Introducción
¿Cuál es el escenario al que se enfrenta América Latina en el contexto mundial? ¿Qué posibilidades pudieran tener los países latinoamericanos para lograr una mayor participación en términos de voz y voto en el contexto de las relaciones internacionales? Estas probablemente sean dos de las principales preguntas que constantemente políticos, técnicos y académicos de América Latina se han venido haciendo al observar las dinámicas que se han venido produciendo en el mundo durante los últimos años.
El mundo está constantemente cambiando y, en la actualidad, esos cambios ocurren más rápidamente. Un primer elemento que deja evidencia de estos cambios se encuentra en la búsqueda de acuerdos por parte de las economías desarrolladas que les permita recuperar las dinámicas previas a la crisis de 2007-2009, la cual ocasionó daños importantes a sus economías en términos de crecimiento económico, empleo y distribución del ingreso. En segundo lugar, la participación de los países desarrollados en el crecimiento del producto interno bruto (PIB) mundial se ha venido reduciendo; en América Latina se ha mantenido entre el 8 y el 9%, pero en los países en desarrollo, particularmente de las economías emergentes de Asia, ha venido aumentando, pasando de un 19% entre 1990-1995 a un 41% entre 2005-2012. Y, finalmente, la velocidad a la que se producen los avances tecnológicos es cada vez mayor y, en la medida en que estos avances tecnológicos se incorporen más rápido a la producción, mayor será el número de países que se incorporarán a las cadenas de valor (Rosales, 2014). Esto, evidentemente, podría ocasionar un ensanchamiento de las brechas entre las economías desarrolladas o con un elevado grado de industrialización y aquellas en las que la incorporación de esos avances tecnológicos ocurra a una velocidad menor.
En vista de estos cambios, América Latina debe aprovechar el potencial que tiene, pero primero debe vencer sus debilidades. El potencial de América Latina se refleja en sus más de 600 millones de habitantes que están unidos por fuertes lazos históricos, culturales y lingüísticos (Barcena, 2014), en un mercado interno en crecimiento debido a las mejoras en la distribución del ingreso y en la posesión estratégica de importantes fuentes de materias primas y recursos. Pero debe trabajar para superar la poca diversificación de sus exportaciones y el bajo o insignificante comercio intrarregional (Rosales, 2014). De esto se han dado cuenta los gobiernos de Chile y Brasil. Al respecto, el gobierno de Chile, a través de su ministro de Relaciones Exteriores, Heraldo Muñoz, en un artículo de opinión publicado el 12 de marzo de 2014 en el diario ABC de España, apuntaba que Chile buscaría trabajar desde y con América Latina y el Caribe. Expresaba además que uno de los problemas del continente era que las relaciones se bifurcaban en varias direcciones debido a las orientaciones económicas y/o políticas de los gobiernos que conducían a una falta de concertación y de convergencia. Finalmente, señalaba la necesidad de que la Alianza del Pacífico y el Mercado Común del Sur (Mercosur) discutieran sobre la posibilidad de "convergencia en la diversidad", permitiendo que cada país se incorpore al proceso de integración de acuerdo con su propio ritmo (Muñoz, 2014). Los expresidentes de Chile y Brasil, Ricardo Lagos y Lula da Silva, también se reunieron en 2014 y discutieron sobre esa posibilidad de convergencia (Da Silva y Lagos, 2014).
Aunque las dinámicas de los países de Mercosur y los de la Alianza del Pacífico se han desarrollado de manera diferente y los intereses de las fuerzas económicas y geopolíticas son diversas, pareciera que esa posibilidad de "convergencia dentro de la diversidad" de estos dos acuerdos de integración se está tornando relativamente más factible. Ya Chile y Brasil iniciaron este acercamiento (Giacalone, 2015; Peña, 2015; Price, 2015). Esta posibilidad se ha abierto por varias razones. La primera está relacionada con la posibilidad de un mega acuerdo entre la Unión Europea y los Estados Unidos (el Tratado Trasatlántico para el Comercio y la Inversión) que tiene por objetivo la reversión de las consecuencias negativas de la crisis global del 2008 (Giacalone, 2015; Rosales, 2014). Este acuerdo representaría más del 45% del PIB del mundo y más del 25% del comercio mundial (Kotschwar, 2014).
Una segunda razón está relacionada con el aislamiento de la economía brasile ña de la economía mundial, debido a la pérdida de competitividad con China y otros países causada hasta hace poco por la apreciación de la moneda brasilera (Giacalone, 2015). Brasil se ha aislado de las cadenas productivas globales y paralelamente no ha firmado recientemente ningún acuerdo de libre comercio norte-sur (Veiga, Rios y Naidin, 2013). Esto ha afectado severamente a Mercosur. Por ejemplo, desde el 2011 hasta 2014 (inclusive), el PIB combinado de los países del Mercosur creció a una tasa interanual de -5,14%. Dado lo anterior, no se observa un crecimiento de oportunidades y, por el contrario, estas se están evaporando. Las economías de Brasil y Argentina persiguen intereses distintos y la incorporación de Venezuela como miembro pleno en 2012 no ha aportado dinamismo al bloque debido a que sus intereses políticos han estado por encima de sus intereses económicos (Ghazalian, 2013). Brasil busca terminar esa falta de dinamismo del bloque porque entiende que el tratado trasatlántico entre la Unión Europea y Estados Unidos significaría una reducción importante de las exportaciones de su agroindustria, de la inversión extranjera directa (IED) y de las exportaciones a China e India, entre otras (Gayá y Rozemberg, 2014). En contraste, los países de la Alianza del Pacífico han presentado un crecimiento combinado promedio interanual del 1,7% para ese mismo periodo.
Como tercera razón se puede argumentar que Mercosur, a pesar del tamaño de Brasil y Argentina, no ha logrado aumentar el comercio intra-bloque. Un fenómeno similar con respecto al comercio intra-bloque ocurre con la Alianza del Pacífico. De hecho, esta posibilidad de convergencia puede representar para ambos una expansión significativa de sus mercados. De acuerdo con Rosales (2014), para el 2013 el valor de las exportaciones de la Alianza del Pacífico a Mercosur fue igual al de las de Mercosur a la Alianza del Pacífico, con la diferencia que los bienes exportados por Mercosur tenían más valor agregado. Como cuarta razón, Chile es el país con los mayores flujos de IED en Mercosur (Rosales, 2014) y por eso muestra un interés particular por la posibilidad de convergencia en la diversidad. A esto hay que agregar también que el incremento del número de acuerdos bilaterales de los países latinoamericanos con Estados Unidos, la Unión Europea y algunos países de Asia podrían suponer pérdida de representatividad para Latinoamérica en las negociaciones internacionales. Y, finalmente, los cambios políticosque se están observando en Suramérica, donde, en noviembre del 2015, Mauricio Macri fue electo presidente de Argentina; en diciembre del 2015, la oposición ganó la Asamblea Nacional de Venezuela; en febrero del 2016, los bolivianos dijeron "no" a la posibilidad de reelección del presidente Evo Morales; y, en agosto del 2016, la renuncia a la reelección por parte del presidente Rafael Correa en Ecuador y la destitución de la presidenta de Brasil, Dilma Rousseff, constituyen elementos relevantes que muestran aires de cambios políticos importantes que pueden favorecer mucho más las negociaciones entre la Alianza del Pacífico y Mercosur.
Esta oportunidad de convergencia representa para ambos bloques alternativas económicas y geopolíticas muy importantes. De acuerdo con información extraída de las estadísticas del Fondo Monetario Internacional (FMI) y de la base de datos sobre el comercio y el desarrollo de la Organización de las Naciones Unidas (UNCTADSTAT, por sus siglas en inglés), los países de Mercosur tienen un PIB combinado de US$3.184 billones, una población de más de 280 millones de habitantes y un comercio total de US$959.340 millones, mientras que el PIB combinado de los países de la Alianza del Pacífico es de US$2.130 billones (67% del de Mercosur), más de 215 millones de habitantes y su comercio total es superior al de Mercosur, que supera los US$1.200 billones y representa aproximadamente el 50% del comercio total de Latinoamérica. La Alianza del Pacífico, aunque aún se encuentra en proceso de creación y consolidación, ha mostrado progresos importantes en sus negociaciones que se han materializado en la apertura e integración de sus mercados financieros.
Este trabajo estudia el problema de convergencia de las economías de la Alianza del Pacífico y de Mercosur desde el criterio de convergencia económica utilizado por la Unión Europea para su constitución, pero evidentemente con un objetivo completamente diferente. El criterio de convergencia de Maastricht de la Unión Europea, como se le conoce comúnmente, se estableció con el propósito de alcanzar dos objetivos básicos: estabilidad de precios y finanzas públicas transparentes para alcanzar un crecimiento económico sostenible (Ghymers, 2001). Este trabajo apunta en una dirección parecida. Se intenta demostrar que mientras más convergentes económicamente sean estos países, mayores posibilidades de integración tendrán, debido a que habrá también mayores posibilidades de alcanzar acuerdos de forma rápida y mayores posibilidades de coordinación de las políticas económicas entre ellos, ya que menores serán los costos asociados al objetivo de conseguir resultados conjuntos.
La metodología empírica requiere la construcción de un índice de convergencia económica (ICE) para cada país y el cálculo de correlaciones entre las variables macroeconómicas más relevantes. Los resultados obtenidos en la presente investigación no son definitivos, aunque los patrones observados sobre las decisiones de los países miembros para lograr una mayor convergencia económica sugieren que los gobiernos de cada uno de los países otorguen más recursos políticos y económicos que les permitan alcanzar resultados económicos estables y sostenibles dentro del proceso de integración en el largo plazo.
Finalmente, este artículo se encuentra organizado de la siguiente manera: en la segunda sección se presentan el marco teórico sobre la convergencia económica y los principales hallazgos en investigaciones similares realizadas para algunos países suramericanos. Seguidamente, en la tercera se presenta la metodología empírica mientras que en la cuarta sección se abordan la presentación de la base de datos, los resultados y las implicaciones derivadas de estos. Finalmente, la sección quinta presenta las principales conclusiones obtenidas en esta investigación.
Marco teórico
En el estudio de las áreas monetarias óptimas se ha utilizado frecuentemente el criterio de convergencia económica de Maastricht como herramienta que permite identificar, junto con el análisis de correlaciones de las principales variables macroeconómicas, los costos y beneficios para cada país que se derivarían de la constitución de una unión monetaria. Esta metodología es bien interesante porque, además de las características destacadas previamente, permite también interpretar la convergencia económica como una condición necesaria para el acercamiento entre países con el propósito de alcanzar logros conjuntos derivados de mayores grados de integración. Vista de esa manera, una mayor convergencia económica implica menores asimetrías y mayores posibilidades de comercio intra-bloque. De igual manera, una mayor convergencia facilitaría la coordinación de políticas económicas y la toma de decisiones orientadas, por ejemplo, a disminuir el impacto que diversos shocks pudieran tener sobre las economías de los países miembros. Los avances en el proceso de integración requieren de esta coordinación de políticas económicas ya que todos persiguen un objetivo común: crecimiento sostenible. Este crecimiento sostenido, traducido en una expansión del mercado dentro del bloque y en estímulos hacia el comercio intra-bloque, puede garantizar la estabilidad del proceso.
Esta convergencia económica puede ser interpretada desde dos puntos de vista que, aunque se plantean de manera diferente, están bastante relacionados. En primer lugar, la convergencia está relacionada con la adopción por parte de los países de políticas económicas orientadas a estimular un crecimiento económico sostenido, de baja inflación y de baja volatilidad cambiaria dentro de un esquema de apertura hacia el resto del mundo. Esto permitiría a los países moverse progresivamente hacia arriba en la distribución del ingreso a nivel mundial; este concepto está bastante relacionado con la hipótesis de convergencia, y de manera particular con la hipótesis de convergencia condicional, en la teoría del crecimiento económico. Y, en segundo lugar, la convergencia económica se refiere a la disminución progresiva de las asimetrías económicas entre los países. En este caso, la apertura y la ejecución de la política económica conducen a un mayor intercambio comercial, tasas de cambio estables, ciclos económicos más sincronizados y crecimiento económico menos volátil. Esto reduciría las asimetrías y haría que muchos shocks tiendan a ser más comunes que específicos y, por tanto, se puedan canalizar los esfuerzos políticos y económicos mediante la coordinación de políticas macroeconómicas para la disminución de los efectos de esas innovaciones. Como se dejó entrever previamente, ambas interpretaciones pudieran tener cabida en el presente análisis; sin embargo, el segundo criterio constituye el referente utilizado en el presente trabajo.
En cuanto a trabajos previos que hayan hecho uso del criterio de convergencia económica, con el propósito específico de este trabajo, no son frecuentes en la literatura. Sin embargo, Socas (2002) y Mora (2006, 2008) han utilizado esta metodología, pero como instrumento para determinar cuán factible es la conformación de una unión monetaria entre algunos países de Suramérica. Socas (2002), por ejemplo, compara las posibilidades de conformación de un área monetaria óptima entre los países de la Comunidad Andina de Naciones (CAN) con las posibilidades entre los países de Europa usando información estadística para el periodo 1969-1998. Socas (2002) calculó el IEC para los países de la Comunidad Andina de Naciones y encontró que estos países tenían altas posibilidades de convergencia económica y por tanto de conformar una unión monetaria. Por su parte, Mora (2006) haciendo uso de la misma metodología compara las posibilidades de convergencia entre los países suramericanos para el periodo 1975-1998 con las de los países de la Unión Europea y encuentra resultados ligeramente diferentes a los de Socas (2002): los índices de convergencia económica son variados indicando para ese momento una baja posibilidad de conformar una unión monetaria entre los países suramericanos. Mora (2008) complementa el análisis de convergencia con un análisis entre las tasas de depreciación de las monedas domésticas frente al dólar, las tasas de crecimiento del producto real y las tasas de inflación, y con un análisis de cointegración entre las tasas de cambio, las tasas de crecimiento del PIB real per cápita y las tasas de inflación. Aunque encuentra evidencia de la existencia de shocks comunes que pudieran favorecer la convergencia y las posibilidades de coordinación en el uso de la política económica, sus resultados no son del todo concluyentes y señala que el éxito de un acuerdo más profundo de integración en Suramérica tiene que estar relacionado con los esfuerzos y la voluntad política de los países.
Como se puede apreciar, esta metodología no ha sido muy utilizada en la literatura y además se ha empleado para estudiar la factibilidad de esquemas de integración más avanzados y para diferentes periodos de tiempo. Adicionalmente, como señala Ghymers (2005), existen investigaciones recientes como la de Lacunza y Carrera (2003) que ha demostrado que los shocks que afectan a los miembros de Mercosur son comunes a todos ellos y además comparten las mismas dinámicas de las coyunturas comerciales. También sugieren que si los países de Mercosur avanzan hacia un proceso de cooperación macroeconómica, implica evidentemente sacrificar, en cierto grado, la discrecionalidad de la política macroeconómica. De igual manera, Machinea (2003) por medio de un indicador de correlación coyuntural encuentra que las interdependencias entre subregiones de América Latina, aun cuando no sean tan elevadas como las de Asia y las de la Unión Europea, no son desdeñables. En ese sentido, esta investigación considera que la metodología de convergencia, con la introducción de nuevos indicadores e información más reciente, pudiera arrojar resultados interesantes para los avances de las negociaciones entre la Alianza del Pacífico y el Mercosur.
Metodología empírica
El criterio de convergencia económica de Maastricht se centra en la construcción de un ICE, como el usado por Socas (2002) y Mora (2006), y el análisis de correlaciones entre los componentes cíclicos del producto real, las tasas de crecimiento de la economía, las tasas de inflación, las tasas de cambio y su volatilidad, las variables externas, y otras variables macroeconómicas.
El ICE es un indicador que se construye con la información de 10 indicadores macroeconómicos que corresponden a las variables nominales tasa de inflación, tasa de interés de largo plazo, deuda gubernamental, déficit presupuestario y volatilidad del tipo de cambio, y a las variables reales tasa de interés de corto plazo, tasa de crecimiento del PIB real, brecha del producto, tasa de desempleo y saldo en cuenta corriente, variables utilizadas en la definición de los criterios de convergencia europeos.
En este trabajo se propone un índice ligeramente diferente del utilizado en el criterio de convergencia de la Unión Europea porque se incluye el porcentaje de deuda a PIB, el porcentaje del gasto del gobierno a PIB, la IED como porcentaje del PIB y la tasa de inversión. Se destaca que en la construcción de este indicador se han incluido variables consideradas importantes desde el punto de vista teórico pero que no fueron consideradas para la construcción del ICE de la Unión Europea. No obstante, por falta de disponibilidad de información estadística para algunos años y algunos países, no fue posible incluir variables como, por ejemplo, la tasa de interés de corto plazo en la construcción del índice. Como se explicará más adelante, las series o indicadores que finalmente se consideraron para su construcción fueron: la tasa de interés de largo plazo, la volatilidad de la tasa de cambio, la balanza comercial (% PIB), el saldo neto de la IED (% PIB), el gasto total del gobierno (% PIB), la tasa de inversión, la tasa de desempleo, la deuda externa (% PIB), la tasa de inflación, la brecha del producto real y la tasa de crecimiento del PIB real.
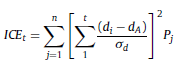
El ICE se obtiene como una suma ponderada de la suma de los cuadrados de los valores normalizados de los n indicadores económicos en un mismo año, tal como lo muestra la siguiente ecuación:
donde di es el valor absoluto para cada año de la diferencia entre el indicador económico del país i y el promedio del grupo de países (ponderada por el PIB de cada economía), dA es la media de los di en el correspondiente grupo de países, σd es la desviación estándar de los di y Pj es la ponderación asignada al indicador j. De esta manera, los valores del índice son diferencias asimétricas positivas que se corresponden con una distribución Chi-Cuadrado (2 con δ grados de libertad que se obtienen de la suma de k − 1 variables estándares independientes. Estos valores miden el grado de convergencia entre los indicadores macroeconómicos de un país y el promedio del área medida a través de las diferencias entre los di y dA.
A continuación, la tabla 1 detalla los criterios para la interpretación del índice. Por ejemplo, un valor del índice relativamente bajo (cercano a cero) muestra evidencia de un elevado grado de convergencia del país respecto a los otros países, y un valor relativamente elevado (superior a 100) señala que la posibilidad de convergencia es reducida o muy polarizada.
Tabla 1 Criterios para la interpretación del índice de convergencia económica (ICE)
| Valor del índice | Grado de convergencia |
|---|---|
| ICE = 0 | Máxima |
| 0 < ICE ≤ 30 | Alta |
| 30 < ICE ≤ 60 | Significativa |
| 60 < ICE ≤ 90 | Moderada |
| 90 < ICE ≤ 120 | Reducida |
| 120 < ICE ≤ 150 | Polarizada |
| ICE ≥ 150 | Muy polarizada |
Fuente: tomado de Socas (2002, p. 190).
Una herramienta metodológica auxiliar para este estudio lo constituye el cálculo y análisis de correlaciones entre los componentes cíclicos del producto real, las tasas de crecimiento de la economía, las tasas de inflación, las tasas de cambio y su volatilidad, las variables externas, y otras variables macroeconómicas, entre otras.
Evidencia empírica
Esta sección presenta y discute los principales hallazgos de este trabajo. Para ello, en la primera subsección se hace referencia a las fuentes de información y a los indicadores económicos utilizados para la construcción de la base de datos y, en la segunda, se presentan y analizan los resultados.
4.1. Base de datos
Para la construcción de la base de datos se recurrió a diversas fuentes de información, donde prácticamente toda está disponible en la web, aunque en forma dispersa, como ocurre casi siempre con la información económica. La disponibilidad de la información para todos los países o todos los años limitó ligeramente el alcance de este trabajo. No obstante, se logró construir una base de datos representativa ya que las variables o series incluidas son de relevancia teórica. Algunas series como la tasa de interés, tasas de cambio, exportaciones e importaciones, PIB y ahorro nacional, o algunos años de estas, se obtuvieron del Banco Mundial (BM)1, del FMI, de la Comisión Económica Para América Latina (CEPAL)2 y de las páginas web de los bancos centrales o de organismos oficiales de estadísticas de los países. La información sobre la IED y el índice de precios al consumidor (IPC base 2005) se consiguieron de UNCTADSTAT3. La tasa de desempleo y el gasto del gobierno como porcentaje del PIB se obtuvieron de la página web del Penn World Table4, el FMI y la CEPAL. Y, finalmente, la deuda externa se obtuvo de la CEPAL.
Los indicadores construidos y seleccionados para la elaboración de la base de datos son los siguientes: la tasa de interés, la volatilidad de la tasa de cambio -calculada como la tasa de depreciación de la moneda local,
, la balanza comercial (% PIB), el saldo neto de la IED (% PIB), el gasto total del gobierno (% PIB), la tasa de inversión -obtenida como la razón porcentual del ahorro nacional respecto al PIB-, la tasa de desempleo, la deuda externa (% PIB), la tasa de inflación -calculada como la tasa de crecimiento del IPC entre un periodo y otro-, la brecha del producto real -obtenida como la diferencia entre el PIB potencial y el PIB observado, donde el PIB potencial se obtuvo mediante la metodología del filtro de Hodrick y Prescott (1980)- y la tasa de crecimiento del PIB real.
4.2. Evidencia empírica
Esta subsección presenta, en primera instancia, los resultados derivados del cálculo de los ICE y, posteriormente, muestra y discute las correlaciones entre las principales variables macroeconómicas.
4.2.1. Índice de convergencia económica
La tabla 2 muestra los ICE para los países de la Alianza del Pacífico y de Mercosur. De acuerdo con los resultados, se observan diversos grados de convergencia que van desde alta, para Colombia, hasta moderada, para Perú. También se observa que, con excepción de Perú, los países de la alianza son relativamente más convergentes que los países de Mercosur, exceptuando a Uruguay y Paraguay. Desde esta perspectiva general, los países tienen elevadas posibilidades de convergencia. No obstante, es necesario profundizar este análisis por indicador económico y por país.
Tabla 2 Índices de convergencia económica (ICE) en Alianza del Pacífico-Mercosur (1980-2014)
| País | ICE (suma acumulada) | Promedioa | Máximoa | Mínimoa | Desviación estándara | Coeficiente de asimetría |
|---|---|---|---|---|---|---|
| Argentina | 55,465 | 0,854 | 0,110 | 4,856 | 0,965 | 0,000 |
| Brasil | 51,517 | 0,992 | 0,237 | 3,469 | 0,719 | 0,000 |
| Chile | 23,823 | 0,419 | 0,145 | 1,731 | 0,331 | 0,005 |
| Colombia | 11,204 | 0,293 | 0,134 | 0,485 | 0,094 | −0,005 |
| México | 22,997 | 0,699 | 0,300 | 2,504 | 0,495 | 0,011 |
| Paraguay | 23,108 | 0,454 | 0,181 | 1,404 | 0,309 | 0,003 |
| Perú | 65,077 | 0,585 | 0,099 | 2,154 | 0,419 | 0,000 |
| Uruguay | 23,810 | 0,727 | 0,188 | 1,680 | 0,426 | −0,050 |
| Venezuela | 36,999 | 1,271 | 0,272 | 3,851 | 0,894 | 0,001 |
Fuente: cálculos propios a partir de información obtenida de las bases de datos del Banco Mundial, FMI, CEPAL, UNCTADSTAT, Penn World Table y de las páginas web de los bancos centrales o de organismos oficiales de estadísticas de los países. a Estos indicadores consideran los ICE de cada año y no la suma acumulada de este.
La tabla 3 muestra el promedio del ICE por indicador. En primer lugar, se aprecia que con algunas excepciones los ICE por indicador económico son bastante consistentes con los resultados presentados en la tabla 2. Colombia, con 5 de los 11 indicadores, es el país que muestra indicios de una elevada convergencia que ayuda significativamente a su ICE, mientras que Perú, Argentina y Brasil son los países con más indicadores desfavorables. Colombia es el país más convergente en balanza comercial, tasa de inversión, deuda externa, componente cíclico y tasa de crecimiento del PIB real. En segundo lugar, con excepción de Argentina y Brasil, la mayoría de los países muestran una alta convergencia en tasas de interés y tasas de desempleo. Igual ocurre con la deuda externa como porcentaje del PIB, en donde el país menos convergente es Chile, aunque este es el indicador en el que la mayoría de países tienen ICE más bajos, que van desde 1,054 para Colombia a 5,677 para Chile. Probablemente, los problemas de deuda externa sufridos por Chile a mediados de la década de los 80 pudieran estar afectando negativamente su valor del ICE. Seguidamente, Perú es el menos convergente en tasas de inflación y volatilidad de la tasa de cambio, en donde los periodos de hiperinflación observados entre 1988 y 1991 pudieran estar influyendo sobre su elevado ICE. Y, finalmente, se observa que los países de la Alianza del Pacífico, con excepción de Perú, son mucho más convergentes que los países de Mercosur.
Tabla 3 Comparación de los índices de convergencia económica (ICE) por indicador (1980-2014)

Fuente: cálculos propios a partir de información obtenida de las bases de datos del Banco Mundial, FMI, CEPAL, UNCTADSTAT, Penn World Table y de las páginas web de los bancos centrales o de organismos oficiales de estadísticas de los países
En vista de los problemas de hiperinflación, volatilidad en los mercados cambiarios y de deuda que tuvieron algunos países latinoamericanos durante gran parte de la década de los 80 y la primera mitad de los 90, se procedió a dividir el periodo en dos partes para de esta manera comparar las dinámicas de convergencia de los países de la Alianza del Pacífico y Mercosur. Las tablas 4 y 5 presentan los ICE para los periodos 1980-1995 y 1996-2014, respectivamente. La tabla 4 muestra el mismo patrón de convergencia observado en la tabla 2. En primera instancia, todos los países tienen elevadas posibilidades de convergencia, siendo Colombia seguido por Uruguay y Venezuela los países con una alta convergencia. Perú, muy cerca del límite inferior, muestra un grado de convergencia significativa. Sin embargo, al comparar estos resultados con los del segundo periodo (tabla 5) se observa una dinámica ligeramente diferente ya que, aunque los países tienen altos niveles de convergencia económica y Colombia sigue siendo el país más convergente, los roles de los que siguen han cambiado de posición. Ahora son Chile, Paraguay y Perú los que siguen en orden de importancia. México, debido a la crisis de la segunda mitad de los 90, y Venezuela, probablemente debido a las políticas económicas populistas de la última década, cambiaron su posición. Una primera conclusión que se puede extraer de estas dos tablas estaría relacionada con el hecho de que los índices de convergencia calculados reflejan un aumento de las posibilidades de convergencia cuando se pasa del primer al segundo periodo.
Tabla 4 Índices de convergencia económica (ICE) en Alianza del Pacífico-Mercosur (1980-1995)
| País | ICE (suma acumulada) | Promedioa | Máximoa | Mínimoa | Desviación estándara | Coeficiente de asimetría |
|---|---|---|---|---|---|---|
| Argentina | 38,437 | 0,694 | 0,377 | 0,940 | 0,254 | 0,000 |
| Brasil | 37,359 | 1,931 | 0,878 | 3,469 | 1,100 | 0,000 |
| Chile | 15,640 | 0,377 | 0,167 | 0,707 | 0,255 | 0,000 |
| Colombia | 5,236 | 0,214 | 0,145 | 0,286 | 0,058 | −0,001 |
| México | 10,074 | 0,769 | 0,395 | 1,406 | 0,399 | 0,008 |
| Paraguay | 14,057 | 0,367 | 0,265 | 0,559 | 0,132 | 0,000 |
| Perú | 55,954 | 0,983 | 0,667 | 2,154 | 0,656 | 0,000 |
| Uruguay | 8,208 | 0,370 | 0,188 | 0,444 | 0,105 | −0,004 |
| Venezuela | 9,543 | 0,608 | 0,272 | 1,068 | 0,331 | 0,004 |
Fuente: cálculos propios a partir de información obtenida de las bases de datos del Banco Mundial, FMI, CEPAL, UNCTADSTAT, Penn World Table y de los bancos centrales u organismos oficiales de estadísticas de los países. a Estos indicadores consideran los ICE de cada año y no la suma acumulada de este.
Tabla 5 Índices de convergencia económica (ICE) en Alianza del Pacífico-Mercosur (1996-2014)
| País | ICE (suma acumulada) | Promedioa | Máximoa | Mínimoa | Desviación estándara | Coeficiente de asimetría |
|---|---|---|---|---|---|---|
| Argentina | 17,028 | 0,896 | 0,110 | 4,856 | 1,080 | 0,001 |
| Brasil | 14,158 | 0,745 | 0,237 | 1,328 | 0,287 | −0,129 |
| Chile | 8,183 | 0,431 | 0,145 | 1,731 | 0,354 | −0,027 |
| Colombia | 5,967 | 0,314 | 0,134 | 0,485 | 0,092 | −0,020 |
| México | 12,924 | 0,680 | 0,300 | 2,504 | 0,525 | 0,028 |
| Paraguay | 9,050 | 0,476 | 0,181 | 1,404 | 0,340 | −0,026 |
| Perú | 9,123 | 0,480 | 0,099 | 1,064 | 0,271 | −0,028 |
| Uruguay | 15,601 | 0,821 | 0,202 | 1,680 | 0,430 | 0,270 |
| Venezuela | 27,456 | 1,445 | 0,387 | 3,851 | 0,918 | 0,002 |
Fuente: cálculos propios a partir de información obtenida de las bases de datos del Banco Mundial, FMI, CEPAL, UNCTADSTAT, Penn World Table y de los bancos centrales u organismos oficiales de estadísticas de los países. a Estos indicadores consideran los ICE de cada año y no la suma acumulada de este.
Las tablas 6 y 7 presentan el ICE por indicador para los dos periodos y para cada país. De acuerdo con estos resultados, los países presentan un elevado grado de convergencia en la mayoría de sus indicadores en ambos periodos, lo cual es consistente con los cálculos del ICE (acumulado) presentados en las tablas 4 y 5. Colombia en el primer periodo y Chile y Brasil en el segundo son los países con el mayor número de indicadores que influyen en favor de un mayor grado de convergencia económica. Chile y México se intercambian roles entre periodo y periodo. No obstante, es importante enfatizar que, a nivel de indicador, sus resultados no están muy alejados de los respectivos valores de sus contrapartes. Particularmente, y prestando atención a los resultados del segundo periodo, la volatilidad de la tasa de cambio y la tasa de inflación presentan los ICE más bajos y son los que más han favorecido la convergencia durante los últimos años; adicionalmente, los ICE por indicador para el segundo periodo son mucho más bajos que los obtenidos para el primer periodo.
Tabla 6 Índices de convergencia económica (ICE) por indicador

Fuente: cálculos propios a partir de información obtenida de las bases de datos del Banco Mundial, FMI, CEPAL, UNCTADSTAT, Penn World Table y de los bancos centrales u organismos oficiales de estadísticas de los países.
Tabla 7 Índices de convergencia económica (ICE) por indicador

Fuente: cálculos propios a partir de información obtenida de las bases de datos del Banco Mundial, FMI, CEPAL, UNCTADSTAT, Penn World Table y de los bancos centrales u organismos oficiales de estadísticas de los países.
Un elemento común que tienen todos estos países es que, con excepción de Venezuela y Argentina, han tomado decisiones importantes. En los últimos 20 años han decidido adoptar programas de liberalización y de apertura económica, firmando acuerdos de libre comercio con sus principales socios comerciales, han decidido buscar otros bloques comerciales con la finalidad de diversificar el conjunto de socios comerciales y han decidido hacer esfuerzos conjuntos para integrarse económicamente. No obstante, Venezuela y Argentina han visto la integración más como un problema geopolítico.
Finalmente, desde el análisis del ICE se puede concluir que existe evidencia de convergencia macroeconómica en este grupo de países. Estos han venido tomando decisiones importantes que progresivamente han reducido sus asimetrías y, por ende, han podido facilitar una mayor integración comercial y financiera. Sin embargo, para tener una visión más completa del problema de integración y reducción de asimetrías se recurre al cálculo y análisis de correlaciones entre los principales indicadores de convergencia.
4.2.2. Análisis de correlaciones
Este análisis se llevará a cabo para todo el periodo y dividiendo los indicadores en cuatro grupos: indicadores relacionados con el producto real, con problemas monetarios, con el sector externo y, finalmente, con otras variables reales.
La tabla 8 presenta las correlaciones del producto real, particularmente las correlaciones entre las tasas de crecimiento y entre las brechas del producto real. Estos dos indicadores señalan cuán sincronizados se encuentran los ciclos económicos de estas economías. Esta tabla muestra, primero, que el patrón de correlaciones es similar cuando se comparan los dos componentes de la tabla (tasa de crecimiento y componente cíclico del PIB real). Segundo, que las fluctuaciones económicas se encuentran más sincronizadas entre los países suramericanos que entre estos y México. No obstante, las correlaciones observadas no son elevadas, lo cual implica que, en presencia de shocks comunes, los impactos simultáneos sobre el producto real son relativamente bajos o, en su defecto, hay muy pocos factores o shocks comunes que causen oscilaciones cíclicas simultáneas.
Tabla 8 Correlaciones del producto real (1980-2014)

Fuente: cálculos propios a partir de información obtenida de las bases de datos del Banco Mundial, FMI, CEPAL, UNCTADSTAT, Penn World Table y de los bancos centrales u organismos oficiales de estadísticas de los países.
La tabla 9 presenta las correlaciones entre las tasas de inflación, las tasas de cambio y las volatilidades de la tasa de cambio. Con respecto a las correlaciones entre las tasas de inflación de los países se observa que esta es positiva y relativamente alta, especialmente entre Uruguay con Colombia y Paraguay y Perú con Argentina. Sin embargo, no se observa evidencia empírica entre las tasas de inflación de México con Venezuela, Brasil, Perú y Argentina. Luego, entre las tasas de cambio se observa que la correlación es significativa ya que durante el periodo las monedas locales perdieron valor significativamente frente al dólar, como ocurrió en Perú durante la hiperinflación de finales de los 80 y principios de los 90, en Brasil durante las décadas de los 80 y 90, y en Argentina durante la década de los 90. Finalmente, en cuanto a la variabilidad de la tasa de cambio, Chile con Colombia, Paraguay con Argentina y Colombia y Brasil con Perú presentan correlaciones positivas importantes; no obstante, las correlaciones de la tasa de depreciación de México con el resto de países son bajas y en algunos casos negativas.
Tabla 9 Correlaciones de la inflación y la tasa de cambio (1980-2014)

Fuente: cálculos propios a partir de información obtenida de las bases de datos del Banco Mundial, FMI, CEPAL, UNCTADSTAT, Penn World Table y de los bancos centrales u organismos oficiales de estadísticas de los países.
Las correlaciones entre las balanzas comerciales como porcentaje del PIB y los saldos netos de la IED como porcentaje del PIB se presentan en la tabla 10. En primer lugar, la correlación de la balanza comercial con el resto de países es baja e incluso negativa. Esto se debe fundamentalmente al hecho de que estos países comercian poco entre sí. Uruguay es el que muestra una mayor sincronización (positiva) con la mayoría de países, excepto Paraguay, Perú y Venezuela. Ahora, en cuanto a IED como porcentaje del PIB, las correlaciones son positivas y relativamente bajas, con excepción de la de Brasil con Argentina y las de Uruguay con Colombia y Perú, respectivamente.
Tabla 10 Correlaciones entre variables externas (1980-2014)

Fuente: cálculos propios a partir de información obtenida de las bases de datos del Banco Mundial, FMI, CEPAL, UNCTADSTAT, Penn World Table y de los bancos centrales u organismos oficiales de estadísticas de los países.
La tabla 11 presenta los resultados sobre cuán correlacionados están los indicadores gasto del gobierno como porcentaje del PIB, tasa de inversión y tasa de desempleo, respectivamente. Con excepción de Paraguay, Argentina presenta correlaciones positivas y relativamente altas con los otros países en cuanto a gasto del gobierno. Sin embargo, Paraguay presenta una situación diametralmente opuesta: las correlaciones son negativas o no significativas. En el resto de casos las correlaciones son positivas pero inferiores a 0,50. Seguidamente, en cuanto a tasas de inversión, en algunas pocas excepciones los coeficientes de correlación son positivos y relativamente altos, pero gran parte de los casos son relativamente no significativos e incluso negativos. Nuevamente Paraguay presenta coeficientes de correlación negativos en la mayoría de sus casos. Por último, en cuanto a tasas de desempleo se observa que Brasil presenta correlaciones elevadas y positivas con Colombia, Perú y Uruguay, al igual que ocurre entre Colombia con Venezuela y Paraguay y Venezuela con Argentina y Paraguay.
Tabla 11 Correlaciones de otras variables macroeconómicas (1980-2014)

Fuente: cálculos propios a partir de información obtenida de las bases de datos del Banco Mundial, FMI, CEPAL, UNCTADSTAT, Penn World Table y de los bancos centrales u organismos oficiales de estadísticas de los países.
Como se ha podido apreciar, los resultados de las correlaciones no son tan reveladores como los obtenidos a partir del ICE. Es decir, al comparar ambas metodologías no se aprecia una dirección definitiva que señale el rumbo a los países. Sin embargo, para lograr el objetivo que pretenden Chile y Brasil, de ampliar y profundizar la integración económica en Latinoamérica, es necesario unir voluntades para hacer concesiones, pero a su vez exigir el cumplimiento de los acuerdos logrados. Es necesario no solo que hagan reformas y ajustes aislados, sino que los países trabajen conjuntamente en la toma de decisiones. Por ejemplo, podrían promover reformas institucionales con la finalidad de facilitar los procesos de innovación y emprendimiento; adoptar reglas fiscales que signifiquen mayor transparencia en las finanzas públicas; establecer restricciones al comportamiento de las variables macroeconómicas fundamentales; crear bancos de inversión destinados a financiar proyectos en los que participen empresas de dos o más países; establecer programas de incentivos para empresas que comercien dentro del bloque, y crear programas que faciliten la movilidad intra-bloque de trabajadores, técnicos y profesionales de empresas de los sectores agroindustrial y manufacturero, etc.; es decir, pensar en programas conjuntos que impulsen un mayor comercio intra-bloque y una mayor integración financiera, mejoren las condiciones institucionales y progresivamente disminuyan las asimetrías y favorezcan un crecimiento económico sostenido.
Conclusiones
Este trabajo investiga sobre las posibilidades, desde la convergencia económica, que tienen los países miembros de la Alianza del Pacífico y Mercosur de conformar un mercado común. Desde el punto de vista metodológico se propone, primero, la construcción de una variación del ICE utilizado originalmente por la Unión Europea y, segundo, se hace un análisis de las correlaciones con el fin de determinar si ante esta propuesta estos países están convergiendo y por tanto se pudiera pensar en la reducción de sus asimetrías. Esto se realiza considerando información estadística para el periodo comprendido entre los años 1980 y 2014.
Los resultados no son concluyentes, aunque los patrones observados sobre las decisiones de los países miembros para lograr una mayor convergencia económica sugieren que esta pudiera ser bastante factible en el mediano plazo. Particularmente, el ICE apunta en esa dirección. Los resultados indican que los países tienen un grado de convergencia que va desde significativa a alta, donde el país más convergente es Colombia cuando se considera el periodo completo de 35 años, que va desde 1980 hasta 2014. Sin embargo, al dividirse la muestra y comparar los resultados se observa que para el segundo periodo (1996-2014) todos los países exhiben grados de convergencia económica altos, aunque las dinámicas sugieren que Perú y Chile han adoptado un papel más importante en sus estrategias de convergencia económica. Esto probablemente sea producto de la política de apertura económica emprendida a finales de los años 90.
Por su parte, el análisis de costos y beneficios muestra varias correlaciones positivas entre los diferentes indicadores; no obstante, estas no son significativas. Los ciclos económicos están más sincronizados entre los países suramericanos que entre estos y México, por ejemplo. Las correlaciones de tasas de inflación reflejan que Chile y Colombia están correlacionados con el resto de países, pero, nuevamente, estas son relativamente altas, más no muy elevadas. Perú, evidentemente, después de la hiperinflación de finales de la década de los 80 y principio de los 90, muestra correlaciones de volatilidad de tasas de cambio y de inflación más bajas que el resto. Estos patrones se repiten para los distintos indicadores, pero no se observa un patrón definitivo.
Por último, para lograr el objetivo que pretenden Brasil y Chile de ampliar y profundizar la integración económica en Latinoamérica, cada país debe seguir esforzándose en mejorar las condiciones institucionales y laborales y, simultáneamente, estar dispuestos a ceder espacios que permitan los diálogos para la coordinación de políticas económicas y sociales. Es decir, pensar en políticas armonizadas que impulsen el comercio intra-bloque y la integración financiera, fortalezcan las instituciones y promuevan un crecimiento económico sostenido. Todo esto contribuiría a aminorar las asimetrías y aumentaría las posibilidades de convergencia económica.














