Services on Demand
Journal
Article
Indicators
-
Cited by SciELO -
Access statistics
Related links
-
Cited by Google -
Similars in
SciELO -
Similars in Google
Share
TecnoLógicas
Print version ISSN 0123-7799On-line version ISSN 2256-5337
TecnoL. no.28 Medellín Jan./June 2012
Artículo de Investigación/Research Article
Diseño, Implementación y Validación de un Controlador PID Autosintonizado
Design, Implementation and Validation of a Self-Tuning PID Controller
Leonardo F. Lozano-Valencia1, Luis F. Rodríguez-García2, Dídier Giraldo-Buitrago3
1Programa de Ingeniería Eléctrica, Universidad Tecnológica de Pereira, Pereira-Colombia, lflozano@utp.edu.co
2Programa de Ingeniería Eléctrica, Universidad Tecnológica de Pereira, Pereira-Colombia, luferodriguez@utp.edu.co
3Programa de Ingeniería Eléctrica, Universidad Tecnológica de Pereira, Pereira-Colombia, dgiraldo@utp.edu.co
Fecha de recepción: 15 de septiembre de 2011 / Fecha de aceptación: 13 de abril de 2012
Resumen
En este artículo se presenta el diseño y la implementación de un controlador PID autosintonizado. La metodología propuesta utiliza el método de mínimos cuadrados con reinicio de covarianza y el diseño por reubicación de polos para el cálculo de los parámetros del controlador. El diseño propuesto se implementa en sistemas estables e inestables simulados en un computador análogo COMDYNA GP-6, y se presenta una comparación del desempeño del controlador autosintonizado y un controlador PID clásico en términos del error medio cuadrático. Los resultados obtenidos muestran que los controladores de parámetros adaptativos tienen una mejor respuesta que los controladores de parámetros fijos frente a variaciones de parámetros que puedan afectar las condiciones del sistema.
Palabras clave: Control PID; sintonización automática; estimación en línea; reubicación de polos; variación paramétrica.
Abstract
In this paper the design and the implementation of a self-tuning PID controller is presented. The proposed methodology uses a least squares method with covariance resetting and a pole placement design for the calculation of controller parameters. The proposed design is implemented on stable and unstable systems simulated in a COMDYNA GP-6 analog computer, and a comparison of the performance of the self-tuning controller and a classic PID controller is presented in terms of root mean square error. The obtained results show that controllers of adaptive parameters have a better response than controllers of fixed parameters with respect to parameter variations that may affect the conditions of the system.
Keywords: PID control; automatic tuning; online estimation; pole placement; parameter variation.
1. Introducción
El control proporcional integral derivativo (PID) es la estrategia de control más usada en las aplicaciones industriales; se estima que más del 90% de los lazos de control utilizan control PID, dado que es una estrategia simple, efectiva y no requiere una gran fundamentación teórica para su utilización en los procesos cotidianos (Ang et al., 2005). Es por esto que, a pesar del desarrollo de estrategias de control más inteligentes y con mejores resultados experimentales, no se ha logrado desplazar al control PID de la aplicación en los procesos donde es deseable y a la vez suficiente que las operaciones que se realizan sean sencillas y sobre todo económicas, especialmente cuando se tienen limitaciones en la obtención de equipos para ejecutar estrategias más complejas o donde no se cuenta con operarios capacitados.
El control PID proporciona un tratamiento tanto para la respuesta de estado estacionario como la respuesta transitoria, y ofrece una solución genérica y eficiente a los problemas de control del mundo real. Muchos ingenieros están familiarizados con el control PID, y su uso se ha convertido en una práctica estándar. En la actualidad, la introducción del control digital ha mejorado las capacidades del PID, como son la adaptación, la sintonización automática, y la planificación de ganancia, las cuales pueden ser fácilmente introducidas en el control PID (Knospe, 2006).
El diseño de controladores PID se puede lograr desde diferentes enfoques, que van desde métodos de ensayo y error, como acercamientos basados en el modelo del sistema. Por tanto, surge la necesidad de desarrollar técnicas para obtener los modelos dinámicos de diversas aplicaciones tales como control de procesos, sistemas medioambientales, sistemas biológicos y biomédicos y sistemas de transporte (Gevers, 2006). El modelado de sistemas físicos es un proceso complicado que se puede efectuar utilizando dos enfoques diferentes: Uno requiere la aplicación de fundamentos teóricos basados en leyes o principios físicos; el otro es un enfoque empírico en el cual mediante la realización de experimentos se pretende obtener un modelo estimado que represente el comportamiento dinámico del sistema. La identificación de sistemas es el acercamiento experimental al modelado de los procesos, y se refiere en general al problema de desarrollar modelos matemáticos de sistemas basado en mediciones de excitación y respuesta. El interés práctico en la identificación de sistemas es debido a las dificultades asociadas al derivar modelos de principios físicos, y estos escenarios hacen de la identificación una herramienta vital en muchas aplicaciones de ingeniería, desde supresión de vibraciones a control de procesos (Fassois & Rivera, 2007).
Existen algunas características que no se tienen en cuenta en el desarrollo de modelos matemáticos de sistemas físicos o en el diseño de controladores, como perturbaciones, ruidos, variaciones de parámetros, entre otras. Esto puede llevar a imprecisiones entre el modelo calculado y el modelo actual del sistema, y a su vez al deterioro de la respuesta del controlador ante variaciones en sus parámetros. Los reguladores autosintonizados, un tipo de controlador adaptativo, basan su funcionamiento en la estimación recursiva de las características del sistema, las perturbaciones y la actualización de las estimaciones para así observar posibles cambios. Usando este conocimiento, se pueden emplear métodos apropiados para diseñar el controlador óptimo (Bobál et al., 2005). Algunos acercamientos comprenden el uso de redes neuronales para la estimación de los parámetros del sistema (Cajueiro & Hemerly, 2003), y a partir de estos realizar el cálculo de los parámetros del controlador con técnicas como algoritmos genéticos (Valarmathi et al., 2009). Otros esquemas comprenden la estimación en línea de los parámetros de un modelo de la planta, generalmente discreto, utilizando algún método de identificación, como el método de mínimos cuadrados o proyección ortogonal, unido al diseño de un controlador basado en dichos parámetros, los cuales se ajustan en línea (Aguado & Martinez, 2003).
En este trabajo, se presenta el diseño e implementación de un controlador PID autosintonizado, en el cual se emplea el método de mínimos cuadrados recursivo para la estimación en línea de los parámetros del sistema, y con base a los parámetros calculados, se diseña el controlador mediante el diseño por reubicación de polos. Este trabajo está dividido de la siguiente manera: en la sección 2 se muestra el desarrollo metodológico de un controlador PID autosintonizado, presentando la estructura del controlador, el controlador PID, el diseño por reubicación de polos y la estimación de parámetros. En la sección 3 se muestran los resultados de la implementación y se plantea la discusión en torno a los controladores de parámetros fijos y de parámetros adaptativos; la sección 4 presenta las conclusiones del trabajo.
2. Metodología
Con el fin de implementar el controlador PID autosintonizado, se utiliza el método de mínimos cuadrados recursivo para estimar un modelo discreto de la planta. Usando los parámetros del modelo discreto obtenido y las especificaciones de diseño, se obtienen los parámetros del controlador. Este proceso se ilustra en la Fig. 1.
2.1 Estructura del controlador
Se propone una estructura de controlador general con dos grados de libertad, es decir, una estructura en la cual exista una función de transferencia que actúe sobre la salida realimentada, y una función de transferencia diferente que actúe sobre la señal de referencia, como se muestra en la Fig. 2.
Esta estructura presenta ventajas puesto que no sólo permite realizar la reubicación de los polos del sistema, sino que también es posible hacer que la salida del sistema en lazo cerrado sea de la misma forma que un modelo de referencia especificado. Una forma particular se obtiene cuando T(q-1) = S(q-1), la cual es conocida como estructura con un grado de libertad. En esta estructura, se tiene una única función de transferencia que actúa sobre una señal de error, que es generada de la comparación de la señal de referencia r(k) con la salida del sistema y(k) (Åstrom & Wittenmark, 1996).
2.2 Diseño de controladores por reubicación de polos
A partir de la Fig. 2, la señal de control u(k) que actúa sobre la planta está dada por (1):

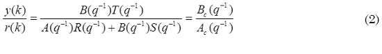
Igualmente, la función de transferencia del sistema en lazo cerrado en términos del operador de desplazamiento hacia atrás q-1, es decir la función de transferencia que relaciona la salida del sistema con la señal de referencia, está dada por (2):

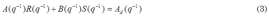
Los polinomios Ac y Bc corresponden al polinomio característico del sistema en lazo cerrado y el polinomio del numerador en lazo cerrado, respectivamente. La idea del diseño por reubicación de polos consiste en especificar el comportamiento deseado para el sistema en lazo cerrado a través del polinomio Ad. Los polinomios R(q-1) y S(q-1) pueden ser determinados a partir de la igualación del polinomio característico Ac con el polinomio deseado Ad como se muestra en (3):

Para el cálculo del polinomio T(q-1), es necesario dar especificaciones para la respuesta transitoria a través de los ceros del sistema. La solución también puede ser obtenida reemplazando los polinomios R(q-1), S(q-1) y T(q-1) por polinomios de estructura conocida, pero con parámetros desconocidos a ser calculados (Åstrom & Wittenmark, 1994).
2.3 Control proporcional integral derivativo
El control proporcional integral derivativo es una estrategia de control que consta de tres acciones básicas, las cuales en el dominio de la frecuencia se pueden expresar como se muestra en (4)

Con esta forma ideal, se tiene una acción proporcional que actúa directamente sobre el error; una acción integral, que elimina errores de estado estacionario en el seguimiento de señales constantes; y una acción derivativa, que en general ayuda a mejorar la respuesta transitoria mediante una acción que trata de predecir el valor futuro del error. Sin embargo, la estructura ideal presenta algunas dificultades en lo concerniente a la presencia de señales de alta frecuencia, debido a que la acción derivativa tiende a amplificarlos. Se incluye un filtro pasabajo a la acción derivativa con el fin de limitarla a un valor constante a altas frecuencias, como se muestra en (5).

De esta forma, a frecuencias bajas la acción derivativa es igual a la forma ideal, pero a frecuencias altas, la acción derivativa es limitada al valor KpN. Otra dificultad que presenta es que es sensible a variaciones repentinas del punto de referencia, lo que afecta a las acciones proporcional y derivativa. Se adiciona una ponderación al punto de referencia, con el fin de mitigar su acción sobre la señal de control, como se muestra en (6) (Åstrom & Hägglund, 1995; Åstrom & Wittenmark, 1996):

Finalmente, asumiendo una realimentación directa de la salida sobre la acción derivativa, esto es, asumiendo c = 0, las acciones proporcional, integral y derivativa discretizadas se muestran en (7), (8) y (9), respectivamente, las cuales son expresadas en función de los parámetros continuos y de un conjunto de coeficientes que dependen del método de discretización, los cuales se muestran en la Tabla 1.



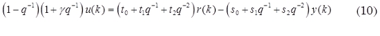
Finalmente, la señal de control PID discreta, que corresponde a la suma de las acciones individuales, puede ser expresada en términos del operador de desplazamiento hacia atrás como se muestra en (10):

Donde los coeficientes Si, ti, i = 0,1,2 se muestran en (11)-(16), y son expresados en función de los coeficientes mostrados en la Tabla 1:






La ecuación (10) muestra una forma general de controlador PID discretizado (Åstrom & Hägglund, 1995; Åstrom & Wittenmark, 1996), cuyos polinomios se pueden reemplazar en (2), para así calcular los coeficientes con el diseño por reubicación de polos.
2.4 Diseño de control PID para sistemas de segundo orden
Se asume que una planta de segundo orden se puede modelar a través de una función de transferencia, como se muestra en (17):

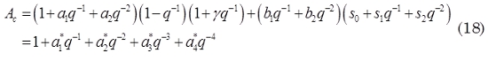
A partir del numerador y denominador de (17), y de los polinomios del controlador que se muestran en (10), el polinomio característico del sistema en lazo cerrado se define por (18):

Donde los coeficientes se muestran en (19)-(22):




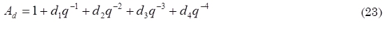
Se realiza la comparación con el polinomio deseado para el sistema en lazo cerrado, que se puede expresar como se muestra en (23):

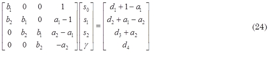
Finalmente se obtiene el sistema de ecuaciones mostrado en (24):

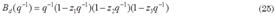
A partir de la solución del sistema de ecuaciones (24), se logra la sintonización de los polinomios R y S del controlador PID. Para sintonizar el polinomio T, se busca que el polinomio del numerador del sistema en lazo cerrado, que puede ser obtenido de (2), sea igual al polinomio que se muestra en (25):

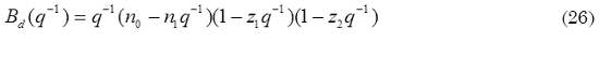
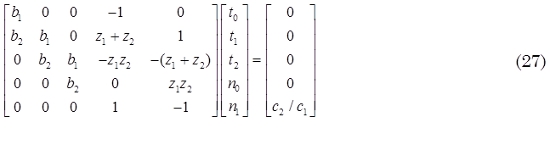
Pero a partir de (25) no es posible realizar la reubicación de todos los ceros del sistema, puesto que no se tienen suficientes parámetros. Se propone como solución a este problema la expresión mostrada en (26):

donde el polinomio del numerador deseado consta de dos ceros que son asignados por el usuario y un cero que es calculado por el algoritmo en función de las variables n0 y n1. De esta forma se consigue que el número de ecuaciones sea igual al número de parámetros disponibles para la sintonización. El sistema de ecuaciones obtenido está dado por (27):

2.5 Estimación de parámetros
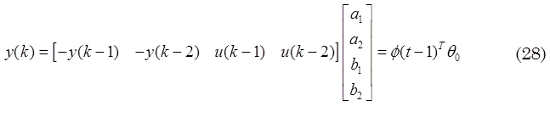
Los parámetros del controlador se pueden calcular en función de los parámetros de la planta, los cuales pueden o no ser conocidos. En este caso se asume que los parámetros son desconocidos, y por tanto se utilizará el método de mínimos cuadrados recursivo para obtener los parámetros del sistema. A partir de (17), la salida de la planta en el instante k puede ser expresada como una función de sus entradas y salidas pasadas y sus parámetros, como se muestra en (28):

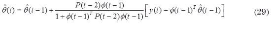
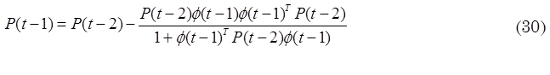
Donde Φ (t – 1) es un vector de regresión que contiene la información pasada del sistema, y θ0 es un vector que contiene los parámetros desconocidos del sistema. El método de mínimos cuadrados estima los parámetros del sistema en función de la estimación anterior, una matriz de ganancia, un vector de regresión y un error de estimación, a partir de las ecuaciones recursivas (29) y (30):


La matriz de ganancia del algoritmo está en función de una matriz de covarianza P(t – 1). A medida que los parámetros estimados comienzan a converger a los valores reales, los elementos de la matriz de covarianza toman valores pequeños, lo que hace que el algoritmo pierda sensibilidad frente a las variaciones en los parámetros. Se proponen modificaciones para ayudar al algoritmo a recalcular los parámetros cuando se presentan variaciones en los parámetros. Una alternativa es el método de mínimos cuadrados con reinicio de covarianza, en el cual se seleccionan un conjunto de instantes de tiempo, para los cuales si el instante actual no pertenece a dicho conjunto, la matriz de covarianza se calcula según (30). Si por el contrario el instante actual pertenece a dicho conjunto, la matriz de covarianza toma el valor dado por (31):

Otra alternativa es utilizar el método de mínimos cuadrados con ponderación exponencial de datos, en el cual se introduce un factor de olvido α, mediante el cual se agrega un peso a los datos con el fin de dar más importancia a los datos más recientes, y descartar con mayor facilidad los datos más antiguos. Este método satisface las ecuaciones recursivas (32) y (33) (Goodwin & Sin, 2009).


3. Resultados y discusión
3.1 Computador aálogo COMDYNA GP-6
El computador análogo COMDYNA GP-6 es un dispositivo electrónico que permite la simulación de las ecuaciones diferenciales que describen la dinámica de un sistema físico, mediante un circuito construido con amplificadores operacionales y otros elementos como potenciómetros y capacitancias, que representa las mismas ecuaciones del sistema original. Este dispositivo permite la simulación de sistemas hasta de cuarto orden, y con ayuda de los potenciómetros, es posible realizar variaciones en línea de los parámetros de los sistemas implementados. Otra ventaja del computador análogo COMDYNA GP-6 es que su manejo con señales eléctricas facilita las labores de adquisición de datos. Estas características lo hacen ideal para las pruebas a realizar.
3.2 Control de un sistema estable de segundo orden
Se implementó en el computador análogo COMDYNA GP-6 la función de transferencia mostrada en (34), que corresponde a la función de transferencia de un sistema de segundo orden sobre amortiguado estable en lazo abierto.

El sistema con el controlador fueron puestos en marcha, y en un instante de tiempo alrededor de 30 segundos de ejecución se realizó una variación de parámetros, de tal manera que el coeficiente de amortiguamiento del sistema cambiase de 1,8 a 0,75, obteniendo el sistema que se muestra en (35).

Se utilizó el método de la respuesta al escalón desarrollado por Ziegler y Nichols para calcular un conjunto de parámetros iniciales para el controlador PID, el cual fue finalmente ajustado por tanteo hasta alcanzar una respuesta satisfactoria. Los parámetros obtenidos para la sintonización del controlador fueron Kp = 3, Ti = 0,59, Td = 0,6 y la respuesta del sistema con el controlador sintonizado con el método clásico se muestra en la Fig. 3:
De la Fig. 3, se observa que se realiza el seguimiento de la señal de referencia, sin embargo ante la variación de parámetros, el sistema no es capaz de seguir la señal de referencia con el comportamiento esperado. Se realizó la implementación con un controlador PID autosintonizado, en el cual se buscaba que los polos en lazo cerrado fueran reubicados como se muestra en (36), los cuales de forma discreta considerando un tiempo de muestreo de 200 milisegundos se muestran en (37):


Los resultados de la implementación utilizando el controlador con un grado de libertad se muestran en la Fig. 4:
El sistema presenta una condición inicial de valor cercano a 0,5 voltios. En los primeros instantes de control, como no se posee información precisa del sistema, se presentaron algunas oscilaciones en el seguimiento de las señales de referencia constantes, al igual que la condición inicial hizo que en principio no se obtuviera un modelo apropiado que describa la dinámica del sistema. Como el algoritmo de identificación implementado comprendía el reinicio periódico de la matriz de covarianza, el modelo fue recalculado y se logró el seguimiento la señal de referencia con el comportamiento esperado. Ante la variación de parámetros del sistema, el algoritmo logró ajustar el modelo estimado del sistema, y a su vez recalculó los parámetros del controlador de tal manera que la respuesta del sistema fuese igual a la respuesta deseada. Se realizó la misma implementación considerando la estructura de controlador PID autosintonizado con dos grados de libertad. Para este caso, se buscó que el sistema en lazo cerrado tuviese polos dados por (37), y que tuviera ceros en S1,2 = – 10. Los resultados de esta implementación se muestran en la Fig. 5.
Al igual que en el caso anterior, debido a la condición inicial en el proceso se presentaron algunas oscilaciones no deseadas, que son finalmente eliminadas cuando el modelo es recalculado por el algoritmo. El sistema realizó el seguimiento de la señal de referencia siguiendo el comportamiento dado por el modelo de referencia especificado. Al igual que en el caso de controlador con un grado de libertad, el controlador pudo reajustarse luego de que se realizó la variación en los parámetros.
Para realizar una comparación entre los resultados, se calcula el error medio cuadrático (38) para cada caso:

Para cada caso, se calcula el error medio cuadrático antes y después de la variación de parámetros, para observar la variación del este. Los resultados se resumen en la Tabla 2.
El controlador de parámetros fijos es diseñado para funcionar de manera adecuada ante una condición de operación; es por esto que al realizar una variación en la dinámica de planta, el sistema opera bajo una condición diferente a la de diseño, lo cual se ve reflejado en el incremento del error medio cuadrático después de la variación de parámetros. Esta dificultad es superada con el controlador de parámetros adaptativos, el cual es capaz de ajustar sus parámetros ante las variaciones en las condiciones de operación, garantizando así que la respuesta siempre sea igual a la respuesta deseada. Sin embargo, una desventaja que presentan estos controladores es que al carecer de información preliminar del comportamiento del sistema, pueden presentar algunos transitorios no deseados mientras el sistema es identificado.
Tanto para el controlador con un grado de libertad como el de dos grados de libertad, la variación del error medio cuadrático es menor que la presentada con el controlador de parámetros fijos. Con respecto a la estructura del controlador, la estructura con un grado de libertad permite un seguimiento más preciso de la señal de referencia, puesto que la acción integral del controlador PID garantiza error de estado estacionario nulo ante las referencias de tipo constante y rampa, sin embargo, puede presentar algunos sobrepasos transitorios que no pueden ser eliminados por la reubicación de polos, y que son ocasionados por los ceros del sistema en lazo cerrado. Por otra parte, la estructura de dos grados de libertad presenta mayor control de la respuesta transitoria del sistema, sin embargo, presenta error de estado estacionario en el seguimiento de señal tipo rampa, lo cual se evidencia en valor del error medio cuadrático antes y después de la variación de parámetros.
3.3 Control de un sistema de segundo orden inestable
Se implementó en el computador análogo la función de transferencia (39), que corresponde a una función de transferencia de un sistema de segundo orden inestable en lazo abierto.

Como el sistema es inestable en lazo abierto, no es posible realizar el método de la respuesta al escalón para la sintonización manual del controlador. Se implementó el controlador PID autosintonizado con estructura de dos grados de libertad, realizando la reubicación de polos planteada en (37). Al igual que para el sistema estable, se considera una variación en los parámetros del sistema, efectuada alrededor de 30 segundos. Los resultados de esta implementación se muestran en la Fig. 6.
De la Fig. 6, se observa que el sistema es capaz de alcanzar un comportamiento estable en lazo cerrado, regido por la reubicación de polos planteada en (37). Ante la variación de parámetros, el controlador es capaz de identificar la variación, garantizando así que la respuesta del sistema en lazo cerrado sea igual a la respuesta deseada especificada. El ajuste manual es una tarea difícil puesto que el sistema asume rápidamente valores elevados en su salida ante cualquier entrada o perturbación debido a su condición inestable.
4. Conclusiones
Se compararon los resultados de la implementación de un controlador PID autosintonizado y un controlador PID sintonizado con una técnica clásica sobre un sistema estable de segundo orden y un sistema inestable. Se mostró que ambos controladores realizan un seguimiento adecuado de la señal de referencia propuesta. El controlador de parámetros adaptativos presentó ventajas frente al controlador de parámetros fijos ante las variaciones de parámetros, debido a que su estructura ajustable le permite adaptarse a los cambios del sistema. El controlador de parámetros adaptativos también presentó resultados satisfactorios en el control del sistema inestable, mostrando otra ventaja frente al controlador de parámetros fijos, el cual no se implementó debido a que no pudo ser sintonizado con el método propuesto. Una desventaja del controlador autosintonizado está en que la falta de información del proceso genera ciertas imprecisiones en la respuesta del sistema mientras se realiza el ajuste de parámetros; dependiendo de las características del proceso, esas imprecisiones pueden ser tolerables o no relevantes. Para sistemas donde no sean permisibles tales imprecisiones, se puede sugerir otra estrategia de control.
Referencias
Aguado, A. & Martinez, M., (2003); Identificación y control adaptativo, Prentice-Hall, Madrid, España. [ Links ]
Ang, K. H., Chong, G. & Li Y., (2005); PID control system analysis, design, and technology. IEEE Transactions on Control Systems Technology, 13(4), 559-576. [ Links ]
Åstrom, K. J. & Hägglund, T., (1995); PID Controllers: Theory, Design and Tuning, 2nd edición, The International Society of Automation, USA. [ Links ]
Åstrom, K. J. & Wittenmark, B., (1994); Adaptive Control, 2a edición, Addison-Wesley Longman Publishing Co., Boston, USA. [ Links ]
Åstrom, K. J. & Wittenmark, B., (1996); Computer-Controlled Systems: Theory and Design, 3a edición, Prentice-Hall. Upper Saddle River, New Jersey, USA. [ Links ]
Bobál, V., Böhm, J., Fessl, J. & Macháček, J., (2005); Digital Self-tuning Controllers, Springer-Verlag, London, United Kingdom. [ Links ]
Cajueiro, D. O., & Hemerly, E. M., (2003); Direct adaptive control using feedforward neural networks. Sba: Controle & Automação Sociedade Brasileira de Automatica, 14(4), 348-358. [ Links ]
Fassois, S. D. & Rivera, D. E., (2007); Applications of system identification, IEEE Control Systems Maganize, 27 (5), 24-26. [ Links ]
Gevers, M., (2006); A personal view of the development of system identification: a 30-year journey through an exciting field, IEEE Control Systems Magazine, 26 (6), 93-105. [ Links ]
Goodwin, G. C. & Sin, K. S., (2009); Adaptive Filtering, Prediction and Control, Dover Publications, New York, USA. [ Links ]
Knospe, C., (2006); PID Control, IEEE Control Systems Magazine, 26 (1), 30-31. [ Links ]
Valarmathi, K., Devaraj, D. & Radhakrishnan, T. K., (2009); Intelligent Techniques for System Identification and Controller Tuning in pH Process. Brazilian Journal of Chemical Engeneering, 26(1), 99-111. [ Links ]





















