Services on Demand
Journal
Article
Indicators
-
Cited by SciELO -
Access statistics
Related links
-
Cited by Google -
Similars in
SciELO -
Similars in Google
Share
Tecnura
Print version ISSN 0123-921X
Tecnura vol.16 no.32 Bogotá Apr./June 2012
Diseño, modelado e implementación de inversor conectado a la red eléctrica a partir de fuentes renovables
A renewable-source-based inverter pluged to the electrical grid - design, modelling and implementation
César Leonardo Trujillo Rodríguez1, David Velasco De La Fuente2, Emilio Figueres Amorós3, Gabriel Garcerá Sanfeliú4, Javier Guacaneme Moreno5
1 Ingeniero Electrónico, Magister en Ingeniería Eléctrica. Docente Asociado de la Universidad Distrital Francisco José de Caldas. Bogotá, Colombia. cltrujillo@udistrital.edu.co.
2 Ingeniero Industrial, Magister en Sistemas Electrónicos de Potencia. Investigador de la Universidad Politécnica de Valencia. Valencia, España. davede@upv.es
3 Ingeniero Técnico Industrial, Doctor en Ingeniería Industrial. Docente Catedrático de la Universidad Politécnica de Valencia. Valencia, España. efiguere@eln.upv.es
4 Ingeniero en Telecomunicación, Doctor en Telecomunicación. Docente Titular de la Universidad Politécnica de Valencia. Valencia, España. ggarcera@eln.upv.es
5 Ingeniero Electrónico, Magister en Ingeniería Eléctrica. Docente Asistente de la Universidad Distrital Francisco José de Caldas. Bogotá, Colombia. jguacaneme@udistrital.edu.co
Fecha de recepción: Agosto 10 de 2011 Fecha de aceptación: Febrero 27 de 2012
Resumen
En este artículo se describe el diseño, modelado e implementación de un inversor monofásico conectado a la red a partir de fuentes renovables de energía. Se estudia el modelo en pequeña señal del convertidor para a continuación diseñar los lazos de control del mismo. Con el fin de controlar la inyección de energía a la red proveniente de la renovable, se propone utilizar un control de corriente media (ACC). Los controladores son obtenidos a través del análisis aplicado sobre el modelo en pequeña señal obtenido a partir del modelo del conmutador PWM y de la aproximación del inversor a un convertidor Buck. Finalmente se realizan simulaciones y pruebas experimentales con el fin de validar la respuesta transitoria y en estado estable del inversor.
Palabras clave: Control de corriente, Generación de potencia distribuida, Inversor.
Abstract
This paper describes the design, modeling and implementation of a single-phase inverter connected to the grid from renewable energy sources. We study the model in small signal to be below the control loops design it. In order to control the injection of energy into the grid from renewable is proposed for average current control (ACC). Drivers are obtained through the analysis applied to the small signal model obtained from the PWM switch model and the approach of the investor to a Buck converter. Finally, simulations and experimental tests conducted to validate the transient response and steady-state investor.
Key words: Power control, Distributed power generation, Investor.
1. Introducción
En la actualidad, temas ambientales como el calentamiento global y la polución son cada vez más relevantes para la sociedad, por otra parte los gobiernos día tras día ponen más objeciones a la utilización de las centrales eléctricas convencionales y nucleares. En consecuencia, el uso de fuentes alternativas de energía tales como la energía eólica, la energía solar, la biomasa renovable y el hidrógeno se perfila como una solución viable para la producción de energía limpia [1].
Debido a las propiedades de la energía captada a partir de las fuentes renovables se hace necesaria la utilización de sistemas electrónicos, convertidores, que permitan adaptarla las condiciones impuestas por la carga. La energía procedente de las fuentes renovables se puede obtener en forma de corriente continua como es el caso de la energía fotovoltaica [2], y en forma de de la energía eólica [3]. Por esta razón la solución más habitual es partir de corriente continua o alterna y convertirla a corriente alterna con frecuencia variable en el caso de la energía eólica [3]. Por esta razón la solución más habitual es partir de corriente continua o alterna y convertirla a corriente alterna con las mismas características eléctricas de la red mediante la utilización de inversores. Estos inversores deben operar como una fuente de corriente en fase con la tensión de red, inyectando potencia a la red de distribución [4], [5]. En consecuencia, la idea del artículo es presentar el diseño, modelado e implementación de un inversor interconectado a la red eléctrica a partir de fuentes renovables.
El artículo se ha esquematizado de la siguiente manera: en la sección 1 se hace un análisis de funcionamiento del inversor monofásico implementado. En la sección 2 se presenta el modelado dinámico en pequeña señal del inversor. En la sección 3 se presenta el diseño e implementación de los controladores para el ACC. En la sección 4 y la sección 5 se presentan los resultados de simulación y los resultados experimentales del inversor, respectivamente. Finalmente se presentan las conclusiones.
2. Análisis de funcionamiento del inversor monofásico
El inversor monofásico con topología de puente completo y empleando un esquema de Modulación por Ancho de Pulso (PWM) ha sido ampliamente usado en Sistemas de Alimentación Ininterrumpida (UPS) [6], como interfaz DC/AC de fuentes no convencionales de energía tales como el viento [7] y el sol [8], en reguladores de tensión [9] y en muchas otras aplicaciones industriales.
Esta topología permite obtener sobre la carga cuya tensión en la Fig. 1 se identifica como Vab, tensiones positivas, negativas o cero según lo determine el circuito de control de los interruptores [10], [11]. La única precaución que hay que tener en cuenta al generar los disparos, es que dos interruptores de una misma rama (S1, S3 o S2, S4) no deben ser encendidos al mismo tiempo ya que se originaría un cortocircuito alrededor de la fuente DC. Adicionalmente se necesitan diodos en anti paralelo para garantizar la continuidad de la corriente en presencia de cargas inductivas. En la Fig. 1 se muestra un esquema del inversor puente completo.
2.1 Diseño del filtro de conexión a red
El inversor se debe diseñar para una potencia nominal de 430VA, una tensión de salida de 230VRMS, frecuencia de 50Hz para la moduladora y de 20kHz para la portadora, la cual presenta forma de onda triangular, y para un esquema de conmutación PWM bipolar. Dicho esquema de modulación se seleccionó debido a que permite reducir las corrientes en modo común (CMC) [12], contrario a lo que se presenta con la modulación unipolar.
Con el fin de obtener una señal de salida sinusoidal con las mismas características en tensión y frecuencia que la de la red eléctrica, es necesario filtrar la tensión Vab presente entre las ramas del inversor monofásico en puente completo. Las topologías de filtros de salida comúnmente empleadas en inversores son la LC y la LCL, [13] - [15]. En la Fig. 2 se muestra las topologías circuitales de los filtros de salida del inversor.
El filtro seleccionado para esta aplicación fue el filtro LCL el cual presenta una atenuación de 60db/década a partir de la frecuencia de resonancia, tiene una baja distorsión de la corriente de red y baja producción de potencia reactiva, sin embargo puede llegar a causar distorsión de la corriente de entrada, dinámica y en estado estacionario, debido a la resonancia [16].
Algunas características que debe presentar el filtro a la hora de ser diseñado son las siguientes:
El filtro LCL se puede ver como un filtro LC más una inductancia de fugas que en muchas ocasiones puede ser tratada como la inductancia de fugas del transformador de aislamiento.
A la frecuencia fundamental, el condensador debe absorber poca potencia reactiva del fundamental, con lo que la corriente en el inductor conectado del lado del inversor apenas se ve incrementada por el condensador.
A la frecuencia de los armónicos de conmutación, el condensador debe absorber los armónicos de la corriente del inductor los cuales deben ser pequeños.
Con base en lo anterior se describirá el procedimiento para determinar los valores de dicho filtro.
El valor del condensador C, está limitado al consumo máximo de la potencia reactiva permitido por el inversor.
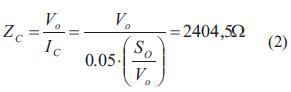
Para este caso si se requiere que la corriente máxima en el condensador (IC) sea inferior al 5% de la corriente nominal (IO), se tiene en magnitud:
Por lo tanto la magnitud de la impedancia del condensador, será la tensión de salida partido por la corriente en el condensador
Siendo SO', la potencia nominal de la carga. Como la magnitud de
se puede despejar el valor de C.
Donde ω1 es la frecuencia de la red en rad/s.
El inductor del lado del inversor se puede calcular en términos de la caída de tensión permitida sobre éste, cuando la tensión a la salida del inversor sea la de operación normal.
Asumiendo que se quiere una impedancia del inductor igual o menor que el 5% de la impedancia nominal de la carga, se tiene
La magnitud de la impedancia del inductor se define como ZL=w1•L. Despejando el valor de L se tiene:
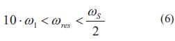
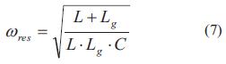
La frecuencia de resonancia del filtro LCL se debe localizar entre 10 veces la frecuencia de red y la mitad de la frecuencia de conmutación, esto con el fin de evitar problemas de resonancia en la parte baja y alta del espectro armónico [15].
Donde ωres es la frecuencia de resonancia del filtro LCL, la cual se define por Ec. (7) y ωs la frecuencia de conmutación.
Con el fin de cumplir la condición 3) así como la condición 1) se tomará un valor de C=600nF y se considerará que la inductancia de red Lg es diez veces menor al valor hallado para el inductor conectado al inversor, sin embargo es de aclarar que dicho valor depende de la suma de la inductancia de los cables más la inductancia del transformador, la cual puede variar dependiendo de la localización del inversor.
Los filtros pasivos LC o LCL, presentan un alto factor de calidad Qf, por lo tanto presentan una baja amortiguación a la frecuencia de resonancia que puede causar inestabilidad en el sistema. Una forma de aumentar el amortiguamiento es agregando una resistencia en serie con el condensador. Se debe tener en cuenta que el seleccionar una resistencia Rd, muy grande reducirá notablemente la oscilación a la frecuencia de resonancia al igual que la eficiencia del sistema [15], [16]. Un criterio adicional que puede ser incluido, se basa en colocar una resistencia que permita que la atenuación de la oscilación del lazo de control de corriente del inversor esté por debajo de los 0dB. Por lo tanto el valor de Rd será calculado cuando se aborden los lazos de control.
2.2 Diseño del bus de continua
El valor del condensador del bus te continúa
o DC_LINK (Ver Fig.3) puede ser expresado como [17]:
Donde, Pnom es la potencia nominal de entrada al inversor, proveniente de la fuente primaria (paneles fotovoltaicos, convertidor AC/DC conectado a una turbina eólica, etc.), VDC es la tensión media alrededor del condensador y ΔVDC el rizado de la tensión permitido en el condensador (1%). Dicha ecuación se basa en el hecho de que la corriente que proviene de la fuente primaria es una DC y la corriente de entrada al inversor sigue la forma de onda sin 2(ω•t). Con lo que se obtiene un valor de,
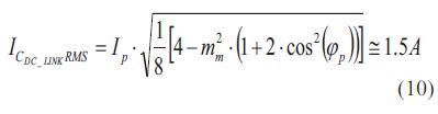
Una característica adicional al elegir el valor de, CDC_LINK se basa en el valor del rizado decorriente a 100Hz y la de corriente RMS, que debe so>portar dicho condensador, la cual se encuentra definida para modulación bipolar como [18]:
Donde Ip es el valor pico de la corriente, φp el ángulo de fase entre la tensión y la corriente de salida del inversor y mm el factor de modulación. El valor de corriente hallado anteriormente (1.5A), así como el rizado de corriente a 100Hz (6A) permite identificar según las especificaciones técnicas del fabricante, si el valor de condensador elegido soporta dichos valores de corriente para una tensión DC determinada, de no ser así se toma un valor de capacitancia superior que cumpla con las condiciones de corriente y tensión. El valor de CDC_LINK para esta aplicación según la hoja de especificaciones es de 1mF.
3. Modelado dinámico en pequeña señal del inversor
Debido a que los diferentes convertidores (DC/ DC o DC/AC) son circuitos no lineales, estos deben ser linealizados en torno a un punto de operación con el fin de poder aplicar técnicas de control lineal. La técnica seleccionada para linealizar la etapa de potencia es la del modelo del conmutador PWM [19], [20].Este modelo ofrece un circuito equivalente lineal, a partir del cual se puede realizar el análisis de pequeña señal y de gran señal del convertidor. El método se basa en la sustitución de los elementos no lineales del convertidor conmutado (interruptores), por un circuito equivalente lineal llamado "Modelo del Conmutador PWM", de manera que el circuito resultante es lineal.
En la Fig. 4 se presenta el esquema circuital del inversor, sobre el cual se obtendrá el modelo.
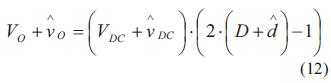
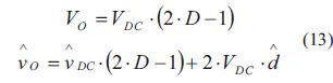
El inversor puede ser aproximado a un circuito Buck [11], teniendo en cuenta que en el punto de operación se manejan señales periódicas variantes en el tiempo. La ecuación que relaciona la tensión de salida con la tensión de entrada en términos del ciclo de trabajo se muestra en Ec. (11).
Si se considera que cada una de las variables pro>mediadas se puede descomponer en un término constante correspondiente al punto de trabajo (en mayúsculas) y en un término variante de pequeña señal (con "^") que representa la perturbación en torno al punto de trabajo, la ecuación anterior toma el siguiente aspecto
Separando las componentes constantes y variables se tiene:
De la misma forma se pueden obtener las componentes constantes y variables para la relación entre la corriente de entrada y la corriente de salida
Con base en la Ec. (13) y la Ec. (14) es posible obtener el modelo en el punto de operación (Fig. 5) y el modelo de pequeña señal (Fig. 6) del inversor.
Donde D'(t)=2•D(t)-1, siendo D(t) el ciclo de trabajo en el punto de operación.
Las relaciones establecidas para el punto de operación se presentan en las siguientes ecuaciones:
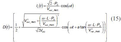
Donde ωt es una variable que permite generar un barrido paramétrico con el fin de observar el comportamiento del inversor, para el punto de operación cuando la corriente y el ciclo de trabajo varían en función de la tensión de salida. En una primera aproximación ωt será igual a cero.
El modelo en pequeña señal se muestra en la Fig. 6.
4. Metodología
El esquema de control utilizado para el inversor es el control de corriente media (ACC) [21]. Mediante dicho esquema se controla la corriente media en el inductor de salida, la cual será inyectada en la red eléctrica. La segunda variable de control corresponde a la tensión de entrada del inversor (DC_LINK). En la Fig. 7 se muestran los lazos comportamiento del inversor, para el punto de de corriente y tensión del ACC para el inversor en este modo de operación. Por simplicidad de la figura se ha omitido el PLL.
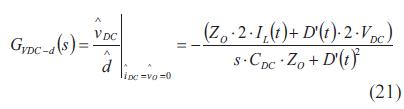
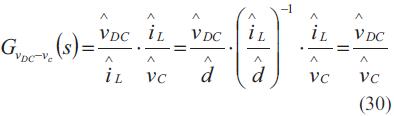
Las funciones de transferencia en lazo abierto de la etapa de potencia que relacionan la tensión de entrada (DC_LINK) y el ciclo de trabajo (GVDC-d(s)), y la corriente en el inductor de salida y el ciclo de trabajo (GiL-d(s)), se pueden extraer de los modelos dinámicos planteados en la Fig. 5 y la Fig. 6. Dichas funciones de transferencia se presentan a continuación:
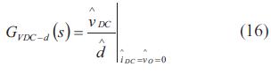
Para obtener la función de transferencia GVDC-d(s) se tiene que
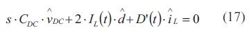
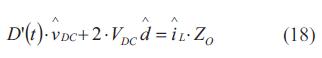
Teniendo en cuenta la Ec. (16), y aplicando análisis de nodos y análisis de mallas al circuito de la Fig. 6 se obtiene el siguiente grupo de ecuaciones:
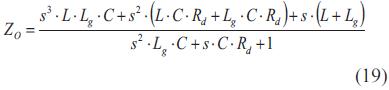
De donde ZO es la impedancia vista en los puntos a-b y se define como:
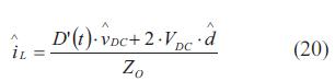
Despejando îL de la Ec. (18)
Reemplazando la Ec. (20) en la Ec. (17) y hallando la función de transferencia correspondiente se tiene:
La segunda función de transferencia es
Dicha función de transferencia se puede determinar a partir de la Ec. (16) y la Ec. (17) halladas anteriormente.
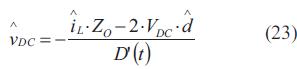
Por lo tanto despejando
DC de la Ec. (18)
Reemplazando la Ec. (23) en la Ec. (17) y hallando la función de transferencia correspondiente se tiene:
Usando los valores obtenidos para el inversor, y variando la resistencia Rd entre 1Ω y 50Ω, se obtienen los diagramas de bode de GVDC-d(s) y GiL-d(s), mostrados en la Fig. 8 y la Fig. 9.
Se puede observar que cuanto mayor sea el valor de Rd se tendrá un mayor amortiguamiento producto de la resonancia en el filtro de salida, sin embargo un valor muy grande puede reducir la eficiencia.
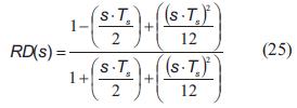
Una vez obtenidas las funciones de transferencia, se procederá a determinar el retardo digital (RD(s)) de un periodo de conmutación, que para este caso se ha expresado como una aproximación de Tustin de segundo orden.
De donde Ts=50µs es el periodo de conmutación. La ganancia del sensor de corriente Ri=0,2Ω.
La ganancia del modulador PWM bipolar (FM) se define como:
De donde Vpp_Triangular es la tensión pico a pico de la señal triangular que representa la moduladora.
El siguiente paso es determinar el controlador de corriente, dicho controlador fue implementado através de un controlador resonante (o controlador armónico si sus frecuencias son múltiplos de la fundamental) [22]. Dichos controladores tienen la ventaja de introducir en el lazo una alta ganancia a la frecuencia de la señal de consigna y proveer a la salida la contribución necesaria para anular el efecto causado por las perturbaciones de la red eléctrica. Para esta aplicación el controlador empleado fue un P+Resonante.
De donde ωh=h•ωO, es la pulsación de resonancia múltiplo del fundamental. Kh es la ganancia del pico de resonancia a la frecuencia ωh. Bh es el ancho de banda en rad/s donde la resonancia tiene ganancia. Para este caso h=1, Kh=100, Bh=2•π y ωO=2•π•50. EL valor de Kp puede ser calculado a través de la siguiente ecuación.
En la Fig. 10 se muestra el diagrama de bode para el lazo de corriente de la Fig. 7 el cual se define como Ti(s)=G(s)•F•R•G (s) para una R igua 0Ω y a 50Ω. En dicha figura se puede observar como en aras de cumplir con la condición de que la amplitud de la señal de resonancia se encuentre por debajo de 0dB se ha tomado una resistencia de 50Ω. Adicionalmente se muestra como con el controlador propuesto se logra un margen de fase de 58,6O y un ancho de banda de 1,28kHz.
El siguiente paso es determinar el controlador de tensión Gv(s), para lo cual hay que tener en cuenta que la ganancia del sensor de tensión f=6•10-3, y la función de transferencia que relaciona la tensión de la DC_LINK a la tensión que impone como referencia el controlador de tensión GVDC Vc(s). Dicha función de transferencia puede ser determinada teniendo en cuenta las funciones halladas en la Ec. (21) y la Ec. (24), y la función auxiliar que relaciona la corriente en el inductor a la tensión de salida del controlador de tensión. Esta función de transferencia se presenta en la Ec.(29)
Finalmente la función de transferencia GVDCVc(s) se define como
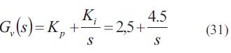
El controlador de tensión que fija la referencia a seguir por el controlador de corriente y que permite regular la tensión en la DC_LINK, se implementó a través de un controlador PI [23], esto en razón a que dicho controlador permite que el sistema logre error de estado estacionario cero. Por lo tanto, las salidas reguladas del sistema, tensión 0 corriente, son exactamente una cantidad específica y permiten seguir la dinámica de la red eléctrica. El controlador implementado se muestra en la Ec. (31)
En la Fig. 11 se muestra el diagrama de bode para el lazo de tensión de la Fig. 7 el cual se define como T (s)= G(s)•f•G(s). En el diagrama se muestra que con el controlador propuesto se logra un margen de fase de 85,8O y un ancho de banda de 10Hz. Dicho valor de frecuencia de corte se ha seleccionado por debajo de la frecuencia del rizado de tensión de la DC_LINK (100Hz), con el fin de que dicho rizado esté suficientemente atenuado y no afecte de forma significativa la señal que se inyecta al controlador de tensión.
4.1Phase-Locked Loop (PLL)
Para una correcta operación del control del inversor se hace necesario que el inversor esté adecuadamente sincronizado con la red eléctrica. Esto se puede lograr mediante la utilización de un PLL. Un esquema de PLL generalmente empleado en sistemas trifásicos se basa en el uso de un marco de referencia síncrono (SRF) [24]. Para sistemas monofásicos, la aplicación directa de un SRF, no es posible, pero se puede generar una componente en cuadratura con la señal de tensión a fin de poder aplicar la Transformada Inversa de Park [25]. Una forma de generar dicha componente en cuadratura es implementando un retardo, el cual es el responsable de introducir un desplazamiento de la fase de 90O con respecto a la frecuencia fundamental de la señal de entrada. En la Fig. 12 se presenta el algoritmo del PLL monofásico basado en el uso de un retardo para generar la señal en cuadratura.
El retardo empleado con el fin de generar el desfase de 90O puede ser implementado con un filtro paso bajo a una frecuencia de corte mucho menor que la frecuencia de la red (50Hz). Esta frecuencia de corte se fijó a 5Hz. La ganancia de este filtro se escogió en función a la atenuación dada por éste, es decir se busca que las señales va y vf sean iguales, con lo que se obtuvo un valor de 10.
La respuesta dinámica del PLL, dependerá de los parámetros Kp y Ki, que definirán la frecuencia de corte en el diagrama de bode del lazo cerrado de control. Es común asumir que la respuesta de dinámica del sistema sea estable con un margen de fase superior a 50°, la frecuencia de corte es fijada en función al tiempo de respuesta deseado, para este caso se ha fijado en 25,3Hz. Los parámetros del regulador PI que proporcionan la respuesta dinámica mostrada en la Fig. 13, son: Kp=149,96 y Ki=1630.
5. Resultados de simulación
En la Fig. 14 se muestra el esquema circuital del inversor con lazo de control ACC implementado en PSIM 7.05. Para efectos de simplicidad y validación del diseño del inversor, la acción de la fuente primaria sobre el inversor se presenta modelada como una fuente de corriente.
En la Fig. 15 se presentan las principales formas de onda en el inversor interconectado a red, para variaciones de la fuente de corriente que alimenta al inversor.
En la figura anterior se observa que ante variaciones de la corriente de entrada, la corriente de salida se ajusta, permitiendo que se inyecte potencia a la red eléctrica de acuerdo a la energía disponible en la renovable (430W, 200W, 430W y 310W). Para este rango de variación, la tensión en la DC_LINK permanece constante (400V). El valor del THDi de la corriente de salida del inversor, para la potencia nominal (430W) es del 3%.
6. Resultados experimentales
Los resultados experimentales se han llevado a cabo sobre el inversor, con el fin de validar su comportamiento dinámico. Las características del prototipo implementado se presentan en la Tabla 1. El control del inversor ha sido desarrollado a través de la tarjeta de DSP Texas Instruments TMS320F28335.
Se han realizado dos juegos de pruebas sobre el prototipo, con el objeto de valorar la respuesta transitoria de éste. Para las medidas de la respuesta transitoria se ha utilizado una fuente de alimentación programada como fuente de corriente. Cabe resaltar que la fuente de alimentación alimenta directamente al inversor. A continuación se exponen los tipos de pruebas realizados.
6.1 Pruebas de la respuesta transitoria del inversor ante cambios de la corriente de entrada
Para estudiar la estabilidad de la respuesta transitoria del inversor se ha configurado la fuente de alimentación DC como una fuente de corriente a la cual se le ha programado escalones de corriente en Ipv de 0.4A a 0.75A y de 0.75A a 0.4A. Cabe resaltar que los escalones de corriente presentan un comportamiento más rápido que los que podrían obtenerse de los paneles fotovoltaicos. Para este caso se ha fijado V=DC_ref 380V.
En la Fig. 16 se puede observar la respuesta dinámica de la corriente inyectada a la red así como de la tensión en la DC_LINK, cuando se generan escalones de corriente en Ipv. En la Fig. 17 se aprecia una ampliación de las dos variables presentadas en la Fig. 16 cuando se origina un escalón de subida y un escalón de bajada, respectivamente. Como se puede apreciar la respuesta dinámica tanto de la corriente inyectada a la red así como de la tensión en los bornes del arreglo de paneles fotovoltaicos es estable y ligeramente subamortiguada.
6.2 Distorsión de la corriente de línea del inversor
El inversor monofásico funciona como rectificador VSI con PWM bipolar, regulando la tensión de la DC_LINK a 380V. El control de corriente del inversor, inyecta a la red la corriente de salida en fase con la tensión de red. La Fig. 18 muestra las medidas experimentales de los armónicos de la corriente inyectada, representados en un diagrama de barras, para una potencia de 300W y 150W. Dichos datos fueron tomados con el Fluke 43B Power Quality Analyzer. Se puede observar que a medida que aumenta la potencia inyectada el valor de los armónicos en corriente disminuye, lo que se traduce en una disminución del THD en corriente cuando se inyecta más potencia.
La Fig. 19 muestra la corriente inyectada a red y la tensión de red en el punto de operación VDC_LINK ≈ 380V, PO ≈ 300W. Para este punto de operación se tiene una distorsión de la tensión de red ideal, THDV = 0.2%, la distorsión de la corriente inyectada a la red es THDi = 4.5%. En estas condiciones el factor de potencia del inversor es PF = 0.98. Según las medidas obtenidas anteriormente es posible inferir que el inversor cumple con la norma IEC 61000-3-2, válida para dicho nivel de potencia.
7. Conclusiones
Se diseñó e implementó un inversor con topología puente completo y control de corriente media (ACC). Dicho esquema de control presenta un lazo interno de control de corriente que permite inyectar la corriente de salida del inversor a la red y un lazo de tensión que fija la referencia del lazo de control de corriente y regula la tensión de la DC_LINK. Los controladores en los diferentes lazos de control fueron obtenidos a través de un modelo en pequeña señal a partir del modelo del conmutador PWM y de la aproximación del inversor a un convertidor Buck.
Finalmente se validó a través de simulación y de forma experimental la respuesta transitoria y en estado estable del inversor implementado para operar en el modo interconectado a red, obteniéndose resultados adecuados.
Referencias
[1] REN21 Steering Committee, "Renewable 2009, Global Status Report",Worldwatch Institute Washington, DC, 2009. [ Links ]
[2] J.A. Hernandez, D. Velasco, C.L. Trujillo, "Analysis of the effect of the implementation of photovoltaic systems like option of distributed generation in Colombia," Renewable and Sustainable Energy Reviews, vol. 15, pp. 2290-2298, Jun. 2011. [ Links ]
[3] O. Carranza, G. Garcerá, E. Figueres, L.G. González, "Peak current mode control of three-phase boost rectifiers in discontinuous conduction mode for small wind power generators," Applied Energy, vol. 87, pp. 2728-2736, Aug. 2010. [ Links ]
[4] Y. Chen, H. Wu, Y. Chen, K. Lee, S. Shyu, "The AC Line Current Regulation Strategy for the Grid-Connected PV System," IEEE Trans. on Power Electronics, vol.25, no.1, pp.209-218, Jan. 2010 [ Links ]
[5] J. Selvaraj, N. A. Rahim, "Multilevel inverter For Grid-Connected PV System Employing Digital PI Controller," Industrial Electronics, IEEE Transactions, vol.56, no.1, pp.149-158, Jan. 2009. [ Links ]
[6] H.R. Karshenas, M. Niroomand, "Design and implementation of a single phase inverter with sine wave tracking method for emergency power supply with high performance reference," Electrical Machines and Systems, ICEMS 2005, Proceedings of the Eighth International Conference on, vol. 2, pp.1232-1237, 29 Sept. 2005. [ Links ]
[7] Y. Hu, L. Chang, B. Cao, "Novel predictive voltage controlled UPS inverter for an improved stand-alone wind turbine system," Electrical and Computer Engineering, CCECE '09, Canadian Conference on, pp.398-402, 3-6 May 2009. [ Links ]
[8] S. Mekhilef, N.A. Rahim, A.M. Omar, "A new solar energy conversion scheme implemented using grid-tied single phase inverter," IENCON 2000, Proceedings, vol.3, pp.524-527, 2000. [ Links ]
[9] Y. H. Chung, H. J. Kim, G. H. Kwon, T. B. Park, S. H. Kim, K. S. Kim, J. W. Choe, "Neural network controlled voltage disturbance detector and output voltage regulator for Dynamic Voltage Restorer," Power Electronics and Applications, 2007 European Conference on, pp.1-9, 2-5 Sept. 2007. [ Links ]
[10] D.W. Hart, "Introduction to Power Electronics," Prentice Hall, 1997. [ Links ]
[11] N. Mohan, T. Undeland, W. Robbins, "Power electronics: converters, applictions, and design,"Minnesota: John Wiley & Sons, 1995. [ Links ]
[12] J.C. Crebier, J.P. Ferrieux, "PFC full bridge rectifiers EMI modelling and analysis-common mode disturbance reduction," Power Electronics, IEEE Transactions on, vol.19, no.2, pp. 378-387, March 2004. [ Links ]
[13] P.A. Dahono, A. Purwadi, "An LC filter design method for single-phase PWM inverters," Power Electronics and Drive Systems, 1995. Proceedings of 1995 International Conference on, vol.2, pp.571-576, 21-24 Feb 1995. [ Links ]
[14] J. Kim, J. Choi, H. Hong, "Output LC filter design of voltage source inverter considering the performance of controller," Power System Technology, PowerCon 2000, International Conference on, vol.3, pp.1659-1664, 2000. [ Links ]
[15] M. Liserre, F. Blaabjerg, S. Hansen, "Design and control of an LCL-filter-based three-phase active rectifier," Industry Applications, IEEE Transactions on, vol.41, no.5, pp. 1281-1291, Sept.-Oct. 2005. [ Links ]
[16] K. H. Ahmed, S. J. Finney, B. W. Williams, "Passive Filter Design for Three-Phase inverter Interfacing in Distributed Generation," Compatibility in Power Electronics, CPE '07, pp.1-9, May 29-June 1, 2007. [ Links ]
[17] S. B. Kjaer, J. K. Pedersen, F. Blaabjerg, "A review of single-phase grid-connected inverters for photovoltaic modules," Industry Applications, IEEE Transactions on, vol.41, no.5, pp. 1292-1306, Sept.-Oct. 2005. [ Links ]
[18] F. Renken, "The DC-link capacitor current in pulsed single-phase H-bridge inverters," Power Electronics and Applications, European Conference on, pp.10, 2005. [ Links ]
[19] V. Vorperian, "Simplified analysis of PWM converters using model of PWM switch. Continuous conduction mode," Aerospace and Electronic Systems, IEEE Transactions on, vol.26, no.3, pp.490-496, May 1990. [ Links ]
[20] D. M. Sable, R. B. Ridley, B. H. Cho, "Comparison of performance of single-loop and current-injection-control for PWM converters which operate in both continuous and discontinuous modes of operation," Power Electronics Specialists Conference, PESC '90 Record, 21st Annual IEEE, pp.74-79, 11-14 Jun 1990. [ Links ]
[21] Y.S. Jung, J.Y. Lee, M.J. Youn, "A new small signal modeling of average current mode control," Power Electronics Specialists Conference, IEEE PESC 1998, vol.2, pp.1118-1124, 17-22 May 1998. [ Links ]
[22] D. N. Zmood, D. G. Holmes, "Stationary frame current regulation of PWM inverters with zero steady-state error," Power Electronics, IEEE Transactions on, vol.18, no.3, pp. 814-822, May 2003. [ Links ]
[23] B.C. Kuo, F. Golnaraghi, "Automatic control systems," Hoboquen: John Wiley & Sons, 2002. [ Links ]
[24] V. Kaura, V. Blasko, "Operation of a phase locked loop system under distorted utility conditions," Industry Applications, IEEE Transactions on, vol.33, no.1, pp.58-63, Jan-Feb 1997. [ Links ]
[25] S. M. Silva, B. M. Lopes, B. J. Filho, R. P. Campana, W. C. Bosventura, "Performance evaluation of PLL algorithms for singlephase grid-connected systems," Industry Applications Conference, 2004. 39th IAS Annual Meeting. Conference Record of the 2004 IEEE, vol.4, pp. 2259-2263, 3-7 Oct. 2004. [ Links ]





























































