Services on Demand
Journal
Article
Indicators
-
Cited by SciELO -
Access statistics
Related links
-
Cited by Google -
Similars in
SciELO -
Similars in Google
Share
Acta Colombiana de Psicología
Print version ISSN 0123-9155
Act.Colom.Psicol. vol.10 no.2 Bogotá July/Dec. 2007
ARTÍCULO
EFECTO DEL CONTACTO CON INSTRUCCIONES, LA ESPECIFICIDAD E HISTORIA INSTRUCCIONAL EN LA INSENSIBILIDAD AL CAMBIO CONTINGENCIAL EN TAREAS DE IGUALACIÓN DE LA MUESTRA DE PRIMER ORDEN EN HUMANOS
EFFECTS OF INSTRUCTIONAL CONTACT, SPECIFICITY AND INSTRUCTIONAL HISTORY ON CONTINGENCY CHANGE INSENSITIVITY IN FIRST ORDER MATCHING-TO-SAMPLE TASKS IN HUMANS
GERARDO ORTIZ RUEDA*, VERÓNICA PACHECO ORTEGA**, IRIS BAÑUELOS PINEDA** Y LOURDES PLASCENCIA JÁUREGUI**
Recibido, septiembre 18/2007
Concepto evaluación, octubre 21/2007
Aceptado, noviembre 6/2007
* Centro de Estudios e Investigaciones en Comportamiento-Universidad de Guadalajara, (México). oruga@cencar.udg.mx
** Facultad de Psicología, CUCS-Universidad de Guadalajara, (México).
Resumen
El presente estudio fue realizado con el fin de investigar si facilitar el contacto explícito con las instrucciones, el grado de especificidad de las mismas, así como la historia instruccional de los sujetos, afectan la sensibilidad de la ejecución al cambio de contingencias, utilizando tres tipos de instrucción (i.e. específica, genérica y mínima). Participaron 20 estudiantes universitarios, asignados de manera aleatoria a uno de cinco grupos experimentales que se diferenciaron por el tipo de instrucción recibida y el mantenimiento o cambio del tipo de instrucción entre condiciones, utilizando una tarea de igualación de muestra de primer orden. En la primera condición, la relación correcta durante todas las sesiones fue la de semejanza, mientras que en la segunda fase, durante la mitad de los ensayos de cada sesión, la relación criterio (i.e. contingencia) se modificó sin previo aviso al sujeto, pasando de semejanza a diferencia (i.e. el ECo no compartirá ninguna de las características con el Em). Antes, durante y después de la tarea experimental se realizaron, respectivamente, una preprueba, una prueba y una posprueba, donde la tarea incluyó el mismo tipo de estímulos, sin retroalimentación. A diferencia de un estudio previo de Ortiz y cols. (en prensa), los resultados mostraron que facilitar el contacto con las instrucciones provocó que se registraran tanto índices de insensibilidad superiores, como mayores diferencias entre grupos.
Palabras clave: instrucciones, precisión, historia, contacto funcional, insensibilidad, universitarios.
Abstract
The objective of the present study was to explore if the provision of explicit instructions prior to contingency contact, the degree of instructional specificity, as well as the instructional history of the subjects, affect the sensitivity to the change of contingencies. 20 undergraduate students were assigned to one of five experimental groups that were different both in the type of received instruction (i.e. specific, generic and/or minimum) and in the maintenance or change of the instruction between conditions, using a first order matching-to-sample task. In the first condition, the correct relation during all sessions was one of similarity, whereas in the second phase, during the second half of each sessions trials the relation criterion (i.e. contingency) was modified without previous warning from similarity to difference (i.e. the Comparative Stimuli did not share any of the characteristics of the Sample Stimulus). Unlike a previous study by Ortiz et al. (in press), the results showed that providing contact with the instructions produced higher insensitivity indexes, as well as greater differences between groups, an indication that the description given prior to the contact with the contingencies of the task could acquire an instructional function.
Key words: instructions, precision, history, functional contact, insensitivity, undergraduate students.
De acuerdo con Ortiz, González, Rosas y Alcaraz (2006), las instrucciones pueden considerarse como descripciones de la conducta presentadas previas a que el individuo enfrente una situación (i.e. contingencia) que cumplen con una función instruccional (i.e. reducir el rango posible de respuestas en la situación que describe a partir de complementación o suplementación de contingencias ambientales). En este sentido, se podría afirmar que la respuesta de un individuo ante determinada(s) contingencia(s) puede depender tanto de la precisión de las mismas como de la situación que éste enfrenta.
Estas descripciones precontacto con función instruccional pueden provocar diversos efectos sobre la ejecución dependiendo, entre otras cosas, del grado de precisión con que describan las condiciones que el individuo que las recibe enfrentará. Por ejemplo, en el Experimento 1 de una serie de estudios realizados por Ortiz, González, Rosas y Alcaraz (2006), los resultados mostraron que la precisión instruccional y la densidad de la retroalimentación tienen efectos diferenciales en la ejecución instrumental del sujeto. así como en la falta de correspondencia entre los niveles de dicha ejecución y el tipo de descripción realizada. En este mismo sentido, Martínez, Ortiz y González (2002) sugieren que el uso de instrucciones precisas y la presentación de retroalimentación continua pueden ser variables relevantes para producir y mantener un desempeño eficiente.
Uno de los efectos que se ha observado respecto de la función instruccional de las descripciones precontacto (i.e. reducción del rango posible de respuestas en la situación que describe) es la llamada insensibilidad a las contingencias. Típicamente, este fenómeno describe el hecho de que aunque la conducta del individuo hace contacto con contingencias que contradicen la indicación especificada por las instrucciones, el sujeto suele mantener su ejecución bajo el control de las instrucciones debilitándose el control ejercido por las consecuencias (e.g. Baron y Galizio, 1983; Buskist y Miller, 1986; Hojo, 2002; LeFrancois, Chase y Joyce, 1988; Martínez, Ortiz y González, 2007; Matthews, Shimoff, Catania y Sagvolden, 1977; Michael, 1984).
De acuerdo con diversos autores (e.g. Goldiamond, 1966; Skinner, 1966) tales efectos pueden deberse a que las instrucciones pueden restringir y determinar la forma inicial de la conducta en una dimensión específica, afectando el rango de conductas emitidas por el sujeto, con lo que la conducta resultante puede diferir de la que observamos con las mismas contingencias programadas en ausencia de las reglas, disminuyendo con ello la posibilidad de cambio de la conducta adecuado al cambio contingencial. Al mismo tiempo, dichas instrucciones continúan afectando la ejecución debido a la historia de consecuencias que ha tenido por responder tal como se ha especificado. Así, debido a que el control de esta forma de responder ha sido producido por un conjunto de contingencias completamente distintas a las programadas, tal ejecución se verá poco afectada por las consecuencias programadas dentro de un experimento breve.
Con el fin de investigar si la sensibilidad de la ejecución al cambio de contingencias era afectada por la historia instruccional respecto de la precisión de las instrucciones recibidas, en tanto su especificidad o no en relación con la contingencia descrita, Ortiz, De la Rosa, Padilla, Pulido y Vélez (en prensa) realizaron un estudio utilizando un procedimiento de igualación de la muestra de primera orden, modificando a la mitad de cada una de las sesiones de la segunda fase del estudio el criterio de respuesta con el cual venían siendo entrenados los participantes. Si bien sus resultados mostraron variaciones en los índices de insensibilidad y ajuste al cambio contingencial dependiendo de la precisión de la instrucción, tanto en el momento del cambio como en lo relacionado con la historia instruccional, la diferencia de ejecución respecto de los índices de insensibilidad y ajuste de los grupos en los que se evaluó el efecto de la historia instruccional a partir del cambio en la precisión de las instrucciones recibidas no fueron consistentes con lo esperado de acuerdo con la literatura.
De acuerdo con Ortiz y cols. (en prensa) tal inconsistencia pudo deberse a que el contacto de los sujetos con las instrucciones no fue suficiente como para crear una historia instruccional que tuviera el control de la ejecución en una situación donde se presentan instrucciones mínimas. Otra posibilidad interesante, sin embargo, es que la descripción precontacto presentada a los participantes no hubiese adquirido una función instruccional, debido a que el procedimiento utilizado no permitía verificar si los sujetos entraban en contacto con (i.e. leían) dicha descripción, condición indispensable para que cualquier evento pueda adquirir una función de estímulo (e.g. Kantor, 1924).
Por ello, el objetivo del presente estudio fue investigar si promover el contacto con las descripciones precontacto (i.e. que así adquirirán una función instruccional), así como la historia de seguimiento de instrucciones, favorecen la insensibilidad al cambio contingencial respecto del grado de especificidad de las instrucciones recibidas.
Método
Tipo de estudio
Se realizó un estudio experimental, con diseño balanceado conductual y de caso único, por lo que las comparaciones se realizaron tanto intra e inter-sujeto como entre-grupos.
Participantes
Participaron voluntariamente 20 estudiantes universitarios ingenuos en la tarea experimental, seis mujeres y 13 hombres, entre 19 y 27 años de edad.
Aparatos y escenario
Todas las sesiones experimentales se llevaron a cabo en cuatro cubículos ubicados dentro de las instalaciones del Centro de Estudios e Investigaciones en Comportamiento de la Universidad de Guadalajara. Todos los cubículos contaban con iluminación artificial y natural con dimensiones aproximadas de 2m de largo por 1.5m de ancho.
Cada cubículo contaba con una computadora PC marca comercial con procesador Pentium IV. La programación de los estímulos, la aplicación de la tarea experimental y la recolección de las respuestas de los sujetos se llevó a cabo mediante el programa Toolbook Instructor II.
Tarea Experimental
Como tarea experimental se utilizó un procedimiento de igualación de la muestra de primer orden. Cada ensayo consistió en la presentación de un estímulo muestra colocado al centro de la pantalla y tres estímulos comparativos alineados horizontalmente en la parte inferior de la pantalla. Cada arreglo de estímulos contenía con respecto al estímulo muestra, un estímulo comparativo idéntico en forma y en color, otro semejante en forma o en color y otro diferente tanto en forma como en color. La tarea del sujeto consistió en elegir de entre los tres estímulos comparativos, aquél que guarde la relación de semejanza con el estímulo muestra (color o forma) en la primera condición y en la primera parte de cada sesión de la segunda condición, así como la relación de diferencia en la segunda parte de cada una de las sesiones de la Condición 2.
Los colores de los estímulos empleados en todas las sesiones fueron azul, rojo, verde, gris y amarillo. El arreglo y el tipo de estímulos utilizados en cada sesión fue el mismo para los seis grupos. Durante todas las sesiones de entrenamiento se utilizaron como figuras círculos, triángulos, cuadrados, rombos y un par de líneas paralelas en los colores ya mencionados.
Procedimiento
Para comenzar el estudio, a cada sujeto se le invitó a pasar a uno de los cubículos experimentales; se le pidió que se sentara frente al monitor y oralmente se le indicó que se trataba de un estudio sobre aprendizaje, agradeciéndole su participación en el mismo. Antes de comenzar con las sesiones experimentales y de prueba, se sometió al sujeto a un entrenamiento del uso y manejo del mouse con el fin de nivelar sus conocimientos respecto a ello, y evitar así errores en la tarea experimental que fueran ajenos a las variables contempladas.
Al inicio de cada sesión se presentaron en la pantalla las instrucciones correspondientes al grupo al que se asignó el sujeto; para clasificar su precisión se utilizó la propuesta hecha por Ortiz, González, Rosas y Alcaraz (2006). Así, para los grupos 1 y 4 las instrucciones fueron de tipo genérico respecto del componente respuesta, y estuvieron estructuradas de la siguiente manera:
En la pantalla aparecerán cuatro figuras, una arriba y tres abajo.
De las figuras de abajo escoge la que creas que tiene alguna relación con la de arriba.
Para llevar acabo tu elección deberás oprimir el botón izquierdo del mouse
sobre la imagen que creas más conveniente.
Las instrucciones que recibieron los grupos 2 y 5 fueron específicas respecto de la situación de estímulo y la respuesta:
En la pantalla aparecerán cuatro figuras, una arriba y tres abajo.
De las figuras de abajo escoge la MÁS PARECIDA sólo en forma y color
(pero no en ambas características al mismo tiempo) a la de arriba.
Para llevar a cabo tu elección, deberás oprimir el botón izquierdo del mouse
sobre la imagen que creas más conveniente.
Finalmente, el Grupo 3 no recibió instrucciones en cuanto al criterio de respuesta correspondiente a la tarea, ni respecto de las consecuencias de su ejecución; sólo recibió instrucciones mínimas acerca de la utilización del equipo de cómputo:
Para resolver la tarea emplea el Mouse.
En la segunda fase, para el Grupo 1 se mantuvieron las instrucciones genéricas, el Grupo 2 la instrucciones específicas, mientras que los grupos 3, 4 y 5 recibieron instrucciones mínimas.
En cada una de las sesiones, experimentales y de prueba, una vez que el participante se sentaba frente a la computadora, se le pedía que leyera las instrucciones que se presentaban en la pantalla, indicándole que cuando terminara de leerlas avisara al experimentador. Cuando esto sucedía se le preguntó al sujeto la tarea que debía realizar de acuerdo con la instrucción que se le había dado, lo que permitió evidenciar el contacto que el sujeto hizo con dicha instrucción. Si el reporte correspondía con la instrucción recibida, se le pedía que continuara con la tarea dejándolo sólo dentro del cubículo: de lo contrario, se le pedía que leyera nuevamente la instrucción hasta que el reporte fuera adecuado.
Durante las sesiones experimentales los cinco grupos de sujetos recibieron retroalimentación continua en la cual, una vez elegido el estímulo, se daba información al sujeto sobre su ejecución con la aparición durante 2s mediante un letrero de <<ACIERTO>> o <<ERROR>> que aparecía en la parte central de la pantalla justo por debajo del arreglo. Inmediatamente después, aparecía el siguiente arreglo de estímulos, hasta completar los 36 ensayos de la sesión. No se programó límite de tiempo para responder, por lo que cada uno de los ensayos finalizó hasta que el sujeto realizaba su elección. Para cada participante, todas las sesiones se realizaron el mismo día.
Diseño
Los sujetos fueron asignados aleatoriamente a uno de los cinco grupos experimentales (n=4) que se diferenciaron por el tipo de instrucción recibida (i.e. genérica, específica o mínima) durante el experimento (véase tabla 1). Cada sujeto enfrentó de manera individual dos condiciones de tres sesiones cada una, en donde cada sesión estaba conformada por 36 ensayos y 108 ensayos adicionales distribuidos por igual en preprueba, prueba y posprueba; es decir, 36 ensayos por cada una.
Las preprueba, prueba y posprueba consistieron en tareas similares a la experimental; sin embargo, no tuvieron retroalimentación y la instrucción fue mínima en las tres ocasiones. La preprueba se aplicó antes de la condición 1, la prueba entre las condiciones 1 y 2, mientras que la posprueba se llevó a cabo al finalizar la condición 2.
En la condición 1, el criterio de respuesta fue de semejanza, por lo que los sujetos debieron responder el estímulo comparativo (ECo) que tenía una semejanza (i.e. forma o color) con el estímulo muestra. Al Grupo 3 no se le asignó ninguna instrucción en cuanto al criterio mediante el cual debía responder; a los grupos 1 y 4 se les asignó una instrucción genérica y, finalmente, para los grupos 2 y 5 la instrucción fue especifica. En la condición 2, cada sesión fue dividida en dos bloques de 18 ensayos; en el primer bloque el criterio de respuesta fue el mismo que en la primera condición (i.e. semejanza), mientras que en el segundo bloque el criterio fue de diferencia, es decir, se debía elegir el estímulo comparativo que fuera diferente (en color y forma) al estímulo muestra. El cambio de criterio se realizó sin previo aviso. En esta fase, para los grupos 1 (genérica), 2 (específica) y 3 (mínima) se mantuvo el mismo tipo de instrucción que en la condición previa, mientras que a los dos grupos restantes (grupos 4 y 5) se les presentó un cambio en el tipo de instrucción (i.e. mínima).

Resultados
En la Figura 1 se muestran los porcentajes de aciertos obtenidos por cada sujeto de los cinco grupos experimentales. Las barras claras muestran los aciertos cuando el criterio fue semejanza, mientras que las barras oscuras se refieren a los aciertos cuando el criterio de respuesta fue el de diferencia. Cada una de las columnas muestra los resultados de cada grupo de estudio.

Todos los sujetos alcanzaron niveles de ejecución superiores al 80% de aciertos al menos en una de las sesiones de la condición 1, con excepción de los sujetos s2 y s4 (Grupo 1), s12 (Grupo 3), s16 (Grupo 4), así como s18 y s19 (Grupo 5).
En la condición 2, mientras se mantuvo el criterio de respuesta en semejanza, todos los sujetos obtuvieron ejecuciones superiores al 80%, excepto los sujetos s2, s12 y s16 durante la primera sesión. Al cambiar las contingencias (i.e. cambio de criterio de respuesta a diferencia) sólo los sujetos s3, s8, s10 y s16 no obtuvieron ningún acierto en ninguna de las tres sesiones de la condición 2; los sujetos s2, s9 y s14 estuvieron por debajo del 80% de aciertos sólo en la primera sesión, obteniendo niveles de ejecución del 100% para la sesión 3 de la condición 2.
Por su parte, ninguno de los sujetos del Grupo 2 (específica-específica) obtuvo niveles de ejecución superiores al 80% de aciertos cuando se presentó el cambio de contingencias en la primera sesión, siendo el sujeto s7 el que más se acerco a dichos niveles con un 79% de aciertos. El sujeto s7 y s8, en dos sesiones de la condición 2, no obtuvieron aciertos. Sólo uno de los sujetos del Grupo 3 (mínima-mínima) alcanzó y rebasó el 80% de respuestas correctas en la primera sesión, s11, siendo el sujeto s12 el que no alcanzó más del 50% de aciertos. El sujeto s10 obtuvo cero aciertos en las tres sesiones, lo cual podría explicarse por su propia ejecución inicial, manteniendo su conducta. En las sesiones 2 y 3, solamente el sujeto s12 no alcanzó más del 60% de aciertos de los ensayos de diferencia.
En el Grupo 4, que recibió instrucciones genéricas en la primera condición y un cambio a instrucciones mínimas en la segunda. Se puede observar que al presentarse el cambio de criterio de respuesta, solamente el sujeto s14 superó el 80% en la primera sesión; en las dos sesiones restantes, sólo el sujeto s16 obtuvo cero aciertos de diferencia en las tres sesiones, superando los demás sujetos del grupo el 80%. Los sujetos s13 y s14 alcanzaron el 100% de respuestas correctas en la última sesión. Finalmente, para el Grupo 5 (específica-mínima), sólo los sujetos s17 y s20 no alcanzaron el 80% de aciertos en la primera sesión, mostrando un ascenso paulatino conforme pasaban las sesiones, finalizando con un rango aproximado del 90-97% de aciertos en la sesión 3. El resto de los sujetos (s18 y s19) rebasó el 80% de aciertos en las dos sesiones finales de la esta condición.
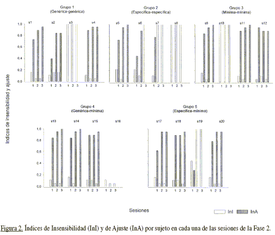
La Figura 2 muestra los índices de insensibilidad (InI) y de ajuste (InA) durante la Condición 2 al presentarse el cambio de criterio de respuesta (semejanza a diferencia) para cada sujeto de cada uno de los grupos experimentales. El índice de insensibilidad se obtuvo dividiendo el número de ensayos que requirió el sujeto para cambiar de opción de respuesta una vez que cambiaron las contingencias por el total de ensayos en la nueva contingencia (18 ensayos). Esto implica que mientras más insensibilidad haya a las contingencias, este índice tenderá a uno y viceversa.

Por su parte, el índice de ajuste se obtuvo de la resta de 1 menos el cociente obtenido por la división del número de ensayos requeridos para obtener el primer acierto una vez que cambió la contingencia por el número de ensayos totales. Así, el ajuste perfecto resultaría en un índice de 1.
El índice de insensibilidad (InI) para todos los sujetos osciló entre .1 y .5, con excepción de los sujetos s3 (Grupo 1, Genérica-genérica), s8 . y s10 con un InI de 1, aunque en éste último caso parece deberse a que mantuvo su ejecución inicial. Los sujetos s7 y s19 obtuvieron en la segunda y tercera sesión un índice de insensibilidad de 1, lo que implica que se mantuvieron respondiendo al criterio de semejanza, independientemente del cambio de contingencias.
Respecto del índice de ajuste (InA) se puede observar que independientemente del grupo, todos los sujetos registraron un InA superior a 0.8 en al menos una de las sesiones experimentales, con excepción de los sujetos s3, s8, s10 y s16, con un InA de 0 en las tres sesiones, mientras el sujeto s7 obtuvo 0.78 en la primer sesión y 0 en las restantes, y el sujeto s19 obtuvo 0.28 en la primer sesión y 0 en las dos siguientes. En varios sujetos se puede observar un incremento gradual del InA a lo largo de las tres sesiones experimentales (s1, s5, s9, s11, s13 y s14), al tiempo que sólo el sujeto s12 obtuvo un nivel elevado de índice de ajuste (0.9), que disminuyó en las siguientes dos sesiones a .8 en ambas.
En la Figura 3 se muestran los índices de insensibilidad y ajuste promedio por cada uno de los grupos experimentales. Las barras blancas muestran el índice InI, mientras que las barras grises representan los promedios del InA.

El grupo que menor InI obtuvo, y por tanto mostró mayor sensibilidad al cambio contingencial, fue el Grupo 4 (instrucciones genérica-mínima) con un índice de 0.07, seguido por el Grupo 5 (Específica-mínima) con 0.26 y el Grupo 3 (Mínima-mínima) con un InI de 0.29. Le sigue el grupo 1 (Genérica-genérica) con un InI de 0.3, mientras que el índice de insensibilidad más alto correspondió al Grupo 2 (Específica-específica) con un 0.55.
Respecto del índice de ajuste (InA), podemos observar que el menor ajuste se presentó en el Grupo 3 (0.07), seguido por el grupo 2 (0.4), el grupo 1 (0.61) y el grupo 4 y 5 con 0.68.
Discusión
El presente estudio fue una replicación sistemática del trabajo realizado por Ortiz, de la Rosa, Padilla, Pulido y Vélez (en prensa), con la adición de una indicación a los sujetos experimentales al inicio de cada sesión que promovía el contacto con las instrucciones. En general, los resultados respecto de los aciertos obtenidos mostraron que, a diferencia del estudio de Ortiz y cols. (en prensa). donde sólo uno de los sujetos no se ajustó al cambio en las contingencias programado en la Fase 2, varios de los sujetos no se ajustaron a dicho cambio obteniendo porcentajes de aciertos de cero o cercanos a cero. Este efecto se observa particularmente en el Grupo 2, que durante las dos condiciones de estudio recibió descripciones precontacto específicas. Al mismo tiempo, con excepción del Grupo 4 (Genérica-mínima), se obtuvieron índices de Insensibilidad (InI) grupales mayores, así como índices de ajuste (InA) menores para todos los grupos del estudio en comparación con los obtenidos en el estudio previo. De igual forma, se observaron InI superiores en los grupos que recibieron, al menos en alguna de las fases experimentales, instrucciones de tipo específico (grupos 2 y 5), al tiempo que se observaron diferencias en el mismo índice, así como en el InA, respecto de la variable historia instruccional (cfr. grupos 3 con historia de instrucciones mínimas, 4 con historia de instrucciones genéricas y 5 con historia de instrucciones específicas).
El fenómeno denominado insensibilidad al cambio de contingencias se ha reportado como un efecto que se obtiene cuando las instrucciones adquieren el control sobre la conducta del sujeto que las recibe, en detrimento del control que pudieran tener las contingencias de reforzamiento recibidas (i.e. retroalimentación). De hecho, algunos autores han sugerido que la presencia de este efecto es una muestra del control instruccional (e.g. Baron y Galizio, 1983; Podlesnik y Chase, 2006).
Los resultados del presente estudio, y la diferencia con aquéllos encontrados en el estudio de Ortiz y cols. (en prensa), respecto de mayores índices de insensibilidad pueden ser explicados a partir de la promoción que se hizo con el sujeto para que hiciera contacto con las instrucciones (v.gr. resultados del Grupo 2 con instrucciones específicas). De acuerdo con diversos autores (e.g. Guerrero-Radillo y Ortiz, 2007; Ortiz, González, Rosas y Alcaraz, 2006; Ortiz, González y Rosas, en revisión; Pfeiffer-Flores, 2004), ningúna descripción tiene, per se, una función instruccional; es decir, no existen tales cosas como instrucciones, sino que son descripciones precontacto con las contingencias que debido a diferentes propiedades (i.e. precisión respecto de la situación que describe, momento de uso, correspondencia con las consecuencias) pueden adquirir una función instruccional, o cualquier otro tipo de función como consejo, advertencia, orden, entre otros.
Siguiendo a Kantor (1924) y Ribes y López (1985), si bien existen diversos eventos en el medio en que nos desenvolvemos, no todos adquieren una función de estímulo para el individuo. Así, un estímulo hace referencia a la operación de algún objeto o cosa que produce una respuesta de un individuo reactivo. Por ello, uno de los aspectos que se considera un prerrequisito indispensable para que un evento adquiera una función estimular, es el contacto que el sujeto tiene con tal evento; al mismo tiempo, la función de estímulo particular que dicho evento puede adquirir depende de diversos elementos (i.e. historia interactiva, arreglo contingencial enfrentado).
Así, parece probable que el contacto con la descripción antes de enfrentar la situación juegue un papel importante, tanto en la adquisición de la función instruccional, como en la posibilidad de insensibilidad al cambio contingencial, pues dicho contacto permite que la descripción adquiera una función estimular particular. Tal como pudiera esperarse, si la descripción precontacto adquiere una función instruccional (i.e. complementación o suplementación de contingencias ambientales, reduciendo el posible rango de conductas por emitir en una determinada contingencia, ver Matthews, Shimoff, Catania y Sagvolden, 1977; Skinner, 1966), se observaron peores ejecuciones en aquellos participantes que en todo momento recibieron descripciones precontacto específicas, en contraposición con aquéllos para quienes fueron de tipo genérica o para los que en el momento del cambio, se encontraban recibiendo descripciones mínimas.
Ortiz y cols. (en prensa) sugieren que un aspecto importante a considerar respecto de la adquisición de una función específica (i.e. instruccional) por parte de la descripción precontacto es el número de sesiones (i.e. contactos) que cada sujeto tuvo con las instrucciones, pues sus datos sugerían la posibilidad de que el contacto de los sujetos con las instrucciones no fue suficiente como para crear una historia instruccional que tuviera el control de la ejecución en una situación donde se presentan instrucciones mínimas (e.g. Galizio, 1979; Newman, Buffington y Hemmes, 1995). En el presente estudio se buscó extender la historia instruccional incrementando el número de sesiones que enfrentaba el participante, bajo el supuesto de que dicho factor tiene la función de formar y mantener conductas en el sujeto en función del tipo de instrucción recibida y de su ejecución instrumental. Si bien los resultados parecen soportar esta suposición, es necesario realizar otros estudios que especifiquen el efecto que sobre la adquisición de una función instruccional de descripciones precontacto tiene la historia de seguimiento instruccional del participante.
Referencias
1. Baron, A. y Galizio, M. (1983). Instructional control of human operant behavior. The Psychological Record, 33, 495-520. [ Links ]
2. Buskist, W.F. y Miller, H.L. (1986). Interaction between rule and contingencies in the control of human fixed-interval performance. The Psychological Record, 36, 109-116. [ Links ]
3. Galizio, M. (1979). Contingency-shaped and rule-governed behavior: instructional control of human loss avoidance. Journal of the Experimental Analysis of Behavior, 31, 53-70. [ Links ]
4. Goldiamond, I. (1966). Perception, language, and conceptualization rules. En: B. Kleinmuntz (Ed.). Problem solving: Research, method and theory. New York: John Wiley and Sons (Pp.183-224) [ Links ]
5. Guerrero-Radillo, A. y Ortiz, G. (2007). El papel de la retroalimentación y la ausencia o presencia de instrucciones en la elaboración de descripciones en tareas de discriminación condicional. Acta Colombiana de Psicología, 10, 1, 5-13. [ Links ]
6. Hojo, R. (2002). Effects of instructional accuracy on a discrimination task. The Psychological Record, 52, 4, 493-507. [ Links ]
7. Kantor, J.R. (1924). Principles of Psychology, vol. 1. Granville, OH: The Principia Press. [ Links ]
8. LeFrancois, J.R., Chase, P.N. y Joyce, J.H. (1988). The effects of a variety of instructions on human fixed-interval performance. Journal of the Experimental Analysis of Behavior, 49, 383-393. [ Links ]
9. Martínez, H., Ortiz, G. y González, A. (2002). Precisión instruccional, retroalimentación y eficacia: Efectos sobre el entrenamiento y transferencia en una tarea de discriminación condicional en adultos. Acta Colombiana de Psicología, 8, 7-33. [ Links ]
10. Martínez, H., Ortiz, G. y González, A. (2007). Efectos diferenciales de instrucciones y consecuencias en ejecuciones de discriminación condicional humana. Psicothema, 19, 1, 14-22. [ Links ]
11. Mattews, B.A., Shimooff, E., Catania, A.C. y Sagvolden, T. (1977). Uninstructed human responding: Sensitivity to ratio and interval contingencies. Journal of the Experimental Analysis of Behavior, 27, 453-467. [ Links ]
12. Michael, J. (1984). Verbal behavior. Journal of the Experimental Analysis of Behavior, 42, 3, 363-376. [ Links ]
13. Newman, B., Buffington, D. M. y Hemmes, N. S. (1995).The effects of schedules of reinforcement on instruction following. The Psychological Record, 45, 3, 463-476. [ Links ]
14. Ortiz, G., De la Rosa E., Padilla R., Pulido E. y Vélez H. (en prensa). Efecto de la especificidad e historia instruccional en la insensibilidad al cambio contingencial en tareas de igualación de la muestra de primer orden en humanos. Acta Comportamentalia. [ Links ]
15. Ortiz, G., González, A. y Rosas, M. (en revisión). Una taxonomía para el análisis de descripciones pre y post contacto con arreglos contingenciales. Acta Colombiana de Psicología. [ Links ]
16. Ortiz, G., González, A., Rosas, M. y Alcaraz, F. (2006). Efectos de la precisión instruccional y la densidad de retroalimentación sobre el seguimiento, la elaboración y transmisión de descripciones en tareas de discriminación condicional. Acta Comportamentalia, 14, 2, 103-130. [ Links ]
17. Pfeiffer-Flores, E. (2004). O conceito de regra na linguagem cotidiana e na Análise Experimental do Comportamento. Estudos de Psicologia, 9, 2, 279-283. [ Links ]
18. Podlesnik, A. C. y Chase, P. N. (2006). Sensitivity and strength: effects of instructions on resistance to change. The Psychological Record, 56, 2, 303-321. [ Links ]
19. Ribes, E. y López F. (1985). Teoría de la conducta un análisis de campo y paramétrico. México: Trillas. [ Links ]
20. Skinner, B.F. (1966). An operant analysis of problem solving. En: B. Kleinmuntz (Ed.). Problem solving: Research, method and theory. New York: John Wiley and Sons. (Pp. 225-257). [ Links ]













