emisor No. 64. Bogotá, septiembre 2004 . [ Links ]
Casado Francisco, Montserrat, Molina Sánchez, Luis y Oyarzun de la Iglesia, Javier (2003). El análisis económico de los movimientos migratorios internacionales: Determinantes empíricos y nuevas propuestas de regulación (Documento de trabajo No.2003-006). España: Universidad complutense de Madrid. [ Links ]
Cepal. La economía regional en 2002- 2003. En Estudio económico de América Latina y el Caribe, 2002-2003. Chile: Autor. [ Links ]
Cox, Alejandra & Ureta, Manuelita (2003). International Migration, Remittances, and Schooling: Evidence From El Salvador. (Documento de trabajo 9766). Base de datos:NBER. [ Links ]
DEntremont, Alban (2002). La Población Mundial en: Martínez Chacón, Elvira (Dir.), y García Alonso, José María (Coord.).Economía Mundial. Ed. Ariel, España. [ Links ]
Faini, Ricardo. (2002). Migration, remittances and Growth. Documento de trabajo. Italia: University of Brescia. [ Links ]
Felbermayr, Gabriel J and Wilhelm Kohler. Trade and international labor mobility: Sign, size, and distribution of the immigration surplus. (Documento de trabajo). Mayo 2003. [ Links ]
IMCA Instituto Mundial de Cajas de Ahorro.(2003). Reporte (p. 48). [ Links ]
Jurado, Gonzalo M. (1997). Labor Mobility Issues in the Asia-Pacific Region. (Discussion Paper No. 99-01). Filipinas: PASCN. [ Links ]
Koc, Ismet y ONAN, Isil. (2001). The impact of remittances of international migrants on the standard of living of the left-behind families in Turkey. Presentado a la XXIV Conferencia General de la IUSSP, Hacettepe University Institute of Population Studies, Turkey [ Links ]
León-Ledesma, Miguel y Piracha, Matloob (2001). International Migration and the Role of Remittances in Eastern Europe (Discussion Paper 01/13). Canterbury: Department of Economics, University of Kent. [ Links ]
Ministerio de Relaciones Exteriores de Colombia. (2003). Memorias del Seminario sobre migración internacional colombiana y la conformación de comunidades transnacionales (145p.). Bogotá: Autor. [ Links ]
Mundell, Robert A. (1968). International Trade and Factor Mobility. En International Economics (pp.85-99). New York: MacMillan. [ Links ]
Ratha, Dilip. (2003). Worker remittances: an important and stable source of external development finance. In Global Development Finance (pp. 157-177). Washington, DC: Banco Mundial. [ Links ]
Sada, Carlos. (Moderador). International Linkages: Immigrant Remittances and Financial Adaptation. En: Profitwise News and Views Special Edition October 2004. Sección 6. p42-44. [ Links ]
Schmitz, Andrew and Peter Helmberger, Factor Mobility and International Trade: The Case of Complementarity. American Economic Review, volume 60, 1970, pp. 761-767. [ Links ]
Wong, Kar-yiu. (2004, junio). Are international capital mobility and international labor migration substitutes? Presentado en la Conferencia de Kiel. [ Links ]













