1. INTRODUCCIÓN
El territorio continental de Colombia está conformado por las regiones naturales: Caribe, Pacífico, Andina, Amazonía y Orinoquía. Ésta última recibe su nombre debido a que la mayor parte de sus ríos se encuentran en la cuenca del río Orinoco y está compuesta por los departamentos de Arauca, Casanare, Meta y Vichada, abarcando el 18 % del territorio continental nacional, limitando al norte y al este con Venezuela, al sur con la región Amazónica y al oeste con la región Andina [1]. La Orinoquia cuenta con un régimen de lluvias unimodal, un periodo húmedo que inicia en abril y finaliza en noviembre, seguido de un periodo de sequía que va desde diciembre hasta marzo [2]. Además, la región exhibe una precipitación anual que no es uniforme en toda su área, ya que lugares como el Piedemonte y Villavicencio exhiben más de dos veces la precipitación media.
Mientras el Orinoco experimenta su temporada seca (noviembre-marzo), la región de bajas presiones atmosféricas, conocida como zona de convergencia intertropical (ZCIT), migra hacia el sur, intensificando los vientos alisios sobre el noreste de Venezuela [3]. Esta migración se relaciona con un gradiente de presión establecido entre el Alto Subtropical del Atlántico Norte (NASH, por sus siglas en inglés) y el Amazonas, permitiendo así que los vientos alisios entren desde el noreste hasta el suroeste de Venezuela, creando un patrón de circulación conocido como el chorro de bajo nivel del Orinoco (OLLJ, por sus siglas en inglés), el cual influye directamente en el régimen de precipitaciones en la cuenca del río Orinoco [4]-[6].
Los modelos climáticos globales (MCG) permiten representar e investigar la dinámica climática global y pretenden simular la respuesta a cambios de patrones en variables del sistema climático, tales como el incremento de los gases de efecto invernadero o la radiación [7]. Estos modelos representan los procesos biogeoquímicos de la atmósfera, el océano y la superficie terrestre, así como sus interacciones y funciones de retroalimentación [8], [9].
Los MCG representan el clima utilizando una rejilla tridimensional sobre el globo terráqueo, normalmente con una resolución horizontal superior a los 100 km, mientras la atmósfera se representa a través de 10 a 20 capas verticales y 30 para el océano. Esta resolución es muy gruesa para observar detalladamente los procesos de la superficie terrestre y del clima de manera directa en una región o lugar específico [10]-[12]. Por lo tanto, las limitaciones dadas por la baja resolución espacial de los MCG hacen necesario reducir la escala para obtener información aproximada a las condiciones reales de una región, razón por la que, metodologías como la regionalización estadística y/o dinámica, son implementadas mediante modelos de mayor resolución espacial o modelos climáticos regionales (MCR), con el fin de representar procesos de manera más detallada que los MCG [7], [8], [13], [14]. Los MCR son la principal técnica de regionalización dinámica, ya que resuelven mejor las propiedades locales de la superficie terrestres, la topografía, las costas, la vegetación y la variabilidad climática regional interna [15].
Dentro de los esfuerzos de modelación regional, se encuentra el Experimento regional coordinado de reducción de escala (CORDEX), cuya misión principal es regionalizar escenarios de cambio climático en el ámbito global y, a su vez, generar un espacio para que la comunidad que esté interesada en esos escenarios pueda compartir información, tecnología, resultados y soporte técnico, generando así una mejor interacción entre los modeladores y las personas interesadas en realizar estudios sobre vulnerabilidad y adaptación al cambio climático [16]. Con el objetivo de coordinar el esfuerzo de la comunidad global de modelación regional surge CORDEX-CORE, en el cual se utilizan dos MCR: i) el Regional Model (REMO), desarrollado por el Instituto Max Planck de Meteorología de Alemania [17] y, ii) el Regional Climate Model (RegCM), desarrollado en el Centro Nacional de Investigaciones Atmosféricas de los Estados Unidos y administrado por el Centro Internacional de Física Teórica en Italia [18]. Estos MCR han sido utilizados para evaluar los cambios de sistemas monzónicos considerando diferentes concentraciones de gases de efecto invernadero sobre siete dominios de CORDEX [19], para investigar los cambios proyectados en el balance hídrico atmosférico en dos dominios de CORDEX-CORE [20], para identificar regiones de Suramérica donde los MCR generan un valor agregado en comparación con los MCG [21], y para estudiar la variabilidad espacial y temporal de la temperatura y la precipitación para el periodo histórico y escenarios de cambio climático [22]-[24].
Los MCR REMO y RegCM son modelos atmosféricos hidrostáticos, que emplean más de veinte niveles para representar la atmosfera y se diferencian, principalmente, en que REMO mantiene las mismas parametrizaciones para todo el planeta, mientras que RegCM emplea diferentes parametrizaciones por dominio [25], [26]. Ambos se encuentran a una desagregación espacial de 25 km para todas las regiones en las que CORDEX ha distribuido el planeta y cuentan con información de borde a partir de tres MCG los cuales son: el Norwegian Earth System Model (NorESM), desarrollado con el apoyo del Consejo de Investigación Noruego [27]; el MPI-ESM-LR, creado por el Instituto Max Planck de Meteorología de Alemania [28]; y el Hadley Center Global Environment Model versión 2 (HadGEM2), desarrollado por el Centro Hadley en el Reino Unido [29]. Se espera que los resultados de las simulaciones de los MCR en escalas espaciales, cada vez más finas, se conviertan en una herramienta para evaluar la respuesta de las cuencas hidrográficas ante las señales de la variabilidad climática y el cambio climático [30].
La evaluación del desempeño de los MCR se desarrolla por medio de métricas de valor agregado con respecto a los MCG [31], o la comparación directa con fuentes de referencia [32]. Dichas comparaciones permiten que los usuarios finales tomen decisiones informadas sobre la aplicabilidad de los resultados de las reducciones de escala de forma directa o con procesos de corrección de sesgos [33]. En Suramérica se han desarrollado evaluaciones del desempeño en la representación de las variables hidrometeorológicas por parte de los MCR.
Dichos trabajos han mostrado avances en la modelación regional con respecto a la modelación global en la representación de la precipitación o evaporación, dependiendo de la región, temporada o cuenca [22], [24].
La reducción de escala de los MCG mediante los MCR permite diagnosticar, evaluar y gestionar los impactos del cambio climático para la adecuada planificación de los recursos hídricos, la conservación de los recursos naturales, el riego de plantaciones de gran escala, entre otras actividades de los diferentes sectores públicos y privados [33], [34].
Especialmente, en cuencas hidrográficas con poca instrumentación, procesos de gran interés como la precipitación, la evaporación, la infiltración y el flujo subterráneo son difíciles de observar de forma continua, y sin ambigüedades, debido a la heterogeneidad de las cuencas y los procesos hidroclimáticos. Además, dichos procesos requieren de un adecuado monitoreo, evaluación y diagnóstico para modelar adecuadamente sus posibles cambios e impactos en escalas espaciales y temporales más finas [35]-[37].
En este sentido, los MCR ofrecen información sobre variables hidrológicas (precipitación, caudales, entre otras) que pueden ser útiles para evaluar el impacto hidrológico en cuencas hidrográficas considerando escenarios de cambio climático [38]-[40].
Para el caso particular de Colombia, pocos estudios han utilizado información de MCG y MCR para la verificación de balances hídricos de largo plazo y modelación hidrológica considerando escenarios de cambio climático [41]-[43].
Este estudio tiene como objetivo evaluar si los MCR, incluidos en el corte de Suramérica para el experimento CORDEX-CORE, representan adecuadamente la precipitación y la evaporación total en el Orinoco colombiano. Adicionalmente busca hacer un análisis comparativo entre observaciones de caudal in-situ y las estimaciones de caudal de largo plazo utilizando información de los MCR. Se evaluará el desempeño de las simulaciones del experimento por primera vez en esta zona, con respecto a las observaciones obtenidas por el Instituto de Hidrología, Meteorología y Estudios Ambientales (IDEAM) y otras bases de datos interpoladas espacialmente para el período de referencia utilizado en el quinto informe de evaluación (AR5) del Grupo Intergubernamental de Expertos sobre el Cambio Climático (IPCC), 1986-2005. Por lo tanto, este trabajo será útil para avanzar en aspectos como: (1) La verificación del desempeño, las simulaciones históricas ofrecidas por los MCR para la precipitación y la evaporación total sobre Colombia; (2) La incorporación de la información suministrada por los MCR para análisis hidrológicos e históricos en zonas con poca instrumentación, mediante el estudio del desempeño de los MCR y la estimación del caudal de largo plazo en la cuenca de análisis; (3) Brindar una herramienta metodológica para la selección de información que sirva para el diagnóstico y modelación de los impactos hidrológicos en cuencas hidrográficas de Colombia considerando la información del experimento CORDEX-CORE.
2. MÉTODOS Y DATOS
2.1 Datos
Como zona de estudio se seleccionó la cuenca hidrográfica del río Meta, la cual tiene un área de 78 072 km2 (Figura 1). Esta zona está definida aguas arriba de la estación limnigráfica Aguaverde (código 35267080) del IDEAM, ubicada en el municipio La Primavera, en el departamento de Vichada. Se tomó información mensual de precipitación y evaporación total a una resolución espacial de 0.25° x 0.25° de los MCR REMO2015 [44] y RegCM4 [18]. Para cada MCR (REMO y RegCM) se tomó información de la simulación histórica, en el dominio Suramérica del experimento CORDEX-CORE, con base en los datos de MCG: NorESM1-M [27], MPI-ESM-LR [45] y HadGEM2 [29]. Se verificó la homogeneidad y consistencia de la información hidrológica mediante análisis gráfico y pruebas estadísticas para cambios en la media, varianza y valores atípicos (outliers) [46].

Fuente: elaboración propia.
Figura 1 Ubicación de la cuenca del río Orinoco, cuenca de estudio sobre el río Meta y localización de las estaciones de precipitación y estación de caudal empleadas en el presente estudio
Se tomaron 85 estaciones de precipitación, con resolución temporal mensual y un porcentaje de datos faltantes inferior al 15 % en el periodo de referencia 1986-2005. Se utilizaron los datos de caudal de la estación Aguaverde (código 35267080), para el mismo periodo de referencia. Además, considerando que las series de tiempo seleccionadas tienen un porcentaje de datos faltantes inferior a 15 %, dichos datos faltantes fueron llenados utilizando los valores mensuales multianuales [46], [48].
Además, se usó información de precipitación a escala temporal mensual y resolución espacial 0.25° x 0.25° de las siguientes bases de datos: Climate Hazards Center Infra Red Precipitation with Station (CHIRPS) [49], que ha demostrado representar de forma adecuada la lluvia en Colombia [2] y que interpola información de estaciones de medición en tierra; el reanálisis atmosférico del European Centre for Medium Range Forecast (ECMWF) ERA5, el cual posee menos sesgos en la representación de la precipitación sobre Suramérica [50]; y a 0.5° x 0.5°, información interpolada de estaciones en tierra con control de calidad del Global Precipitation Climatology Center (GPCC) [51]. Como referencia de evaporación total a una resolución espacial de 0.25° x 0.25°, la información del reanálisis ERA5 y del modelo Global Evaporation Amsterdam Model GLEAM v3 [52]. Como referencia de caudal mensual promedio de la cuenca se tomaron las observaciones de la estación Aguaverde del IDEAM y los datos de escorrentía superficial de la reanálisis ERA5.
2.2 Métodos
Para el análisis comparativo entre las fuentes de información se promediaron los datos de precipitación del IDEAM para todas las estaciones en la cuenca de estudio. Por su parte, con la información obtenida de ERA5, GPCC, CHIRPS y GLEAM se hicieron promedios sobre la cuenca de estudio. Además, para cada uno de los MCR se realizó un ensamble o promedio de las tres simulaciones disponibles, ya que el ensamble permite disminuir las incertidumbres de las regionalizaciones de los MCR [53] y será empleado para evaluar la capacidad de cada MCR para representar el ciclo anual de la precipitación y la evaporación total (valores promedio mensuales multianuales). Las series resultantes de los promedios sobre la cuenca de interés antes mencionada se compararon a través de los métodos que se describen a continuación:
2.2.1 Métodos gráficos
El diagrama de caja es una representación gráfica de la distribución y variación de los datos, así como los datos atípicos. La altura de la caja representa el rango intercuartílico entre el primer cuartil (porción inferior) y el tercer cuartil (porción superior). La línea horizontal de la caja representa la mediana mientras que las líneas verticales (bigotes) que salen de la caja se extienden hasta el mínimo y máximo del conjunto de datos. Los valores representados por puntos debajo o por encima de los bigotes se consideran valores atípicos [54]. Complementariamente, como parte de los métodos gráficos, se muestra la comparación entre los ciclos anuales de las fuentes de referencia y de los datos de los MCR.
2.2.2 Métodos cuantitativos
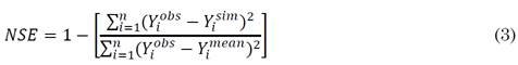
Para una comparación inicial entre los datos de referencia y los resultados de los MCR se utilizaron el coeficiente de correlación de Pearson (R), el coeficiente de determinación (R2), el error típico y la diferencia porcentual. Estas métricas permiten hacer un diagnóstico preliminar sobre la asociación lineal y las diferencias entre los valores de referencia y simulados en términos de su magnitud. Posteriormente, se implementaron para el análisis comparativo las métricas de desempeño compiladas por [55]: porcentaje de sesgo (PBIAS, por su sigla en inglés), relación de desviación estándar de las observaciones (RSR, por su sigla en inglés) y eficiencia de Nash-Sutcliffe (NSE, por su sigla en inglés). Las métricas fueron seleccionadas con base a su robustez, aplicabilidad y uso frecuente para el análisis de modelos y simulaciones hidrológicas. En (1) se define el PBIAS, el cual permite conocer el sesgo porcentual de los datos simulados con relación a las observaciones. Cuando el PBIAS es igual a cero indica que hay una simulación precisa por parte del modelo. Cuando el valor es positivo (negativo), los datos simulados subestiman (sobreestiman) la observación. Esta métrica es utilizada para cuantificar los errores de balances hídricos y provee información sobre el rendimiento de un modelo.
En (2) RSR se define como la relación entre la raíz del error cuadrático medio (RMSE) y la desviación estándar de los datos medidos (STDEVobs). El valor óptimo es cero e indica que la simulación del modelo es perfecta, sin variación entre los datos observados y simulados. Entre menor sea el RSR, mejor es el rendimiento del modelo.
En (3) la NSE se define como una métrica normalizada que ajusta los valores entre los datos observados y los simulados para medir la dispersión entre estos. Los valores posibles del NSE están en el rango de menos infinito hasta uno; cuando es igual a uno, indica una coincidencia perfecta entre las simulaciones y las observaciones, entre más cerca a uno esté el resultado, más preciso es el modelo.
Para todas las métricas, n es el número total de datos de la serie de tiempo, Y i obs es el valor en el tiempo i de la variable observada, Y i sim es el valor en el tiempo i de la variable simulada y Y i mean es el promedio de los datos observados. Para evaluar el desempeño de los MCR con base en las métricas seleccionadas se tomaron como referencia los rangos definidos por [55], quienes clasifican el desempeño como: Muy bueno *, Bueno **, Satisfactorio +, Insatisfactorio (Tabla 1).
Tabla 1 Rangos para la evaluación del desempeño de los MCR según las métricas RSR, NSE y PBIAS

Fuente: Adaptado de [56].
En (4) se tomará la ecuación de balance hidrológico de largo plazo [56] como referencia para estimar la representación de los caudales en la cuenca.
Donde P representa la precipitación promedio de largo plazo, E la evaporación total promedio de largo plazo y R la estimación indirecta de la escorrentía promedio de largo plazo. Se estimará el valor de R con base en las simulaciones de los MCR y la información de referencia para precipitación y evaporación total. Es importante aclarar que la información sobre la variable E que ofrecen los MCR del experimento CORDEX-CORE corresponde a la evapotranspiración real [57]. Finalmente, esta escorrentía será comparada con los caudales reportados en la estación Aguaverde del IDEAM y los datos de escorrentía reportados por el reanálisis ERA5. Por su utilidad para la representación del balance de agua superficial en una cuenca, (4) se ha empleado en diferentes estudios para evaluar el desempeño de fuentes de información [58]-[61].
3. RESULTADOS Y DISCUSIÓN
La Figura 2 muestra la distribución espacial de la precipitación promedio multianual según las estaciones de IDEAM en la cuenca del río Meta. Se evidenció que la precipitación promedio mensual varía en la zona de estudio en un rango de 67 mm/mes a aproximadamente 600 mm/mes, donde los valores por encima de 250 mm/mes se encuentran en la zona del Piedemonte de la cordillera Oriental y los valores más bajos (67-100 mm/mes) en la zona del altiplano en los departamentos de Boyacá y Cundinamarca.

Fuente: elaboración propia.
Figura 2 Corte sobre la cuenca del río Meta para el análisis de CORDEX y localización de las estaciones de precipitación y caudal del IDEAM
Particularmente, sobre el Piedemonte de la cordillera Oriental de los Andes se concentran más del 80 % de las estaciones pluviométricas disponibles (69 estaciones), lo que resulta en una estación pluviométrica cada 412 km2, mientras menos del 20 % (16 estaciones) se encuentran en el resto del territorio de estudio, una estación pluviométrica por cada 3100 km2.
Por otra parte, en la Figura 3 se muestran los campos de precipitación promedio mensual de los MCR con las condiciones de borde de tres los MCG: NorESM1-M, MPI-ESM-LR y HadGEM2. En general, se evidencia heterogeneidad en los valores promedio mensuales que arroja cada MCR. Por ejemplo, RegCM-Had exhibe alta precipitación (350-400 mm/mes) en el sur de la cuenca de estudio, mientras RegCM-MPI muestra alta precipitación en el norte.

Fuente: elaboración propia.
Figura 3 Campos de precipitación promedio mensual para las diferentes simulaciones de los MCR y sus respectivos GCM forzantes
De igual manera, REMO-MPI muestra precipitación alta en el Piedemonte (200-400 mm/mes), mientras REMO-NOR sugiere una precipitación promedio mensual casi homogénea en toda la cuenca de interés (100-200 mm/mes). Por lo tanto, la heterogeneidad que presentan los resultados particulares de los MCR en la estimación de la precipitación media mensual pone de manifiesto la importancia de utilizar ensambles para minimizar la incertidumbre en la selección de una realización en particular [53].
La Figura 4 muestra los ciclos anuales de precipitación y evaporación total sobre la zona de estudio, para las fuentes de referencia y los ensambles de MCR en el periodo 1986-2005.

Fuente: elaboración propia.
Figura 4 Ciclo anual de la precipitación y la evaporación total. (a) Ciclo anual de la precipitación según los datos de IDEAM, CHIRPS, ERA5, GPCC y ensambles RegCM y REMO. (b) Ciclo anual de la evaporación total según los datos de ERA5, GLEAM y ensambles RegCM y REMO. (c) Evaporación total según el ensamble REMO con relación a las fuentes ERA5 y GLEAM. El sombreado gris representa el área comprendida entre los valores máximos y mínimos mensuales de las corridas de los ensambles de MCR
La Figura 4-a evidencia que la mayoría de las fuentes de información de precipitación exhiben un ciclo anual con distribución unimodal. Es decir, sólo se presenta un mínimo y un máximo de precipitación mensual durante el año. Se evidenció una temporada de lluvia entre abril y noviembre, con precipitación máxima de 364 mm en el mes de junio. También una temporada seca entre diciembre y marzo, con precipitación mínima de 34.28 mm en el mes de enero, lo cual coincide con la temporada de actividad del Chorro del Orinoco y la ausencia de la ZCIT [6].
De los modelos de CORDEX-CORE, el ensamble del modelo REMO (línea azul) presenta los valores de precipitación más alejados de las observaciones, mostrando subestimación para el periodo noviembre-agosto con relación a los valores registrados por las estaciones del IDEAM (línea negra continua). También se muestra que el ensamble del modelo RegCM (línea roja) presenta valores promedio mensuales multianuales muy cercanos al promedio de las estaciones del IDEAM durante los meses de noviembre hasta abril. Sin embargo, durante los meses de mayo hasta junio dicho modelo sobrestima las observaciones, mientras que durante julio-noviembre, las subestima. Es de resaltar que ni REMO ni las fuentes satelitales logran representar de manera adecuada el máximo de precipitación reportado en el mes de junio por los datos del IDEAM. No obstante, no hay gran dispersión entre los valores observados por el IDEAM, los valores del ensamble del modelo RegCM y las demás fuentes de referencia.
La Figura 4-b muestra el ciclo anual de evaporación total para el mismo periodo de análisis sobre la cuenca de estudio, los resultados probaron que el ensamble del modelo RegCM difiere significativamente en orden de magnitud de los valores reportados por ERA5, GLEAM y el ensamble de las corridas del modelo REMO. En la Figura 4-c se presenta un acercamiento a la comparación gráfica entre el ensamble REMO y las fuentes ERA5 y GLEAM. Mientras ERA5 y GLEAM presentan variabilidad bimodal y evaporación total mensual promedio entre 80 y 100 mm/mes a lo largo del año, REMO sugiere un ciclo anual predominantemente unimodal con valores máximos alrededor de 140 mm/mes durante septiembre-octubre, y valores mínimos cercanos a 70 mm/mes durante abril-junio.
Lo que sugiere que ninguno de los dos ensambles hace una buena representación del ciclo anual de la evaporación total.
La Figura 5-a muestra los diagramas de cajas para la distribución de los valores mensuales de precipitación y evaporación total obtenidos de los ensambles de los MCR y las fuentes de referencia. Para la precipitación, se evidenció que todas las referencias estaban alrededor de 200 mm/mes, además las fuentes de información exhibieron mayor variabilidad en los valores asociados al primer cuartil (precipitación baja), mientras que los valores asociados al máximo del tercer cuartil (precipitación alta) presentaron similitud en orden de magnitud. También se demostró que la fuente que presenta valores promedio mensuales más cercanos a las observaciones es GPCC, teniendo un rango de variabilidad y una media similares a los del IDEAM. En cuanto a la evaporación total, la Figura 5-b muestra que las referencias ERA5 y GLEAM tienen valores alrededor de los 100 mm/mes, al igual que el ensamble del modelo REMO. Si bien REMO representa bien la mediana, presenta una mayor variabilidad en la distribución de la evaporación total con respecto a los valores de referencia.

Fuente: elaboración propia.
Figura 5 Diagrama de cajas para las series de tiempo de precipitación (a) y evaporación total (b) mensual promedio en la zona de estudio. (c) Diagramas de cajas para la precipitación mensual según los datos de IDEAM, CHIRPS, ERA5, GPCC y los ensambles de RegCM y REMO. (d) Diagramas de cajas para la evaporación total según los datos de ERA5, GLEAM y los ensambles de RegCM y REMO
Además, se revisó la variabilidad de los valores mensuales de los ensambles con relación a las observaciones utilizando diagramas de cajas mes a mes para los ensambles que presentaron mayor similitud en el ciclo anual promedio. La Figura 5-c muestra que los valores mensuales del ensamble RegCM (rojo) presentan menor variabilidad que los de referencia (azul), dicha diferencia en la dispersión de los valores mensuales puede atribuirse a que los registros pluviométricos son puntuales y no tienen una distribución espacial uniforme, mientras que la información de RegCM proviene de datos interpolados espacialmente en una retícula uniforme. La Figura 5-d muestra que los valores mensuales del ensamble REMO (naranja) presentan diferencias en la estacionalidad de la evaporación total, pero ambas fuentes de datos coinciden en que el periodo septiembre-diciembre presenta valores altos de evaporación total mensual entre 100 mm/mes y 140 mm/mes.
La Tabla 2 muestra los resultados de las métricas cuantitativas de rendimiento para la precipitación con relación a los datos IDEAM de los ensambles de MCR y otras fuentes de referencia. En general, se muestra que el ensamble de MCR que mejor simuló las observaciones fue RegCM. En este sentido, se puede resaltar que RegCM tiene una alta correlación (R=0.91) con las observaciones obtenidas por el IDEAM, reflejando una importante asociación lineal entre las bases de datos. El coeficiente de determinación (R2 =0.82) indica que el modelo RegCM representa más del 80 % de la varianza de las observaciones. Mientras que el error típico es de 22.12 mm con relación al valor promedio mensual observado en los datos del IDEAM. Asimismo, el ensamble RegCM presenta una baja diferencia porcentual con un 3 % de desviación con respecto al IDEAM. La clasificación del rendimiento para cada una de las métricas se basa en los rangos presentados en la Tabla 1.
Tabla 2 Métricas cuantitativas de rendimiento de los ensambles de los MCR y las fuentes observacionales de precipitación con relación a la información de IDEAM

Fuente: elaboración propia.
Se siguió evidenciando que el modelo REMO es el que presenta mayor diferencia con relación a los valores de referencia de precipitación, este reporta una diferencia porcentual de 13 % por encima del valor de las observaciones IDEAM. También, se observó un error típico de 47.71 mm con relación a la media de las observaciones. Por su parte, para el ensamble REMO, métricas como el coeficiente de correlación (R=0.83) y el coeficiente de determinación (R 2 =0.69) presentan una reducción significativa en la representación de las observaciones comparado con el ensamble RegCM. Además, el PBIAS≅12.26 indica un aumento en el sesgo de REMO con relación a las observaciones IDEAM, mientras las métricas RSR y NSE cercanas a 0.60 reflejan un rendimiento satisfactorio pero inferior al del ensamble RegCM.
Por otra parte, para la evaporación total, se tomaron los datos de ERA5 como referencia y se evaluó el desempeño de los ensambles de los MCR, así como de los datos GLEAM. La Tabla 1 evidencia que el ensamble REMO presenta valores de evaporación total menos alejados de los reportados por ERA5. Sin embargo, ni REMO ni RegCM exhiben métricas de rendimiento satisfactorias para la evaporación total con relación a los datos de ERA5.
Para la estimación de caudales se utilizó la ecuación de balance hídrico de largo plazo (4) considerando la información de precipitación del ensamble con el mejor desempeño (RegCM), evaporación total del ensamble con el mejor desempeño (REMO), la evaporación total reportada por fuentes de referencia (GLEAM y ERA5) y la precipitación según las estaciones de IDEAM. Mientras que el caudal promedio multianual observado en la estación Aguaverde del IDEAM (código 35267080) es de 3346.28 m3/s, las estimaciones desarrolladas utilizando las bases de datos seleccionadas llevan a los siguientes resultados en magnitud y en porcentaje con respecto a las observaciones: IDEAM-Ens_REMO: 3237.83 m3/s (97 %); IDEAM-GLEAM: 3484.52 m3/s (104 %); IDEAM-E_ERA5: 3276.85 m3/s (98 %); Ens_RegCM-Ens_REMO: 3078.62 m3/s (92 %). En general, puede concluirse que tanto la estimación de caudal empleando la evaporación total del ensamble REMO y la información del IDEAM, la estimación de caudal usando evaporación total de GLEAM y ERA5, y la estimación del caudal empleando los dos mejores ensambles de MCR exhiben errores porcentuales inferiores al 5.0 % en la estimación del caudal promedio multianual.
No obstante, múltiples aplicaciones hidrológicas (Ej.: planeación del recurso hídrico, actividades agrícolas, planeación energética, entre otras) requieren de la adecuada caracterización y estimación del ciclo anual. Con este fin, se verificó si la información de los MCR permite hacer una adecuada estimación del caudal promedio mensual multianual. Al respecto, encontramos que al emplear la información de precipitación y/o evaporación total de los MCR no es posible hacer una estimación adecuada ni de la temporalidad del ciclo anual de los caudales ni de su magnitud promedio mensual. La Figura 6 muestra que los registros de caudal de IDEAM y las estimaciones exhiben un ciclo anual de caudales unimodal, pero estos ciclos difieren en las temporadas de caudales máximos y mínimos. Además, todos los MCR exhiben valores de evaporación total mensual superiores a la precipitación en el periodo octubre-marzo sugiriendo un déficit hídrico en la cuenca que difiere significativamente de las observaciones. Por su parte, durante la temporada abril-julio los caudales estimados utilizando información de los MCR arrojan valores superiores a los registrados por IDEAM, lo que sugiere que durante dicho periodo los MCR subestiman los valores de evaporación total que se presentan en la zona.

Fuente: elaboración propia.
Figura 6 Ciclo anual de los caudales promedio mensuales en la cuenca hidrográfica aferente a la estación Aguaverde (código 35267080) del IDEAM. Las líneas negras representan la información de referencia del IDEAM (continua) y de escorrentía superficial de ERA5 (discontinua)
4. CONCLUSIONES
Gráficamente se identificó que el MCR que más se aproxima a las observaciones de precipitación obtenidas por el IDEAM para el Orinoco colombiano es RegCM. Sin embargo, cabe resaltar que las fuentes interpoladas satelitales también muestran valores similares a los valores obtenidos por el IDEAM para la zona de estudio y la escala temporal utilizada.
El análisis comparativo a través de métricas de rendimiento permite concluir y verificar que RegCM es el MCR que mejor representa el ciclo unimodal de la precipitación en la cuenca de estudio. En relación con esto, aunque RegCM es el modelo que muestra valores más aproximados a los del IDEAM, en algunas épocas del año, especialmente en mayo, subestima en gran medida las observaciones. Por otra parte, también se verificó que la precipitación según REMO presenta un mayor sesgo y dispersión que RegCM, lo cual nos permite concluir que tanto el ensamble de RegCM como las CHIRPS, GPCC y ERA5 podrían ser empleados como fuentes para el estudio de la precipitación en la zona de estudio. No obstante, la precipitación mensual del MCR REMO presenta resultados satisfactorios para la representación del ciclo anual promedio y podría ser utilizado para describir el ciclo anual de la precipitación en cuencas sin instrumentación.
Gráficamente es posible hacer una primera inspección de los resultados de evaporación total y determinar que ninguno de los MCR representa adecuadamente dicha variable. Una vez calculadas las métricas de desempeño, se encuentra que ninguna de las fuentes comparadas con ERA5 logra representar de forma satisfactoria la evaporación total. Estos resultados confirman las dificultades para la consecución de información de buena calidad de esta variable, de la cual no se cuentan redes consolidadas de medición en el país, por lo cual se recomienda para aplicaciones hidrológicas hacer una estimación indirecta de dicha variable a partir de la información de temperatura disponible.
Los ensambles de los MCR son una buena aproximación para la adecuada representación de la precipitación. Los resultados aquí expuestos confirman que el ensamble de RegCM representa adecuadamente la precipitación en la zona de estudio, esto podría estar relacionado con las diferentes parametrizaciones por dominio del modelo RegCM [25], [26], abriendo la puerta hacia una mayor confiabilidad de los estudios de impacto de cambio climático basados en la regionalización de los resultados de MCG. Una mayor confiabilidad en la representación de la precipitación por parte de los MCR incrementa las opciones de información hidrológica para quienes desarrollan actividades en temas de recursos hídricos en cuencas poco instrumentadas.
El análisis comparativo utilizando la ecuación de balance hídrico de largo plazo permite concluir que los datos de precipitación del ensamble de RegCM y los datos de evaporación total del ensamble REMO permiten una estimación adecuada del caudal promedio anual de largo plazo. Sin embargo, ni los datos de evaporación total reportados por REMO y RegCM, ni los reportados por las fuentes ERA5 y GLEAM, permiten hacer una estimación de la temporalidad y magnitud del ciclo anual de caudales en la cuenca de estudio. La selección de cada MCR dependerá del enfoque del estudio a desarrollar. Para estudios apoyados en el análisis del comportamiento temporal de las variables, será conveniente seleccionar el MCR que representa mejor el ciclo anual en la zona de estudio.
En general, los MCRs tienen múltiples fuentes de incertidumbre, tales como la conceptualización y parametrización de cada MCR, la incertidumbre en los escenarios de emisión para proyecciones futuras en el contexto de cambio climático, incertidumbre en los procesos de reducción de escala (downscaling), incertidumbre en la sensibilidad de los modelos y la incertidumbre asociada a la adecuada representación de la complejidad y no-linealidad de la dinámica del sistema climático terrestre [62], [64]. Además, también debe tenerse en cuenta la incertidumbre en la respuesta del sistema +{MVC Xlimático debido a la acción humana y el forzamiento radiativo como consecuencia de los cambios en concentraciones futuras de emisiones de gases de efecto invernadero [62]. Asimismo, los modelos que acoplan la dinámica atmosférica y oceánica muestran incertidumbre den el campo del desarrollo, aunque estos son ecuaciones que describen los distintos componentes a través de sistemas numéricos y parametrizaciones de procesos físicos, las simulaciones realizadas con distintos modelos muestran dispersión, reflejando así la sensibilidad del clima a pequeños cambios en el forzamiento, también se añaden a las incertidumbres los subsistemas de los modelos climáticos como el realismo en las variaciones, el modelado del suelo y usos de este [65]. A diferencia de los modelos de pronóstico del estado del tiempo, los modelos de simulación del clima buscan dar una representación de los patrones de largo plazo en las variables del sistema.
En particular, en el caso de este estudio, se encontró que los MCRs no hacen una adecuada representación de la evaporación total. Según la literatura, los problemas en la representación de esta variable son frecuentes debido a la dificultad para la parametrización de los procesos que configuran la evaporación total y a las pocas mediciones que se tienen en tierra para poder comprender la variable y validar las representaciones de las interacciones suelo atmósfera [65]-[68], la sensibilidad de la evaporación con respecto a los flujos de energía en la superficie [69], [70], las limitaciones en la representación de la convección, disponibilidad de humedad y en topografía en las regiones tropicales del planeta puede influir en la sobre o subestimación de la evaporación [71], [72].
Como trabajo futuro, se propone el estudio de la regionalización de variables hidrológicas a través de la caracterización de patrones espaciales y de escalamiento en cuencas no instrumentadas utilizando información de los MCR.


















