Acronyms
1. INTRODUCTION
Distributed Energy Resources (DER) is a term given to the set of energetic resources that are operated in a decentralized way and are typically, but not necessarily exclusively, driven by uncertain primary resources, like Renewable Energy technologies (RES) such as Solar Photovoltaic (PV) and Wind Energy (WE), or more predictable ones like Hydrogen Energy with Fuel Cells (FC) or Hydro-Electrical Energy (HEE) with micro turbines [1]-[5].The Penetration of DER in power systems has been thrusted recently by a decrease in technological costs, advancements in communication and information technologies, and the social drive to increase efficiencies in energy production, transportation, and consumption with reduced environmental impacts [1], [6] - [8]. This momentum has brought not only technical challenges in its implementation due to the inherent uncertain nature and the mixture of their primary resources [6], [9] - [12], but also changes in the operational frameworks of energy markets due to the decentralized fashion of its implementation and new market agents taking part in energy transactions [13], [14]. During the last decade, these challenges have been faced and extensive research has been published, allowing to find new operational structures, technical advantages, and also new questions to be answered. For example, multiple studies have shown how technically advantageous can be the implementation of DER in distribution networks in terms of power loss reduction, voltage regulation, network loadability, network capacity, system flexibility, frequency regulation, Demand Response, Curtailment, maximization of profit, or minimization of costs[10], [15] - [23]. However, analysis of DER in power systems is usually performed assuming certainty conditions (by means forecasts, study-cases, static behavior, or linearization), thus limiting the scope of obtained results, or by implementing variability compensation systems in the effort to increase the inertial response during electricity supply [24] or the stability [25], [26], for instance, using Battery Energy Storage Systems (BESS), flywheels or hydro-pumped storage [13].
Battery Energy Storage Systems BESS, whose technology is part of DER even though they cannot be considered as proper generation, have the particularity to behave dually: can operate as a load (withdraw energy) or as a support for generation (analogous to a generator). During BESS operation, it storages (charges) or releases (discharges) energy obtained from an external source through electrochemical processes. This behavior, together with the flexibility in controllability and power ramping rate, make their operation especially useful to provide supplementary services in the operation of power systems [27]. The efficiency during operation varies depending on the chemistry and energy density of the unit, i.e., between 72.5 % and 85 % efficiency with energy density ranging between 20 Wh/kg and 30 Wh/kg for Lead-Acid, 85 % ( 95 % with 90 Wh/kg ( 190 Wh/kg for Lithium-Ion, 72.5 % and 86 % with 150 Wh/kg ( 240 Wh/kg Sodium-Sulphur, and 60 % ( 72.5 % with 15 Wh/kg ( 30 Wh/kg for Redox Flow [28]. Although Lead-acid is now a mature technology and provides availability and good efficiency at lower costs, research has been made in different technologies (chemistries) to overcome some of the downsides (i.e., low cycle life, low energy density, and the highly reduced life cycle under high depths of discharge and temperature [29]). Lithium-ion technology (LIB) shows up as an alternative that not only overcomes some of the mentioned downsides, but also enhances the upsides, by increasing the energy density and the cycle life at least fourfold while improving the efficiency. However, LI life cycle is strongly dependent on temperature and, together with its higher capital costs, might limit its implementation in utility scale applications [30]. Even though LI-BESS is not yet competitive when implemented for ancillary services in power systems, the increasing participation of Electric Vehicles EV (LI main market is now EV) in the electric demand share, the implementation of Vehicle-to-Grid frameworks and the sustained reduction in costs shown since 2013 [28] would make LIB viable for on-grid implementation in few years[31].
As mentioned before, BESS are mainly implemented to provide additional services to power systems either in transmission or distribution [27]. Those services can be classified into technical (where the main concern is to improve the power quality), and economical (increase of profits, reduction of costs) [32], within several timeframes. In Table 1, some services and the timeframe are reviewed.
Modelling BESS for its implementation in power systems has been realized using diverse methods depending on the objective of analysis and its timeframe. For instance, in [27] a Three Time Constant model based in state estimation is proposed in the context of primary frequency and local voltage regulation. In [67], a nonlinear model is proposed for LI batteries using a Hammerstein-Wiener model. Machine Learning techniques (ML) such as Artificial Neural Networks (ANN) are also used to model BESS when data is available [68]. If the chemistry is not considered, BESS can be modelled using efficiency in steady state operation. In [69], an internal resistance model is proposed for efficiency, while in [70] similar structures for particular chemistries are studied including the State of Health (SoH), State of Charge (SoC) and power in longer term contexts.
BESS integration in active distribution networks, or microgrids, is usually analyzed in static BESS frameworks, this means that their mobility is not considered. However, Mobile BESS, MBESS, defines a new structure for operation for BESS, in which different solutions sets for its location, the status (charging, discharging, idle, or transport), and the costs for mobilizing such systems are considered to optimize network operation. Formulating the problem under this operational structure has shown several advantages in comparison with static BESS (Fewer losses, less active and reactive power drawn from substations, and improvements in voltage profiles) [71].
To examine the steady state effects of DER on active distributed networks, or microgrids, an optimal power flow study is typically performed, formulating the set of nonlinear equations resulting from circuit analysis, defining the operational constraints, such as voltage limits, transformer capacities or line current limits, and objective functions, which all depend on the decision variables.
Regardless of DER technology and the corresponding efficiencies based either on construction or operation, either uncertainties, objective function definition, or the modelling of the operation of the DG units might bring non-convexities to optimal power flow formulation, and with it, increased complexity in the steady-state analysis of the system. Then, additional effort is then needed to analyze the system if the objective function(s) and/or any (or every) additional operational constraint has concave properties in a minimization sense of the problem. Therefore, the way the problem is formulated for analysis defines the way it will be solved, and consequently how efficiently it will get to a solution, i.e., in the optimal dispatch of generators if costs or load shaving schemes are defined for even shorter periods, complex topologies and great dimensions in the power system. If this occurs, then metaheuristic techniques (MH) are useful and powerful tools to find approximate (to global) solutions regardless of the formulation [28]. However, some non-linear functions are convex, and some non-convex equations can be relaxed to ensure convexity and, consequently its exactness, if additional constraints are added [72]. MH techniques are general algorithmic frameworks that can be applied to a wide variety of problems, some of them very complex, making few modifications in the implementation [73]. These techniques are often inspired in phenomena observed in the nature and transformed into algorithms that usually start from random initial states and apply the specific search strategy to find solutions that converge the objective(s) function(s) close to a global minimum in complex problems, in a reasonable amount of time [74]. Consequently, due to the heuristic nature of the search strategy, global solutions and exactness are not guaranteed.
In this paper, a review on in optimization methods for operation and implementation of BESS in power systems is presented, and after this introduction, some of the most recent optimization problems regarding BESS operation for ancillary services and their formulations are surveyed in section BESS Optimization Problems. Subsequently, methods used to find the solution are reviewed and categorized with convexity as main criteria and if relaxations were implemented. Finally, results, discussion, and conclusions are presented in their respective sections.
2. OPTIMIZATION PROBLEMS
As mentioned in in the previous section, there is an ample variety of applications of BESS implemented to provide services in power systems, in which the optimization of decision variables will provide the technical, economic, or mixed benefits expected from such frameworks. In this section, the formulation objective functions are reviewed in the context of the ancillary services provided with BESS.
2.1 Voltage Control
Objective functions are defined subject to the type of analysis to be carried out, being classified as transient or steady-state analysis. In Transient Voltage analysis, BESS operation is optimized to reduce voltage deviations in contingencies [75], [76]. An objective function can be defined starting with a formulation for voltage deviations, as it is shown in (1).
Where V t kj is the voltage magnitude in the node j at time step t and contingency k, and V 0 j is the pre-fault initial voltage magnitude. Then an average severity index SI k is formulated to classify the magnitude of the deviations R t kj by averaging them for each contingency k as in (2). If in any contingency case k, node j or period t no reliability standard (i.e., NERC/WECC, Grid codes [77]) is violated, then R t kj = 0.
The objective is then formulated in (3) by complementing the severity index with a maximum voltage recovery sensitivity parameter (Voltage Sensitivity Index VSI), which depends on BESS injected injected var q es,i (N es refers to the number of BESS units).
Equation (3) is desired to be optimized in the sense of maximization because it is expected for the node voltage in fault conditions to drop to zero (short-circuit). The problem is constrained to the defined number of BESS units (N es ) using the binary variable z i shown in (4) indicating if the unit is located in node i or not.
In steady state analysis, the aim is to achieve voltage regulation either by imposing grid code limits, by defining a voltage profile to be follow or by supporting transmission operation with local voltage support in distribution networks [78]. If the aim is to follow a voltage profile, a squared 2-norm for voltage deviations is defined in (5) as minimization objective[79] by controlling generated reactive power and lossless power flow equations (constraints):
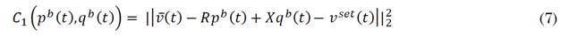
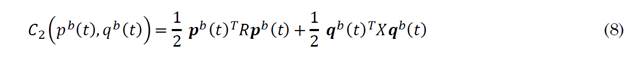
Where the parameter μ defines the voltage profile to be followed. In [80], the BESS apparent power injection is controlled to minimize voltage deviations in pure distribution network (DN) nodes and to track voltage references given by transmission network operator (TN) in nodes interfacing both networks (TN-DN). The objective function (6) was formulated as a function of the active and reactive power in BESS assuming a linearized model in which the power losses are negligible.
This objective is composed of two cost functions C 1 correspond to the voltage tracking strategy in interfacing TN-DN nodes, formulated as a squared 2-norm in (7), while C 2 represents a cost function for BESS dispatch in (8).
Where, γ and ω are defined as positive weights to balance voltage regulation (in C 1 ) and power provision cost (in C 2 ) respectively. Vectors p b and q b are the net power balance between generation and demand. This operation is constrained to SOC, BESS apparent power and node voltage limits, and SOC operation constraints.
In [81], BESS units are allocated in an unbalanced distributed network to minimize power losses and voltage deviations. To formulate the objectives, the authors define two cases, when no wind turbines and BESS are present in the network, and the base case without DER units. Voltage Deviations are calculated for every node i, timestep t for each phase K as in (9), and then a phase average deviation voltage is calculated in (10). The objective is formulated as shown in (11).
This problem is constrained by power flow balance equations, per phase Voltage and Current limits, and SOC limits.
2.2 Harmonic Mitigation
This service is nowadays closely tied to the implementation of DER in power systems, due to the many DC/AC conversions occurring in power electronic stages. In [82], a control strategy is presented to compensate power quality issues in a system with Hybrid RES (PV(WE and BESS) by means of a Unified Power Quality Conditioner (UPQC) specified to address PQ issues. The controller architecture is Fractional Order PID (FOPID), and its parameters are optimized to minimize errors in a double feedback control loop (voltage and current errors). The proposed strategy is assessed for power quality when RES is active and inactive, and for Total Harmonic Distortion when RES is inactive. Additionally, cases with non-linear load variation, unbalanced nonlinear load, Voltage and Current sag, voltage and current swell and voltage disturbances were included in the assessment. Optimization takes place to estimate parameters (gains) in FOPID and improve controller’s response in error elimination, response speed and overshoot mitigation.
2.3 Black Start
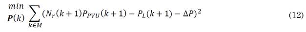
BESS can be used to restore service in power generation plants when required. However, BESS overcharge or undercharge are to be avoided in order to preserve its State of Health (SoH) and maximize its life cycle. In [83], a stratified optimization strategy is proposed to use BESS-PV systems for operation restore. If a black start instruction is received, the controller begins its operation by retrieving historical data regarding the PV system, weather forecasts, and actual data of PV, Load and BESS status. For the defined black start period, a Least Square Support Vector Machine is implemented to predict based on historical data of PV and weather forecasts the expected PV power and probabilities for power generation based on limits and the actual state. Following probabilities and predictions, the controller decides if the service should begin or not. If the system is capable of providing the service, then a Model Predictive Controller (MPC) decides the action control (BESS and PV power) optimizing two cost functions based on the availability of PV resources, as shown in (12), and safe operation of BESS as in (13).
In (12), N r is the number of PV units to be active, P PVU is the predicted power of PV per unit, P L the load power (P PV + P BESS ) and ∆P is a compensation factor formulated in (14).
In (13), E BESS is the BESS capacity (energy) and E BESSL is the ideal BESS capacity. This problem is constrained to meet power balance equations, BESS and PV power limits, BESS SOC limits, and the PV units number limit.
2.4 Frequency Control
As frequency deviations occur mainly due to the mismatch between generation and demand in transient periods, control strategies are then often implemented to overcome them. In [84], a control for Primary Frequency Regulation (PFR) is proposed based on Dead(Band setting, in which the power in BESS units is modulated based on a control strategy depending on frequency deviations, BESS state of Charge SOC and condition. First, three types of dead band are defined: No dead band, ordinary dead band, and enhanced dead band. The first one directly maps the frequency input to the output frequency. The second one, sets the output frequency to the frequency deviation plus the threshold frequency when the frequency deviation is less than a negative threshold, and removes the threshold value to the deviation in the output when the deviation is greater the positive threshold. If the absolute value of the frequency deviation is less or equal than the threshold, then the output frequency is zero. In the third type, the output frequency is set to the value of the deviation if the absolute value of the deviation is greater than the threshold, or zero otherwise. A fourth type of dead band is proposed based on the SOC of the BESS unit. This action defines a piecewise function for the dead band using different dead band thresholds, to obtain output frequency. Then, the authors define when BESS should act: if the frequency deviation is zero, then the BESS is not acting, when the deviation exceeds zero, then the unit is charging (greater demands represent decreases in frequency), and when the frequency deviation is negative, then the BESS is discharging (lower demands represents increases in frequency). To constraint how the BESS operates during charge or discharge an alpha parameter is created for both operation modes to modulate the rate of charge/discharge when the unit is required for frequency regulation. The rate of charge of BESS (when frequency deviations are greater than zero) will decrease the closer the SOC gets to a maximum value. The absolute value of the parameter alfa-c (the c stands for charge) is maximum (|-1|) if the actual SOC of the unit is less than 75 %, otherwise the rate of charge decreases exponentially until it is charged to the maximum value of SOC and alpha-c gets a zero value. When frequency deviations are negative, then the unit will discharge at a maximum rate if the SOC is higher than 25 %, and the alpha-d (the d stands for discharge) is maximum (one). Otherwise, the rate of discharge decreases exponentially until it reaches zero level and stops its frequency regulation. The output frequency is then following the piecewise map and the amplitude is modulated by the alpha value.
Finally, the authors propose two optimization frameworks: optimize parameters for the piecewise function (find optimal values for threshold, load conditions and dead band values) and optimize parameters for SOC alpha values. For those optimization problems, two objective functions were defined: the root mean squared (rms) values for SOC in (15) and frequency deviation in (16).
Where f t - f res represents the frequency deviation at time t, SOC t the state of charge in time t and SOC avg the average SOC in period T.
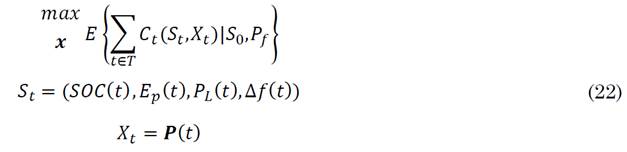
In [85], a BESS optimal operation problem is defined for a single node providing PFR, in which the benefits are to be maximized in intra-day operation. The profit is defined in three dimensions: demand supply, PFR service provision and BESS cycling (aging). The demand to be supplied by BESS is defined in (17) as the difference between the power load (P L ) and the power generation (P G ) and modulated by electricity prices (E p ) at any given time.
The benefit from PFR service provision is defined in (18) by the power capacity to provide the service (P f ) and the PFR clearing price (E PFR ):
The benefit from BESS aging is represented in (19) by the optimal operation of BESS maximizing its life (mitigation of charge and discharge cycles, SOC) considering the efficiencies as in (20).
The objective function is built in (21) by aggregating the benefits.
The optimization is later reformulated including a stochastic sequential decision process for intra-day operation strategy. The objective function is then defined in (22) to maximize the expected benefits after deciding based on initial states.
2.5 Demand Response
In [86], the objective is to minimize the cost of operating a PV-BESS system by accounting the costs of importing energy from the grid, the cost of PV generation, the cost of BESS cycle depreciation and the costs of selling (exporting) energy to the grid as shown in (23).
Where C(t) represents the corresponding cost matrix for each operational item considered in the objective function, as it is shown in (24), and S(t) the binary state matrix for each component (working or shutdown states).
Where P y is the active power and x y is the corresponding cost for the system y, namely Grid-in: electricity tariff, PV: average cost of PV generation, BESS: total cost of the BESS system and Grid-out: Feed in Tariff for PV exports. Γ R is the rated life of BESS, D and D R are the actual and the rated Depth of Discharge (DoD) respectively. C R is the rated amp-hour capacity at rated discharge current and C A is the actual discharge ampere-hour capacity of BESS. Finally, d act is the actual ampere hour discharge.
The cost function for BESS includes a model for Battery cycling aging based on cycle state of charge (SOC=1-DOD) and charge/discharge dynamics relative to rated values. This problem is constrained to power balance and BESS power and SOC limits. The status of Grid-in and Grid-out can’t be operative (a logical one) at the same time. In [87], a similar structure for costs is presented and a model for Demand Response scheme is formulated, where it is desired to minimize operational costs, as in (25), for a WE-PV-BESS in a distribution network. Costs are defined for the power flow balance between utility and distribution companies, RES curtailment and sell energies, BESS energy during charge and discharge, and Demand response Scheme (DR).
Power balance is defined to be as it is shown in (26).
Besides power balance, the problem is also constrained by the maximum power (for discharge and charge), the SOC and the efficiencies in BESS.
2.6 Power Loss
In [88], the location and operation of BESS in a distributed network with PV and WE penetration is studied. The authors formulated three objectives to be minimized, as it is shown in (27), voltage fluctuations, power losses (described by (28)) and the total capacity of BESS to be allocated (defined in (29) and (30)).
The E BESS (k) stands for the rated capacity of the k th BESS unit. BESS model includes self-discharge rate σ, efficiencies λ, and SOC.
The problem is constrained to a five percent nodal voltage limit, power flow balance equations, active and reactive power limits in lines, Charge balance in BESS and SOC limits. The location of BESS units is represented with integer variables. It is defined that the initial SOC must be the same as the final, and it is set to 40 %.
2.7 Off-grid Operation
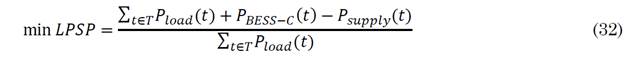
In [89], the operation of a Hybrid Renewable Energy microgrid (HREM) is optimized to minimize three objective functions in a muti-objective framework, The levelized Cost of Energy (LCOE), The Loss of Power Supply Probability (LPSP), and Greenhouse Gas Emissions (GHGE) shown in (31) ( (35) respectively. This microgrid counts with PV, HEE, and conventional Diesel generation. Demand is divided in agricultural and residential.
Where TLCC stands for the Total Life Cycle Cost, and it is calculated for each generator type based on the capital cost, Operation and Maintenance (O&M) costs, interest rates and lifetime of each system.
The terms P BESS-D (t) and P BESS-C (t) correspond to the power during discharge and charge in BESS.
The GHGE objective depends on the fuel consumption of the diesel machine and the emission factor for each Greenhouse Gas.
The decision variables are the dimension (size) of each generator. The problem is constrained to the power limits of each generator (energy for BESS), the generation-load active power balance and SOC limits.
2.8 RES Variability Mitigation
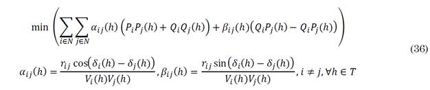
In [90], a bi-layer optimization framework is proposed to optimally integrate PV generation in distribution system utilizing BESS systems. In the first layer, the power losses in the network shown in (36), reverse power flow described in (37) and node voltage deviation in (38) are defined as objective functions for minimization.
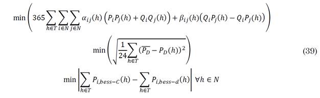
This problem is constrained by power flow balance equations and Current, RES power, BESS capacity and SOC limits. SOC are constrained also by efficiencies. In the second layer, Annual Energy Loss, Load Deviation Index (LDI) and BESS utilization are defined as objective functions as depicted in (39).
Where (P ̅ D) and PD(h) are the mean demand and the actual demand at h th hour. P i,bess-C (h) and P i,bess-C (h) represent the BESS charging and discharging power in the node i and hour h respectively.
2.9 Cost/profit Optimization
In [91], BESS operation is optimally scheduled by maximizing revenues from energy generation and minimizing energy purchasing costs and battery degradation as it is shown in (40).
Where R(t) is the revenue, C buy the cost of purchasing energy, and C BESS_Day is the cost for BESS degradation in a day, as it is shown in (41) and (42) respectively.
Where δ(t) and γ(t) represent the energy selling and buying prices at time t, respectively. P sell (t) and P buy (t) are power exports and imports to/from external network. The Cost for daily BESS degradation is defined implementing DOD, maximum cycle number and parameters fitted from annual capital discount rate. This problem is constrained by active power balance and SOC limits including efficiencies. The status of BESS is defined by integer variables representing charge or discharge statuses.
3. OPTIMIZATION TECHNIQUES
As can be observed in the optimization problem section, recent studies implement analysis techniques depending on the formulation of the problem and the timeframe. In this section, a review from the most encountered optimization techniques and frameworks in recent manuscripts is presented. For this, a search in Web of Science is performed with the key *bess AND optimization, filtered for results published from 2019 on. The date of the search is 04/27/2022. From the search results is possible to see that research in optimization of BESS has been increasing and it can be expected to at least be equal as 2021, as can be observed in Figure 1 (results of 2022 correspond to the research published until the date of search and some programmed publications which are not yet published at the date of search).

Source: Created by the author.
Figure 1 Publications in BESS optimization from Web of Science search
The list of results is reduced to 200, and a list of optimization techniques and frameworks is obtained from abstracts. This information is filtered and presented ordered by the appearance count in the right side of Table 2., while in the left side, optimization methods (or frameworks If optimization is performed indirectly) are tagged with the base technique if modifications or hybridizations are proposed.
Table 2 Labeled technique count (left), Specific techniques count (right)

Source: Created by the author.
3.1 Metaheuristics
From Table 2 could be observed that PSO- and GA- based optimization methods have been predominantly used to find solutions to optimization problems related to BESS implementations and to compare new proposed techniques. In this subsection, the working principle of the most recurrent techniques is briefly explained.
3.1.1 Particle Swarm Optimization
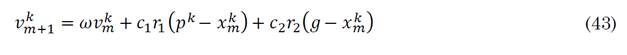
Particle Swarm Optimization (PSO) was first proposed by Kennedy and Eberhart in 1995, inspired by the natural choreography of birds flocking or fish schooling [92]. In this case particles (elements belonging to the swarm population) modify their initial random path (direction) using two criteria: the best location found by the particle and the best location found by the swarm. To do this so, this method defines the particle velocity to represent the direction in which the particle will be moving within the search space. The velocity of a particle k of the swarm of population N at the step m+1 (iteration) is given by (43).
Where v k m+1 is the velocity of the particle (initialized random) at the next step, v k m is the velocity at the current step, ω is the inertial coefficient of the particle (weights particle tendency to continue his own direction), c 1 is the cognitive acceleration constant (weights particle’s tendency to follow the direction of the best place it has ever found), c 2 is the social acceleration constant (weights particle’s tendency to follow the direction of the best place the swarm has ever found), r 1 and r 2 are random real numbers between zero and one. x k m , p k and g are the actual position of the particle k, the best position found by the particle k and the best position found by the swarm respectively, g and p k positions are related to the value of the decision variables when the objective function reached best global and best particle values respectively. The position of each particle is updated after updating each particle’s velocity as in (44).
Where χ is called constriction factor. This technique has been implemented in the optimization of different problems regarding BESS implementations, e.g. optimal sizing and/or allocation of BESS for power loss [93]-[96], voltage deviations [97], DER variability and peak demand reduction [98], optimal capacities for reliability and low cost objectives in autonomous AC grid design [99], Smart backup battery design for DER efficiency [100], BESS efficiency and life improvement [101], optimal micro grid (MG) operation under demand response schemes optimizing BESS capacity and costs [102].
3.1.2 Genetic Algorithm
Genetic Algorithms (GA) have been developed by Holland since 1965 based on the concept natural selection from Darwin’s Origin of Species. GA are population-based techniques, in which fittest individuals are prone to be selected and from this selection of individual (reproduction), crossover occurs, expecting to obtain new generations of individuals with better genetic properties (traits). After crossover, the process of mutation takes place modifying randomly some genetic contents in individuals of each new generation according to a predefined mutation probability [103]. Firstly, the fitness function is calculated for each individual, usually by computing the objective function value plus penalties for constraints violations. Then individuals are selected using weighted roulette wheel, in which the fitness value for each individual is weighted, and individuals are selected for reproduction (parent individuals) probabilistically according to their weight in the roulette. Decision variables are initialized randomly and then coded into a single binary string.
During crossover, the binary string is divided in two sections and the position (k) for this division is selected randomly within the size of the binary string. Then two child strings are obtained by keeping the first part of the string of one parent and replacing the second part with the corresponding string part of the second parent, and vice versa. The crossover mechanism is shown in (45).
As it could be observed in Table 2, newer techniques based on GA have been developed and implemented in the optimization in power systems with BESS, e.g., DER performance improvements with smart backup branch [104] or by optimizing the degradation rate of BESS [105], microgrid cost reductions including RES and load uncertainty and battery degradation[106], optimal allocation and sizing of BESS for primary frequency control in isolated power systems [107] and electric vehicle station costs and emissions reductions [108], the integration of DER and BESS in distribution networks for multiple objectives, namely power loss, voltage deviation, peak demand [95] voltage stability and installation, operational and emission costs [104], BESS operation for power loss reductions [94], safe and economical operation of distribution networks with BESS, DER and electric vehicle integration [109], among others.
3.1.3 Grey Wolf Optimizer
Grey Wolf Optimizer (GWO) is a metaheuristic technique proposed by [110], inspired by the social and hunting behavior of Grey Wolves. In this algorithm, the solutions found in each iteration are hierarchized according to their fitness function value. Similarly, as in wolf packs, the fittest solution is denominated alpha (α), and subsequently solutions are assigned as beta (β) and delta (δ) in that order. The rest of the solutions are denominated omega (ω) solutions. This denomination prioritizes the search for better solutions. In the same way wolves encircle the prey in nature, GWO algorithm emulates this behavior when searching for better new solutions. The position of alpha, beta and delta wolves remains unchanged and omega solutions are modified to get closer to each of the three leader wolves. Firstly, for every k omega solution the distance with respect to the leaders is calculated as in (46).
Then three positions are defined based on D k ∝, D k β, D k δ as in (47).
Where a 1, a 2 and a 3 are random vectors, and vectors c 1, c 2 and c 3 are set randomly in the range between zero and two as in (48) and (49) respectively.
Where r 1 and r 2 are vectors between zero and one and a is vector linearly decreasing from two to zero during iterations. Then the position of the omega solutions is updated as in (50) by averaging the positions mentioned in (47).
Exploitation and exploration of the search space is controlled by a x vectors. If for a solution the absolute value of a x is greater than one, then exploration is preferred, otherwise the exploitation is performed. Therefore, it is expected that for the first half of iterations the program should be mainly exploring, while during last part of the program the exploitation should be dominant. This is analogous to the search for the prey (exploration) and the attack to the prey (exploitation) behaviors.
This algorithm has been used to find optimal BESS capacities for reliability and low cost objectives in autonomous AC grid design [99], the optimal sizing and/or allocation of BESS for power loss [111] and voltage deviations [97], Smart backup battery design for DER efficiency, BESS efficiency and life improvement [101], the optimal allocation of Electric vehicles charging station with DER and BESS integrations to reduce energy losses, voltage deviations and investments and maintenance costs [112], Unified Power Quality Conditioner control for Hybrid DER with BESS to increase system performance during voltage and current sag, real reactive power quality and total harmonic distortions [82], [113], the optimal operational strategy for BESS integration in microgrid to reduce the cost of power, the failure of energy contribute, the probability of deposit power [114] and the implementation of BESS in droop regulated islanded microgrid considering probabilistic modelling of DER for annual operation and maintenance cost, emissions and power loss reductions [115], and others.
3.1.4 Whale Optimization Algorithm
Whale Optimization Algorithm (WOA) is a technique proposed by Mirjalili and Lewis in 2016 inspired in the foraging behavior of Humpback whales [116]. The authors propose a similar strategy for encircling, attacking, or searching for prey as in GWO, but executed differently. In WOA the prey is represented directly by the global fittest solution (x * ).
In GWO exploration (search for pray) or exploitation (attacking the prey) is performed directly using the equation for position update based on a k. Each k agent (whale) will encircle, attack (exploit) or search (explore) for the pray based on a random p factor (between zero and one) and the respective a k vector value. If the random value p is less than 0.5, then the agents will encircle or search for the pray depending on the absolute value of a k (if |a k|<1 the agent will encircle. It searches for the prey otherwise). If the value of p is greater or equal than 0.5 then the agent will attack the prey. For encircling, search and attack, a different strategy for updating position is executed. If the agent is to encircle the prey, then its updated position will depend on the distance between the position of the agent and a k value, as in (51). Its formulation is shown in (52).
If the agent is to search for the prey, then the position of the agent is updated calculating the distance to another agent selected randomly, as in (53). The new position is described in (54).
The vectors a k and c k are calculated similarly as in GWO, where a is vector linearly decreasing from two to zero during iterations, as shown in (55) and (56) respectively, and the r vector is unified.
The parameter b in (53) defines the shape of the spiral and l is a random number between minus one and positive one. This technique has been implemented in the optimization of different problems regarding BESS implementations, e.g., optimal sizing and/or allocation for power loss minimization [93], [104], [117], Smart backup battery design for DER efficiency [100], Microgrid operation to reduce operational costs, namely Diesel fuel, power exchange and BESS costs, while maximizing the benefit [118].
3.1.5 Harris Hawk Optimization
Harris Hawk Optimization (HHO) based algorithms have also been proposed in the latest studies. This technique is inspired in the foraging behavior of the Harris Hawk and was proposed in [119]. Similar as in WOA, the foraging is divided in exploration and exploitation phases based on a criterion known as the energy of the prey, shown in (57), that decreases linearly from two to zero with the iterations and have random initial states defined in (58). In HHO the best solution found is assigned as the prey (x * ). If the absolute value of the energy of the prey is big, then the hawk will execute exploration, or exploitation otherwise.
Where E 0 initial energy based on the random parameter r 6 , ranging from minus one to one in each iteration t. Exploration and exploitation are performed differently depending on random parameters (from zero to one). During exploration, the random parameter q defines the exploration strategy to be carried out. If q is greater or equal to 0.5, then a strategy of perching based on random locations is performed. The exploration is based on the position of other hawks otherwise following the averaged position of all agents. The update of the position of the agents during exploration is executed following (59). The average position of the hawks is described by (60).
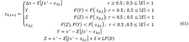
Where r 1 , r 2 , r 3 and q are random numbers from zero to one. x m,t is the average position of the population and UB,LB are the maximum and minimum locations of the population, respectively. During exploitation, the energy of the prey and a random parameter r control the way the hawk attacks the prey. If r ≥ 0.5 and 0.5 ≤|E|<1, then the hawk performs a soft besiege, updating its position in direction to the difference of positions between the agent and the prey ∆x modulated by ∆x and the strength of the prey to jump and scape the attack J. If r < 0.5 and |E|≥0.5 the hawk can update its position either by soft attacking the prey (update its position based on the location of the prey, the strength J and the position of the hawk) or by attacking the prey following the Levy Flight function imitating leapfrog movements on the prey (soft besiege with progressive rapid dives). Firstly, the decision is made by evaluating the objective function of the updated solution when soft-attacking (F(x k,t+1 )) and comparing it with the objective function value of the original solution (F(x k,t )). If F(x k,t+1 ) < F(x k,t ) then the updated solution is assigned for the next iteration. If the previous condition is not met, then the objective function value for the updated solution based on the Levy Flight function is now compared against the objective value of the original solution and if the condition F(x k,t+1 ) < F(x k,t ) is met, then the updated solution is assigned for the next iteration. If neither condition is met, then the original solution is preserved. These behaviors are described in (61). The jump strength and the position difference are calculated as in (62) and (63) respectively.
Where LF(D) is a levy flight function, imitating leapfrog movements [2]. S represents a random vector of size D. D stands for the problem dimension (search space).
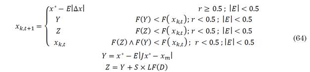
If r ≥ 0.5 and |E|<0.5, then the hawk performs hard besiege by updating its position getting close to the prey depending on the energy of the prey and the absolute value of ∆x. If r < 0.5 and |E|<0.5 then the agent decides of the update strategy similarly as in soft besiege strategy, but utilizing instead of the agent position, the averaged position of the population. This behavior is described in (64).
This technique has been implemented in problems regarding BESS implementations, e.g., optimal sizing and/or allocation of BESS for power loss reductions, investment costs reductions, primary frequency control [107], voltage deviations, optimal capacities for reliability and low cost objectives in autonomous AC grid design [99], Sizing and design of autonomous microgrids with DER, conventional Diesel generators and BESS for reduction in energy costs and loss of power supply probability [121], optimal allocation of Electric vehicles charging station with DER and BESS integrations to reduce energy losses, voltage deviations and investments and maintenance costs [112], and others.
Having in mind the overview in ancillary services shown in Table 1, the review on optimization problems, the techniques shown in Table 2 and the total results of the search, Optimization problems are related to implemented techniques following the number of occurrences in the search and are shown in the color maps displayed in Figure 2.
3.1.6 Multiobjective Optimization
As observed in Table 2, the multi-objective formulation of the optimization problems regarding BESS in power systems has been of interest in the last three years. Multiple objectives are typically handled by reducing the objective space dimension assigning a weight to each objective and aggregating them in a single objective. This allows the optimization problem to be reduced in complexity and depending on the formulation a solution can be found using exact methods (convex optimization) very efficiently. However, the optimization with metaheuristic allows higher than one dimensions in the objective space, since fitness functions can be adapted for each objective function and multiple search strategies based on pareto dominance are applicable to find better optimal fronts of solutions during execution. Due to the complexity of the search strategy and the dimensionality of the objective space, metaheuristic techniques are not as computationally efficient as their convex counterpart and cannot guarantee exactness in the solution. According to the search results, muti-objective adaptation of newer metaheuristic techniques such as GWO, WOA or HHO have been proposed, like in MOGOA, MOGWO. In both methods, a similar strategy as in MOPSO is implemented where non-dominated solutions are compared with the solutions stored in an archive and then saved in the archive if the new solution dominates the one in the archive (the old solution is omitted) or if neither the new solution nor the solutions in the archive dominate each other. If a new solution is dominated by any other in the archive, then it should not be stored in the archive. If the archive is full, a grid mechanism is implemented where most crowded solutions are replaced for solutions in less crowded locations in the objective space to improve diversity in the final approximated Pareto Optimal Front. Best solutions (The best search agent (target) for MOGOA and Alpha, Beta and Delta wolfs for MOGWO) are selected with the roulette wheel method with higher weights for less crowded solutions in the archive [122], [123]. In [104], a Hybrid WOA and GA multi-objective technique is presented, in which the genetic information representing a solution is adapted for whales in order to exploit the binary encoding in GA for combinatorial problems and the fast convergence from WOA. The selection of solutions is performed using the Technique for Order Preference by Similarity to Ideal Solution TOPSIS by minimizing Euclidean distance between alternative solution and the best solution while maximizing the distance between the Euclidean distance between the alternative solutions and the worst solution [104].
4. DISCUSSION
From the formulation of optimization problems related to BESS as ancillary services provider could be observed a strong branching in the scope of the analysis to be carried out. When steady state analysis is preferred, then optimization techniques are applied directly over the problem formulation, while, in transient analysis, control strategies are selected, and the optimization is carried out for parameter estimation either online or offline. In this case, Model Predictive Control has been found to be the preferred strategy, since it provides the flexibility of implementing non-linear models and base the action control on predicted behavior of the plant optimizing desired objective functions. This, however, can be a weakness as well since the quality of the predictions depend on the quality of the model.
On the other hand, traditional PID controllers are still being used as control strategy since the model for control is still linear. Although new approaches for its implementation and parameter estimation have been proposed such as FOPID and ANN based control and parameter optimization using MH or ML techniques (Fuzzy logic or ANN) for non-linear models. For steady state analysis, when BESS units are considered behind the meter, the optimization problem is typically constrained by active power balance equations, while in Distribution Networks an AC power flow is used to account power losses. However, the concave nature of AC power flow has also suggested in recent studies to think in linearization (e.g., First order in Taylor Series Expansion, polygon linearization) to simplify the formulation and use convex optimization methods for speeding up the obtention of solution while guaranteeing its exactness. Relaxations on the OPF formulation has been frequently explored in recent studies, specifically by transforming the non-convex quadratic equality constraints present in AC power flow equations (and/or in objectives) into convex second order cone inequality constraints and solving the convex program with SOCP.
During this review, the problem of the optimal allocation (location and sizing) of BESS units was recurrent, and its formulation using AC power flow results in a MINLP problem (MILP if relaxations/linearization eliminate the non-linearity/non convexity in equations). Typically, MILP or MINLP are solved using Branch and Bound Method. (B&B). Such problems include convex transformation of constraints with integer variables and can formulated as an optimization problem using an algebraic approach with GAMS. Due to the flexibility of MH in finding solutions to any kind of problems (convex and non-convex), Multi-objective MINLP programs have been handled with those techniques, achieving good performance while trading exactness off. Techniques in the categories PSO and GA have been found to be the most popular in the last years. As can be observed in Table 2, modifications, or new proposals on PSO or GA techniques can be found in single occurrences, while their use in any other form (original, modified or hybridized) for result comparison are greatly used. Other techniques used in the last studies for BESS implementations are Grey Wolf Optimization (GWO) and Whale Optimization Algorithm (WOA).
Ever since it is desired to achieve better solutions while increasing computational efficiency, hybridization takes relevance, as it is shown in recent studies, since this allows to take the advantageous strategies from several techniques and combine them into a single better technique aiming to achieve greater speed of convergence and diversity in solutions in MULTI frameworks. Optimization problems, as could be observed in the corresponding section, are commonly formulated in mono-objective framework, even when the aim of the problem is to optimize several objectives. This is done so because it simplifies the execution of the program and facilitates any possible linearization or relaxation. However, this reduction in the dimension of the objective space results in the individualization of the solution and the subjectivation of the importance of each objective function.
In multi-objective frameworks, the result of the optimization is a set of solutions that cannot be improved in one objective without degrading the others (non-dominated solutions). This adds complexity to the optimization but delivers flexibility when it is desired to have multiple operation setpoints or if there is no objective information regarding objective weights. As could be observed, the multi-objective framework (MULTI) is recurrent in recent studies, and newly developed metaheuristic techniques are mainly assessed within this framework. It is worth noticing that the pareto dominance criteria is still the most common technique implemented in MO metaheuristic algorithms to select the best solutions. However, the criteria comparing such solutions has also been subject of research, such as TOPSIS, ε-dominance or RPNS.
On the other hand, due to the uncertain nature of the primary resources in RES, Stochastic optimization (STOC) and Robust optimization (RO) have taken relevance in the studies reviewed and are now presented as computational cost-effective alternatives to Monte-Carlo simulations. Within STOC and RO optimization frameworks, LP implementations are possible by introducing relaxations and if probability distributions are represented by convex functions.
Finally, it is worth noticing how multiple optimization stages are now being implemented in BESS research. As observed in Table 2, a Bi-Layer Optimization (BLO) framework has been frequently proposed in recent studies, in which one optimization layer typically optimizes short term operation problems while the other optimizes, partially based on results of the other layer, long term (planning) problems.
5. CONCLUSIONS
In this paper, an overview of the role of BESS in the penetration of RES in power systems and the different advantages of their implementation found in recent literature are presented in the introduction. Then characteristics of BESS chemistries is presented in terms of efficiency and energy density. From this overview, LIB technology is detailed due to trending research and its increasing participation in the operation of power systems, especially in terms of demand patterns for EV and Vehicle to Grid frameworks. Later, a summary of BESS operation and optimization frameworks is presented. Subsequently, a review on the formulation of optimization problems related to BESS as ancillary services provider is presented and objective functions formulated in recent studies are detailed. Next, an overview of optimization frameworks and techniques is presented considering occurrences in literature published in the last three years (since 2019). Finally, it can be concluded that research including BESS optimization has been increasing exponentially in the last decade. The formulation of optimization problems is not only related to ancillary services, but also to support standalone operation or operation support in microgrids and depending on the timeframe of analysis, the optimization may take place within optimal power flow or control frameworks. Given the formulation of the problem and the scope of research, multiple optimization frameworks are being implemented in recent research considering stochasticity, computational efficiency, and dimensionality of objective space. MH techniques dominates complex, multivariate, multi-objective analysis while relaxations, simplifications, linearization, and single objective construction enable the use of traditional, more efficient, and exact techniques. Well known metaheuristic techniques, such as PSO or GA, have been used often as a reference for comparison in the implementation of new methods aiming to find better solutions more efficiently. Hybridization of MH has been studied showing comparable or improved results and presenting possible alternatives to other well-known MH techniques.
















































































