Services on Demand
Journal
Article
Indicators
-
Cited by SciELO -
Access statistics
Related links
-
Cited by Google -
Similars in
SciELO -
Similars in Google
Share
Tecnura
Print version ISSN 0123-921X
Tecnura vol.14 no.26 Bogotá Jan./June 2010
Diseño estático de un convertidor DC/DC reductor-elevador bidireccional
Bidirectional buck-boost dc/dc converter static design
Marcela González Valencia1, Alfonso Alzate Gómez2
1 Ingeniera Electrónica, Magister en Ingeniería Eléctrica.Docente Auxiliar de la Universidad Tecnológica de Pereira. Pereira, Colombia. mgonzalez@ohm.utp.edu.co
2 Ingeniero Electricista,Magister en Ingeniería Eléctrica, Doctor en Automática.Docente Titular de la Universidad Tecnológica de Pereira. Pereira, Colombia. alalzate@utp.edu.co
Fecha de recepción: mayo 12 de 2009 Fecha de aceptación: noviembre 17 de 2009
Resumen
Se presenta el diseño estático de un convertidor reductor-elevador bidireccional con tres conmutadores y conexión en cascada. La principal aplicación del convertidor es la administración de baterías en sistemas de alimentación ininterrumpida, controlando el flujo de energía y regulando la tensión de alimentación DC durante los diferentes modos de operación de la batería como fuente y sumidero.
Palabras clave: Batería, Convertidor DC-DC, Elevador, Reductor.
Abstract
This paper shows a buck-boost converter static design with 3 switches and cascade connection. The main application of the converter is the battery management on uninterruptible power supplies, controlling energy flow and regulating the DC supply voltage for the different battery operation modes as source and sink.
Key words: Battery, DC-DC Converter, Boost, Buck.
1. Introducción
En la electrónica de potencia ocupan una importante posición el estudio y desarrollo de los convertidores DC/DC. Estos se dividen en diferentes topologías: reductora o buck; elevadora o boosty, y un híbrido de las dos anteriores llamado flyback, sepic y cuk [1], [2] y [3].
El funcionamiento básico de los convertidores conmutados consiste en el almacenamiento temporal de energía y la cesión de esta en un periodo de tiempo. Este periodo de tiempo determina la cantidad de energía cedida a la carga.
Los convertidores de DC/DC se pueden dividir en tres bloques:
- Conmutación: se encarga de trocear la señal de entrada según la frecuencia y el ciclo de trabajo requerido.
- Acumulación de energía: depende estrictamente de la conmutación, ya que este determina cuándo se libera energía hacia la carga del sistema.
- Filtrado: se encarga de filtrar la señal conmutada.
Es importante mencionar las ventajas y desventajas en el uso de convertidores DC/DC como reguladores de tensión.
Ventajas:
- Rendimiento con márgenes entre el 60% y el 90% contra el 14% de las fuentes de alimentación lineales.
- Tamaño reducido.
Desventajas:
- Generación de EMI (emisión electromagnética), tanto conducida como radiada.
- Aumento de las pérdidas con el aumento de la frecuencia.
Los convertidores DC/DC son muy utilizados en la industria de amplio desarrollo tecnológico, gracias a sus numerosas ventajas en el área de conversión de potencia [1]. Sus principales aplicaciones están orientadas a fuentes de poder, sistemas de potencia fotovoltaicos, pilas de combustibles, vehículos híbridos, entre otros, como primeras etapas de acondicionamiento y administración de energía [4] y [5]. Estos describen una topología fácil de trabajar; sin embargo, su dinámica es muy compleja porque son sistemas de naturaleza no lineal, generalmente de fase no mínima, lo que dificulta el diseño de un control capaz de garantizar la estabilidad y las condiciones de operación consideradas durante el diseño frente a perturbaciones de carga o de línea [8], [5] y [6].
La tensión de salida y la dirección del flujo de potencia del convertidor mostrado a continuación pueden ser reductoras o elevadoras, dependiendo del ciclo de trabajo y las condiciones de operación [4] y [7].
En la figura 1 se muestra un esquema general del sistema propuesto; además, se pueden observar los conmutadores correspondientes a cada modo de operación (como elevador o como reductor), los diferentes niveles de tensión DC y la topología general del convertidor DC/DC bidireccional con conexión en cascada.
Este trabajo pretende abordar consideraciones básicas en el diseño de los convertidores DC/DC, a partir del análisis estático en modo de conducción continua. Después de la introducción se muestra el diseño del convertidor. A continuación se presentan los resultados de la simulación y finalmente las conclusiones del trabajo realizado.
2. Metodología
2.1. Funcionamiento del convertidor
En la figura 1 se muestra la topología del convertidor propuesto. El banco de baterías está representado por una fuente de tensión Vgy corriente Ig . La tensión y corriente de salida por VeI, respectivamente. La corriente del capacitor de salida por ICy y la del inductor por IL. El capacitor de entrada Ci se coloca para disminuir el rizado de corriente en las baterías [2]. Dependiendo del modo de operación, trabajan S1 y D4 como reductor o S2 y S3 como elevador. La conmutacion entre S2 y S3 es complementaria.
Cuando el convertidor trabaja como descargador de bateria, es decir, la batería funciona como fuente de alimentación, el flujo de energía ocurre de izquierda a derecha y el nivel DC bajo de las baterias se eleva a través del elevador (S2 y S3) para lograr un nivel DC óptimo para el funcionamiento del inversor. Las baterias solo funcionan cuando hay una falla en la alimentación (red). En el caso contrario, el convertidor trabaja como cargador de bateria; esto ocurre cuando la batería se comporta como sumidero. El flujo de energía va de derecha a izquierda y el nivel de DC alto se reduce a través del reductor (S1 y D4) para poder cargar las baterias con el nivel DC requerido.
La inductancia L es muy importante, ya que conecta los bloques reductor y elevador en cascada (serie) y es el principal elemento almacenador de energía del sistema.
En la tabla 1 se muestra la relación entre el modo de operación y los estados de los conmutadores.
El flujo de corriente se controla con el estado de S1, determinando si se cargan o se descargan las baterías. Los conmutadores S2 y S3 complementarios garantizan protección de la carga y pueden evitar conducción cruzada (cross-conduction) o cortos en una misma rama del convertidor y el capacitor de salida, al considerar los tiempos muertos (delayblanking) necesarios entre las señales de disparo de cada conmutador.
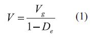
La Ec. (1) muestra la relación entre el voltaje de salida V, el voltaje de entrada Vg y el ciclo útil De .
2.2. Condiciones de operación
A continuación, en la tabla 2, se establecen los parámetros de funcionamiento necesarios, para calcular los componentes que integran el convertidor y establecen las condiciones mínimas del mismo (la frecuencia de conmutación se abrevia como fs).
2.3. Diseño Estático
Para el cálculo de los componentes del convertidor se tiene en cuenta:
- Corriente eficaz y corriente pico en el inductor.
- Rizado máximo deseado en la corriente en el inductor.
- Rizado máximo permitido en el voltaje de salida (voltaje en el capacitor de salida).
2.3.1. Cálculo del inductor
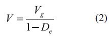
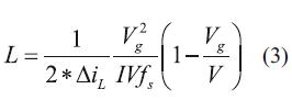
Para el cálculo del inductor se consideran las Ec. (2) y (3):
En la Ec. (3), el peor caso ocurre cuando (ver Ec. (4)):
De este modo se halla el mínimo valor necesario de L bajo las peores condiciones de operación (ver tabla 3).
2.3.2. Cálculo de capacitores (entrada y salida)
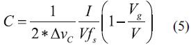
Como en el cálculo del inductor, se repite la condición del peor caso (Ec. (4)) y se halla el valor de C, tal como se muestra en la tabla 3 para diferentes frecuencias de operación, empleando la Ec. (5).
Dada la naturaleza bidireccional del convertidor, no es necesario calcular un valor para el capacitor de entrada y otro para el capacitor de salida; se puede simplemente considerar el mismo valor y utilizar dos capacitores iguales en análisis posteriores. Esto se justifica con el hecho de que en un instante de tiempo determinado el primer capacitor es de entrada y el segundo es el capacitor de salida, y cuando el flujo de energía cambie de dirección en un instante de tiempo posterior el primer capacitor será el capacitor de salida y el segundo será el capacitor de entrada.
En la tabla 3 se muestran los valores obtenidos para C y L, para diferentes casos.
Los valores obtenidos son los valores mínimos que garantizan conducción continua; por esta razón, en implementación se pueden utilizar elementos de mayor valor nominal que sean comerciales.
2.4. Diseño Dinámico
A continuación se describe el modelo en pequeña señal para el convertidor en los modos de operación propuestos, donde Ts es el periodo de conmutación y De el ciclo de trabajo [2].
• Intervalo 0 < t < De Ts
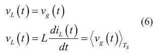
Los valores de tensión en el inductor vL (t) y corriente en el capacitor iC (t), tanto en tiempo como promediado en TS, se muestran en las Ec. (6) y (7):
• Intervalo DeTs & t;t <Ts
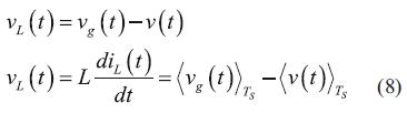
En el segundo intervalo de tiempo considerado en un ciclo de conmutación se tienen los siguientes valores de tensión en el inductor y corriente en el capacitor, en tiempo y promediado en TS , Ec. (8) y (9):
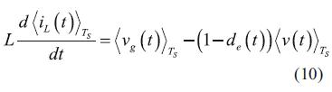
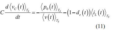
Las Ec. promediadas en TS son, Ec. (10), (11) y (12):
Para completar el análisis dinámico del sistema se deben establecer las siguientes relaciones entre valores promediados y valores de pequeña señal:
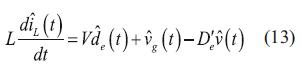
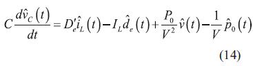
Finalmente se obtiene el modelo en pequeña señal (Ec. (13), (14) y (15)), considerando que los elementos bilineales presentes en la dinámica del sistema son nulos para entrada o estado constante.
3. Resultados
Las figuras 2 y 3 muestran el esquema general realizado en PSIM para los diferentes modos de operación. PSIM es un softtare de simulación diseñado específicamente para la electrónica de potencia y el control de motores, elaborado por Powersim.
La respuesta del convertidor propuesto trabajando en modo descargador de batería (ver figura 4) muestra un buen comportamiento. Tal como se especifica en el diseño, la corriente de salida es de 10 A y los niveles de voltaje en estado estático corresponden a 85 V y 170 V, con un transitorio corto y rizados pequeños. Se propone mejorar la respuesta dinámica, tiempo de establecimiento y sobresaltos, (especialmente en la corriente de la bobina) con un controlador que se adapte adecuadamente al tipo de sistema analizado.
Para el modo de operación como cargador de baterías se tienen en cuenta las siguientes consideraciones: las baterías son sumideros de energía y no fuentes, por eso se modela con una resistencia. El nivel de Vdc alto de 170 V (ver figura 1) es ahora una fuente y no un sumidero de energía, por eso se modela con una fuente de voltaje constante. En términos generales, este modo de operación muestra también un desempeño eficiente.
4. conclusiones
-
Este trabajo ha mostrado el diseño estático básico, análisis de funcionamiento, diferentes modos de operación y simulación de un convertidor reductor-elevador bidireccional en cascada, operando en modo de conducción continúa.
-
Las simulaciones muestran un buen comportamiento dinámico de las variables de estado del convertidor, a pesar de la naturaleza no lineal del sistema y de que se cuenta con un control simple en lazo abierto.
-
El uso cada vez más frecuente de convertidores DC/DC bidireccionales como dispositivos administradores de potencia en sistemas de alimentación ininterrumpida y accionamientos para manejar motores en vehículos híbridos se debe no solo a su eficacia en la regulación de tensiones DC, sino también a su construcción interna y a los dispositivos de electrónica de potencia empleados para conmutación, capaces de garantizan una menor presencia de ruido y de transitorios, mejorando así la calidad de la energía involucrada. Este tipo de convertidores se convierte de este modo en parte fundamental de sistemas ecológicos y ahorradores de energía.
5. Trabajo futuro
Como trabajo futuro, se propone mejorar la respuesta dinámica del convertidor con la aplicación de un controlador que se adapte a las características no lineales y de fase no mínima del sistema, utilizando un control de estructuras variables como lo es el control por planos deslizantes.
6. Financiamiento
Este trabajo de investigación se desarrolló en el marco del proyecto "Implementación de una UPS monofásica usando PWM con una topología simplificada", presentado en la Convocatoria 418 de Jóvenes Innovadores, Programa Jóvenes Investigadores e Innovadores, 2007. Esta investigación contó con el aval y el financiamiento de la Universidad Tecnológica de Pereira y el Instituto Colombiano para el Desarrollo de la Ciencia y la Tecnología Francisco José de Caldas - Colciencias.
Referencias bibliográficas
[1] F. Caricchi, F. Crescimbini, F. Giulii, L. Solero, "Study of bi-directional buck-boost converter topologies for application in electrical vehicle motor drives", Applied Power Electronics Conference and Exposition, APEC '98, Thirteenth Annual, vol. no. 1, febrero, 1998. [ Links ]
[2] G. Morichetti, G. Oggier, G. Bossio, C. De Angelo, G. García, "Implementación de un convertidor reductor-elevador bidireccional para vehículos eléctricos", presentado en Congreso Argentino de Control Automático, Argentina. Septiembre 2002. [ Links ]
[3] J. Chen, D. Maksimovic, R. Erickson, "Buck-Boost PWM converters having two independently controlled switches", presentado en IEEE 32nd Annual Power Electronics Specialists Conference, Vancouver, Canadá, junio 2001. [ Links ]
[4] F. Caricchi, F. Crescimbinim, A. Di Napoli, "20kW water-cooled prototype of a buckboost bidirectional DC-DC converter topology of electrical vehicle motor drives," Applied Power Electronics Conference and Exposition 1995. APEC '95. Conference Proceedings 1995, Tenth Annual. [ Links ]
[5] D. Hart, "Electrónica de Potencia" Madrid: Prentice Hall, 2001. [ Links ]
[6] M. Orozco, "Control No Lineal de convertidores Conmutados CC/CC: Análisis de Prestaciones y Verificación Experimental". Barcelona: Universidad Politécnica de Cataluña, 2006. [ Links ]
[7] R. Grasa, "Control de Convertidores Conmutados Mediante Técnicas No Lineales: Pasividad, linealización Entrada-Salida y Redes Neuronales". Barcelona: Universidad Politécnica de Cataluña, 2000. [ Links ]
[8] V. Idiarte, "Aportación de la Lógica Borrosa y del Control Infinito a la Regulación de Sistemas Conmutados". Barcelona: Universidad Politécnica de Cataluña, 2003. [ Links ]
[9] J. Calvente, "Control en Modo Deslizante Aplicado a Sistemas de Acondicionamiento de Potencia de satélites". Barcelona: Universidad Politécnica de Cataluña, 2001. [ Links ]
[10] G.Masters, "Renewable and Efficient Electric Power System". New Jersey: Wiley- Interscience, 2004. [ Links ]
[11] R. Erickson, "Fundamental of Power Electronic". New York: University of Colorado: Kluwer Academic Publishers, 2001. [ Links ]





































