Introducción
Entre los múltiples afiches y graffiti que pueblan los muros de las ciudades argentinas (véase figura 1), hace ya algunos años se ha podido percibir la aparición más frecuente de consignas y lemas como "¡odio el alquiler!", "¡el alquiler es un robo! " u otros con contenido similar. En los medios masivos de comunicación se han vuelto habituales los paneles de debate y columnas de opinión que versan sobre la situación de los alquileres, poniendo en circulación discursos contrapuestos que expresan las tensiones y discusiones en torno a la vivienda en alquiler. En el Congreso Nacional y en los legislativos provinciales y locales se tratan proyectos que buscan incidir en las condiciones de los contratos de locación residencial y dotarles de mayor previsibilidad y transparencia, al mismo tiempo actuando sobre las asimetrías entre las partes involucradas (Vera Belli, 2018). Se puede afirmar que la irrupción de la cuestión del alquiler en la agenda pública ha sido notoria en los últimos años, aunque lo mismo puede decirse en relación con otros momentos históricos en los cuales el tema ocupó un lugar prominente en la vida social y política del país (Oszlak, 2017; Suriano, 1983).

Fuentes: (1) Correia (2022); (2) Grafiti, escritos en la calle (s. f.); (3) CEUR (s. f.)
Figura 1 Afiches y graffiti callejeros haciendo referencia a la vivienda en alquiler y la escasez de la vivienda asequible en Buenos Aires y Rosario, Argentina, 2020-2022
Sin embargo, en el caso argentino -al igual que muchos países latinoamericanos- el alquiler ocupa un lugar minoritario entre las formas de tenencia de la vivienda, debido a la predominancia de la propiedad privada y la ubicuidad de formas "irregulares" o precarias (Blanco et al., 2016). Esto, en gran medida, es el producto de la larga trayectoria de políticas habitacionales en el país que han priorizado la vivienda en propiedad por un lado, y por otro, la sostenida práctica de autoproducción de la vivienda popular frente a las insuficiencias de aquellas (Fernández Wagner, 2015). Asimismo, en el campo de las políticas habitacionales, la cuestión de la vivienda en alquiler ha sido relegada a favor de otras estrategias para abordar la cuestión habitacional, circunscribiéndose a un repertorio limitado de intervenciones (Nievas, 2020). Como consecuencia de esto, la paulatina expansión de la vivienda en propiedad se ha arraigado en la sociedad a tal punto de convertirse en una concepción de la Argentina como un "país de propietarios" (Reese et al., 2014). Sin embargo, fisuras en este modelo comenzaron a hacerse más visibles a lo largo de las primeras décadas del siglo XXI.
Debido a una serie de factores de orden macroeconómico y socio-demográfico -y hasta de cambio cultural- especialistas de diversas disciplinas han alertado sobre un creciente proceso de "inquilinización" en el país, rompiendo con la tendencia previa de expansión paulatina de la vivienda en propiedad. En Argentina, el neologismo inquilinización se refiere al proceso mediante el cual sube la proporción de hogares que son inquilinos o arrendatarios de sus viviendas. Varias investigaciones que analizan cambios recientes en las principales ciudades argentinas proveen evidencias sobre esta tendencia (Barenboim, 2017; Carné, 2021; CEyS, 2015; Cosacov, 2012; Rodríguez et al., 2015). Al mismo tiempo, el mercado de alquiler presenta rasgos sumamente restrictivos al tratarse de un mercado en gran medida desregulado, competitivo, y con barreras significativas para la participación de los hogares (Gargantini, 2020; Giorgis & Falú, 2019; Muzzini et al., 2016). Como reflejo de esto, en años recientes el tema de las condiciones de los contratos de alquiler se volvió parte de la agenda política, redundando en la sanción de una nueva "Ley de Alquileres" a mediados de 2020. Sin embargo, lejos de zanjarse con la aprobación de dicha norma, las tensiones y debates en torno al asunto han permanecido.
La agenda de investigación en los estudios urbanos no ha sido ajena a estas influencias. El alquiler como modalidad de acceso a la vivienda ha tomado impulso como tema de investigación tanto en el país como en la región en años recientes (Rolnik et al., 2021). No obstante, pocos trabajos enfocan dicho problema desde una mirada socio-demográfica, lo cual deja una importante vacancia en el conocimiento sobre aspectos de este proceso; las excepciones demuestran la viabilidad y potencial de este tipo de análisis (Sobrino, 2020). El presente artículo pretende constituir un aporte en ese sentido -a modo de contribuir a este cuerpo de investigaciones que se encuentra hoy en pleno crecimiento- a partir de una lectura de evidencias empíricas del caso argentino que coadyuvan a la comprensión de este fenómeno complejo.
Los análisis de la dimensión socio-demográfica de la inquilinización en Argentina podrían resultar de interés por dos motivos principales: primero, porque el estudio de las formas de tenencia de vivienda en la región en gran medida ha desatendido a las particularidades del alquiler. En segundo lugar, permitirían poner de manifiesto la tensión entre diversas explicaciones posibles de la creciente proporción de hogares inquilinos. Por ejemplo, si la recurrencia al alquiler es simplemente producto de un momento en el ciclo de vida de las personas -es decir, si es que los hogares más jóvenes tienden a alquilar "en camino" a la propiedad- o si además existe un "efecto cohorte", con lo cual la decisión de alquilar por parte de hogares más jóvenes también depende de condiciones externas que se van haciendo más restrictivas. A raíz de estas consideraciones, como punto de partida se plantea la siguiente pregunta: ¿este proceso de inquilinización ha involucrado a todos los sectores sociales de la misma manera, o se evidencian matices de acuerdo con el perfil demográfico o socioeconómico de los hogares? Para abordar esta pregunta, el presente artículo proporciona un análisis socio-demográfico de la población inquilina en Argentina, e indaga en posibles cambios en su composición a lo largo de las últimas dos décadas.
El artículo se organiza de la siguiente forma: en primer lugar, se pasa revista de algunos antecedentes de la literatura argentina e internacional para dar contexto sobre la vivienda en alquiler y el proceso de inquilinización. Luego, se detalla la metodología y fuentes de datos utilizadas para el análisis que aquí se propone. Por último, se presentan los resultados junto con algunos comentarios e interpretaciones sobre los mismos, y se cierra el texto sintetizando las principales implicaciones del análisis, atendiendo a las particularidades del caso argentino y líneas para una agenda de investigación a futuro.
La inquilinización frente a la dinámica del mercado inmobiliario argentino
El alquiler en tanto modalidad de acceso a la vivienda es a menudo interpretado con relación a las etapas en el ciclo de vida de las personas y familias, o en el marco de sus trayectorias residenciales (Di Virgilio, 2011). Sobre todo, en un contexto como el argentino donde es considerado una forma de tenencia desvalorada y entendida como "transitoria", el alquiler recibe escasa atención. A diferencia de las perspectivas que se limitan a explicar la recurrencia al alquiler en función de la "elección" relativamente libre entre distintas formas de tenencia, o aquellas que enfatizan la relación entre el alquiler y determinado momento en el ciclo de vida de las personas y familias, aquí se pone énfasis en los factores estructurales que circunscriben tales elecciones. No obstante, estos enfoques no son mutuamente excluyentes. Por ejemplo, desde un abordaje cualitativo se ha analizado la decisión de alquilar por parte de jóvenes en la ciudad de Buenos Aires, para demostrar cómo dirimen sus deseos de emprender una emancipación residencial ante condiciones sumamente restrictivas del mercado inmobiliario (Arancibia, 2016; Cosacov, 2014; Felice, 2017). Dicho esto, es necesario contextualizar la decisión de alquilar en relación con la situación actual del mercado inmobiliario en las ciudades argentinas.
En cuanto a los factores causales del proceso de inquilinización observado durante los últimos años, existen diversas posibilidades. La dinamización del mercado inmobiliario a lo largo de la década de 1990 -y especialmente en los años posteriores a la crisis económica y social del 2001 (a veces llamado el boom inmobiliario de la postconvertibilidad) -significó un alza en el nivel de precios de los inmuebles, agravando las ya restringidas posibilidades de acceso a la vivienda en el mercado privado "formal" por parte de los sectores de ingresos medios y bajos (Baer & Kauw, 2016; Socoloff, 2019). Asimismo, en un contexto de inestabilidad macroeconómica y monetaria, muchos agentes económicos de diverso tamaño optaron por volcar sus capitales hacia el sector inmobiliario; desde pequeños propietarios que procuran "ahorrar en ladrillos" a raíz de una desconfianza en el sistema bancario y la moneda nacional, hasta grupos empresariales que despliegan estrategias de inversión para la valorización de sus capitales, canalizando voluminosos excedentes generados en otros sectores de la economía (Cuenya et al., 2012; D'Avella, 2013; Del Río et al., 2014; Peresini, 2020). Algunas lecturas de este proceso enfatizan la centralidad del sector inmobiliario y la industria de la construcción como forma de canalizar rentas agrarias extraordinarias durante el ciclo expansivo de exportación de commodities a comienzos de la década del 2000, desatando esta rápida valorización de los bienes inmuebles (Baer, 2008; Barenboim, 2013; Capdevielle, 2016).
Como consecuencia, se puede entrever el avance del proceso de concentración de las unidades de vivienda, mientras se acentuó cada vez más su carácter de objeto de inversión y sus precios se alejaron considerablemente de los salarios promedios de la mayoría de la población. Un elemento decisivo en este sentido se relaciona con la depreciación del peso argentino frente al dólar estadounidense, moneda de facto del mercado inmobiliario local (Gaggero & Nemiño, 2016). El alza de precios de las viviendas denominados en moneda extranjera se ha dado en simultáneo con el sostenido deterioro del salario real, poder adquisitivo promedio, y capacidades de ahorro de la población asalariada, reduciendo sus posibilidades de acceder a la vivienda en propiedad (Del Río & Langard, 2016). Al mismo tiempo, la escasa disponibilidad de crédito hipotecario en las primeras décadas del siglo xxi ha sido señalada con frecuencia como uno de los principales motivos de esta reducción (CEyS, 2015; Muzzini et al., 2016; Reese et al., 2014).
Como resultado de la combinación de estos factores, en la mayoría de las ciudades argentinas se confirma tanto la expansión del espacio residencial -sobre todo destinado a sectores de mayor poder adquisitivo- como el agravamiento de los problemas del acceso a la vivienda por parte de amplios sectores de la sociedad (Baer & Kauw, 2016; Greppi et al., 2020; Socoloff, 2019). El rasgo bimonetario del sector inmobiliario repercute en los niveles de precio de los alquileres que deben afrontar los hogares inquilinos (Rosanovich & Di Giovambattista, 2020), traduciéndose en una creciente proporción de su ingreso que deben destinar al pago del alquiler (Di Giovambattista & Rosanovich, 2020; Labiano, 2018). Por otra parte, las altas barreras al ingreso al mercado "formal" de alquileres (más allá del precio) -que incluyen la exigencia de contar con un título de propiedad como garantía, de comprar un seguro de caución, entre otros- obligan a muchos hogares inquilinos a recurrir al llamado mercado "informal" del alquiler, donde la seguridad en la tenencia es mucho menor aunque los precios y exigencias a menudo se asemejan al mercado formal, tanto en villas y asentamientos como en los inquilinatos u "hoteles-pensión" (Giorgis & Falú, 2019; Mazzeo & Roggi, 2012; Rodríguez et al., 2018; Toscani, 2018).
En paralelo, otros factores presionan sobre la disponibilidad de viviendas destinadas al mercado del alquiler. Por ejemplo, la difundida práctica de retiro de unidades del mercado de alquiler ante ciertas situaciones o a raíz de lógicas especulativas -favorecida por la ausencia de un marco normativo que desaliente dichas prácticas- conduce a una creciente proporción de viviendas vacías u ociosas, lo cual contribuye a una merma en la oferta y genera impactos en el nivel general de los precios (Corvaglia, 2020; IYC, 2019; Paolinelli et al., 2013). Asimismo, investigaciones recientes señalan el efecto que ha tenido la llamada "turistificación", y la expansión de nuevas modalidades de alojamiento turístico, en agudizar esta dinámica de retiro de viviendas del mercado de alquiler habitacional residencial (Diaz Parra & Sequera, 2020). Actividades de esta índole, en particular plataformas digitales como Airbnb, se encuentran en plena expansión alrededor del mundo (Ayouba et al., 2020; Gil & Sequera, 2018; Wachsmuth & Weisler, 2018; Zou, 2020), y Argentina no es una excepción (Gordziejczuk, 2021; Lerena Rongvaux & Rodríguez, 2020). Algo similar puede decirse con respecto al efecto del hospedaje temporario y el sector hotelero en general, sobre todo en ciudades con fuerte incidencia de la industria del turismo (Guevara, 2015; Medina, 2018).
En la literatura comparativa sobre sistemas nacionales de vivienda, políticas habitacionales y regímenes de bienestar, la forma de tenencia de la vivienda es a menudo tomada como una variable dependiente que varía de acuerdo a diversos factores (Kemeny, 2001; Stephens, 2016). Según esta perspectiva, diferentes sistemas de vivienda conducen a diferentes distribuciones entre las formas de tenencia, principalmente en función de cómo está planteado el régimen de vivienda en alquiler y hasta qué punto la vivienda en propiedad aparece como una alternativa accesible (Kemeny, 1995). Sin embargo, en un contexto de creciente neoliberalización de las políticas habitacionales a nivel global (Clapham, 2019) y financiarización de la vivienda (Nethercote, 2020), estas relaciones se ven modificadas. Esto, según una tesis sostenida por especialistas en los últimos años, ha llevado a la conformación de una "generación inquilina" (generation rent), integrada por jóvenes pertenecientes a determinada cohorte demográfica que se encuentran con reducidas posibilidades de acceder a la vivienda en propiedad en comparación con sus antecesores, más allá de su origen social (Byrne, 2020; Mckee et al., 2017; Wong, 2019). Esto es muy notorio incluso en países que supieron lograr una difusión masiva de la propiedad como forma de tenencia predominante, como en el caso argentino (Fuster et al., 2019; Waldron, 2021). Se ha sostenido que esta tendencia no solamente se vincula con la creciente financiarización de la vivienda y los impactos de las crisis financieras globales, sino también con transformaciones más profundas en las estructuras sociales y los mercados laborales de dichos países (Arundel & Doling, 2017). Poniendo en diálogo estas discusiones sobre acontecimientos en diferentes latitudes y contextos divergentes, pero con puntos de comparación interesantes, se puede pensar en nuevas formas de interpretar el proceso de inquilinización en Argentina.
Metodología
Con el escenario descripto en la sección anterior como telón de fondo, el análisis de la dimensión demográfica y socioeconómica de la población inquilina argentina se realiza en base a la estadística descriptiva y multivariada, recurriendo a diferentes fuentes de información oficiales. En primer lugar, un análisis descriptivo de datos de los censos nacionales de 2001 y 2010 permite esbozar algunas especificidades de la dimensión demográfica de dicho proceso en este período. Luego, con datos de la Encuesta Permanente de Hogares (en adelante EPH), se indaga en el efecto de distintas variables demográficas y socioeconómicas sobre la propensión de los hogares a ser inquilinos. La EPH se lleva a cabo de forma trimestral por el Instituto Nacional de Estadística y Censos de la República Argentina (INDEC), en 31 aglomerados urbanos del país, y recolecta datos sobre las características sociodemográficas de los hogares, sus integrantes, sus fuentes de ingresos, sus actividades laborales, entre otros. A fin de modelar estadísticamente la condición de inquilino de un hogar, se emplea la regresión logística binaria por ser una técnica de análisis multivariado que permite explicar el comportamiento de una variable categórica dicotómica en función de una serie de variables independientes. En este caso, dado el propósito de conocer el efecto de distintas características de un hogar sobre su propensión a ser inquilino, la condición de inquilino del hogar se toma como variable dependiente. La misma se construyó a partir de una recodificación de la variable régimen de tenencia de la vivienda que releva la EPH, de modo tal que los hogares inquilinos pudieran distinguirse de todas las demás formas de tenencia. A continuación se presentan las covariables seleccionadas para incluir en los modelos, agrupadas en tres "bloques" (demográfico, socioeconómico y migración).
Se construye una serie de modelos de regresión logística para introducir matices en la discusión de los factores que explican la condición de inquilino de un hogar. Para todos los modelos se reportan los coeficientes de cada una de las categorías de las distintas covariables. Los resultados reportados incluyen el coeficiente beta (B), que da indicios del sentido e intensidad de cada asociación dentro del modelo; el puntaje Wald, que indica el peso relativo de cada covariable en el modelo; y la razón de chances (o razón de momios, también conocido en inglés como odds ratio), reportado aquí como Exp(B). En la discusión de los resultados se hará hincapié más que nada en las razones de chances, ya que esto facilitará la interpretación de las diferencias más sustantivas entre distintos grupos sociales en términos de su propensión a ser inquilinos, controlado por los efectos de las demás variables.
Aunque este tipo de abordaje es poco frecuente en los estudios urbanos de la región, existen antecedentes de estudios que recurren a métodos similares para interrogar diferentes aspectos de la cuestión habitacional, tales como la distribución de los hogares según las formas de tenencia, la propensión a la cohabitación de los hogares de acuerdo al origen formal o informal de los barrios, los efectos de regulaciones del mercado de alquileres sobre el nivel de los precios, entre otros (Blanco et al., 2016; García García & Módenes, 2021; Jacobo & Kholodilin, 2022).
Resultados y discusión
A modo de ilustrar las afirmaciones sobre el proceso de inquilinización en Argentina, se debe proveer contexto sobre lo que fue su antecesor -el proceso de expansión masiva de la vivienda en propiedad a lo largo de la segunda mitad del siglo XX-. La figura 2 retrata sintéticamente este aspecto de la tendencia histórica en la distribución de los hogares argentinos según su forma de tenencia de la vivienda.
Es posible apreciar que la sostenida disminución del porcentaje de hogares inquilinos se vio interrumpida luego del año 2001. La proporción de hogares inquilinos en la Argentina creció del 11,1 % en 2001 al 16,1 % en 2010, cifra que aumentó del 22,2 % al 29,9 % en la Ciudad de Buenos Aires. Sin embargo, el argumento central que se avanzará en este texto es que el proceso de inquilinización no ha involucrado a todos los grupos sociales de la misma manera. Es posible observar una primera evidencia de esta afirmación a través de los cambios en la estructura etaria de la población inquilina. La figura 3 gráfica la distribución de hogares inquilinos en Argentina en el año 2001 y 2010, según el rango etario de su jefe/a. Aunque la proporción de hogares con jefes/as de 30 a 39 años creció apenas 1,2 puntos porcentuales en el período intercensal, el peso de este grupo entre los hogares inquilinos creció a un ritmo mayor, subiendo 4,2 puntos porcentuales en el mismo período, pasando de 26,7 % a 30,9 %. Semejante aumento desproporcionado no se observó en ningún otro grupo etario, ya que sus tasas de crecimiento intercensal fueron similares a su cambio relativo entre los hogares inquilinos. En contraste, la proporción de hogares inquilinos con jefes/as mayores a 40 años descendió de 2001 a 2010, en paralelo a la expansión general de la proporción de hogares inquilinos a nivel nacional.
Tabla 1 Variables independientes incluidas en los modelos de regresión logística

Fuente: elaboración propia en base a la Encuesta Permanente de Hogares (EPH), INDEC.
Sería posible interpretar estos pormenores como un efecto de la creación de nuevos hogares, cambiantes tendencias en los procesos de emancipación residencial, o hasta alteraciones en las preferencias de las personas o los valores sociales en torno a la "casa propia". Sin embargo, también es posible plantear hipótesis sobre estos cambios, en relación a las crecientes restricciones al acceso a la vivienda en propiedad, comentadas anteriormente. A primera vista, se puede afirmar que la expansión de la población inquilina fue más acentuada entre los hogares con jefes/as más jóvenes, lo cual sienta las bases para abrir otra pregunta: además de la tendencia hacia la creciente inquilinización en el país en general, ¿nos encontramos frente a la paulatina conformación de una "generación inquilina" en Argentina? A propósito de esta pregunta central, se abren interrogantes respecto a la composición social de la población inquilina. Por lo tanto, sería fructífero incorporar a este análisis diferentes variables -tanto demográficas como socioeconómicas- a fin de precisar las características sociales que se traducen en mayor propensión a ser inquilino. A tal efecto, se comentan a continuación los modelos de regresión logística construidos con este propósito.

Fuente: INDEC.
Figura 3 Estructura demográfica de la población inquilina, según rango etario de jefas/es de hogar. Argentina, 2001 y 2010
En el primer modelo (denominado "modelo 0"), se incluyó únicamente el rango etario del jefe/a de hogar como variable predictora de la condición de inquilino de un hogar. Así, es posible comparar la propensión de un hogar a ser inquilino según la edad de su jefe/a, en comparación con el grupo de referencia, los hogares con jefes/as mayores de 60 años. Dicho grupo fue definido como la categoría de referencia por dos motivos principales: por un lado, debido al supuesto que los hogares con jefes/as mayores habrán acumulado más oportunidades para obtener mayores ingresos y activos patrimoniales, tales como la propiedad de una vivienda. Sin embargo, esto también responde a motivos históricos, ya que dicho grupo constituye una cohorte generacional que transitó el momento de mayor expansión de la vivienda en propiedad en Argentina. Por otro lado, este modelo no solamente sirve para comprobar la existencia de una asociación estadísticamente significativa entre la condición de inquilino de un hogar y el rango etario de su jefe/a, sino también para establecer una línea de base para comparar el poder explicativo del modelo que incorpora más variables independientes. Dicha comparación se puede realizar en base a estadísticas como el seudo-R2 de Nage-lkerke, -2 log de la verosimilitud (-2LL en adelante), entre otras. Los resultados del "modelo 0" se presentan en la tabla 2.
Tabla 2 Modelo 0. Condición de inquilino de los hogares según rango etario de su jefe/a. Aglomerados urbanos de Argentina, 2021

Fuente: EPH (3. er trimestre 2021), INDEC.
Como era de esperarse, el rango etario del jefe/a de hogar es una variable predictora importante en relación a la condición de inquilino. Considerando únicamente esta variable, se puede apreciar que en comparación con los hogares con jefes/as mayores de 60 años, los que tienen jefes/ as menores de 30 tienen casi 13 veces más chances de ser inquilinos, y los hogares con jefes/as de 30 a 39 años, alrededor de 8 veces más. Sin embargo, teniendo en cuenta los objetivos de este trabajo, interesa más considerar qué ocurre con estas probabilidades relativas cuando se contemplan otras variables de orden demográfico y socioeconómico, de modo tal que se puedan vislumbrar algunos comportamientos diferenciados con respecto a la distribución de hogares inquilinos.
Por lo tanto, se construyó otro modelo de regresión logística introduciendo las variables que intentan captar estas dimensiones detalladas en la tabla 1. Vale aclarar que otras posibles covariables fueron consideradas -tales como el sexo del jefe/a de hogar, el tamaño del aglomerado urbano, entre otras- pero se excluyeron aquellas que no presentaron correlación estadísticamente significativa con la variable dependiente. Asimismo, se evaluó la multicolinealidad a través de una matriz de correlaciones, y se pudo comprobar que ningún par de covariables tuviera una correlación estadísticamente significativa mayor a 0,4. Las variables independientes fueron introducidas al modelo siguiendo el método por pasos hacia adelante condicional. Esto permite apreciar la paulatina mejora del ajuste del modelo en cada paso sucesivo a través de tres criterios: que el seudo-R2 demuestre una mejora en cada paso; que el valor del Chi cuadrado aumente en cada paso manteniendo su significancia estadística; y que el -2LL disminuya en cada paso, alcanzando al menos un -0,1 % de cambio respecto al paso anterior. La tabla 3 muestra la mejora en el ajuste del modelo con la inclusión de cada variable independiente.
Tabla 3 Resumen del Modelo 1. Regresión logística por método de inclusión de variables hacia adelante condicional, para hogares inquilinos según sus características demográficas y socioeconómicas. Aglomerados urbanos de Argentina, 2021

Fuente: EPH (3. er trimestre 2021), INDEC.
*gl: grados de libertad
En primer lugar, se puede subrayar que el valor del seudo-R2 sufre una mejora considerable respecto al modelo 0; pasó de un valor de 0,177 -cuando se incluyó a la edad del jefe/a de hogar como única variable independiente- a un valor de 0,277 cuando se incorporaron las demás covariables. Se cumplen además los otros criterios para la inclusión de covariables, como por ejemplo el umbral mínimo de cambio porcentual en el -2LL. Por otra parte, distintas estrategias se emplearon para mejorar la bondad del ajuste del modelo: se mejoró la capacidad clasificatoria del modelo a partir del índice de Youden, se realizó un análisis de residuos con curvas COR, y se probó por efectos de confusión e interacción entre las covariables.
La tabla 4 presenta los resultados del modelo 1, que pretende especificar la relación que se consideró en el modelo 0, incluyendo las otras variables independientes detalladas anteriormente. En este modelo, las razones de chances pueden interpretarse como las probabilidades relativas de ser inquilino para cada categoría de las covariables -siempre en comparación con un grupo de referencia (señalados en las tablas con la leyenda "ref.") - manteniendo constante las otras variables independientes. A partir de la comparación de los coeficientes beta y los puntajes de Wald, se puede afirmar que las variables del bloque demográfico fueron las que dotaron más poder explicativo al modelo, seguidas por las variables relacionadas con las migraciones. En primer lugar, habiendo controlado este modelo por las otras variables predictoras de relevancia, hay que revisar la interpretación de las probabilidades relativas de ser inquilino por parte de cada grupo etario respecto al análisis que permitió el modelo 0.
Tabla 4 Modelo 1. Regresión logística múltiple para hogares inquilinos según sus características demográficas y socioeconómicas. Aglomerados urbanos de Argentina, 2021

Fuente: EPH (3. er trimestre 2021), INDEC.
Por ejemplo, los hogares con jefes/as menores de 30 años tienen 16 veces más chances de ser inquilinos que los hogares con jefes/as mayores a 60 años, manteniendo constante el resto de las variables. Aunque estos dos grupos representan extremos en términos de probabilidad, también resultaron muy divergentes las probabilidades de otros grupos etarios en comparación con el de referencia (hogares con jefes/as mayores a 60 años), a saber: los hogares con jefes/as de 30 a 39 años tenían casi 13 veces más chances de ser inquilinos, y los de 40 a 49 años tenían 5 veces más. También resultó de interés el tamaño del hogar, siendo la segunda variable más importante para explicar la condición de inquilino de un hogar dentro del modelo. Dicho eso, los hogares unipersonales fueron los que tenían mayor propensión a ser inquilinos. En comparación con el grupo de referencia (hogares con 5 o más integrantes), los hogares unipersonales tenían 3 veces más chances de alquilar; a esos hogares les seguían los de dos integrantes (2 veces más chances de ser inquilinos) y los de 3-4 integrantes (46 % más).
Las variables relacionadas a la migración fueron las que siguieron a las variables comentadas en el párrafo anterior, en términos de su peso y poder explicativo dentro del modelo. Vale recordar que las variables incluidas en este bloque consideraban tanto el origen de la migración (interno o internacional) como la temporalidad de la misma (si tuvo lugar dentro de los 5 años antes del relevamiento), y en todos los casos se comparaba la propensión del hogar a ser inquilino con los hogares cuyos/as jefes/as habían nacido en la misma ciudad donde residían y que vivían allí en los últimos 5 años antes del relevamiento. En ambos casos, se confirma una propensión a ser inquilino bastante mayor entre hogares con jefes/ as que provenían de otro país, y levemente mayor entre hogares con jefes/as que habían migrado internamente.
Si bien las variables del bloque socioeconómico tuvieron menor peso relativo en el modelo, arrojaron algunos resultados sugerentes. Con respecto a la propensión a ser inquilino de un hogar según el nivel educativo de su jefe/a, se observa que para los casos de nivel educativo medio había 36 % más chances de ser inquilino en comparación con el grupo de referencia (nivel educativo bajo), cifra que se eleva a 43 %, para los casos de nivel educativo alto. Asimismo, cuando se comparan las probabilidades relativas de los hogares según su quintil de ingresos, se observa un paulatino incremento en la propensión a alquilar al ir subiendo en la escala de ingresos. Es decir, en comparación con los hogares con los ingresos más bajos (el primer quintil), los hogares con los ingresos más altos tienen el doble de chances de ser inquilinos, 72 % más chances en el tercer y cuarto quintil, y 41 % más en el segundo quintil. Esto significa que, manteniendo constantes las otras variables independientes incluidas en el modelo, se observa una mayor propensión a ser inquilino entre los hogares con mayores ingresos. Aunque esto podría parecer contraintuitivo, es probable que sea representativo de al menos dos fenómenos que fueron comentados en la revisión de la literatura: por un lado, responde a la creciente restricción del acceso a la vivienda en propiedad que fue acompañando (o impulsando) el proceso de inquilinización, con particular incidencia entre los hogares más jóvenes; por otro lado, refleja la exclusión de muchos hogares de menores ingresos de poder participar en el mercado formal de alquileres debido a las altas barreras legales y económicas del mismo, quienes por lo tanto se ven obligados a resolver sus necesidades habitacionales a través de otras modalidades de tenencia, más que nada precarias. Asimismo, este resultado es consistente con otros estudios que han podido comprobar que en América Latina los hogares inquilinos suelen tener ingresos más altos, lo cual han atribuido al peso de las formas irregulares de tenencia en la región, particularmente en referencia a los sectores de menores ingresos (Blanco et al., 2016). Sin embargo, la creciente tendencia de la inquilinización (informal), en villas y asentamientos del país, abre otro interrogante respecto a esta afirmación (Rodríguez et al., 2018). Dicho esto -y reconociendo que excede el alcance del presente artículo- se evidencia la utilidad de realizar un análisis similar al que se propone aquí, aplicado al universo de hogares que revisten formas irregulares o precarias de tenencia de su vivienda.
Por último, se aborda la pregunta respecto a la posibilidad de que algunas características sociodemográficas que explican la condición de inquilino de un hogar tengan mayor poder explicativo que décadas atrás, cuando apenas comenzaba el proceso de inquilinización en el país. A tal efecto, se construyó otro modelo de regresión logística múltiple con las mismas variables a partir de datos de la EPH relevados en el tercer trimestre de 2003 (por tratarse de los datos disponibles más cercano en el tiempo al Censo Nacional de 2001). De esta manera, se pudieron comparar los coeficientes y razones de chances de dos modelos utilizando las mismas covariables, a fin de explorar posibles cambios en la importancia relativa de las mismas, para explicar las probabilidades relativas de los distintos grupos a ser inquilinos. Si bien es generalmente desaconsejable realizar comparaciones directas entre los coeficientes de modelos de regresión logística construidos a partir de diferentes muestras o fuentes, ya que los mismos contienen una proporción desconocida de heterogeneidad atribuible a variables omitidas, existen estrategias para superar este límite (Mood, 2010). Por lo tanto, además de los coeficientes de estos modelos, se reporta el promedio de efectos marginales (PEM) para todas las categorías de las covariables. En cuanto a la interpretación de este último, representa las diferencias en términos de probabilidad entre un grupo y el grupo de referencia (expresado en puntos porcentuales), en base al promedio condicional de los efectos de las variables independientes, y por lo tanto son comparables entre modelos (Ballesteros, 2018). Los resultados de ambos modelos se encuentran en la tabla 5.
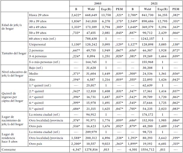
Tabla 5 Modelos 1a (2021) y 1b (2003). Regresión logística múltiple para hogares inquilinos según sus características demográficas y socioeconómicas. Aglomerados urbanos de Argentina, 2003 y 2021

Fuente: EPH (3. er trimestre de 2003 y de 2021), INDEC. * Estadísticamente significativa a p<0,05
Pese a la advertencia sobre la comparabilidad de razones de chances entre diferentes modelos comentada arriba, se seguirá haciendo referencia a las mismas para continuar con la misma línea analítica y dado que los resultados (razones de chances y PEM) de ambos modelos permitirían en grandes rasgos una lectura análoga. La diferencia más notoria en las razones de chances entre los modelos construidos para el año 2003 y el 2021 se observa en las categorías de rango etario del jefe/a de hogar. Aunque esto se podía entrever en el análisis descriptivo de la estructura etaria de la población inquilina graficada en la figura 3, las diferencias se hacen aún más nítidas al comparar las razones de chances y PEM de esta variable en los modelos construidos para los dos años. Sin dudas, el contraste más fuerte se nota en los hogares con jefes/as de 30 a 39 años, tal como se podía anticipar con el análisis descriptivo; en el modelo de 2003 este grupo tenía 6,4 veces más chances de ser inquilino que el grupo de referencia, pero 13 veces más en el modelo de 2021.
Las probabilidades relativas de todos los rangos etarios frente al grupo de referencia fueron mayores en el modelo de 2021 que en el modelo de 2003, pero esto fue mucho más acentuado en los grupos más jóvenes, aunque se pudo observar también en el grupo 40 a 49 años (la razón de chances de este grupo fue de 3,8 en 2003 en comparación con 5,2 en 2021). En cambio, no hubo diferencias notables con respecto a la variable tamaño de hogar. Las variables socioeconómicas, por su parte, sí tuvieron mayor poder explicativo en el modelo de 2021. El poder explicativo del ingreso per cápita del hogar fue mayor en el modelo de 2021, y fueron más amplias las diferencias en la propensión a ser inquilino del primer quintil de ingresos en comparación con los grupos de ingresos más altos.
Lo mismo puede decirse del otro indicador de nivel socioeconómico de los hogares, el nivel educativo de su jefe/a: en el modelo del año 2003, hogares con jefes/as de nivel educativo alto tenían menos probabilidades de ser inquilinos que los hogares con jefes/as de nivel educativo medio. Sin embargo, en el año 2021, este escenario fue distinto: los hogares con jefes/as de nivel educativo alto tenían más propensión a ser inquilinos, imponiéndose sobre los otros dos grupos. Hubo asimismo diferencias notables entre 2003 y 2021 en los PEM y razones de chances de las variables relacionadas a la migración; sin embargo, estas diferencias deben tomarse con cautela debido al pequeño número de casos para algunas de sus categorías.
Conclusiones
El presente análisis ha permitido introducir matices en la discusión sobre el proceso de inquilinización reciente en Argentina a partir de una lectura socio-demográfica, y al mismo tiempo abrir algunas hipótesis que merecen ser evaluadas en investigaciones futuras. Si bien los hogares jóvenes tienen mayor propensión a alquilar, al parecer la definición de cuáles hogares jóvenes se ha ido cambiando con el tiempo. Hay evidencias para sugerir que en la actualidad los hogares con jefes/as de 30 a 39 años tienen muchas más probabilidades relativas de ser inquilinos que hace 20 años. Lo mismo puede decirse de los hogares con jefes/as de 30 años o menos, y en menor medida de 40 a 49 años. Otros factores demográficos, como el tamaño del hogar y su origen migratorio, también resultaron ser variables predictoras relevantes. Por otro lado, se puede señalar que los hogares de mayor nivel socioeconómico tienen más propensión a ser inquilinos. En comparación con el año 2003, en 2021 fue posible observar un incremento en las probabilidades de ser inquilinos por parte de los hogares con jefes/as de nivel educativo alto y los hogares de los quintiles de ingreso más altos. Esto es consistente con los hallazgos de otros estudios en la región sobre la relación entre la distribución de los ingresos y el alquiler formal como modalidad de acceso a la vivienda (Blanco et al., 2016; Labiano, 2018; Muzzini et al., 2016). Al mismo tiempo, abre preguntas sobre las desigualdades en el acceso a la vivienda -tanto en alquiler como en propiedad, pero contemplando las otras formas diversas de tenencia precaria- en particular con respecto a la situación de los sectores de menores ingresos. Si bien estas cuestiones exceden el alcance del presente artículo, es menester señalar que algunos trabajos ya han comenzado a explorar estos aspectos de la inquilinización (Di Virgilio et al., 2020; Rodríguez et al., 2018).
No obstante, esto no implica que los grupos con mayor propensión a ser inquilinos necesariamente van a ser los más susceptibles a experimentar vulnerabilidades en función de tal condición. De hecho, se han observado situaciones muy diversas de grupos sociales específicos en el marco del mercado de alquiler, tales como las personas mayores, los hogares con jefatura femenina, la población migrante, el colectivo LGBTIQ+, entre otros (Abbate et al., 2022; Gargantini, 2021; Perez Ripossio, 2020). Por lo tanto, sería fructífero avanzar con una agenda de investigación más amplia capaz de atender a las particularidades de diversos grupos y su relación con el mercado de alquiler, cosa que no fue posible a partir del enfoque propuesto aquí. Por otro lado, los resultados tampoco deben pensarse a partir de una relación lineal entre alquiler y situaciones de vulnerabilidad, entendiendo que las trayectorias residenciales y las decisiones habitacionales de las personas y los hogares responden a múltiples factores.
Lo que sí se puede plantear a raíz del presente análisis es una hipótesis sobre la conformación de una incipiente "generación inquilina" en Argentina. Tal como ocurre en otras partes del mundo, los cambios en la distribución entre las distintas formas de tenencia de la vivienda se producen en un contexto de creciente mercantilización del acceso a la vivienda y el ascenso del sector inmobiliario como ámbito privilegiado para la valorización de capital. Si un aspecto de la financiarización de la vivienda es el mayor peso de la vivienda como un activo financiero en desmedro de su función habitacional, sería esperable que se acentúen las asimetrías en términos de los grupos sociales que pueden acceder a la propiedad de la misma (y cuáles son los usos que le dan), y los grupos que tienen reducidas posibilidades de hacerlo. Entonces, de comprobarse la hipótesis sobre la conformación de una generación inquilina en Argentina, no solamente surgiría la necesidad de dar cuenta de las características y particularidades de la misma, sino también de indagar en los factores estructurales, contextuales y subjetivos que influyen en este proceso. Dicho esto, para poder conocer en mayor profundidad las aristas del proceso de inquilinización en Argentina y el escenario específico que esta hipótesis acarrea, será necesario que se sigan produciendo investigaciones sobre estos fenómenos desde una pluralidad de perspectivas y abordajes metodológicos. Esto, además, con el fin de aportar evidencias sólidas que puedan servir de insumo para la elaboración de políticas públicas que contemplen de forma integral la cuestión de la vivienda en alquiler.















