Services on Demand
Journal
Article
Indicators
-
Cited by SciELO -
Access statistics
Related links
-
Cited by Google -
Similars in
SciELO -
Similars in Google
Share
TecnoLógicas
Print version ISSN 0123-7799On-line version ISSN 2256-5337
TecnoL. vol.20 no.38 Medellín Jan./Apr. 2017
Artículo de investigación/Research article
A phantom-based study for assessing the error and uncertainty of a neuronavigation system
Evaluación del error y la incertidumbre de un sistema de neuronavegación, estudio basado en una estructura acrílica
Natalia Izquierdo-Cifuentes1, Genaro Daza-Santacoloma2 y Walter Serna-Serna3
1 M.Sc. en Instrumentación Física, Grupo de investigación Applied Neuroscience, Instituto de Epilepsia y Parkinson del Eje Cafetero, Pereira-Colombia, natalia.izquierdo@neurocentro.com.co
2 Ph.D. en Ingeniería - Automática, Grupo de investigación Applied Neuroscience, Instituto de Epilepsia y Parkinson del Eje Cafetero, Pereira-Colombia, research@neurocentro.com.co
3 M.Sc. en Instrumentación Física, Grupo de investigación Applied Neuroscience, Instituto de Epilepsia y Parkinson del Eje Cafetero, Pereira-Colombia, walter.serna@neurocentro.com.co
Fecha de recepción: 25 de noviembre de 2015 / Fecha de aceptación: 19 de septiembre de 2016
Como citar / How to cite
N. Izquierdo-Cifuentes, G. Daza-Santacoloma y W. Serna-Serna, A phantom-based study for assessing the error and uncertainty of a neuronavigation system, Tecno Lógicas, vol. 20, no. 38, pp. 15-26 enero-junio, 2017.
Abstract
This document describes a calibration protocol with the intention to introduce a guide to standardize the metrological vocabulary among manufacturers of image-guided surgery systems. Two stages were developed to measure the errors and estimate the uncertainty of a neuronavigator in different situations, on the first one it was determined a mechanical error on a virtual model of an acrylic phantom, on the second it was determined a coordinate error on the computerized axial tomography scan of the same phantom. Ten standard coordinates of the phantom were compared with the coordinates generated by the NeuroCPS. After measurement model was established, there were identified the sources of uncertainty and the data was processed according the guide to the expression of uncertainty in measurement.
Keywords: Image-guided surgery, optical tracking, error, uncertainty, acrylic phantom, metrology.
Resumen
Este documento describe un protocolo de calibración con el objetivo de introducir una guía que estandarice el vocabulario metrológico entre los fabricantes de sistemas de cirugía guiada por imágenes. Se desarrollaron dos etapas para medir los errores y estimar la incertidumbre de un neuronavegador en diferentes situaciones, en la primera se determinó un error mecánico en un modelo virtual de una estructura acrílica, en la segunda se determinó un error de coordenadas sobre imágenes de tomografía axial computarizada de la misma estructura. Diez coordenadas de referencia de la estructura acrílica se compararon con las coordenadas generadas por el neuronavegador. Después de establecer el modelo de medición, fueron identificadas las fuentes de incertidumbre, los datos se procesaron de acuerdo a la guía para la expresión de la incertidumbre de medida.
Palabras clave: Cirugía guiada por imágenes, seguimiento óptico, error, incertidumbre, estructura acrílica, metrología.
1. Introduction
The Neuronavigation is a technology that allows a real-time intraoperative guidance in neurosurgery. Also termed frameless stereotactic surgery, these systems have been demonstrated to convey several advantages, improving the planning and performance of image-guided surgery [1], [2]. In neuronavigation, the position of surgical tools is tracked during an operation and visualized on the preoperative obtained images such as magnetic resonance (MR) and computed tomography (CT).
The main objective of neuronavigation is to see the tip of a pointer superposed on medical images during a surgical procedure. Although there are neuronavigation devices based on a variety of digitization techniques, all of them have a very similar operation methodology. At first, it is required to build an image space by using a volumetric sequence of medical images, generating a patient’s virtual reconstruction. This information allows to the specialist realizes the surgical planning, defining a region of interest, targets and trajectories that must be followed during surgery. A relationship between the device space, in which is located the real patient, and the image space has to be established for translating the defined elements in surgical planning, this procedure is called registration or calibration of the navigation device, and always requires a 3D spatial digitization system for matching coordinates between real and virtual spaces. After calibration, the digitization system can transform any recognizable point of interest in scene for its visualization over the virtual anatomical structure.
Neuronavigation implies high accuracy, that is, the correspondence between the images acquired by cameras and the medical images (MR and/or CT) must be greatest as possible, because the neurosurgeon trusts on this mixed virtual representation during the surgical procedure [3]. In this sense, the importance of quantifying the capabilities of the neuronavigation technology is justified.
Each stage described above, implemented in a navigation system, introduces an error and uncertainty source to the computed measurements. In this way, to ensure a suitable device behavior it is necessary to evaluate the individual contribution of each stage. The medical image resolution depends on acquisition technology, and this is a limit for the navigation system resolution. Then, the performance of the digitization system in the three-dimensional coordinate measurement space is limited only for medical image resolution after registration task. In that way, the metrology gets involved as it includes practical and theoretical determinations in any field of science and technology, providing a methodology for assessing the measurements of a process and taking appropriate decision for approving it or not.
A new navigation system, called NeuroCPS, is being developed. In this point was born the necessity of quantifying the error of NeuroCPS and then to follow the evolution of the system. After this it could be necessary to confront the results with the performance of other commercial systems. Even though, a comparison of publications made by Grunert [4] in relation to the accuracy of navigation devices is hindered by the different methods and parameters measured and its statistical evaluation, and even the unit in millimeters can differ, referring either to linear range error relative to the x/y/z coordinate axis or the Euclidean distance d in space [4]. Moreover, several works [5]-[13]showed that the error is reported as the mean (average value) along with the standard deviation, which shows how much variation or dispersion exists from the mean. Nevertheless, according the international vocabulary of metrology, this deviation is not a sufficient parameter for expressing the uncertainty of a measurand.
Therefore, the aim of this study is to propose a standard methodology to determine the error and uncertainty of a Navigation system, comparing the coordinates of a standard reference against the measurements obtained by a digitization system, represented on both, a CAD model and a real tomography image of a phantom. All procedures proposed are based on the International Vocabulary of Metrology [14], the Guide to the expression of uncertainty in measurement [15], and the ASTM F2554 Standard Practice for Measurement of Positional Accuracy of Computer Assisted Surgical System. [16].
2. Metodology
2.1 Neuronavigation system
The neuronavigation device used for this study is the NeuroCPS. It consists of a workstation that performs a planning software, a structure on which two optical sensors are mounted, a control volume for initialize the system, a patient tracker, a pointer and removable accessories for surgical instruments (Fig. 1). The NeuroCPS is an underdevelopment technology, and the main goal of this article is to present a methodology for validating the performance of the system in accordance to international standards. This new neuronavigator is proposed to work with a par of digital cameras conforming a stereo vision system. Two Flea2-Point Grey color cameras were used in this prototype, with a resolution of 1240x960 at 15 fps. Surgical tools are detected in images using geometrical markers attached to the tools. Each marker is designed with geometrical and contrast patterns, so it is easy to recognize the tool using image processing algorithms (Fig. 1 d). The software of NeuroCPS takes a set of MRI or CT DICOM images and builds a 3D model of the patient. The software also allows to set the surgical approach. It was developed in Visual Studio and is supported by OpenCV and VTK.
There are three fundamentals phases for using the system, the first step consists in attaching four fiducial markers to the patient’s head (in this case, the lateral zone of the phantom), and acquiring the medical images, these fiducial markers appear as a bright object on CT and MR scans. The next step consists in the space digitization, that is, the initialization of the high resolution cameras that are responsible for the 3D reconstruction of the objects in real physical coordinates using stereo vision algorithms. The last step is the registration, it is the determination of one-to-one mapping between the coordinates in one space and those in another, such that points in the two spaces that correspond to the same anatomical point are mapped to each other [2], [3], [13], [16]-[20], which is done identifying each fiducial marker on the patient with the pointer and repeating this on the medical images by using the software tools.
When these phases are accomplished, it is possible to navigate in the phantom space using the pointer. The cameras can follow the position of the pointer, and this position can be expressed in coordinates belonging to the phantom’s reference system.
2.2 The phantom
As stated in the document ASTM F2554 the phantom is a standardized measurement object and is used for evaluating the accuracy of the tracking system. Material and shapes of phantoms can differ depending the final purpose of the system and the technology used for medical images. Even though, it is important to measure the phantom with a coordinate measuring machine or similar measurement device traceable to the International System of Units, so it can be used as a reference standard [16]. An acrylic phantom was modified and fitted for testing the frameless system (Fig. 2). The phantom has a shape resembling a cylinder (height 13 cm; diameter 14 cm), the superior cover can be removed in order to reach the internal targets. The phantom can be filled with water to obtain MR images and differentiate the internal components. It has inside two parallel plates with twelve cylindrical bars including two ramps and a cuboid. On the lateral surface, ten adhesive fiducial markers are mounted for the registration procedure. The coordinates of ten targets of the phantom were calibrated in the Laboratorio de metrología dimensional del Instituto Nacional de Metrología de Colombia (Dimensional Metrology Laboratory of the National Institute of Metrology from Colombia) with a coordinate measuring machine. These targets are called the reference coordinates (Fig. 3c).
2.3 Image acquisition
A CT of the phantom was performed in a General Electric HiSpeed Dual Scanner with slice thickness of 1.0 mm, image resolution of 512 x 512 pixels and pixel spacing of 0.45 mm. The data were transferred to the NeuroCPS system on an optical disk.
2.4 Errors of the navigation systems
The terminology for describing metrology characteristics of the neuronavigation systems plays an important role for understanding the concepts and avoiding misused terms, that is why the terms: error, uncertainty, precision and accuracy must be specified. In this sense, error is a measured quantity value minus a reference quantity value; uncertainty is a non-negative parameter characterizing the dispersion of the quantity values being attributed to a measurand; precision is the closeness of agreement between indications or measured quantity values obtained by replicate measurements on the same or similar objects under specified conditions; and accuracy is the closeness of agreement between a measured quantity value and a true quantity value of a measurand [14].
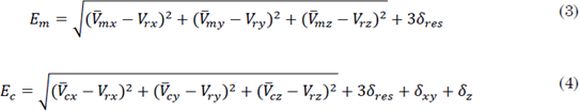
According to Grunert [4] the neuronavigation systems have a technical error, a registration error and an application error. Technical error indicates how reliably the navigation device can define its own position in space. Registration error is related to coordinate transformation [21]; it depends on the technical error of determining the fiducials by the navigation device in the image space. Application error reflects the overall error during the whole procedure, it includes technical error, registration error, and changes in the anatomic structures during the procedure [4]. In this document the concept of technical error will be used to assess the behavior of the system, first, in a virtual model of the phantom, where the error will be named mechanical error from now on Em , secondly, in the medical images of the phantom, where the error will be named coordinate error from now on Ec .
2.5 Measurements
2.5.1 Measurement model
It is the mathematical relationship among all quantities known to be involved in a measurement [14]. In this measurement model the principles of the Pythagorean theorem are used to obtain the distance between two points in a three-dimensional space. Assuming that P1(x1 , y1 , z1) is a reference point of the phantom and P2(x2 , y2 , z2) is the same point showed by the NeuroCPS, the distance between them can be expressed as follows:
From the equation (1) can be obtained Em and Ec:
Where: ∇cx , ∇cy , ∇cz are the measured values of the coordinates x, y and z respectively.
2.5.2 Measurement method
The measurement method used was direct, without supplementary calculations based on a functional relationship between the measurand and other quantities actually measured.
The virtual model of the phantom was made through a computer assisted design tool and it allows to visualize the ten reference points (bottom of Fig. 3). In the beginning the NeuroCPS is initialized using the steps mentioned above in the section Navigation system, the registration error of the four fiducial markers on the phantom must be less than 2 mm, it is possible to try three times to be under that bound, if not, the system must be initialized again. Once this step is done, the pointer is brought onto the edge of each target and the coordinates reported by the system are saved (Fig 3a). With this information (1) computes the distance in the 3D space between the actual point and the calculated position of the target.
For measuring is required to load the DICOM files of the phantom’s medical images in the software, and performing the steps described in the last paragraph. In this case it has to be used (2). The Fig. 4 shows the location of the pointer in real time in phantom’s medical images.
2.5.3 Measurement method
The uncertainty of the result of a measurement reflects the lack of exact knowledge of the value of the measurand [14]. To describe the uncertainty of the NeuroCPS is necessary to know its components from the measurement model, which were previously described for Em and Ec . The components found in this work are expressed in Table 1:
NeuroCPS δres , resolution, refers to the smallest change in the tip of the pointer that causes a perceptible change in the corresponding indication of the coordinates x, y and z. The sources described above must be associated with (2) and (3) as corrections, whose nominal values will be 0, and they will not be part of the final error, but they will be taken into account for uncertainty estimation process.
For evaluating and expressing uncertainty in measurement are implemented two computational frameworks based on the Guide to the expression of uncertainty in measurement [15]. This guide establishes general rules for evaluating and expressing uncertainty in measurement that can be followed at various levels of accuracy and in many fields.
3. Results and Discussion
The results from testing the mechanical error are shown in the Fig. 5. The 19 measurements correspond to the average of the ten phantom’s target points, the mean of them is 1,8 mm, the expanded uncertainty is obtained by multiplying the combined uncertainty by a coverage factor. In general, the value of the coverage factor k is chosen on the basis of the desired level of confidence to be associated with the interval defined by the expanded uncertainty. The result is expressed as 1,8 mm ± 2,0 mm, with a coverage factor k= 2,1 and a confident interval of 95%.
The results of the coordinate error are shown in Fig. 6. There were made 17 measurements, and the data was processed as it previously stated. The mean of them is 2,5 mm with an expanded uncertainty of 2,1 mm, a coverage factor k= 2,1 and a confident interval of 95%.
Standarizing the accuracy evaluation of the Computer-Integrated Surgery systems (CIS) have been the goal of some international bodies [18], but currently there are not accepted regulations. The implementation realized in this work could contribute to introduce protocols that correctly apply the conventional concepts of metrology for quantifying the error and the uncertainty of a navigation system.
The information obtained in these results establishes the baseline of the system, allowing the manufacturer a guideline for controlling how it behaves every time improvements are done. It should be clarified that the proposed procedure allows quantifying the system error, however, the acceptance of the results and approval of the system to be used in surgery depends on the application and the requirements of the clients. Maximum accuracy is desirable, but not all neurosurgical procedures required it. For identifying brain and bone structures and credible target location, at the beginning of surgery, an error of 3-4 mm is enough; which is lower than the obtained by most of the surgeons by themselves [19]. Regarding the errors obtained with the NeuroCPS, Em =1,8 mm and Ec = 2,5 mm, it is shown that the system is achieving the requirements for clinical environments. However, it is mandatory to perform clinical research for assessing the behavior of the system in real procedures. On the other side, it must be said that the results still remain outside the mean of current navigation systems, which are in the range of 0,1 mm to 0,6 mm [4].
Uncertainty values depends on medical images and their voxels size, also depends on phantom calibration certificate, but the bigger contribution comes from the resolution and the indication of the instrument under test. The resolution of the system can be improved upgrading the algorithms for marker detection, and using markers with more detectable features for increasing the confidence in positioning results. The standard deviation in the localization of the tip of the pointer shows that x and y coordinates causes the major uncertainty, it can be related to problems with the patient registration stage.
4. Conclusions
In this research was possible to obtain the error and the uncertainty of a specific underdevelopment neuronavigation system, the NeuroCPS, following a proposed validation method based in the international standards and the official vocabulary. In the first stage was tested the performance of the stereo vision system, in the second part was assessed the medical image processing module.
The measurement of mechanical error and coordinate error explains the behavior of the device; this measurement can be implemented in a protocol with the goal of finding the influence of any external variables to the system. Mechanical error and coordinate error can be measured not only in image guided surgery systems based in stereo vision systems, but also in other kind of technology.
The need to encourage the implementation of standardized measurement protocols is identified in the state of art of navigation systems. Some of the reviewed literature do not apply the International Vocabulary of Metrology in them researches and misunderstand the definitions of error, uncertainty and others variables used for the correct inter comparison between devices and brands.
Current protocols for the error measurement, found in the state of the art, are valuable for both comparing the performance of different brands, and observing the evolution of a particular system. However, these protocols use standard deviation like the expanded uncertainty. The proposed methodology includes the system resolution, the medical image resolution, and the standard uncertainty in the computation of the expanded uncertainty. This way was not only introduced a more reliable representation of uncertainty, but also a more descriptive variable.
In general, was noticed that existing protocols do not let identify the principal source of error in the system, which can be helpful for developers. As a future work, trend data analysis of error measurement must be implemented as part of the protocol in order to find the principal sources of error of the system.
5. Acknowledgments
This research was supported by Instituto de Epilepsia y Parkinson del Eje Cafetero and COLCIENCIAS with the finnancing program Locomotora de la innovación para el apoyo del desarrollo tecnológico, project Sistema de cirugía guiada por imágenes para procedimientos de cerebro y columna, code 499164239868.
Referencias
[1] G. Unsgaard, S. Ommedal, T. Muller, A. Gronningsaeter, and T. A. Nagelhus Hernes, Neuronavigation by intraoperative three-dimensional ultrasound: initial experience during brain tumor resection.,Neurosurgery, vol. 50, no. 4, p. 804-812, Apr. 2002. [ Links ]
[2] L.H. Stieglitz, J. Fichtner, R. Andres, P. Schucht, A.K. Krähenbühl, A. Raabe, and J. Beck, The silent loss of neuronavigation accuracy: a systematic retrospective analysis of factors influencing the mismatch of frameless stereotactic systems in cranial neurosurgery.,Neurosurgery, vol. 72, no. 5, pp. 796-807, May 2013. [ Links ]
[3] K. Cleary and T. M. Peters, Image-Guided Interventions: Technology Review and Clinical Applications, Annu. Rev. Biomed. Eng., vol. 12, no. 1, pp. 119-142, Jul. 2010. [ Links ]
[4] P. Grunert, K. Darabi, J. Espinosa, and R. Filippi, Computer-aided navigation in neurosurgery, Neurosurg. Rev., vol. 26, no. 2, pp. 73-99, May 2003. [ Links ]
[5] E.A. Benardete, M.A. Leonard, and H.L. Weiner, Comparison of frameless stereotactic systems: accuracy, precision, and applications, Neurosurgery, vol. 49, no. 6, pp. 1409-1416, 2001. [ Links ]
[6] S. Poggi, S. Pallotta, S. Russo, P. Gallina, A. Torresin, and M. Bucciolini, Neuronavigation accuracy dependence on CT and MR imaging parameters: a phantom-based study, Phys. Med. Biol., vol. 48, no. 14, pp. 2199-2216, Jul. 2003. [ Links ]
[7] R.F. Labadie, B.M. Davis, and J.M. Fitzpatrick, Image-guided surgery: what is the accuracy?, Curr. Opin. Otolaryngol. Head Neck Surg., vol. 13, no. 1, pp. 27-31, 2005. [ Links ]
[8] M. Cartellieri, J. Kremser, and F. Vorbeck, Comparison of different 3D navigation systems by a clinical 'user', Eur. Arch. Oto-rhino-laryngology, vol. 258, no. 1, pp. 38-41, 2001. [ Links ]
[9] R.R. Shamir, L. Joskowicz, S. Spektor, and Y. Shoshan, Localization and registration accuracy in image guided neurosurgery: a clinical study, Int. J. Comput. Assist. Radiol. Surg., vol. 4, no. 1, pp. 45-52, 2009. [ Links ]
[10] H. Abbasi, S. Hariri, D. Martin, D. Kim, J. Adler, G. Steinberg, and R. Shahidi, A Comparative Statistical Error Analysis of Neuronavigation Systems in a Clinical Setting, in International Conference on Medical Image Computing and Computer-Assisted Intervention, 2000, pp. 144-153. [ Links ]
[11] S. Barszcz, M. Roszkowski, P. Daszkiewicz, E. Jurkiewicz, and A. Maryniak, Accuracy of intraoperative registration during electromagnetic neuronavigation in intracranial procedures performed in children., Neurol. Neurochir. Pol., vol. 41, no. 2, pp. 122-127, 2006. [ Links ]
[12] M. Ammirati, J. D. Gross, G. Ammirati, and S. Dugan, Comparison of registration accuracy of skin-and bone-implanted fiducials for frameless stereotaxis of the brain: a prospective study, Skull Base, vol. 12, no. 3, p. 125-130, 2002. [ Links ]
[13] M. N. Wang and Z. J. Song, Classification and analysis of the errors in neuronavigation., Neurosurgery, vol. 68, no. 4, p. 1131-1143, Apr. 2011. [ Links ]
[14] I.E.C. BIPM, I. IFCC, I. ISO, and O. IUPAP, International Vocabulary of Metrology--Basic and General Concepts and Associated Terms, 2008, JCGM, vol. 200, pp. 12-99, 2008. [ Links ]
[15] I.E.C. BIPM, I. IFCC, I. ISO, and O. IUPAP, Evaluation of measurement data-guide for the expression of uncertainty in measurement. JCGM 100: 2008, JCGM, vol. 200, pp. 1-67, 2008. [ Links ]
[16] A. Standard, F2554-10 standard practice for measurement of positional accuracy of computer assisted surgical systems, ASTM Int. West Conshohocken, 2010. [ Links ]
[17] C.R. Maurer and J. M. Fitzpatrick, A review of medical image registration, Interact. image-guided Neurosurg., vol. 17, p. 1-49, 1993. [ Links ]
[18] T. Haidegger, P. Kazandides, I. Rudas, B. Benyó, and Z. Benyó, The importance of accuracy measurement standards for computer-integrated interventional systems, in EURON GEM Sig Workshop on The Role of Experiments in Robotics Research at IEEE ICRA, 2010, pp. 1-6. [ Links ]
[19] R.M. Martínez Mañas and others, Precisión y utilidad de la neuronavegación en la cirugía encefálica, Universitat de Barcelona, 2004. [ Links ]
[20] M. Wang and Z. Song, How does adding anatomical landmarks as fiducial points in the point-matching registration of neuronavigation influence registration accuracy?, Comput. Assist. Surg., vol. 21, no. 1, pp.39-45, Jan. 2016. [ Links ]
[21] P. Ballesteros-Zebadúa, O.A. García-Garduño, O.O. Galván de la Cruz, A. Arellano-Reynoso, J.M. Lárraga-Gutiérrez, and M.A. Celis, Assessment of an image-guided neurosurgery system using a head phantom, Br. J. Neurosurg., vol. 30, no. 6, pp. 606-610, Nov. 2016. [ Links ]























