Services on Demand
Journal
Article
Indicators
-
Cited by SciELO -
Access statistics
Related links
-
Cited by Google -
Similars in
SciELO -
Similars in Google
Share
Tecnura
Print version ISSN 0123-921X
Tecnura vol.14 no.26 Bogotá Jan./June 2010
Metodología para el diseño de enlaces satelitales
Methodology for the design of satellite links
Cesar Hernández1, Oscar F. Corredor C.2, Luis F. Pedraza3
1 Ingeniero Electrónico, especialista en Servicios Telemáticos e Interconexión de Redes y magister en Ciencias de la Información y las Comunicaciones. Docente e investigador de la Universidad Distrital Francisco José de Caldas. Bogotá, Colombia. cahernandezs@udistrital.edu.co
2 Ingeniero Electrónico y magister en Ciencias de la Información y las Comunicaciones. Docente de la Universidad Cooperativa de Colombia. Bogotá, Colombia. ofccaing@gmail.com
3 Ingeniero Electrónico y magister en Ciencias de la Información y las Comunicaciones. Docente e investigador de la Universidad Distrital Francisco José de Caldas. Bogotá, Colombia. lfpedrazam@udistrital.edu.co
Fecha de recepción: mayo 10 de 2009 Fecha de aceptación: febrero 2 de 2010
Resumen
En este artículo se presenta una breve reseña que intenta guiar al lector en la teoría básica de una telecomunicación satelital, exponiendo sus conceptos principales, los parámetros más relevantes y las ecuaciones generales a partir de las cuales se puede describir el enlace de comunicación; además de algunas consideraciones relevantes para el cálculo de las características del enlace como la potencia irradiada, ubicación geográfica, el tipo de modulación, el BER, etc. Luego se desarrolla un ejemplo de diseño de un enlace de comunicación satelital entre dos puntos geográficos distantes con descripciones concisas y procedimientos específicos.
Palabras clave: PIRE, Transpondedor, Interferencia co-canal, Calidad del enlace.
Abstract
This paper shows a brief review that attempts to guide the reader about the basic theory of a telecommunication satellite, exposing their main concepts, the most relevant parameters and general equations from which it can describe the communication link also some considerations relevant to the calculation of the link characteristics as the radiation intensity, location, type of modulation, BER, etc. Then it develops a design example of a satellite communication link between two distant geographical locations concise descriptions and procedures.
Key words: EIRP, Transponder, Co-channel interference, Link quality.
1. Introducción
El reciente y rápido crecimiento en el uso y masificación de las comunicaciones satelitales necesita que el personal ingenieril [3], [14] -que se encuentra en constante formación- tenga un cierto grado de entendimiento de los fenómenos, parámetros y características que describen y modelan dichos enlaces a través del desarrollo de cálculos teóricos más precisos que puedan sustentar los efectos de la propagación de las ondas de radio en las bandas usadas para este tipo de telecomunicación de microondas [8], [16] y [27]. Para comenzar con este propósito, a continuación se presentan los conceptos básicos de un enlace satelital.
2. Modelo de un enlace satelital
2.1. Modelo ascendente
El principal componente es el transmisor de la estación terrena. Un transmisor típico consiste de un modulador IF, un conversor de microondas de IF a RF, un amplificador de alta potencia (HPA) y un fltro pasa-banda de salida. El modulador de IF convierte las señales de banda base de entrada a una frecuencia intermedia modulada en FM, en PSK o en QAM[19]. El conversor convierte la IF a una frecuencia de portadora de RF apropiada. El HPA proporciona una sensibilidad de entrada adecuada y potencia de salida para propagar la señal al transponder del satélite.
2.2. Transponder
Un transponder típico consta de un dispositivo para limitar la banda de entrada (BPF), un amplificador de bajo ruido de entrada (LNA), un traslador de frecuencia, un amplificador de potencia de bajo nivel y un filtro pasa-banda de salida [21]. Este transponder es un repetidor de RF a RF. El BPF de entrada limita el ruido total aplicado a la entrada del LNA. La salida del LNA alimenta a un traslador de frecuencia, que convierte la frecuencia de subida de banda alta a una frecuencia de bajada de banda baja. El amplificador de potencia de bajo nivel amplifica la señal de RF para su transmisión por medio de la bajada a los receptores de la estación terrena. Cada canal de RF del satélite requiere de un transponder separado.
2.3. Modelo descendente
Un receptor de estación terrena incluye un BPF de ruido. El conversor de RF a IF es una combinación entrada, un LNA y un conversor de RF a IF. El BPF de filtro mezclador/pasa-bandas que convierte la limita la potencia del ruido de entrada al LNA. El señal de RF recibida a una frecuencia de IF [19].
3. Parámetros Del Sistema Satelital
3.1. Potencia Radiada Isotrópica Efectiva (PIRE)
Se define como una potencia de transmisión equivalente [21], [37] y [12] , la cual se expresa como:
Donde Pr = potencia total radiada de una antena (watts) y Gt= ganancia de la antena transmisora (adimensional). En términos logarítmicos (en dB) la ecuación anterior se escribe como:
Con respecto a la salida del transmisor, Pr se define como:
Donde Pt = potencia de salida real del transmisor (dBW), Lbo = pérdidas por respaldo de HPA (dB) [25] y Lbf = ramificación total y pérdida de alimentador (dB)[15]. Por lo tanto,
3.2. Temperatura equivalente de ruido (Te)
Es un valor hipotético que puede calcularse, pero no puede medirse. Te frecuentemente se usa en vez de la figura de ruido, porque es un método mas exacto para expresar el ruido aportado por un dispositivo o un receptor cuando se evalúa su rendimiento [32], [51]. La potencia de ruido es expresada como:
Entonces,
Donde N = potencia total de ruido (watts), K = constante de Boltzman (1.38 x 10-23J/ºK), B = ancho de banda (Hz) y T = temperatura ambiente (ºK). El factor de ruido (adimensional) se expresa como:
Entonces,
Siendo Te = temperatura equivalente de ruido (ºK).
3.3. Densidad de ruido
Es la potencia de ruido total normalizada a un ancho de banda de 1 Hz [54]. Matemáticamente se expresa como:
Donde N0 = densidad de potencia de ruido (W/Hz).
3.4. Relación de potencia de portadora a densidad de ruido (C/N0)
Donde C = potencia de la portadora de banda ancha [52].
3.5. Relación de la densidad de energía de bit a densidad de ruido (Eb/N0)
Eb/NO es uno de los parámetros más importantes y más utilizados en comunicaciones satelitales cuando se evalúa un sistema de radio digital [11]. Es una manera conveniente de comparar los sistemas digitales que utilizan diferente tasa de transmisión, diferentes esquemas de modulación o diferentes técnicas de codificación.
3.6. Relación de ganancia a temperatura equivalente de ruido (G/Te)
G/Te es una figura de mérito usada para representar la calidad de un satélite en un receptor de una estación terrena [23]. Debido a las potencias extremadamente pequeñas de la portadora de recepción que normalmente se experimentan en los sistemas satelitales, frecuentemente un LNA está físicamente situado en el punto de alimentación de la antena [17], [53] y [54]. G/Te es una relación de la ganancia de la antena receptora mas la ganancia del LNA, a la temperatura de ruido equivalente. Matemáticamente se expresa como:
G/Te es un parámetro muy útil para determinar las relaciones Eb/N0 y C/N en el transponder del satélite y receptores de la estación terrena.
3.7. Pérdidas por espacio libre (PEL o Lo)
El espacio libre es un medio homogéneo libre de corrientes y cargas eléctricas, por lo tanto, libre de pérdidas por efecto Joule, en el cual las ondas de radio viajan en línea recta y sin atenuación [36]. El espacio libre es una abstracción.
4. Ecuaciones del enlace satelital
Se usan para analizar las secciones de subida y de bajada de un sistema satelital. Aquí se consideran solamente las ganancias y pérdidas ideales, así como los efectos de ruido térmico [2], [32] y [40].
4.1 Ecuación del enlace ascendente
Lo son las pérdidas por espacio libre, Lu son las pérdidas atmosféricas de subida adicionales. Las señales de subida y de bajada deben pasar por la atmósfera de la tierra, donde son absorbidas parcialmente por la humedad, oxígeno y partículas en el aire [13], [20] y [29-30]. Dependiendo del ángulo de elevación, la distancia de viaje de la señal RF por la atmósfera varía de una estación terrena a otra, debido a que Lp y Lu representan pérdidas, son valores decimales menores a 1. G/Te es la ganancia de la antena receptora del transponder mas la ganancia del LNA dividida por la temperatura de ruido equivalente de entrada [53], [54].
Expresada en logaritmo es:

Donde 10 log(GtPr) es la PIRE de la estación terrena; 20 long
son las perdidas por espacio libre; 10 long
es la relación de ganancia a temperatura equivalente de ruido del satélite; 10 long( Lu) son las perdidas atmosféricas adicionales, y 10 long (k) es la constante de Boltzman.
4.2. Ecuación del enlace descendente
Donde Ld son las pérdidas atmosféricas de bajada adicionales [26]. La ecuación de bajada expresada en logaritmo es:

Donde 10 log(GtPr) es la PIRE del satélite y 10 long (Ld) son las perdidas atmosféricas adicionales.
5. Otras Consideraciones importantes relativas al cálculo de enlaces satelitales
5.1. Potencia por unidad de superficie o nivel de iluminación a una distancia D del punto de transmisión W
Si la antena tiene ganancia, entonces

Como la PIRE=PtGt, entonces:
Una antena receptora "recoge" la señal y la cantidad de señal "recogida" depende del tamaño (área efectiva) de la antena [53]. La potencia recibida estará dada por
Donde,
De manera que;
Si en la Ec. (19) se considera que Gr es la ganancia de una antena de 1m2con una eficiencia de 100%, Pr será el nivel de iluminación por unidad de superficie (en dBw/m2) y por lo tanto el nivel de iluminación [1] en la ecuación 17 podrá expresarse también de la siguiente manera:
5.2. Factores de ajuste debidos a la ubicación geográfica
El diagrama de radiación de las antenas de los satelitales tiene un haz de borde definido, al cual se refieren los valores de PIRE, G/T y la densidad de flujo. En el análisis del enlace se pueden aplicar factores de ajuste para tener en cuenta la ubicación de una estación terrena dentro del haz del satélite. Dichos factores conocidos como factores Beta (j) -o corrección del ángulo de mira o ventaja del diagrama de radiación- se aplican a todos los haces del satélite [7], [31].
El factor β se define como la diferencia entre la ganancia en el borde del haz del satélite y la ganancia en dirección de una estación terrena. Para cada estación terrena se deben tener en cuenta tanto los factores β del enlace ascendente (βu), como del enlace descendente (βd), porque la cobertura del enlace ascendente difiere de la del enlace descendente incluso para una misma estación (y aun para el mismo haz).
Estos factores pueden calcularse de forma muy elemental a partir de la cobertura de los haces del satélite, donde las líneas o contornos de la proyección representan incrementos de un dB desde el borde del haz.
5.3. Punto de funcionamiento del transponder
Dado que el amplificador de potencia de salida del transponder no es un dispositivo lineal debe funcionar por debajo del punto de saturación a fin de evitar las distorsiones no lineales.
Para lograr lo anterior debe reducirse la potencia de entrada, lo que en un TWTA (amplificador con base en tubos) típico representa un derroche de la potencia disponible. Existen dos métodos para reducir al mínimo ese derroche [28]. Uno consiste en utilizar SSPA (amplificador de estado sólido) como amplificadores de potencia de salida; el otro, que se requiere para aplicaciones de alta potencia, se basa en el empleo de los TWTA con un linealizador (LTWTA). Ambos métodos mejoran las características de intermodulación de los transpondedores.
La reducción de la potencia de entrada (IBO) se defne como la relación entre la densidad del flujo de saturación y la densidad del flujo de operación de una portadora [37] y la reducción de la potencia de salida (OBO) se define como:
Donde X se define como la relación de la ganancia de compresión entre la reducción de la potencia de entrada y de salida; dicho valor es diferente en el caso de una sola portadora o de portadoras múltiples [37].
PIRE de funcionamiento del transponder:
5.4. Densidad de flujo de potencia del satélite en la superficie terrestre
Las posibilidades de interferencia provenientes del satélite transmisor se limitan reduciendo en la superficie terrestre la densidad de flujo de potencia máxima producida por un satélite [38]; dichos límites varían en función del ángulo de llegada. Es posible realizar una evaluación en cada caso aplicando la siguiente expresión:
Donde W es el nivel de iluminación definido según la ecuación 17 y calculado para el enlace descendente; B es el ancho de banda ocupado por la portadora e IDR es la Tasa de bit de datos intermedia.
5.5. Unidad de canal QPSK/IDR
Donde α: velocidad de información (IR); b, e: velocidad compuesta (CR=IR+OH), siendo OH la cantidad de bits de información del encabezamiento; d: velocidad de transmisión (R=CR/FEC);e: velocidad de símbolos (SR=R/2) y B= ancho de banda ocupado (B=0.6R).
La unidad de canal consiste en cuatro módulos [6], [41]. El primero es el de adición de overhead, el cual se encarga de agregar a la banda base digital información que se emplea para operación y mantenimiento o para enlaces de datos entre estaciones. En segundo lugar se encuentra el modulo de Scrambler, cuya función principal es codifcar la señal para que tenga el mayor número de transiciones (cruces por cero) y posibilitar la recuperación del reloj de sincronismo en recepción [5]. El tercer módulo es el encargado de generar el FEC para la detección de errores. Por último, se encuentra el módulo QPSK, el cual convierte la señal digital de una portadora digital IDR en frecuencia intermedia (FI), adecuada para ser transmitida.
5.6. Características de rendimiento (BER)
La probabilidad de error (BER), para la cual se diseña el enlace, es el parámetro que indica la calidad del enlace y por ende el grado de disponibilidad que pueda tener [18]. Su valor se obtiene según la recomendación IESS-308.
6. Formas de acceso al satélite
6.1. Acceso múltiple por división de frecuencia (FDMA)
Se divide el ancho de banda en varias subbandas, asignación fija de frecuencias [17] [54].
6.2. Acceso múltiple por división de tiempo (TDMA)
Se accede al canal durante un spot de tiempo (asignación por demanda).
6.3. Acceso múltiple por división de código (CDMA)
Cada estación transmite continuamente y en la misma banda de frecuencia con un código codificado diferente [22], [39] y [55].
7. Cálculo de un enlace satelital
A continuación se presentan los ítems propuestos por seguir para la realización del cálculo de un enlace satelital entre dos coordenadas específicas.
7.1. Escoger el satélite de acuerdo con la ubicación de los puntos por enlazar
Fuente: BOGOTÁ Latitud=4.6302°N Longitud=285.9195°E
Destino: MADRID Latitud=40.4422°N Longitud=356.3090°E
El satélite que cubre los dos puntos debe estar ubicado sobre la región del Atlántico. El satélite que cubre esta posición es el Intelsat905 (serie IX de Intelsat) [4] [24] [44].
7.2. Escoger el transpondedor que interconectará los dos puntos por enlazar, teniendo en cuenta disponibilidad y potencia
El transponder debe tener en cuenta los patrones de cubrimiento (huellas) [38] y las características de interconexión definidas por el operador [2], [24]. De la hoja de especificaciones del Intelsat905 se observa que el más conveniente es el transponder 95/55 que interconecta el haz zonal sur Z2 (SouthwestZone) y el haz zonal norte Z3 (NortheastZone). Este se encuentra ubicado en el canal 9, opera con polarización circular tipo B (Uplink RPC y Downlink LPC) [14] [40].
7.3. Una vez seleccionado, y de acuerdo con el plan de frecuencias del satélite, se seleccionan las frecuencias (portadoras) de subida y bajada
El plan de frecuencias es: 6280MHz Uplink y 4055MHz Downlink. Estas son las frecuencias a las cuales se sintonizan el Up-Converter (E.T.BOGOTÁ) y el Down-Converter (E.T.MADRID) [46] .
7.4. Escoger los parámetros del segmento espacial según la posición del satélite seleccionado
Los parámetros del segmento se obtienen del estándar INTELSAT IESS-410 [24] [49].
14.1. Posición orbital: Longitud = 335.5°E.
14.2. PIRE de saturación del transponder (PIRESATU)= 28dBW.
14.3. Ancho de banda = 36MHz.
14.4. Densidad de flujo de potencia (SFD): -69.6 dBW/m2.
14.5. G/T del sistema de recepción = -7 dB/K.
14.6. Relación de potencia de la portadora a interferencia cocanal (C/I): 17dB.
14.7. Intermodulación del transponder: -37 dBW/4KHz.
14.8. Relación de ganancia de potencia de com-presión: 3dB.
7.5. Escoger los parámetros de la estación terrena según su ubicación geográfica, tipo de antena y en general de los sistemas de transmisión y recepción empleados
Las características de estas dos estaciones son [8] [17] [54]:
7.6. Escoger los parámetros de la portadora (fundamental para determinar el ancho de banda del TX)
El tipo y tamaño de la portadora dependen del tráfico, técnicas de acceso, tipo de modulación, entre otras [47] [52].
- Unidad de canal Q - PSK.
- Velocidad de la información (IR) = 1024Kbps.
- FEC = 3/4 BER (proyectado en el punto de RX) = 1*10-6.
- Velocidad compuesta (CR).
- CR = IR + OH (bits de información de header) = 1024Kbps+0=1024Kbps.
- Velocidad de transmisión (R) = CR / FEC = (1024Kbps)/(3/4) = 1365.33Kbps.
- Velocidad de símbolos (SR) = r / 2 = 1365.33Kbps / 2 = 682.67Kbps.
- Ancho de banda ocupado (B) = 0.6*R = (0.6)*(1365.33Kbps) = 819.2KHz.
para un BER = 1*10-6 y un FEC=3/4 (recomendación IESS-306).
7.7. Hacer los cálculos para determinar la relación portadora a ruido total (CIN)t y compararla con la C/N proyectada
• Relación portadora a densidad de ruido (C/No)
• Relación portadora a temperatura de ruido (C/T)
• Relación portadora a ruido (C/N)
Este resultado es un caso ideal.
• Distancia Oblicua (D)
BOGOTÁ - SATÉLITE = DB-S = 38352.71Km
SATÉLITE - MADRID = DS-M = 37893.10Km
• Pérdidas por espacio libre (PEL) =10Log
BOGOTÁ - SATÉLITE = PELB-S = 92.44 + 20 Log (fghz) +20 Log DB-S (Km) = 200.07dB
SATÉLITE - MADRID = PELS-M = 92.44 + 20 Log (fghz) +20 Log DS-M (Km) =196.17dB
Pire del satélite
Esta PIRE es la mínima potencia de transmisión, ya que se consideran todas las pérdidas, donde b = ventaja geográfica de la estación terrena RX (MADRID) y m = margen de pérdidas por lluvia y rastreo = 3.5 típico [33] [34] [35] [45] [50].
• Reducción de potencia de salida (OBO)
• Reducción de potencia de entrada (IBO)
Donde X = relación de la ganancia de compresión entre la IBO y la OBO. Esta es información del operador del satélite.
• Nivel de iluminación del satélite (W
• Pire de la estación terrena TX (BOGOTÁ)
Donde e= eficiencia de la antena = 1 y d= 1m.
• Potencia requerida por el HPA(PT)
7.8. Calidad de los enlaces
En este ítem hay que verificar que se cumplan los parámetros de calidad del enlace (BER seleccionada para el ancho de banda de TX). La calidad general de un enlace se calcula determinando el valor de C/T así [42]:
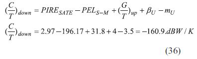
• C/T del enlace descendente
•Productos de intermodulación en el satélite
•Interferencia cocanal en el satélite
•C/T del enlace descendente
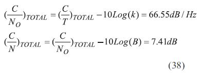
• C/T total
De esta relación se puede notar que es un poco mas mala que la proyectada, lo que implica que el BER es peor.
• Cálculo de C/I en el receptor
8. Conclusiones
Cuando la relación portadora a temperatura de ruido (C/T) total es menor que la proyectada (lo cual afecta también el valor de la relación portadora a ruido en recepción - C/N) se produce un aumento en el BER del enlace, haciendo que -para este ejemplo de cálculo realizado- pueda ser mucho mayor que el valor máximo permitido (1*10-6) en la recomendación IESS-306.
Al aumentar el BER la calidad del enlace y por ende el grado de disponibilidad que este ofrece a sus usuarios se disminuye, lo cual afecta el intercambio de información entre los dos puntos lejanos que se desean intercomunicar.
De las Ec. (14) y (15) es posible determinar que el único parámetro que se puede manipular para compensar los efectos del ruido y lograr mantener el BER que se proyectó, según la recomendación IESS-306, es la PIRE de la estación terrena Bogotá -Satélite (enlace ascendente).
Al realizar el aumento de la potencia de la estación terrena hay que tener en cuenta que el satélite (potencia máxima) se satura a 28dBw (para este ejercicio). Se recomienda subir la PIRE de la estación terrena de acuerdo con el siguiente cálculo:
((C/N) proyectada - (C/N)real)=8.6 dB - 7.41dB= 1.19dB.
Por tanto,
PIREE.T.BOGOTA = 1.19 + 66.54 = 67.73dBw
Entonces se debe aumentar el valor de la potencia del transmisor, de esta forma:
PtdBw = 16.04 + 1.19 = 17.23dBw es decir, Pt= 52.84vatios
Con lo cual hay que cambiar los siguientes parámetros:
PIREsat = 2.97 + 1.19 = 4.16dBw
OBOdB= 25.03 - 1.19 = 23.84
IBOdB= 28.03 - 1.19 = 26.84
WdBw/m2 = -97.63 + 1.19 = -96.44
Es necesario destacar que también es posible hacer uso de las características de otro satélite que posea una huella que cubra estos puntos terrestres por enlazar, donde ciertas características como la PIRE del satélite, la SFD, las bandas de frecuencias, el esquema de modulación, entre otros (ya descritos en esta revisión), puedan tener valores óptimos (con respecto a los descritos en el datasheet del Intelsat 905) que mejoren las características del enlace y mantengan un bajo nivel de ruido y disminuyan el BER a nivel de recepción.
Referencias bibliográficas
[1] J.Allnutt, Satellite-to-Ground Radiowave Propagation, London: Peter Peregrinus, 1989. [ Links ]
[2] J. Alper, J. Pelton, "The INTELSAT Global System, Progress in Astronautics and Aeronautics", AIAA vol. 93, 1984. [ Links ]
[3] J. Almond, "Commercial Communications Satellite Systems in Canada", IEEE Communications Magazine, vol. 19, no. 1, Jan 1981. [ Links ]
[4] S. P. Álvarez. "Software para análisis del presupuesto de enlace para comunicaciones vía satélite", tesis de grado, Universidad de las Américas Puebla, México, 2004. [ Links ]
[5] J. S. Baras, "ATM in Hybrid Networks, Center for Satellite and Hybrid Communication Networks", Technical Report CSHCN T.R., March 2008. [En línea]. Disponible en : http://www.hynet.umd.edu/publications/technical/baras.html [ Links ]
[6] R. J. Bates, Satellite Communications Networking, New York: McGraw-Hill, 2002. [ Links ]
[7] J.A. Bava, A. J. Sanz, "Microondas y Recepción Satelital", Buenos Aires, HASA, 1995. [ Links ]
[8] E. Bruce. The satellite communication applications handbook, :Artech House, 1997. [ Links ]
[9] R. Cochetti, Mobile Satellite Communications Handbook, Mill Valley: Quantum Publishing, 1995. [ Links ]
[10] E. Chuvieco, Earth Observation of Global Change: The Role of Satellite Remote Sensing in Monitoring the Global Environment, Madrid: Springer, 2007. [ Links ]
[11] G.E. Corazza, Digital Satellite Communications (Information Technology: Transmission, Processing and Storage), Bologna: Springer, 2007. [ Links ]
[12] M.I. Davis, G.N. Krassner, "SCORE First Communications Satellite", Journal of American Rocket Society, vol. 4, May, 1959. [ Links ]
[13] J. Dissanayake, F. Haidara, "A prediction model that combines rain attenuation and other propagation impairments along earthsatellite paths", IEEE Transactions on Antennas Propagation, vol. 45, no. 10, pp. 1546-1558, octubre 1997, agosto, 2002. [ Links ]
[14] R. Elbert, Introduction to Satellite Communication, Norwood: Artech House publisher, 2008. [ Links ]
[15] Facultad de Ingeniería de la Universidad de Buenos Aires, "Laboratorio de Comunicaciones: Enlaces Satelitales". [En línea]. Disponible en : http://materias.fi.uba.ar/6679/apuntes/Enlace_Satelital.pdf [ Links ]
[16] W.L. Flock, "Propagation Effects on Satellite Systems at Frequencies Below 10 GHz, A Handbook for Satellite Systems Design", NASA Reference Publication 1108(02), 1987. [ Links ]
[17] R. L. Freeman, Telecommunications Transmission Handbook, Canada: John Wiley and Sons. 1991. [ Links ]
[18] D. E. Friedman, "Error Control for Satellite and Hybrid Communication Networks", College Park: Masters Thesis, 1995. [ Links ]
[19] K.W. Gatland, "Telecommunications Satellites", New York: Prentice Hall,1964. [ Links ]
[20] D.C. Hogg, T.S Chu, "The role of rain in satellite communications", Proceedings of the IEEE, vol. 63, no. 9, pp. 1308-1331, Sept. 1975. [ Links ]
[21] IEEE Standard Definitions of Terms for Radio Wave Propagation, IEEE Std. 211, Aug. 19, 1977. [ Links ]
[22] S. D. Ilcev, "Global Mobile Satellite Communications: For Maritime, Land and Aeronautical Applications", Dordrecht: Springer, 2005. [ Links ]
[23] E. Imboldi, D. Hershberg, "Courier Satellite Communications System", Advances in the Astronautical Sciences, vol. 8, 1961. [ Links ]
[24] INTELSAT, "Cobertura satelital". [En línea]. Disponible: http://www.intelsat.com/flash/coverage-maps/index.html [ Links ]
[25] L.J. Ippolito, "Characterization of the CTS 12 and 14 GHz Communications Links Preliminary Measurements and Evaluation", International Conference on Communications: ICC'76, Jun. 1976. [ Links ]
[26] L.J. Ippolito, "Propagation effects handbook for satellite systems design", Fifth Edition, NASA Reference Publication 1082(5), Jun. 1999. [ Links ]
[27] L.J. Ippolito, "Radiowave Propagation in Satellite Communications", Van Nostrand Reinhold Company, 1986. [ Links ]
[28] L. J. Ippolito, Satellite Communications Systems Engineering: Atmospheric Effects, Satellite Link Design and System Performance, Singapore: John Wiley and Sons, 2008. [ Links ]
[29] ITU-R Recommendation P.531-8, "Ionospheric propagation data and prediction methods required for the design of satellite services and systems", International Telecommunications Union, Geneva, Mar. 2005. [ Links ]
[30] ITU-R Recommendation P.676-6, "Attenuation by atmospheric gases", International Telecommunications Union, Geneva, Mar. 2005. [ Links ]
[31] ITU-R Recommendation P.840-3, "Attenuation due to clouds and fog", International Telecommunications Union, Geneva, Oct. 1999. [ Links ]
[32] ITU-R Recommendation P.372-8, "Radio Noise", International Telecommunications Union, Geneva, Apr. 2003. [ Links ]
[33] ITU-R Rec. P.618-8, "Propagation data and prediction methods required for the design of earth-space telecommunication systems", International Telecommunications Union, Geneva, Apr. 2003. [ Links ]
[34] ITU-R Rec. P.837-4, "Characteristics of precipitation for propagation modeling", International Telecommunications Union, Geneva, Apr. 2003. [ Links ]
[35] ITU-R Rec. P.838-3, "Specific attenuation model for rain use in prediction methods", International Telecommunications Union, Geneva, Mar. 2005. [ Links ]
[36] ITU-R Rec. P.678-1, "Characterization of the natural variability of propagation phenomena", International Telecommunications Union, Geneva, Mar. 1992. [ Links ]
[37] L. Jaffe, "The NASA Communications Satellite Program Results and Status", Proceedings of the 15th International Astronautical Congress, vol. 2, 1965. [ Links ]
[38] J. Litva, Digital beamforming in wireless communications, Norwood: Artech House, 1996. [ Links ]
[39] T. Logsdon, "Mobile Communication Satellites", New York: McGraw Hill, 1995. [ Links ]
[40] G. Maral, M. Bousquet, "Satellite Communications Systems: Systems, Techniques and Technology", New Jersey: John Wiley and Sons, 2010. [ Links ]
[41] D.H. Martin, "Communications Satellites", The Aerospace Corporation, Dec. 31, 1986. [ Links ]
[42] M. J. Miller, B. Vucetic, L. Berry, Satellite Communications: Mobile and Fixed Services, Boston: Kluwer Academic Publishers, 1993. [ Links ]
[43] D. Minoli, Satellite Systems Engineering in an IPv6 Environment, Boca Ratón: Auerbach Publications, 2009. [ Links ]
[44] O. Montenbruck, E. Gill, Satellite Orbits: Models, Methods and Applications, Germany: Springer, 2007. [ Links ]
[45] R.L. Olsen, D.V. Rogers, D.B. Hodge, "The aRb relation in the calculation of rain attenuation", IEEE Trans. on Antennas and Propagation, vol. AP-26, no. 2, pp. 318-329, Mar. 1978. [ Links ]
[46] S. C. Pascall, D. Withers, Commercial Satellite Communications, Focal Press, 1997. [ Links ]
[47] T. Pratt, C.W. Bostian, J.E. Allnutt, Satellite Communications, New Jersey: John Wiley and Sons, 2003. [ Links ]
[48] J. Pelton, Wireless & Satellite Telecommunications: The Technology, the Market, & the Regulations, New Jersey: Prentice Hall, 1995. [ Links ]
[49] W.L. Pritchard, J.A. Sciulli, Satellite Communication Systems Engineering, Englewood Cliffs: Prentice-Hall, 1986. [ Links ]
[50] D. Roddy, Satellite Communications, Hightstown, New Jersey: McGraw Hill, 2001. [ Links ]
[51] S.D. Slobin, "Microwave noise temperature and attenuation of clouds: Statistics of these effects at various sites in the United States, Alaska, and Hawaii", Radio Science, vol. 17, no. 6, pp. 1443-1454, Nov-Dec. 1982. [ Links ]
[52] J.J. Spilker, Digital Communications By Satellite, Englewood Cliffs, New Jersey: Prentice Hall, 1977. [ Links ]
[53] W.L. Stutzman, G.A. Thiele, Antenna Theory and Design, New York: JohnWiley and Sons, 1998. [ Links ]
[54] W. Tomasi, Sistemas De Comunicaciones Electrónicas, Englewood Cliffs, New Jersey: Prentice Hall, 1998. [ Links ]
[55] J. Wood, Satellite communications and DBS systems, Boston: Focal Press, 1992. [ Links ]
[56] D.L. Wright, J.W.B. Day, "The Communications Technology Satellite and the As soc i a t ed Ground Te rmina l s for Experiments", AIAA Conference on Communications Satellites for Health/Education Applications, Jul. 1975. [ Links ]


























































