Services on Demand
Journal
Article
Indicators
-
Cited by SciELO -
Access statistics
Related links
-
Cited by Google -
Similars in
SciELO -
Similars in Google
Share
Acta Colombiana de Psicología
Print version ISSN 0123-9155
Act.Colom.Psicol. vol.11 no.1 Bogotá Jan./June 2008
ARTÍCULO
ANÁLISIS DEL DISCURSO DIDÁCTICO USANDO UNA TAREA DE IGUALACIÓN DE LA MUESTRA DE SEGUNDO ORDEN
ANALYSIS OF DIDACTIC DSCOURSE USING A SECOND-ORDER MATCHING-TO-SAMPLE TASK
ANÁLISE DO DISCURSO DIDÁTICO EMPREGANDO UMA TAREFA DE IGUALAÇÃO DA AMOSTRA DA SEGUNDA ORDEM
MARÍA ELENA RODRÍGUEZ PÉREZ, FÉLIX ALEJANDRO CASTELLANOS MEZA, LILIANA LETICIA DÍAZ GÁMEZ
CENTRO DE ESTUDIOS E INVESTIGACIONES EN COMPORTAMIENTO
UNIVERSIDAD DE GUADALAJARA - MÉXICO
Recibido, agosto 1/2007
Concepto evaluación, noviembre 4/2007
Aceptado, abril 27/2008
Correspondencia: Centro de Estudios e Investigaciones en Comportamiento. Francisco de Quevedo # 180. Col. Arcos Vallarta. Guadalajara, Jalisco. C.P. 44130. rpm08428@cucba.udg.mx, felixacastellanosm@yahoo.com.mx, lilianaleticia@gmail.com.
Resumen
Aprender a enseñar parece ser resultado de un aprendizaje vivencial y directo. Por ello, en el presente estudio, se utilizó una tarea de igualación de la muestra de segundo orden para evaluar la construcción de un discurso didáctico a partir del propio aprendizaje. El diseño experimental consideró dos momentos, uno de aprendizaje y otro de enseñanza. En el primero, se entrenó la tarea de igualación con un procedimiento de complejidad creciente. En el segundo, cada participante entrenado tuvo que enseñar a otros dos cómo contestar tareas similares a las que se sometieron. Los resultados se analizaron en términos del dominio de la tarea por los participantes expuestos al entrenamiento de aprendizaje, las posibilidades de transferencia de lo aprendido, los procesos implicados en la elaboración de un discurso didáctico, y los efectos del acto de enseñar sobre los aprendices. Todos los sujetos aprendieron la igualación, ya sea por entrenamiento directo o mediante la exposición al discurso didáctico. Sin embargo, hubo diferencias en el desempeño durante las pruebas de transferencia debido a las distintas formas de verbalizar los criterios de ejecución correcta implicados en el discurso didáctico.
Palabras clave: discurso didáctico, discriminación condicional, igualación de la muestra de segundo orden.
Abstract
Learning to teach seems to be a product of direct experiential learning. Therefore, in this study, a second-order matching-to-sample task was used to evaluate the didactic discourse that a person can elaborate from his own learning. The research design involved two different phases, learning and teaching. During the learning phase, the participants were trained in the matching task with a procedure that gradually increased its complexity .During the teaching phase, each trained participant had to teach another two participants on how to perform effectively in similar tasks. Results were analyzed in terms of the trained participants performance on the task, transference of learning, processes involved in the elaboration of didactic discourse, and the effects of teaching on he apprentices. Data suggest that all participants learned the matching task, either by direct training or by being exposed to didactic discourse. However, differences on performance during transfer tests were found among participants due to the different ways of verbalizing task criteria and effective performance involved in didactic discourse.Key words: didactic discourse, conditional discrimination, second-order matching-to-sample.
Resumo
Aprender a ensinar parece o resultado de uma aprendizagem vivencial e direito. Portanto, neste estudo, utilizou-se uma tarefa de igualação da amostra de segunda ordem para avaliar a construção de um discurso didático a partir da aprendizagem própria. O desenho experimental considerou dois momentos. No primeiro, treinou-se a tarefa de igualação com um procedimento de complexidade crescente. No segundo, cada participante treinado tive que ensinar a outros dois como responder a tarefas semelhantes às que foram submetidos. Os resultados se analisaram em relação ao domínio da tarefa pelos participantes expostos ao treinamento de aprendizagem, as possibilidades de transferência do aprendido, os processos envolvidos na elaboração de um discurso didático e os efeitos que ato de ensinar produze nos aprendizes. Todos os sujeitos aprenderam a igualação, bem seja por treinamento direito ou através da exposição ao discurso didático. No entanto, apresentaram-se diferenças no desempenho durante as provas de transferência, devido as diferentes formas de verbalizar os critérios de execução correta envolvidos no discurso didático.Palavras-chave: discurso didático, discriminação condicional, igualação da amostra de segunda ordem.
La formación y el ejercicio docente ha sido objeto de estudio de múltiples investigaciones desde perspectivas diversas. En éstas, se ha concluido que los docentes tienden a instrumentar su interacción didáctica con los estudiantes principalmente a partir de su propio aprendizaje, de sus experiencias personales y de un complejo de unidades representacionales que se caracteriza por ser personal e implícito (Figueroa 2000; Greene & Magliaro, 2006). Es decir, el ejercicio docente se basa en un conocimiento práctico y personal. Aunque la práctica docente es una práctica social, condicionada históricamente (De Rivas, Martín & Venegas, 2003; Gimeno, 1988), aprender a ser profesor tiene que ver con un aprendizaje experiencial y activo. En el plano individual, aprender a enseñar implica relacionarse con las tareas a enseñar, con el acto de enseñar y con la toma de conciencia de cómo se está enseñando (Faúndez, 2004). Por ello, en el presente estudio se planteó la posibilidad de abordar el ejercicio docente desde una perspectiva de análisis individual con metodologías que permitieran el control y manipulación del aprendizaje de los participantes y la incorporación de dicho aprendizaje en el discurso didáctico.
Para ser congruente con el propósito de la investigación, se llevaron a cabo las siguientes delimitaciones conceptuales. En primer lugar, se incorporaron las consideraciones acerca del aprendizaje de la psicología interconductual ya que dicha perspectiva considera que el objeto de estudio de la psicología es la interacción de un individuo con su medio ambiente (Kantor, 1924-1926; Ribes & López, 1985). El aprendizaje se define como el cambio funcional de la interacción de un individuo con su medio ambiente (Ibáñez & Ribes, 2001). Generalmente, en el aprendizaje escolar, el profesor es quien lleva a cabo la mediación de formas o modos de actuar ante objetos o situaciones. El maestro organiza, presenta y media el desempeño efectivo y los criterios de logro a los estudiantes por medio del lenguaje, en forma de discurso didáctico (Ryle, 1949). El uso del término discurso didáctico enfatiza el carácter eminentemente lingüístico de la enseñanza (Ribes, 1990). Enseñar es, entonces, la acción de proveer a los estudiantes de las condiciones ambientales necesarias para que ocurra el cambio funcional de su interacción con el mundo real a través del discurso didáctico (Ibáñez, 2005).
En segundo lugar, se eligió una tarea experimental que permitiera distinguir los cambios funcionales de la interacción implicados en el aprendizaje. Las tareas de discriminación condicional, como la igualación de la muestra, se han utilizado en el estudio de la conducta de solución de problemas y aprendizaje complejo, especialmente con relación a nombrar acontecimientos y objetos, seguir instrucciones y describir el propio comportamiento y sus consecuencias (Cumming & Berryman, 1965; Goldiamond, 1966; Ribes, Ibáñez & Hernández-Pozo, 1986; Ribes & Rodríguez, 1999; Trigo & Martínez, 1994; Sidman, 1994). En dichas tareas se presentan cuando menos tres estímulos: un estímulo muestra (EM) y dos estímulos de comparación (ECOs) (Cumming & Berryman, 1965). Como los procedimientos de igualación de la muestra permiten fomentar relaciones entre estímulos independientes de sus propiedades fisicoquímicas particulares, los requisitos de respuesta correcta pueden ser establecidos con gran precisión (Ribes, Moreno & Martínez, 1998). El dato de interés no es sólo la frecuencia de una respuesta sino también la precisión con la que el sujeto se ajusta al criterio de igualación que le impone la situación experimental. Así, las respuestas a los ECOs pueden ser retroalimentadas de acuerdo a una regla predeterminada que puede incluir relaciones arbitrarias (igualación simbólica) o relaciones directas que se usan en los contextos lingüísticos fuera del laboratorio como la de semejanza, diferencia o identidad (Ribes, 1990).
En la investigación con sujetos humanos, se han distinguido dos tipos de tareas de igualación de la muestra: de primer y segundo orden. La primera presenta un estímulo de muestra y un mínimo de dos estímulos de comparación, de entre los que el sujeto tiene que elegir aquél que guarda una correspondencia funcional con las propiedades del estímulo muestra (Ribes, Torres, Barrera & Ramírez, 1995). En una tarea de igualación de la muestra de segundo orden (Fujita, 1983) se presentan arreglos de estímulos distribuidos horizontalmente en hileras. Generalmente, la primera hilera incluye uno o dos estímulos (denominados de segundo orden o selectores) que muestran la relación que será retroalimentada positivamente. En la segunda hilera aparece por lo menos un estímulo de muestra a ser igualado con base en algún criterio. En la última hilera aparecen dos o más estímulos de comparación. El sujeto tiene que seleccionar uno (y a veces más de uno) de entre los estímulos de comparación, de acuerdo con una relación apropiada con los estímulos de muestra que está prescrita por los estímulos de segundo orden. Estos estímulos pueden relacionarse de varias maneras, pero las relaciones más generales son las de identidad, diferencia, semejanza, inclusión, exclusión y orden (Ribes, 1990). Los criterios que caracterizan a cada relación pueden concebirse como un continuo cuyos polos opuestos son los casos de identidad (poseer todos los elementos iguales) y diferencia (no tener elementos comunes). Dentro de estos dos polos, pueden pensarse muchos casos de semejanza (poseer ciertos elementos comunes, pero otros no). Por ejemplo, la igualación por semejanza en color tomaría como respuesta correcta aquel estímulo de comparación que compartiera el color del estímulo de muestra aunque ellos difieran en tamaño, forma, rotación, etc. Es importante hacer notar que en tareas de igualación de la muestra de primer orden, el sujeto depende de su ejecución y la retroalimentación de su ejecución para identificar el criterio de igualación que está operando en un momento dado del entrenamiento, mientras que en una tarea de igualación de la muestra de segundo orden, la relación en operación se ejemplifica además con los estímulos de segundo orden (Ribes, Torres & Ramírez, 1996).
El uso de una tarea de igualación de la muestra para evaluar el aprendizaje y su incorporación en un discurso didáctico parece pertinente ya que Baron y Galizio (1990), Goldiamond (1966) y Ribes y López (1985) han distinguido dos tipos de ejecuciones ante tareas de discriminación condicional: a) ejecuciones situacionales que están influidas por las propiedades presentes y las relaciones inmediatas de los elementos de la tarea, y b) ejecuciones desligadas de los elementos aparentes e inmediatos de la tarea que sugieren el uso de descripciones verbales abstractas. En el primer caso, la ejecución es de carácter no verbal en el sentido de que, a pesar de su ejecución exitosa, los sujetos no son capaces de describir su conducta y las contingencias efectivas. En el segundo caso, se tiene una ejecución exitosa y conducta verbal explícita que describe las contingencias efectivas para tal ejecución (Ribes & Rodríguez, 2001). Así, es posible estudiar la manera en que las reglas verbales construidas por los que aprenden son incorporadas en sus discursos didácticos.
Por último, se consideró que el discurso didáctico es una disertación estructurada en condiciones situacionales propicias con el propósito de referir o mediar al estudiante los criterios necesarios para desempeñarse adecuadamente ante una situación problema (Ibáñez, 1999). Por ello, un primer requisito para estructurar el discurso didáctico es que se domine el desempeño efectivo. Así, el discurso didáctico constituye un producto a) del conocimiento del maestro, entendido como desempeño efectivo ante los objetos pertinentes a su disciplina, y b) de las competencias lingüísticas del docente que le permiten, por una parte, referir a sí mismo y a los demás las características y condiciones de su propio desempeño efectivo, y, por otra parte, estructurar disertaciones mediadoras de criterios que consideren las particularidades individuales de sus estudiantes (Ibáñez, 2007). Por ello, el discurso didáctico no sólo es la descripción del desempeño efectivo sino que va acompañado de demostraciones, ejemplificación y ejercicio del desempeño que será aprendido (Ribes, 2002).
Tomando en conjunto las delimitaciones conceptuales mencionadas, las cuestiones específicas que se deseaban estudiar en la presente investigación fueron las siguientes: ¿cómo se afecta el desempeño de un participante ante una tarea de discriminación condicional cuando elabora un discurso didáctico para otros?, ¿cuál es el efecto del discurso didáctico sobre el desempeño de los aprendices en tareas de discriminación condicional? y ¿cómo se comparan los desempeños en la tarea de discriminación condicional de quienes no tienen que estructurar un discurso didáctico y quienes sí lo hacen?
Método
Sujetos
Participaron 12 personas de 20 a 26 años de edad de dos poblaciones diferentes. Siete (4 mujeres y 3 hombres) eran estudiantes de ingeniería química de una universidad pública. El resto (5 mujeres) laboraban en una institución educativa desempeñando funciones administrativas. Ninguno tenía experiencia previa con tareas similares a las utilizadas en este experimento ni habían impartido clase en el pasado.
Diseño
Los participantes se dividieron en tres grupos. El grupo experimental y el grupo control se formaron con tres participantes cada uno mientras que el grupo de aprendices se conformó por seis participantes. El diseño experimental contempló dos fases, una de aprendizaje y otra de enseñanza. Los participantes del grupo experimental y control se sometieron a la fase de aprendizaje con el propósito de que adquirieran el desempeño correcto ante la tarea experimental. En la fase de enseñanza, cada participante del grupo experimental fue asignado al azar a dos aprendices con la condición de que fueran de poblaciones distintas. Cada participante tuvo que enseñar a los aprendices a resolver correctamente la tarea experimental. El aprendizaje logrado se determinó al comparar el desempeño durante la preprueba y la postprueba. Después de cada fase los sujetos se expusieron a pruebas de transferencia para evaluar el nivel de complejidad del aprendizaje durante la fase del entrenamiento (Varela & Quintana, 1995).
Procedimiento
Entrenamiento de aprendizaje en complejidad creciente: Se utilizó una tarea de igualación de la muestra de segundo orden con arreglos de figuras geométricas presentadas en tres filas (ver figura 1). El la primera fila, aparecieron dos estímulos selectores, en la fila de en medio, apareció un estímulo de muestra y en la fila de abajo, se presentaron cuatro estímulos de comparación. Las relaciones instruidas por los estímulos selectores fueron: (1) semejanza en forma, cuando tienen la misma forma pero diferente color, (2) semejanza en color, cuando tienen el mismo color pero diferente forma y (3) diferencia, cuando tienen una forma y un color diferente.


Los arreglos se presentaron haciendo uso de computadoras Pentium mediante el paquete computacional ToolBook II Instructor versión 5.0. Los participantes eligieron su respuesta por medio del ratón. Las instrucciones fueron:
En la pantalla aparecerán siete figuras: dos arriba, una en el centro y cuatro abajo. Debes elegir una de las figuras de abajo que crees que hace pareja con la figura del centro según como se indica con las figuras de arriba.
Los participantes trabajaron de manera individual en cubículos aislados y sus respuestas fueron grabadas mediante el paquete computacional. Recibieron retroalimentación sobre sus elecciones en cada ensayo y al final aparecía un contador con los aciertos acumulados.
En este entrenamiento se promovió la interacción con la tarea en niveles de complejidad creciente. Así, la tarea experimental fue modificada de la siguiente manera.
En el nivel 1 se utilizó un mismo arreglo de figuras de semejanza en forma presentado en 12 ensayos donde sólo se varió la posición de los cuatro ECOs.
En el nivel 2 se utilizaron 24 ensayos de semejanza en forma. La retroalimentación consistió en mostrar la respuesta correcta para que el participante lo comparara con su elección.
En el nivel 3 aparecieron primero los estímulos selectores, y se pedía a los participantes que observaran la relación entre ellos. Al presionar un botón de continuar, aparecía el resto de las figuras para hacer su elección.
En el nivel 4 se les pedía que primero eligieran textos con descripciones de la relación entre los estímulos selectores. Cuando la descripción fuera correcta o lo hubieran intentado en tres oportunidades, ya podían elegir uno de los ECOs.
En el nivel 5 los participantes fueron armando los arreglos mediante la elección de un par de estímulos selectores (de tres pares posibles) y la elección de un estímulo muestra (de dos posibles) antes de elegir la respuesta que creían correcta.
Este entrenamiento tenía el propósito de mostrar a los participantes del grupo experimental una diversidad de estrategias de aprendizaje de la tarea que pudieran luego implementar en la fase de enseñanza.
Prueba de transferencia extramodal (generalización simple):
En la figura 1 también aparecen arreglos utilizados durante las pruebas de transferencia extramodal. En este caso, aparecen figuras de color negro y diferente tamaño. Es decir, la relación entre las figuras se establece tomando en cuenta la forma y el tamaño. Se denomina transferencia extramodal porque una de las propiedades (o modalidad) utilizadas para determinar la relación no fue entrenada (en este caso, el tamaño). También se considera que la prueba de transferencia extramodal es una prueba de generalización ya que se tiene que utilizar una modificación de los criterios para definir la respuesta correcta. Es decir, un estímulo de comparación semejante en tamaño es aquel que tiene el mismo tamaño que el estímulo muestra pero diferente forma; un estímulo de comparación semejante en forma es aquel que tiene la misma forma que el estímulo muestra pero diferente tamaño; y un estímulo de comparación diferente es aquel que tiene distinta forma y tamaño que el estímulo muestra. En las pruebas de transferencia extramodal, los participantes recibieron información sobre sus aciertos totales hasta el final de la sesión mediante un texto que decía tuviste X aciertos.
Prueba de transferencia extradimensional (generalización compleja):
En la transferencia extradimensional, aparecen números de dos dígitos en tres filas. La elección correcta toma en cuenta, en este caso, los dígitos que aparecen en las unidades y decenas. En la figura 1, por ejemplo, aparecen arriba los números 23 y 43. Su relación consiste en que ambos números tienen el mismo dígito en la posición de las unidades y diferentes dígitos en la posición de decenas. Como en medio aparece el número 65, la respuesta correcta es el número 75, pues es la única opción que tiene la misma unidad y diferente decena. Se denomina transferencia extradimensional pues se cambia de la dimensión geométrica a la numérica pero los números tienen que verse como estímulos que comparten dos propiedades pertinentes en el momento de hacer la elección quedando definidas las relaciones de identidad (misma unidad y decena) semejanza en unidad, semejanza en decena y diferencia (distinta unidad y decena). Como puede observarse, la transferencia extradimensional implica mayor complejidad que la transferencia extramodal. En las pruebas de transferencia extradimensional, los participantes recibieron información sobre sus aciertos totales hasta el final de la sesión mediante un texto que decía tuviste X aciertos.
Participación en la interacción didáctica con dos aprendices:
Se entregaron a los participantes del grupo experimental las siguientes instrucciones por escrito:
Enseguida, te pediremos que instruyas a dos personas a cómo resolver correctamente tareas similares a las que has trabajado. Es decir, se espera que las personas, al observar un arreglo de siete figuras geométricas ordenadas en tres filas (dos arriba, una en el centro y cuatro abajo), puedan elegir una figura geométrica de la fija de abajo que tenga la misma forma pero diferente color, el mismo color pero diferente forma o una forma y color diferente a la figura del centro según como se indican con las figuras de arriba.
Para esto, debes:
1. Describir a las personas en qué consiste la tarea2. Poner un número de ejemplos que consideres adecuado
3. Pedir a las personas que realicen un conjunto de ejercicios (por lo menos 3)
4. Dar retroalimentación a las personas mientras resuelven los ejercicios
5. Describir la ejecución correcta
Cada participante y sus dos aprendices trabajaron en una sala en donde se colocó una mesa, dos sillas y un pintarrón. También se proporcionaron marcadores de pintarrón, pliegos de papel, marcadores de agua, hojas blancas, lápices y plumas. La interacción didáctica se filmó. Posteriormente, los videos se analizaron por dos observadores independientes para describir las características del discurso didáctico empleado.
Para evaluar el aprendizaje de los aprendices, éstos se sometieron a una preprueba antes de participar en la interacción didáctica y a pruebas de transferencia extramodal, extradimensional y postprueba después de la interacción didáctica.
Preprueba y Postprueba:
La preprueba y postprueba consistió en una sesión de 24 ensayos con arreglos de figuras geométricas tomados del entrenamiento de la fase de aprendizaje. Las instrucciones fueron similares a las que se dieron durante el entrenamiento de aprendizaje. Sin embargo, los participantes no recibían información sobre sus elecciones en cada ensayo ni se les informó sobre sus aciertos totales al final de la sesión.
Resultados
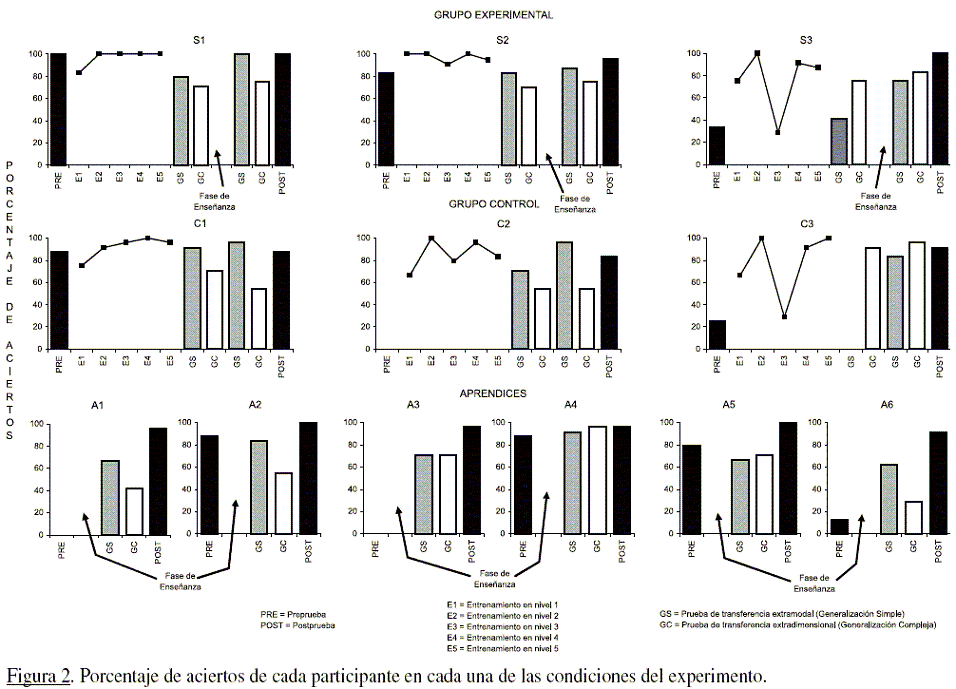
La figura 2 muestra el porcentaje de aciertos logrado por cada participante en cada condición del experimento. En la primera fila, aparecen los resultados individuales para los participantes del grupo experimental y en la última fila están los aciertos en pruebas para los aprendices. S1 y S2 empezaron con más de 80% de aciertos en la preprueba mientras que S3 empezó con una preprueba menor a 40% de aciertos. S1 instruyó a A1 y A2 mientras que S2 participó en la interacción didáctica con A3 y A4. Los desempeños de estos instructores y sus respectivos aprendices fueron similares. Sin embargo, el desempeño de S3 en la sesión de entrenamiento de nivel 3 cayó por niveles inferiores a los que había conseguido en la sesión de nivel 2. Hay que recordar que en las sesiones de nivel 1 y 2 sólo se había manejado una relación de igualación -la semejanza en forma- mientras que en las sesiones de nivel 3, 4 y 5 se manejaron las relaciones de semejanza en forma, semejanza en color y diferencia. Esta caída en los aciertos supone un efecto del incremento de la complejidad de la tarea en el desempeño de los participantes con ejecuciones no verbales, según como se define por Ribes y Rodríguez (2001). Es decir, S3 parece discriminar correctamente el ECO semejante en forma durante las sesiones de nivel 1 y 2, pero no parecen describir su ejecución en términos de una regla abstracta en donde se elija a aquel ECO que comparte una propiedad pero es distinto en otras propiedades pertinentes. Este desempeño no verbal de S3 se puso de manifiesto durante la fase de enseñanza cuando sus aprendices mencionaron relaciones entre los estímulos que no eran pertinentes y estas descripciones incorrectas no fueron retroalimentadas (véase tabla 2).

En la figura 2, en la fila del centro, aparece el desempeño de los participantes del grupo control. Llama la atención el desempeño del participante C3 quien también tiene una caída en el número de aciertos en la sesión de entrenamiento en nivel 3 con lo que se sugiere un desempeño no verbal. Este mismo participante obtuvo 0% de aciertos en la primera prueba extramodal o de generalización simple pero después logró altos porcentajes en el resto de las pruebas. Este desempeño sugiere que la sola retroalimentación demorada (al final de la sesión) promueve la adquisición de la tarea con criterios de complejidad creciente. Este efecto de la retroalimentación ya ha sido reportado en investigaciones pasadas con tareas de igualación de la muestra (Martínez & Ribes, 1996; Moreno, Ribes & Martínez, 1994).
La tabla 2 resume las características del discurso didáctico empleado en cada interacción didáctica. El participante S1 utilizó 6 ejemplos similares a los utilizados durante el entrenamiento en donde varió el color y la forma como características pertinentes de las figuras geométricas empleadas. Durante su instrucción, S1 señaló los criterios de la tarea en forma de una regla verbal pero no exigió que sus aprendices lo hicieran. A1 y A2 dijeron la respuesta correcta en voz alta y S1 sólo añadió bien o mal como retroalimentación a la ejecución de sus aprendices. El participante S2 utilizó 21 ejemplos en donde varió la forma, el color y el tamaño de las figuras geométricas. Pidió a sus aprendices, de manera alternada, que verbalizaran una estrategia para encontrar las razones por las cuáles cada figura de abajo era correcta o incorrecta. Así, S2 mencionó que había un modelo a seguir refiriéndose a los estímulos selectores y que debía repetirse dicho modelo en una de las figuras de abajo. S2 acompañó de una retroalimentación constante a las frases que verbalizaban sus aprendices dibujando marcas de acierto y error debajo de cada ECO. El participante S3 utilizó 3 ejemplos similares al entrenamiento y dos ejemplos similares a la prueba de transferencia extradimensional. Pidió a sus aprendices que dijeran cuál era la respuesta correcta pero sin exigir una verbalización explícita. A pesar de que S3 hacía una serie de preguntas para que los aprendices atendieran a las características pertinentes de los ECOs (por ejemplo, ¿en qué se parecen?), no hubo una retroalimentación adecuada cuando los aprendices mencionaron criterios de relación incorrectos (por ejemplo, se parecen en que ambos números son números primos). Estas diferencias en la interacción didáctica parecen que no influyeron en el desempeño de los aprendices durante la postprueba, pero sí en las pruebas de transferencia (especialmente en la extradimensional que supone una generalización compleja). Por ejemplo, el aprendiz A4 logró superar a su profesor y el aprendiz A6 obtuvo menos de 30% de aciertos en la prueba de transferencia extradimensional.
Ribes y Serrano (2006) consideran que hay dos maneras de analizar el desempeño en tareas de igualación de la muestra: por el número de aciertos conseguidos y por la rapidez con que se adquiere la discriminación. Por ello, se calcularon el número de aciertos por minuto que cada participante realizó durante la preprueba y la post-prueba. Esta medida de la rapidez de cada participante se presenta en la figura 3. Tal como puede verse en esa figura, todos los participantes de los grupos experimentales incrementaron su rapidez con excepción del participante C1 quien ya lo hacía muy bien desde la preprueba (10 aciertos por minuto). Por su parte, los aprendices del participante S2 terminaron con 10 y 13 aciertos por minutos. Éstos fueron mejores que los aprendices de los otros participantes entrenados. Estas diferencias podrían estar relacionadas con las características del discurso didáctico empleado en cada interacción didáctica especialmente con la exigencia o no de verbalizar los criterios de la tarea y los criterios de desempeño efectivo.
Discusión
Las tareas de discriminación condicional se han utilizado en la investigación del aprendizaje complejo desde una perspectiva de laboratorio y con énfasis en el desempeño individual. En el presente estudio se eligió una tarea de igualación de la muestra de segundo orden para abordar el ejercicio docente desde una perspectiva individual. Para ello, se entrenaron a tres participantes sin experiencia docente y, posteriormente, se les pidió que enseñaran la tarea a dos aprendices cada uno. El empleo de dicha tarea se consideró pertinente porque se puede distinguir dos tipos de aprendizajes de diferente complejidad: a) una no verbal ya que, aunque se domina la ejecución correcta, no se puede describir el desempeño en forma de una regla verbal abstracta y b) otra verbal que incluye desempeño efectivo y verbalizaciones de reglas abstractas respecto a dicho desempeño (Ribes & López, 1985; Vygotski, 1978). El desempeño en la tarea se evaluó mediante procedimientos controlados. También se observó la interacción de cada participante con sus aprendices para describir las características del discurso didáctico que elaboraron a partir de su propio aprendizaje. Hay que señalar que la combinación de metodologías cuantitativas y cualitativas parece viable en el estudio del ejercicio docente desde una perspectiva psicológica, es decir, con énfasis en el aprender a enseñar como aprendizaje vivencial y activo (Faúndez, 2004).
Independientemente de su ejecución durante la preprueba, todos los participantes terminaron con más de 80% de aciertos en la postprueba lo que sugiere una efectividad de los procedimientos empleados para promover el aprendizaje ya sea por exposición directa a la tarea o por participar en la interacción didáctica. A pesar de que todos los participantes lograron aprender la igualación, sus desempeños en las pruebas de transferencia parecen diferir, especialmente en la transferencia extradimensional, que supone un mayor nivel de complejidad con respecto al entrenamiento y la transferencia extramodal. Los resultados sugieren que el discurso didáctico pudo promover el aprendizaje de la tarea aunque su grado de generalización pareció depender de si se describió las razones por las cuáles una elección es correcta. La importancia de la verbalización en el aprendizaje de las tareas de discriminación condicional está ampliamente documentada (Critchfield & Perone, 1990, Critchfield, Tucker, & Vichinich, 1998, Lowenkron & Colvin, 1995, Ribes, Moreno & Martínez, 1998, Ribes & Serrano, 2006, Rodríguez, 2002) por lo que, los resultados de este experimento son congruentes con la literatura anterior. Así, las variables importantes que hay que considerar al momento de elaborar un discurso didáctico parecen ser el número y tipo de ejemplos ofrecidos para que el aprendiz practique, la exigencia de la verbalización del desempeño efectivo en términos de reglas abstractas y, principalmente, de la retroalimentación de la descripción del desempeño efectivo. Así mismo, podría sugerirse que la elaboración y ejercicio del discurso didáctico influye tanto en la velocidad como en el rendimiento del sujeto. Sin embargo, faltan por explorar variables que tienen que ver con la manera en que se describe el desempeño efectivo en un momento dado del aprendizaje del profesor y cómo esta disertación didáctica va cambiando a lo largo de una historia de interacción con aprendices con desempeños particulares.
Hay que resaltar las limitaciones del presente estudio así como las posibles aplicaciones en la educación y las derivaciones tecnológicas. El número reducido de participantes puede poner en duda su grado de generalización, aunque por su énfasis en el estudio del desempeño individual, no se aumentó el número de participantes. Aunque se esperaba que los participantes pusieran atención a la manera gradual en que fueron expuestos a la tarea (entrenamiento desde el nivel 1 hasta el nivel 5), ninguno pareció reconocer este orden lógico para exponer a sus aprendices. Tampoco se encontraron diferencias entre los participantes que tuvieron que enseñar en comparación con quienes no lo hicieron diferencia que asumen diversas teorías pedagógicas. En futuras investigaciones, habría que diseñar mecanismos de autoreferenciación del propio desempeño efectivo, como una opción viable del estudio de laboratorio de la reflexión de los docentes (Barco & Iuri, 2003).
La elaboración y ejercicio del discurso didáctico por parte de los alumnos dentro y fuera del aula parece ser una herramienta complementaria a la conducta de estudio del alumno y al dominio de contenidos escolares específicos. La presente investigación pone de relieve el papel de estudiantes monitores o tutores de sus propios compañeros y la posibilidad de entrenar competencias distintas con procedimientos de igualación de la muestra. En suma, la sistematización de la implementación de la psicología interconductual a la investigación de episodios educativos tiene que ser más explorada para identificar los elementos cruciales en la interacción del alumno tanto con el discurso didáctico como con el mundo real.
Referencias
1. Barco, S. & Iuri, T. (2003). De la formación docente permanente o de las promesas incumplidas. Praxis Educativa, 7, 16-26. [ Links ]
2. Baron, A. & Galizio, M. (1990). Control de la conducta operante humana por medio de instrucciones. En E. Ribes & P. Harzem (Eds.), Lenguaje y conducta (pp. 123-167). México: Trillas. [ Links ]
3. Critchfield, T. S. & Perone, M. (1990). Verbal self-reports of delayed matching to sample by humans. Journal of the Experimental Analysis of Behavior, 53, 321-344. [ Links ]
4. Critchfield, T. S., Tucker, J. A. & Vichinich, R. E (1998). Self-report Methods. En A. Lattal & M. Perone (Eds.), Handbook of Research Methods in Human Operant Behavior (pp. 435-470). New York: Plenum Press. [ Links ]
5. Cumming, W. W. & Berryman, R. (1965). The complex discriminated operant studies of matching to sample and related problems. En D.I. Mostofsky (Ed.), Stimulus generalization (pp. 284-330). Stanford: Stanford University Press. [ Links ]
6. De Rivas, T., Martín, C. & Venegas, M. A. (2003). Conocimientos que intervienen en la práctica docente. Praxis Educativa, 7, 27-34. [ Links ]
7. Faúndez, N. (2004). La relación teoría y práctica en el currículo de formación inicial de futuros profesores. Pensamiento educativo, 35, 96-109. [ Links ]
8. Figueroa, A. E. (2000). Una alternativa para la evaluación de la enseñanza en educación superior desde la perspectiva de los profesores. En M. Rueda & F. Díaz-Barriga (comp), Evaluación de la docencia: Perspectivas actuales (pp. 255-282). México: Paidós Educador. [ Links ]
9. Fujita, K. (1983). Acquisition and transfer of a high-order conditional discrimination performance in Japanese monkey. Japanese Psychological Research, 53, 1-18. [ Links ]
10. Gimeno, J. (1988). El curriculum: una reflexión sobre la práctica. Madrid: Morata. [ Links ]
11. Goldiamond, I. (1966). Perception, language and conceptualization rules. En B. Kleinmuntz (Ed.), Problem solving: Research, method and theory (pp. 183-224). New York: Wiley. [ Links ]
12. Greene, H. C. & Magliaro, S. G. (2006). Preservice teachers images of teaching. Advances in Research on Teaching, 11, 207-234. [ Links ]
13. Ibáñez, C. (1999). Conducta de estudio: el papel de identificar criterios en el discurso didáctico. Acta Comportamentalia, 7(1), 47-66. [ Links ]
14. Ibáñez, C. (2005). La evaluación del aprendizaje escolar: una propuesta desde la psicología interconductual. Acta Comportamentalia, 13(2), 181-197. [ Links ]
15. Ibáñez, C. (2007). Un análisis crítico del modelo del triángulo pedagógico. Una propuesta alternativa. Revista Mexicana de Investigación Educativa, 12 (32), 435-456. [ Links ]
16. Ibáñez, C. & Ribes, E. (2001). Un análisis interconductual de los procesos educativos. Revista Mexicana de Psicología, 18 (3), 359-371. [ Links ]
17. Kantor, J. R. (1924-1926). Principles of psychology. New York: Alfred Knopf. [ Links ]
18. Lowenkron, B. & Colvin, V. (1995). Generalized instructional control and the production of broadly applicable relational responding. The Analysis of Verbal Behavior, 12, 13-29. [ Links ]
19. Martínez, H. & Ribes, E. (1996). Interactions of contingencies and instructional history on conditional discrimination. The Psychological Record, 46, 301-318. [ Links ]
20. Moreno, D., Ribes, E. & Martínez, C. (1994). Evaluación experimental de la interacción entre el tipo de prueba de transferencia y la retroalimentación en una tarea de discriminación condicional bajo aprendizaje observacional. Revista Latina de Pensamiento y Lenguaje, 2, 245-286. [ Links ]
21. Ribes, E. (1990). Psicología General. México: Trillas [ Links ]
22. Ribes, E. (2002). Psicología del Aprendizaje. México: Manual Moderno [ Links ]
23. Ribes, E., Ibáñez, C. & Hernández-Pozo, R. (1986). Hacia una psicología comparativa: Algunas consideraciones conceptuales y metodológicas. Revista Latinoamericana de Psicología, 18, 263-276. [ Links ]
24. Ribes, E. & Lopéz, F. (1985). Teoría de la conducta. Un análisis de campo y paramétrico. México: Trillas. [ Links ]
25. Ribes, E., Moreno, D. & Martínez, C. (1998). Second-order discrimination in humans: The roles of explicit instructions and constructed verbal responding. Behavioural Processes, 42, 1-18. [ Links ]
26. Ribes, E. & Rodríguez, M. E. (1999). Análisis de la correspondencia entre instrucciones, estímulos, ejecución, descripciones y retroalimentación en la adquisición y transferencia de una discriminación condicional de segundo orden. Revista Mexicana de Análisis de la Conducta, 25, 351-377. [ Links ]
27. Ribes, E. & Rodríguez, M. E. (2001). Correspondence between instructions, performance, and self-descriptions in a conditional discrimination task: The effects of feedback and type of matching response. The Psychological Record, 51, 309-333. [ Links ]
28. Ribes, E., Torres, C., Barrera, A. & Ramírez, L. (1995). Efectos de la variación modal de los estímulos en la adquisición y transferencia de una discriminación condicional en humanos adultos. Acta Comportamentalia, 3, 115-151. [ Links ]
29. Ribes, E., Torres, C. & Ramírez, L. (1996). Efecto de los modos de descripción en la adquisición y transferencia de una discriminación condicional de segundo orden en humanos adultos. Acta Comportamentalia, 4, 159-179. [ Links ]
30. Ribes, E. & Serrano, M. (2006). Efectos de tres tipos de preentrenamiento en la adquisición y transferencia de una tarea de igualación de la muestra. Acta Comportamentalia, 14(2), 145-169. [ Links ]
31. Rodríguez, M. E. (2002). Análisis de las variables que influyen en el establecimiento de correspondencias entre factores verbales y no verbales en tareas de discriminación condicional. Tesis de doctorado no publicada, Universidad de Guadalajara, Guadalajara, México. [ Links ]
32. Ryle, G. (1949). The concept of mind. New York: Barnes and Noble Books. [ Links ]
33. Sidman, M. (1994). Equivalence relations and behavior: A research story. Boston: Authors Cooperative, Inc. [ Links ]
34. Trigo, E. & Martínez, H. (1994). Diseños y procedimientos de validación en la psicología interconductual: discriminación condicional y estrategias longitudinales. Revista Mexicana de Análisis de la Conducta, 20, 67-82. [ Links ]
35. Varela, J. & Quintana, C. (1995). Comportamiento inteligente y su transferencia. Revista Mexicana de Análisis de la Conducta, 21, 47-66. [ Links ]
36. Vygotski, L. S. (1978). El desarrollo de los procesos psicológicos superiores. (Trad. al cast. 1979) España: Crítica.













