1. INTRODUCCIÓN
Composite materials consist of two or more phases that form a single material known as composite [1]. Composites are classified based on the reinforcement material they use and their matrix, which can be metallic, polymeric, or ceramic.
Polymer composites have been widely used in various engineering and industrial applications due to their low fabrication cost, high strength, and high flexural and tensile strength [2].
Composite materials filled with particles have an isotropic behavior and high thermal conductivity when the particles are metallic or ceramic [3].
To improve the mechanical response of this type of composites, different types of filling materials have been used, such as silica-alumina [4]; aluminum [5]; carbon, graphite, and graphene fibers [6]; aluminum, nickel, or silver nitrides [7]; calcium carbonate [8]; natural reinforcements such as mallow [9]; lignocellulose [10]; and hard and soft ferrites like the magnetite [11]. Although the term filler is an unattractive name for these particles [2], it is important to emphasize the fundamental role they play in the processability of composite materials [12] and their response to thermal, mechanical, electrical, magnetic, and optical stimuli, among others [13]. Therefore, they are known as functional fillers [14], and each type of filler provides unique properties to the specific material used as matrix.
Consequently, the studies in this field have focused on evaluating the behavior of the so-called hard composites [15], finding changes in their thermal, mechanical, magnetic, and electrical properties [16] and specific applications through the incorporation of magnetic fillers, for the manufacture of ferrite cores, electromagnetic shielding [17], transducers [18], and in some biomedical applications like drug delivery, organs tagging and others[19].
Functional fillers such as magnetite are important in the manufacture of hard composite materials, since they are an abundant, economical, and easy to achieve due to the plenty number of mines found throughout Colombia, mainly those that are located in Huila and Cundinamarca [20].
The Design Of Experiments (DOE) can be implemented to develop new materials and applications using optimal mixtures to be evaluated, thus reducing the study population [21]. Vankanti et al. [22] indicated that it is possible to determine changes in material properties from mathematical models and DOE in accordance with the variation of several factors of the filling materials (such as concentrations, treatment time, and particle orientation). As a result, they obtained optimal response values.
In this study, DOE was used to find the optimal values of the mechanical properties of composites of epoxy vinyl ester and isophthalic and terephthalic polyester reinforced with particles of magnetite (Fe3O4) of varying sizes and concentrations regarding the matrix.
2. MATERIALS AND METHOD
A 33 full-factorial design was constructed considering three factors and three levels by factor: type of polymer (Pi), particle size (Ti), and percentage of the filler by weight % (Wti). This study considered two replicas of the model, which involved 27 samples for each DOE. The levels of each factor are shown in Table 1.
The statistical analysis methods adopted here to study the mechanical responses of the composite materials, were Analysis of Variance (ANOVA) and normality tests using Minitab 18® and Design-Expert 11®. Moreover, the optimization of the model was obtained by applying the Response Surface Methodology (RSM) employing the simultaneous multiple response technique in Design-Expert 11®.
2.1 Materials
Magnetite powders, supplied by Green Magnetite S.A. reference G-Mag A®, with a density of 5100 kg/m3 and a particle size of less than 75 μm, were used as precursors for the preparation of the compounds. The matrices were made of three types of polymers: Derakane Momentum epoxy vinyl ester based on bisphenol-A (DM-411), with a density of 1046 kg/m3 (referred hereinafter as “P1”); polyester based on terephthalic acid (P115-A), with a density of 1148 kg/m3, supplied by Novasuin SAS (referred hereinafter as “P2”); and isophthalic polyester (P2000), with a density of 1018 kg/m3, supplied by Industria Colombiana de Resinas (referred hereinafter as “P3”). SuperCat S-960®, supplied by NovaSuin, was used as the catalyst in concentrations of 1 % by weight in accordance with supplier specifications.
2.2 Composite manufacturing
Initially, the Fe3O4 magnetite powders were screened with a 200 sieve (46-75 µm).
The content was sieved again with a 325 sieve (26-45 µm), and the residual was stored. A final screening with a 500 sieve was carried out (0-25 µm). The residual and content were identified as T1, T2, and T3, respectively. Ro-Tap® equipment was used for 45 minutes, and, as a result, 1000 grams of magnetite were obtained for each sieve. The compounds were manufactured using the manual casting method at room temperature, in accordance with ASTM D638-14 for M1-type specimens.
The manufacturing process started by weighing 50 grams of each resin at a room temperature of 17 °C. The weight concentration of magnetite in the polymer matrix was determined in accordance with Ngo, Jeon, and Byon [23] and Hussain et al. [24], taking 10, 20, and 30 % by weight.
Taking these parameters into account, 5, 10, and 20 g of magnetite were weighed for each particle size. Subsequently, the filler was added to each resin by stirring the blend for 5 minutes at a frequency of 100 rpm using a DLAB OS20-S head stirrer.
After the mixture was homogenized, a 1 % catalyst (SuperCat S-960®) was added, stirring for approximately 1 minute.
The mixture was then poured into acrylic molds. The composite samples were cured at room temperature for 24 h.
2.3 Compound testing and characterization
The tensile test was performed on a universal Microtest EM2/300/FR machine at a test speed of 5 ± 25 % mm/min, using an Epsilon extensometer calibrated in accordance with the ASTM E83 standard at 20 ± 2 °C. The magnetite powders and the compound morphology were studied using Scanning Electron Microscopy (Zeiss Evo 10). Each sample was previously coated with palladium gold by sputtering (Quorum Q150 R-ES), and the microanalysis was conducted via scattered energy spectroscopy using an SDD-Apollo X series probe.
The magnetite particles were perfectly and uniformly integrated into the polymer matrix, preserving the uniformity in the medium size and a wide range of irregularly shaped particle sizes with a low aspect ratio. This matches the observations of Weidenfeller, Höfer, and Schilling [25] and Garzón et al. [11]. The micrographic analysis was carried out using ImageJ software to extract information about the size of each particle. This information was statistically analyzed with Minitab 18® software. The results reveal a mean particle size of 21.48 μm with the 200 sieve with a standard deviation of 13.43 μm and a maximum value of 58.99 μm. The mean value with the 325 sieve was 16.74 μm, with a standard deviation of 8.43 μm, and a maximum size of 44 μm.
An average value of 8.36 μm was found with the 500 sieve, with a standard deviation of 3.68 μm and a maximum value of 18.62 μm. Similar results were reported by Peña et al. [26].
3. RESULTS AND DISCUSSIONS
3.1. Microstructural analysis of magnetite
The effective particle size produced by the T1, T2, and T3 sieves was assessed by means of a micrographic analysis. Fig. 1 shows the evolution of particle size as the concentration of magnetite increases (10, 20, and 30 wt %) with each of the sieves (T1: #200, T2: #325, and T3: #500).
3.2. Tensile response
Based on the results obtained in the tensile test of the standardized test pieces (M1-type as per ASTM D638-14 standard), the main mechanical properties of the composite materials made in this study from polymer resins reinforced with magnetite powders are reported in Tables 2, 3 and 4. The granulometry and concentration of the powder precursor were varied (10, 20, and 30 % by weight) depending on the volume of resin used in each case.
Table 2 Mechanical properties of the composite materials made with the DM411 epoxy vinyl ester resin

Source: Created by the authors.
Table 3 Mechanical properties of the composite materials made with the P2000 isophthalic polyester resin

Source: Created by the authors.
Table 4 Mechanical properties of the composite materials made with the P115A terephthalic polyester resin

Source: Created by the authors.
Fig. 2 shows the behavior of the modulus of elasticity of the composite materials in the tensile test as the size and concentration of the particles in the filling were increased. This property evolves in a positive way as the concentration of magnetite and the particle size in the composite increase. In all the cases, such modulus increases by approximately 180 % compared to the pure resin, which is consistent with the work of Torres [27] and Baldión [28], in which the addition of particulate materials to the filling increases the functionality of the compound, thus obtaining greater rigidity with respect to pure resins.

Source: Created by the authors.
Fig. 2 Elastic Modulus obtained in the tensile test of compounds made with (a) Derakane Momentum epoxy vinyl ester based on bisphenol-A (DM-411), (b) isophthalic polyester (P2000), and (c) polyester based on terephthalic acid (P115-A) with variations in particle size and concentration of magnetite (Fe3O4) in percentages of 10, 20, and 30 wt %
3.3. Analysis and adjustment of model responses by DOE
The objective of our Design of Experiments (DOE) was to determine the optimal values of the mechanical responses of composite materials made from three different polymer resins (Pi) at three different filler concentration percentages in the resins (Filler %, Wti) and three granulometries (size, Ti).
Considering the factors described above and their levels, a multiple regression analysis was performed to develop the mathematical model and optimize the responses. The data obtained experimentally were adjusted considering the mathematical model defined in (1), where yijk is the response variable generated from the previously described fixed factors i, j, and k; τi, the effect of the polymer type on the polymer matrix; βj, the % by weight of the particles in the reinforcement; and γk, the effect of particle size. The uncontrollable factors that affect the response variable are also included in the model as follows: Ʈβ (interaction between factors 1 and 2), Ʈγ (interaction between factors 1 and 3), Βγ (interaction between factors 2 and 3), Ʈβγ (interaction between the three factors), and εijkl (standard error of the model). An ANOVA test was implemented to determine the significance and impact of the fixed factors on the response variables in the model, i.e., tensile strength (TS), modulus of elasticity (E), elongation percentage (% Ɛ), and density (ρ).
3.3.1. ANOVA
The significance of the fixed factors involved in the DOE model described above was evaluated using Design-Expert Pro-11.
Each of the input parameters in the model was adjusted using ANOVA, which compares the p-values obtained for each of them to a determined significance value; in this case, P = 0.05 (Table 5, Table 6,Table 7 and Table 8).
Table 5 shows the effect of the fixed factors polymer (Pi), size (Ti), and filler % (Wti) on the tensile strength (TS) of the composite materials. An F-value of 8.06 in tensile strength is significant if the interactions of each one of those fixed factors with the response variable (1) are compared, with only a 0.02 % chance that the F-value is due to errors.
Therefore, the ANOVA test provided an adjusted model from which it can be inferred that the type of polymer (Pi) and the concentration of magnetite Fe3O4 (i.e., filler % or Wti) significantly influence the outcome.
However, the interaction between the type of polymeric resin and the granulometry of the particles in the filler has an influence on the tensile strength of the composite materials, and, consequently, such interaction could become a control variable in the manufacturing process of the compounds.
Table 6 shows the results of the ANOVA test for the elastic modulus (E), which is a property derived from the effect that the applied force has on the cross-sectional area of the composite material [29]. Our DOE determined the behavior of this response variable as a function of the fixed factors; we found a P level of statistical significance of 0.2 % of Filler % (Wti) compared to the other two factors, which were not representative of the behavior of said response variable. This was a linear type of behavior, given the lack of interaction between the factors.
Variance analyses of the response variables elongation percentage (% Ɛ) (Table 7) and density (ρ) (Table 8) were performed. They produced values of 3.62 and a probability of 0.8 %, and 4.17 and 0.07 %, respectively. This finding shows a high significance in all the cases.
The elongation (% Ɛ) and density (ρ) of the composite materials directly depend on the interaction between the type of polymer used as matrix and the percentage of filler in the polymer matrix.
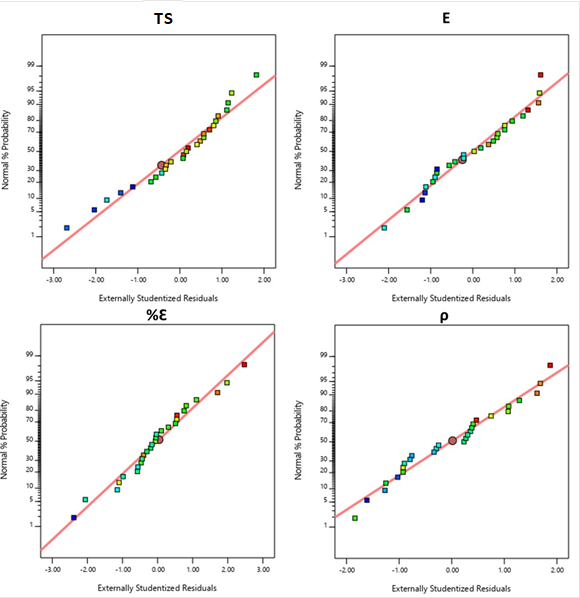
3.3.2. Normal probability plots of residuals
The normality plot technique was used to determine if the data from the response variables in the model had a behavior adjusted to a normal distribution. These plots show residual data compared to expected ones [30]. Fig. 3 reveals that the residuals are plotted approximately along a straight line for each response variable, which shows no evidence of non-normality or unidentified variables. The results have a normal distribution as the plot is close to the expected line. Therefore, our design is balanced, and the residuals neither affect the normality of the model nor influence the results.
3.4. Optimization of the model by DOE
Once the significance and normality of our model were verified, the response surfaces were characterized; for that purpose, the simultaneous consideration of multiple responses was used. Four models were constructed for each response (Fig. 4).

Source: Created by the authors.
Fig. 4 RSM of (a) tensile strength (TS), (b) elasticity modulus (E), (c) elongation percentage (% Ɛ), and (d) density (ρ)
The set of operating conditions that optimize all the answers, or at least keep them within the desired ranges, was identified.
Fig. 5a shows the contour graph of tensile strength. By increasing the concentration of the filler by 26 % and with a particle size of 48 microns, a tensile strength of 55 MPa was obtained.
Fig. 5b shows the evolution of the elasticity modulus, which increases by 200 MPa when the filler with a constant particle size of 39 microns was added.

Source: Created by the authors.
Fig. 5 RSM contour graphics of solutions to (a) tensile strength (RT), (b) modulus of elasticity (E), (c) elongation percentage (% Ɛ), and (d) density (ρ)
By increasing the concentration of magnetite in the filling over 30 %, the response variable grows drastically depending on the particle size, which is approximately 57 microns. The elongation percentage increases linearly with the concentration at a mean particle size of 39 microns.
However, the density is independent of particle size and inversely proportional to the concentration; hence, the type of polymer positively influences the response of this variable (elongation percentage).
To perform the optimization process and consider the behavior of the response surfaces, the constraints of the model-namely, the factors polymer model (Pi), filler % (Wti), and size (Ti)-were set within the range. The response variables modulus of elasticity (E), percentage of elongation (% Ɛ), and density (ρ) were calculated in said range. Finally, Tensile Strength (RT) was determined as an objective function in the maximization.
Table 9 summarizes the model restrictions that were entered into Design-Expert 11® software. The latter found 87 solutions to the experimental model with 100 % desirability, which indicates that the model restrictions are adequate.
Table 10 summarizes the first five solutions for the model. The best response to mechanical stimuli occurs with the composite material made with the Derakane Momentum epoxy vinyl ester based on bisphenol-A (DM-411), a concentration of 29.4 % of magnetite (Fe3O4), and a particle size of 58.5 microns. The 200 sieve produced a modulus of elasticity (E) of 3.652 GPa, a percentage of maximum deformation in the elongation % Ɛ of 2.120 %, and a density of 1.264 g/cm3.
To confirm the statistical data, Solution 1 was compared with the experimental values of four samples made of the material previously described. Table 11 presents the predicted values for the solutions with a good fit with the experimental results.
4. CONCLUSION
In conclusion, our model based on a 33 full-factorial design can be used to determine the optimal values of the factors that maximize the response of composite materials subjected to mechanical stimuli.
The mechanical properties of composite materials made from three different types of polymer resins (namely, epoxy vinyl ester DM411, polyester isophthalic P2000, and polyester terephthalic P115A) were investigated. Such materials contained different concentrations of magnetite (Fe3O4) in the functional filler and different particle sizes.
Through a complete 33 DOE factorial design, it was possible to determine the influence of three fixed factors on the mechanical properties of the manufactured compounds: Tensile Strength (TS), Elasticity modulus (E), maximum deformation in the elongation (% Ɛ), and density (ρ). The significance of the fixed factors on the response variables the model was established, determining the operating and work parameters that allowed the optimization of the maximum tensile strength (TS) of the material manufactured with Derakane Momentum epoxy vinyl ester based on bisphenol-A (DM-411), a concentration of 28.6 % magnetite (Fe3O4) in the filler, and a particle size of 58.94 microns. The elasticity module (E) of this material was 3611.67 MPa; its percentage of maximum deformation in elongation % Ɛ, 2.086 %; and its density, 1.272 g/cm3.
The composite materials showed an increase in stiffness compared to the behavior of pure polyester and exhibited a relatively high tensile stress, reaching a tension above 58.71 MPa with a deformation of 0.2 % at the creep limit.
In conclusion, such material exhibits anisotropic behavior, and its modulus of elasticity increases depending on the concentration and size of the magnetite particles in the filler.

























