Services on Demand
Journal
Article
Indicators
-
Cited by SciELO -
Access statistics
Related links
-
Cited by Google -
Similars in
SciELO -
Similars in Google
Share
Tecnura
Print version ISSN 0123-921X
Tecnura vol.20 no.48 Bogotá Apr./June 2016
https://doi.org/10.14483/udistrital.jour.tecnura.2016.2.a05
DOI: http://dx.doi.org/10.14483/udistrital.jour.tecnura.2016.2.a05
Algoritmos para asignación de espectro en redes de radio cognitiva
Algorithms for spectrum allocation in cognitive radio networks
Cesar Hernández1, Luis Fernando Pedraza Martínez2, Fredy Hernán Martínez Sarmiento3
1 Ingeniero electrónico, magíster en ciencias de la información y las comunicaciones, candidato a doctor en Ingeniería de Sistemas y Computación de la Universidad Nacional de Colombia. Docente e investigador de la Universidad Distrital Francisco José de Caldas, Bogotá, Colombia. Contacto: cahernandezs@udistrital.edu.co
2 Ingeniero Electrónico, Magister en Ciencias de la Información y las Comunicaciones, Candidato a doctor en Ingeniería de Sistemas y Computación en la Universidad Nacional de Colombia. Docente de la Universidad Distrital Francisco José de Caldas. Bogotá, Colombia. Contacto: lfpedrazam@udistrital.edu.co
3 Ingeniero Eléctrico, especialista en Gestión de Proyectos de Ingeniería, candidato a doctor en Ingeniería de Sistemas y Computación de la Universidad Nacional de Colombia. Docente de la Universidad Distrital Francisco José de Caldas, Bogotá, Colombia. Contacto: fhmartinezs@udistrital.edu.co
Fecha de recepción: 7 de octubre de 2015 Fecha de aceptación: 15 de febrero de 2016
Cómo citar: Hernández, C., Pedraza Martínez, L. F., & Martínez Sarmiento, F. H. (2016). Algoritmos para asignación de espectro en redes de radio cognitiva. Revista Tecnura, 20(48), 69-88. doi: 10.14483/udistrital.jour.tecnura.2016.2.a05
Resumen
Contexto: La asignación de espectro en las redes de radio cognitiva es un aspecto clave para reducir la latencia, incrementar la tasa de datos, aumentar el ancho de banda, mejorar la capacidad y cobertura, y optimizar el uso del espectro, garantizando la calidad de servicio necesaria para aplicaciones de tiempo-real y mejor-esfuerzo.
Objetivo: Este artículo presenta una revisión sobre los algoritmos de asignación de espectro en redes de radio cognitiva, describiendo los algoritmos de asignación de espectro más relevantes y su clasificación de acuerdo con la literatura actual.
Método: El desarrollo de esta revisión se realizó a partir del análisis de publicaciones recientes de corriente principal con sus respectivas citas, tratando de proveer un marco referencial de la literatura actual sobre los algoritmos de asignación de espectro en redes de radio cognitiva.
Resultados: Los principales resultados determinan la importancia de una asignación de espectro inteligente, teniendo en cuenta la carga de tráfico, el comportamiento del usuario, los niveles de interferencia, la caracterización del espectro, el tipo de aplicación y la necesidad de múltiples canales de frecuencia.
Conclusión: Como conclusión es importante diseñar algoritmos adaptativos que permitan hacer un uso eficiente de las porciones disponibles del espectro licenciado.
Palabras clave: algoritmo, asignación de espectro, radio cognitiva, redes inalámbricas, toma de decisiones.
Abstract
Context: Spectrum allocation in cognitive radio networks is a key aspect to reduce latency, increase data rate, increase bandwidth, improve capacity and coverage, and optimize the use of the spectrum, guaranteeing the quality of service required applications and best-effort and real-time.
Objective: This paper aims to present a review of the algorithms for spectrum allocation in cognitive radio networks, describing the relevant algorithms for spectrum allocation and its classification according to the current literature.
Method: The development of this review was conducted based on the analysis of recent publications of mainstream with their respective appointments, trying to provide a complete reference framework of the current literature on the algorithms for spectrum allocation in cognitive radio networks.
Results: The main results determine the importance of smart spectrum allocation, taking into account the traffic load, user behavior, interference levels, spectral characterization, the type of application and the need for multiple frequency channels.
Conclusion: In conclusion it is important to design adaptive algorithms to make efficient use of the available portions of the licensed spectrum.
Keywords: algorithm, spectrum allocation, cognitive radio, wireless networks, decision-making.
Introducción
La gran diversidad de redes inalámbricas y la alta demanda de aplicaciones para estas, especialmente en el campo de las comunicaciones móviles, junto a las políticas de asignación fija del espectro radioeléctrico han reducido significativamente la cantidad de bandas de frecuencia disponibles para su licenciamiento (Hemández, Pedraza, Páez, & Rodriguez-Colina, 2015). Sin embargo, algunos estudios (Cabric, Mishra, & Brodersen, 2004; Valenta et al., 2010; Working, 2015) han demostrado que la mayoría de las bandas licenciadas del espectro radioeléctrico son subutilizadas en el dominio del tiempo y del espacio, lo que resulta en oportunidades espectrales (SO), las cuales son canales de frecuencia disponibles ya que no están siendo utilizados por los usuarios licenciados en el dominio tiempo-frecuencia. El uso del espectro se hace principalmente alrededor de ciertas bandas, mientras que una cantidad considerable del espectro está subutilizado. La Comisión Federal de Comunicaciones (FCC), de Estados Unidos, ha informado variaciones temporales y geográficas en el uso del espectro en un rango de 15 a 85 % (Working, 2015).
Con el objetivo de lograr un uso más eficiente del espectro, la tecnología de radio cognitiva (CR) propone realizar una asignación dinámica del espectro (DSA). Esto consiste en que usuarios no licenciados, también denominados usuarios secundarios (SU) o usuarios de radio cognitiva, recurran a las SO en bandas de frecuencia licenciadas, la cuales son asignadas a usuarios licenciados, también denominados usuarios primarios (PU), sin interrumpir ningún proceso de estos últimos en dichas bandas. Para lograr lo anterior, la CR interactúa de forma dinámica con el entorno y realiza la modificación de los parámetros de funcionamiento necesarios, con el objetivo de aprovechar oportunamente el espectro no utilizado sin interferir con los PU (Haykin, 2005; Mitola y Maguire, 1999).
La SO (también denominados espacios en blanco o huecos espectrales) que el SU seleccionará para realizar su transmisión de información, es importante para garantizar la calidad de servicio en las redes de radio cognitiva (CRN). Cuando no se selecciona adecuadamente dicha SO, es posible que la transmisión de datos del SU deba pausarse, debido a que se hace necesario realizar un cambio de frecuencia por diversas razones; por ejemplo, que el canal está próximo a ser ocupado por un PU o que el canal tiene una baja calidad, entre otras. Esto provoca un aumento significativo del retardo que al final incide de forma directa en el nivel de desempeño y calidad de servicio de la comunicación del SU (Ian F. Akyildiz, Lee, & Chowdhury, 2009). De acuerdo con lo anterior, seleccionar un canal con las características requeridas sobre el cual un SU pueda continuar su sesión de transmisión de datos es un asunto apremiante en las CRN (Christian, Moh, Chung, & Lee, 2012). Una pobre selección de canal puede causar múltiples handoff espectrales, degradando el desempeño de todo el conjunto (Christian et al., 2012; Hernandez, Salgado, López, & Rodriguez-Colina, 2015; Hernandez-Guillen, Rodriguez-Colina, Marcelín-Jiménez, & Chalke, 2012).
Este trabajo presenta una revisión sobre los algoritmos de asignación de espectro (SA) en CRN, y describe los algoritmos de SA (selección de frecuencia disponible u oportunidad espectral) más relevantes y su clasificación de acuerdo con la literatura actual. Los principales resultados de esta revisión determinan la importancia de una SA inteligente, teniendo en cuenta la carga de tráfico, el comportamiento del usuario, los niveles de interferencia, la caracterización del espectro, el tipo de aplicación y la necesidad de múltiples canales de frecuencia.
El resto del artículo está estructurado como sigue. En la sección "Radio cognitiva" se realiza una descripción del concepto de CR. En la "Algoritmos de asignación de espectro" se describen los algoritmos de SA para CRN más relevantes y su clasificación. En "Análisis comparativo" se realiza una comparación de los algoritmos de SA descritos en la sección anterior. En la sección "Desafíos de investigación" se mencionan algunos de los retos de investigación en el área de la SA. Por último, se presentan las conclusiones.
RADIO COGNITIVA
De acuerdo con la Administración Nacional de la Información y las Comunicaciones (NTIA), de Estados Unido, la RC es una radio o sistema que detecta su entorno electromagnético de operación y puede ajustar de forma dinámica y autónoma sus parámetros de operación de radio para modificar la operación del sistema, maximizar el rendimiento, reducir la interferencia y facilitar la interoperabilidad (Commission, 2003).
La RC tiene la capacidad de proveer ancho de banda a usuarios móviles, a través de arquitecturas inalámbricas heterogéneas, aumentando significativamente la eficiencia espectral, debido a que permite que el SU comparta el espectro de manera oportunista con el PU (Cabric et al., 2004), a partir de las SO, como se muestra en la figura 1.
Ciclo cognitivo
La tecnología de RC en el contexto de DSA permitirá a los usuarios, 1) determinar qué porción del espectro está disponible y detectar la presencia de PU cuando un usuario opera en una banda con licencia (detección del espectro); 2) seleccionar el mejor canal disponible (decisión de espectro); 3) coordinar el acceso a este canal con otros usuarios (compartir el espectro), y 4) desocupar el canal cuando se detecta un PU (movilidad de espectro). Estas cuatro funciones conforman el ciclo cognitivo (figura 2) se describen a continuación (Ian F. Akyildiz, Lee, Vuran, & Mohanty, 2006; Ian F. Akyildiz et al., 2009; Dejonghe, Van Wesemael, Pavloski, & Chomu, 2011; Gavrilovska, Atanasovski, Macaluso, & Dasilva, 2013).
Detección de espectro
En las bandas licenciadas los SU, solo pueden ser asignados a SO, donde no interfieran con los PU. Por tanto, es necesario que los SU estén monitorizando las bandas de espectro disponibles, capturando su información y después detectando dichas SO (Akyildiz, Lee y Chowdhury, 2009). Actualmente existen varias técnicas para la detección de espectro, las cuales se clasifican como se muestra en la figura 3, siendo la detección de energía la más básica de ellas.
Decisión de espectro
Después de que las SO han sido identificadas, los SU deben seleccionar la más adecuada y lo más rápido posible para un esquema reactivo, mientras que para un esquema proactivo se puede tener en cuenta los requerimientos de calidad de servicio (QoS), políticas internas y posiblemente externas, debido a que puede esperar un tiempo mayor. Para tomar la anterior decisión se han desarrollado algoritmos que tienen en cuenta las características del canal de radio y el comportamiento estadístico de los PU, entre otros factores (Akyildiz, Lee y Chowdhury, 2009).
Compartición de espectro
Debido a que múltiples SU pueden intentar acceder al espectro, la función de compartición de espectro proporciona la capacidad de compartir este recurso e información con múltiples SU, coordinando sus transmisiones para evitar colisiones e interferencias (Akyildiz, Lee, Vuran y Mohanty, 2006, 2008; Akyildiz, Lee y Chowdhury, 2009; Börgers y Dustmann, 2003; Christian, Moh, Chung y Lee, 2012; Federal Communications Commission, 2003; Dejonghe, Van Wesemael, Pavloski y Chomu, 2011; Etkin, Parekh y Tse, 2007; Hernández, Giral y Santa, 2015; Hernández-Guillén, Rodríguez-Colina, marcelín-Jiménez y Chalke, 2012).
Movilidad de espectro
Los SU son considerados visitantes en el espectro. Si los PU necesitan una parte específica del espectro o las condiciones del canal se deterioran, los SU deben dejar el canal de frecuencia que están utilizando y continuar su comunicación en otra SO (Akyildiz. Lee y Chowdhury, 2009). Esta función debe garantizar que se genere la movilidad lo más rápido posible.
ALGORITMOS DE ASIGNACIÓN DE ESPECTRO
Una vez que todas las bandas de espectro disponibles se caracterizan, se debe seleccionar la banda del espectro que más se acerca a los requerimientos para la transmisión, teniendo en cuenta los requisitos de QoS y las características del espectro. Por tanto, la función de gestión del espectro debe conocer los requisitos de QoS del usuario. A partir de las necesidades de los usuarios se puede determinar la velocidad de datos, la tasa de error aceptable, el retardo permitido, el modo de transmisión y el AB para la transmisión. Entonces, puede ser elegido el conjunto de bandas del espectro apropiado, de acuerdo con las reglas de decisión y los algoritmos que evalúan las posibles soluciones. En Zheng y Cao (2005), se presentan cinco reglas de decisión del espectro que se centran en la equidad y el costo de la comunicación. Sin embargo, este método asume que todos los canales tienen una capacidad de rendimiento similar (Akyildiz, Lee, Vuran y Mohanty, 2006). Lo ideal es ajustarse a los requerimientos que imponen las distintas aplicaciones. En Kanodia, Sabharwal y Knightly (2004) se propone un protocolo de saltos de canal de frecuencia oportunista para la búsqueda de un canal de mejor calidad, esta decisión del canal se basa en la SNR. Con el fin de tener en cuenta la actividad del PU, se toma en cuenta para la decisión del espectro el número de transferencias del espectro y lo que ocurre en una determinada banda del espectro (Krishnamurthy, Thoppian, Venkatesan y Prakash, 2005). La decisión de espectro constituye un tema importante que sigue abierto a la investigación.
Los tópicos más relevantes dentro de la SA para CRN son: 1) los criterios de decisión que se deben tener en cuenta para seleccionar una SO; 2) los enfoque que se deben tener en cuenta de acuerdo con las características de la red; 3) los algoritmos que seleccionan la SO con base en los criterios de decisión designados y el tipo de enfoque; 4) las métricas de evaluación que estiman el nivel de desempeño de los algoritmos desarrollados; y 5) los desafíos de investigación que actualmente presenta el tema de la SA en CRN (figura 4).
En este trabajo se propone una clasificación de los algoritmos para la selección de las SO, la cual agrupa los algoritmos de SA en seis clases: 1) toma de decisiones multicriterio (MCDM), 2) algoritmos inteligentes, 3) técnicas de aprendizaje, 4) funciones de decisión, 5) contexto y 6) estadísticos (figura 5).
Algoritmos para toma de decisiones multicriterio (MCDM)
El problema de SA tiene múltiples variables a analizar para seleccionar una sola SO, por tanto, los algoritmos basados en toma de decisiones multicriterio (MCDM) son ampliamente usados en este tipo de problemas, donde la relación entre los criterios de decisión son medidos a través de pesos que son ajustados según los requerimientos del diseñador. Al cabo de cierto número de iteraciones, el algoritmo determinará la mejor solución (Hernández, Giral y Páez, 2015a).
Simple additive weighting (SAW)
Este algoritmo desarrolla una matriz de decisión conformada por atributos y alternativas, para cada intersección de la matriz el algoritmo asigna un peso de acuerdo con los criterios del diseñador. Esto permite establecer una calificación para las SO evaluadas, y obtener así un ranking de todas las alternativas. La SO con mayor puntaje será la seleccionada (Hernández, Giral y Páez, 2015a; Ramírez y Ramos, 2010).
La alternativa Ai está definida por la ecuación 1 (Ramírez y Ramos, 2013).
Donde ri,j pertenece a la matriz y la suma de los pesos es 1.
Los pasos para desarrollar este algoritmo son: 1) identificar los objetivos y alternativas; 2) evaluar las alternativas; 3) determinar los pesos de cada combinación; 4) adicionar los valores agregados según las preferencias, y 5) analizar la sensibilidad (Hernández, Giral y Páez, 2015a; Hübner, 2007; Ramírez y Ramos, 2010, 2013).
Hernández, Giral y Santa (2015) utilizan SAW para seleccionar la mejor SO en una banda de frecuencia GSM, de esta manera evalúan la cantidad de handoff realizados y comparando los resultados con otros dos algoritmos de SA.
Multiplicative exponent weighting (MEW)
MEW es otro algoritmo MCDM, muy similar a SAW. La principal diferencia es que en MEW en lugar de suma hay multiplicación. Fue propuesto para SA por Stevens y Wong (2006). En MEW la calificación de las SO es determinada por el producto de los pesos de los criterios de decisión. El puntaje Si de la SO i es determinada por la ecuación 2 (Hernández, Giral y Páez, 2015a; Hernández, Giral y Santa, 2015; Hübner, 2007; Ramírez y Ramos, 2010, 2013; Stevens, Martinez y Pineda, 2012; Stevens y Wong, 2006).
Donde Xij denota el criterio j de la SO i, Wj denota el peso del criterio j, y
.
Es necesario tener en cuenta que en (2) Wj es una potencia positiva para una métrica de beneficio y negativa para una métrica de costo.
Hernández, Giral y Páez (2015b) utilizan MEW para seleccionar la mejor SO en una banda de frecuencia de comunicaciones móviles; evalúan el nivel de throughput y ancho de banda, y comparan los resultados con otros dos algoritmos de SA.
Elimination and choice expressing the reality (ELECTRE)
Electre es un MCDM que realiza comparaciones entre parejas de alternativas, para lo cual utiliza cada uno de los atributos por separado para establecer relaciones entre las alternativas (Valenta et al., 2010). Se propuso inicialmente para la SA en (Christian, Moh, Chung y Lee, 2012). En general, Electre utiliza un vector de criterios de referencia para ajustar los valores iniciales de los atributos de las alternativas (oportunidades espectrales) antes de compararlas. El valor de cada uno de los criterios en la matriz de decisión se compara con el correspondiente valor de criterio de referencia
. La diferencia entre los dos valores se calcula de acuerdo con la ecuación 3 (Stevens, Martínez y Pineda, 2012).
Con el objetivo de comparar las alternativas espectrales, se introducen los conceptos de concordancia y discordancia, que son medidas de satisfacción e insatisfacción del algoritmo cuando una alternativa es comparada con otra. La alternativa con el valor más alto de concordancia neta y el valor más bajo de discordancia neta será la preferida (Stevens, Martínez y Pineda, 2012).
Grey relational analysis (GRA)
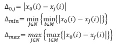
El objetivo de este algoritmo es establecer las redes candidatas y seleccionar las que tengan más alta puntuación de acuerdo con unos parámetros definidos. Para lograr esto se establecen relaciones de Grey entre elementos de dos series: la primera contiene las mejores cualidades, mientras que la otra contiene entidades comparativas. Acá es parte importante el coeficiente de Grey, que se usa para describir las relaciones entre las series, calculado a partir del nivel de similitud y variabilidad (Hernández, Giral y Páez, 2015b; Hernández, Giral y Santa, 2015; Hernández, Páez y Giral, 2015; Hübner, 2007; Ramírez y Ramos, 2010, 2013; Stevens, Martínez y Pineda, 2012; Stevens y Wong, 2006).
En GRA primero se genera el vector de referencia Xo, de la matriz X, a través de la escogencia de los valores mínimos para los costos y los valores máximos para los criterios de beneficios. Después, la secuencia de datos debe ser normalizada para X de acuerdo con tres situaciones: más grande el mejor, más pequeño el mejor o nominal el mejor. Luego, se calcula el coeficiente relacional de Grey como lo describe la ecuación 4 (Hernández et al., 2015).
Donde,
Hernández et al. (2015) utilizan GRA para seleccionar la mejor SO en el enlace ascendente de la banda de frecuencia GSM, evalúan el nivel de bloqueos de handoff y comparan los resultados con otros dos algoritmos de SA.
Technique for order preference by similarity to ideal solution (TOPSIS)
El desarrollo de este algoritmo se basa en la determinación de dos componentes: la solución ideal del sistema, y la solución que no puede ser aceptada en ninguna situación. Para lograrlo, es necesario comparar los resultados para determinar qué solución es la más cercana posible a la ideal, y cual la más lejana (la cual no será aceptada). Dicha métrica se obtiene a partir de la distancia euclidiana (Hernández, Giral y Páez, 2015a; Ramírez y Ramos, 2010).
El procedimiento del algoritmo Topsis se describe en Hernández, Giral y Páez (2015a); Ramírez y Ramos (2010, 2013). Inicialmente se construye la matriz de decisión X y se normaliza usando el método de raíz cuadrada, luego se determina la solución ideal y la peor solución. Después, para cada alternativa se calcula la distancia euclidiana D, y por último, las alternativas son organizadas en orden descendente de acuerdo con el índice de preferencia dado por la ecuación 5.
Hernández, Vasquez y Páez (2015) utilizan Topsis para seleccionar la mejor SO, evalúan el nivel de interferencia por canal adyacente y el número promedio de handoff realizados; los resultados son comparados con otro algoritmo y sus respectivas versiones, al combinarlos con tres algoritmos de predicción basados en series de tiempo.
Multi-criteria optimization and compromise solution (VIKOR)
"El método Vikor asume que cada alternativa es evaluada de acuerdo con cada función de criterio, y la clasificación puede ser desarrollada a través de la comparación de las medidas que estén más cercanas a la alternativa ideal" (Hernández et al., 2015; Cesar Hernández, Vasquez, et al., 2015; Tanino, Tanaka y Inuiguchi, 2003). Vikor fue desarrollado para lograr la optimización de sistemas complejos con múltiples criterios, por tanto, es hábil para determinar el compromiso en una lista de ranking, aun en presencia de criterios en conflicto, lo que lo hace un algoritmo adecuado para la toma de decisiones en la SA (Gallardo, Pineda y Stevens, 2009).
El algoritmo Vikor sigue los pasos descritos por Hernández, Giral y Páez (2015b); Hernández et al. (2015); Ramírez y Ramos (2010), y Stevens, Martínez y Pineda (2012). Para cada criterio de decisión se determina el mejor y peor valor teniendo en cuenta si son beneficios o costos. Luego se calculan los valores de Qi para i= 1, 2, 3, …, M, dado por la ecuación 6.
Dados los valores de Q para todos los i pertenecientes a M, se clasifican de mayor a menor las SO candidatas. Finalmente, la SO seleccionada está dada por el Q óptimo.
Hernández et al. (2015) utilizan Vikor para seleccionar la mejor SO en el enlace ascendente de la banda de frecuencia GSM, evalúan el nivel de bloqueos de handoff y comparan los resultados con otros dos algoritmos de SA.
Analytical hierarchical process (AHP)
AHP se basa en comparaciones sobre la importancia entre los criterios de decisión escogidos para la selección de una alternativa, siendo esta más una medida relativa que un valor absoluto (Saaty, 1990).
En la metodología de diseño del algoritmo AHP, el primer paso es definir el problema, descomponiéndolo a su vez en objetivo, criterios y alternativas. El segundo paso es la construcción de la jerarquía de acuerdo con la definición del problema.
Una vez construida la jerarquía se procedió a realizar las matrices de juicios, las cuales corresponden a evaluaciones comparativas que definen el nivel de importancia relativa entre cada combinación posible de parejas de criterios. Con las matrices de juicios definidas se procede, por último, a calcular los pesos normalizados para cada criterio, como lo describe la ecuación 7 (Hernández, Giral y Páez, 2015a).
Donde,
r es el vector de valores propios,
r1,r2...rn, es el valor de los pesos de cada subcriterio,
Vi es la media geométrica de la fila i, y
Vj es la media geométrica de la columna j.
Hernández, Giral y Páez (2015a) utilizan AHP para seleccionar la mejor SO en la banda de frecuencia GSM, calculan el desempeño del algoritmo con base en cinco métricas de evaluación y comparan los resultados con otros cinco algoritmos de SA.
Fuzzy analytical hierarchical process (FAHP)
La lógica difusa es una herramienta particularmente apropiada para tomar decisiones en situaciones donde las entradas disponibles son en general inciertas e imprecisas o cualitativamente interpretadas. La lógica difusa también puede transformar información cualitativa y heterogénea en valores de membrecía homogéneos, los cuales pueden ser procesados a través de un conjunto de reglas de inferencia difusa apropiadas (Akyildiz, Lee, Vuran y Mohanty, 2006, 2008; Akyildiz, Lee y Chowdhury, 2009; Federal Communications Commission, 2003; Dejonghe, Van Wesemael, Pavloski y Chomu, 2011; Etkin, Parekh y Tse, 2007; Gallardo, Pineda y Stevens, 2009; Giupponi y Pérez, 2008; Hernández et al., 2015; Hernández, Giral y Páez, 2015a, 2015b; Hernández, Giral y Santa, 2015; Hernández, Vasquez y Páez, 2015; Hübner, 2007; Kanodia, Sabharwal y Knightly, 2004; Krishnamurthy, Thoppian, Venkatesan y Prakash, 2005; Ramírez y Ramos, 2010, 2013; Saaty, 1990; Stevens, Martínez y Pineda, 2012; Stevens y Wong, 2006; Tanino, Tanaka y Inuiguchi, 2003; Tragos, Zeadally, Fragkiadakis y Siris, 2013; Zheng y Cao, 2005). Estas ventajas de la lógica difusa se combinan con el algoritmo AHP, obteniendo el método FAHP (Cortés, Serna y Jaimes, 2012; Patil y Kant, 2014).
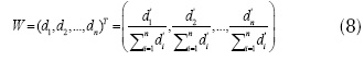
Aunque el método FAHP tenga en esencia la misma metodología del algoritmo AHP, la lógica difusa ayuda a tratar la subjetividad y la incertidumbre en las evaluaciones de criterios, ya que con la lógica difusa, mediante un proceso matemático, permite utilizar un rango en la respuesta en lugar de un número puntual (Akyildiz, Lee, Vuran y Mohanty, 2006, 2008; Akyildiz, Lee y Chowdhury, 2009; Federal Communications Commission, 2003; Dejonghe, Van Wesemael, Pavloski y Chomu, 2011; Etkin, Parekh y Tse, 2007; Gallardo, Pineda y Stevens, 2009; Giupponi y Pérez, 2008; Hernández et al., 2015; Hernández, Giral y Páez, 2015a, 2015b; Hernández, Giral y Santa, 2015; Hernández, Vasquez y Páez, 2015; Hübner, 2007; Kanodia, Sabharwal y Knightly, 2004; Krishnamurthy, Thoppian, Venkatesan y Prakash, 2005; Ramírez y Ramos, 2010, 2013; Saaty, 1990; Stevens, Martínez y Pineda, 2012; Stevens y Wong, 2006; Tanino, Tanaka y Inuiguchi, 2003; Tragos, Zeadally, Fragkiadakis y Siris, 2013; Zheng y Cao, 2005). En el algoritmo FAHP, después de la normalización, el vector de pesos está dado por la ecuación (8).
Recientemente el algoritmo FAHP ha sido utilizado ampliamente para resolver problemas de decisión multicriterio en varias aéreas. Hernandez, Pedraza, Páez y Rodríguez (2015) utilizan FAHP para realizar SA en CRN.
Algoritmos inteligentes
La inteligencia artificial tiene como objetivo hacer que las maquinas realicen tareas de una manera similar a un experto. La máquina inteligente percibirá la toma de decisiones y de esta manera maximizará su propia utilidad (Woods, 1986). De tal manera, esta tendrá que prever los principales desafíos como la deducción, el razonamiento, la representación de las problemáticas para finalmente dar solución a los problemas como fuente de entradas principales de estudio (Abbas, Nasser y Ahmad, 2015).
En relación a la CR, los principales retos para las subáreas de la inteligencia artificial son: la detección de la frecuencia disponible de radio, la calidad del canal de comunicación, el reconocimiento, la predicción y anticipación en la toma de decisiones y, por último, pero no menos importante, la decisión sobre la asignación de recursos para el ajuste de errores de transmisión y recepción de datos (Abbas, Nasser y Ahmad, 2015).
Lógica difusa
La lógica difusa resulta ser una posición relativa desde el observador principal, sin embargo, las conclusiones de la técnica están respaldas por métricas iniciales que describen el conjunto de valores admisibles de una muestra. De tal manera, la lógica difusa aunque con una tasa de estudio aleatoria permite obtener valores diferentes a los supuestos de verdadero o falso (Gavrilovska, Atanasovski, Macaluso y Dasilva, 2013).
La lógica difusa proporciona al sistema, razonamiento aproximado mediante conjuntos de reglas, teniendo la capacidad de obtener condiciones de incertidumbre mediante la predicción de consecuencias, además de la capacidad de adaptarse a nuevas situaciones (Abbas, Nasser y Ahmad, 2015; Dadios, 2012; Gavrilovska, Atanasovski, Macaluso y Dasilva, 2013).
Diferentes investigaciones (Abbas, Nasser y Ahmad, 2015; Hernandez, Pedraza, Páez y Rodríguez, 2015; Matinmikko, Del Ser, Rauma y Mustonen, 2013) han aplicado la teoría de lógica difusa en la CR para resolver los problemas en función de la asignación del ancho de banda, estudiando de antemano la interferencia y la administración de la energía, los anteriores como métodos de evaluación en la correcta SA. No obstante, diferentes resultados de estudios han detallado tópicos como la inferencia difusa centralizada, que asigna los anchos de banda correspondientes a la intensidad de tráfico y la prioridad del servicio. Así pues, esta última detalla cómo los SU tienen que presentar solicitudes de ancho de banda al administrador primario de la red (Abbas, Nasser y Ahmad, 2015). Del mismo modo el administrador analiza el tráfico desde la cola y verifica los retardos producidos por la demora en la transmisión de paquetes. En otras palabras se determina la latencia para el acceso a SU (Abbas, Nasser y Ahmad, 2015).
Algoritmos genéticos
Su principal campo de acción se encuentra inmerso en la optimización y búsqueda de soluciones, inspirado en la evolución genética y la selección natural de las especies por naturaleza (Goldberg y Holland, 1988). Los algoritmos evolutivos forman parte de las ciencias de la computación y su principal enfoque está determinado en la inteligencia artificial; siguiendo la terminología de la teoría de la evolución. Así pues, es común encontrar definiciones de los cromosomas y funciones de aptitud como descriptores de un algoritmo genético, en donde los cromosomas, son representaciones abstractas de las soluciones candidatas y la función de aptitud está estrechamente relacionada con el objetivo del algoritmo para los procesos de optimización (He et al., 2010).
La ventaja de utilizar algoritmos genéticos para solucionar el problema de optimización de la SA en CR es que pueden manejar restricciones y objetivos de forma arbitraria, por ejemplo, las soluciones ineficientes son simplemente descartadas por el algoritmo. Del Ser, Matinmikko, Gil y Mustonen, 2010) se utiliza la técnica búsqueda de armonía para encontrar la asignación de canal óptima. El algoritmo genético construye un vector de asignación de canales (llamados armonías); inicialmente se realizan combinaciones y mutaciones de forma inteligente y, luego, en la evaluación se almacenan las mejores armonías (Tragos, Zeadally, Fragkiadakis y Siris, 2013).
Sistemas multiagentes
Los sistemas multiagente (MAS) se consideran una entidad inteligente y consciente del entorno que es capaz de actuar hábilmente y genera comunicación de forma independiente. MAS está relacionado con el ambiente, los objetivos, otros agentes y las diferentes relaciones entre esas entidades, por lo que los MAS son rápidos, confiables y flexibles (Abbas, Nasser y Ahmad, 2015; Ferber, 1999; Wooldridge, 2009).
Trigui, Esseghir y Merghem (2012) se introdujo un concepto novedoso para direccionar el "espectro de transición" en CR, permitiendo a los terminales cambiar a un banda espectral que ofrezca mejores condiciones mediante una negociación usando MAS. Mir, Esseghir y Gaiti (2011) usaron MAS para compartir dinámicamente el espectro en CR. De acuerdo con las necesidades de SU, los agentes SU cooperan y comunican con los agentes PU para compartir el espectro.
Colonia artificial de abejas
La colonia artificial de abejas (ABC) está compuesta por tres grupos: abejas empleadas, abejas exploradoras y abejas observadoras. El objetivo es determinar las ubicaciones de las mejores fuentes de alimento, para ello las abejas empleadas buscarán las fuentes de alimento y si la cantidad de néctar de la nueva fuente es mayor que una anterior, esta memorizará las nuevas posiciones, olvidándose de la anterior. Las abejas empleadas son iguales al número de fuentes de alimento, las abejas observadoras comparten la información de las fuentes de alimento y las abejas exploradoras buscan nuevas fuentes de alimentos, abandonando la propia (Tragos, Zeadally, Fragkiadakis y Siris, 2013).
Cheng y Jiang (2011) el problema de SA se resuelve utilizando el algoritmo ABC, la ubicación de una abeja o espectador representa una posible asignación de canal y la cantidad de néctar es la utilidad que se maximiza.
Técnicas de aprendizaje autónomo
El aprendizaje autónomo tiene como objetivo principal el autoaprendizaje computacional, en el que las técnicas de análisis pueden ser programadas de forma autónoma a través de la inducción del conocimiento, y donde la información objeto de estudio está disponible a partir de grandes conjuntos de datos, dispuestos a ser analizados para la consecución objetiva de resultados (Abbas, Nasser y Ahmad, 2015).
No supervisado
El aprendizaje no supervisado puede ser adecuado para las CR que operen en entornos desconocidos de radiofrecuencia (Jayaweera y Christodoulou, 2011). Para este caso, los algoritmos de aprendizaje sin supervisión autónoma permiten la exploración de las características del entorno y toman acciones por sí mismos sin tener ningún conocimiento previo (Jayaweera y Christodoulou, 2011). Sin embargo, si la CR tiene información previa sobre el medio ambiente, puede aprovechar este conocimiento mediante el uso de técnicas de aprendizaje supervisado (Bkassiny, Li y Jayaweera, 2013).
Aprendizaje por refuerzo: Es una técnica que permite a un agente modificar su comportamiento mediante la interacción con su entorno (Sutton y Barto, 1998). Esta herramienta puede ser utilizada por los agentes para aprender de forma autónoma y sin supervisión. En este caso, la única fuente de conocimiento es la retroalimentación que un agente recibe de su entorno después de ejecutar una acción. Dos características principales caracterizan el aprendizaje por refuerzo: 1) ensayo y error y 2) recompensa retardada. Por ensayo y error se supone que un agente no tiene ningún conocimiento previo sobre el medio ambiente, y ejecuta acciones ciegamente con el fin de explorar el entorno. La recompensa retardada es la señal de realimentación que un agente recibe del entorno después de la ejecución de cada acción (Bkassiny, Li y Jayaweera, 2013).
El aprendizaje por refuerzo ha sido incorporado en la CR específicamente en las telecomunicaciones móviles. Abbas, Nasser y Ahmad (2015) muestran la capacidad de implementar un sistema de errores y recompensas en función de cada decisión, optimizando el desempeño en la toma decisiones para la administración del espectro electromagnético.
Teoría de juegos: Es una herramienta matemática que pretende modelar el comportamiento de entidades racionales en un entorno conflictivo (Fudenberg y Tirole, 1991). En las comunicaciones inalámbricas, la teoría de juegos se ha aplicado a las redes de comunicación de datos, para modelar y analizar encaminamiento y la asignación de recursos en entornos competitivos (Bkassiny, Li y Jayaweera, 2013).
La teoría de juegos es utilizada como una herramienta en la que varios jugadores se enfrentan a una serie de situaciones en donde deben tomar medidas que, en la mayoría de los casos, pueden afectar los intereses de los otros (Abbas, Nasser y Ahmad, 2015). Una ventaja clave de la aplicación de soluciones de teoría de juegos a los protocolos CR es en la reducción de la complejidad de los algoritmos de adaptación en grandes CRN (Bkassiny, Li y Jayaweera, 2013). En la literatura actual existen varios trabajos sobre la aplicación de la teoría de juegos en la CR (Ji y Liu, 2007; Nisan, Roughgarden, Tardos y Vazirani, 2007; Zhao, Mao, Neel y Reed, 2009).
Supervisado
El aprendizaje supervisado se usa cuando los datos de entrenamiento están etiquetados, es decir, se conoce información a priori acerca del ambiente. Algoritmos de entrenamiento, como arboles de decisión, redes neuronales, máquinas de soporte vectorial y razonamiento basado en casos funcionan bien para este tema. Difieren ellos mismos en sus fortalezas y limitaciones, desafíos y aplicaciones referentes a la CR (Abbas, Nasser y Ahmad, 2015).
Redes neuronales: Las redes neuronales se asemejan al cerebro en dos aspectos (Haykin, 1998): 1) el conocimiento es adquirido por la red de su entorno a través de un proceso de aprendizaje, y 2) las fuerzas de conexión interneuronas, conocidas como pesos sinápticos, se utilizan para almacenar el conocimiento adquirido. Algunas de las capacidades y ventajas de las redes neuronales incluyen el modelado de comportamientos no lineales y la capacidad de adaptación ante cambios pequeños, y su principal desventaja es la necesidad de realizar un entrenamiento bajo diferentes condiciones del entorno (Bkassiny, Li y Jayaweera, 2013).
Taj y Akil (2011) presentan una metodología para predecir el comportamiento del espectro. La actividad del PU es modelada a través de una serie de tiempo caótica multivariable, la cual se convierte en una entrada a la red neuronal, y esta última predice la evolución de la serie de tiempo para decidir si el SU puede ocupar una SO determinada (Bkassiny, Li y Jayaweera, 2013).
Máquina de soporte vectorial (MSV): Las máquinas de soporte vectorial son el conjunto de algoritmos que tienen la capacidad de aprender bajo la supervisión de un agente de software. Su principal modo de operación está en función de la regresión y la clasificación en el aprendizaje. Esta técnica es utilizada para llegar a márgenes de clasificación en un conjunto de datos, por tanto, el principal objetivo de las MSV consiste en establecer un modelo de predicción en donde una entrada incierta puede ser identificada en una categoría u otra (Abbas, Nasser y Ahmad, 2015; Bkassiny, Li y Jayaweera, 2013; Dadios, 2012; Del Ser, Matinmikko, Gil y Mustonen, 2010; Ferber, 1999; Fudenberg y Tirole, 1991; Goldberg y Holland, 1988; Han, Kamber y Pei, 2011; He et al., 2010; Ji y Liu, 2007; Matinmikko, Del Ser, Rauma y Mustonen, 2013; Mir, Esseghir y Gaiti, 2011; Nisan, Roughgarden, Tardos y Vazirani, 2007; Sutton y Barto, 1998; Taj y Akil, 2011; Trigui, Esseghir y Merghem, 2012; Wooldridge, 2009; Zhao, Mao, Neel y Reed, 2009).
En la literatura actual existen varios trabajos (Petrova, Mahonen y Osuna, 2010; Xu y Lu, 2006) sobre la aplicación de las máquinas de soporte vectorial en la CR.
Funciones de decisión
En las redes heterogéneas con facilidades de acceso ubicuo, los procesos de decisión y selección se hacen más complejos debido a que las diferentes tecnologías de acceso, por lo general, ofrecen diferentes características. De acuerdo con lo anterior, la SA llega a ser un problema con múltiples criterios y parámetros que incluyen complejos trade-offs entre criterios contradictorios. En estos casos resulta útil la aplicación de funciones de beneficio o costo (Ahmed, Boulahia y Gaiti, 2014).
Función de utilidad
La función de utilidad tiene por objetivo maximizar la satisfacción del usuario de acuerdo con ciertos parámetros y restricciones. En la SA y de gestión de decisiones, la utilidad mide el nivel de satisfacción del usuario correspondiente a un conjunto de características de una red inalámbrica, incluyendo los parámetros de recursos asignados (Ahmed, Boulahia y Gaiti, 2014). Ormond, Murphy y Muntean (2006) examinan el nivel de satisfacción del usuario mediante el empleo de una función de utilidad para aplicaciones de mejor esfuerzo.
Función de costo
La función de costo a diferencia de la función de utilidad busca minimizar el costo de ciertos parámetros teniendo en cuenta las restricciones del caso. En una SO el costo total se calcula mediante la suma del costo de los parámetros de interés como, calidad de servicio, ancho de banda, retardo y probabilidad de disponibilidad, entre otras (Ahmed, Boulahia y Gaiti, 2014). Wei, Li, Song y Song (2008) presentan una aplicación de la función de costo.
Estadísticos
Existe otro tipo de técnicas que también se han utilizado para la SA en CRN, las cuales están basadas en conceptos de estadística y probabilidad, como las redes bayesianas, las cadenas de Markov y los arboles de decisión.
Redes bayesianas
Las redes bayesianas son modelos probabilísticos gráficos que dependen de la interacción de diferentes nodos para así generar aprendizaje en cada nodo involucrado en el proceso; mediante el enfoque bayesiano, que es una técnica de aprendizaje probabilístico, se proveen inferencias exactas y se estiman modelos de probabilidad completa donde el conocimiento a priori o los resultados sean usados para construir un modelo actualizado (Bolstad, 2007; Yonghui, 2010).
Jiang, Chen y Liu (2014) usan un enfoque cooperativo para estimar el estado del canal usando aprendizaje bayesiano para resolver problema de detección multicanal.
Cadenas de Markov
Los modelos de Markov (Markov chain analysis, MCA) son usados para modelar procesos aleatorios que cambian de un estado a otro en el tiempo. Son procesos aleatorios donde el estado futuro depende del estado presente y dichos estados son visibles al observador, en contraste con los modelos ocultos de Markov (hidden Markov models, HMM), dichos estados no son visibles (Fraser, 2008). Estas cadenas generan secuencias de observaciones entre transiciones de estado, ya sea en el tiempo o en el espacio, con probabilidades fijas. El estado actual depende de los eventos previos, y sus estructuras determinan el éxito del proceso. Puede asignársele un solo paso o ser extendida a las probabilidades asociadas con cada una de las transiciones dependientes en múltiples eventos que lo preceden (Abbas, Nasser y Ahmad, 2015).
Yifei et al. (2013) usaron toma de decisiones de Markov para el DSA en CRN. Usaron HMM (cadenas ocultas de Markov) en un canal inalámbrico y predijeron el estado del canal. Las decisiones estuvieron basadas en sensibilidad espectral, selección de canal, modulación y esquemas de codificación, potencia transmitida. Pham et al. (2014) utilizaron el handoff de espectro, el cual ocurre cuando un SU requiere cambiarse a un nuevo canal disponible debido a las transmisiones continuas de los datos cuando el PU necesita de ese canal, por lo que el SU requiere estudiar el comportamiento del PU y predecir sus futuros comportamientos para asegurar la transmisión.
Arboles de decisión
Los árboles de decisión son un modelo que predice el valor de una clase objetivo, basada en diversidad de variables de entrada. En un árbol de decisión cada nodo tiene un atributo, cada rama representa el resultado de una prueba y cada hoja representa la etiqueta de una clase. Cada hoja contiene información de la etiqueta de clase (Abbas, Nasser y Ahmad, 2015; Ahmed, Boulahia y Gaiti, 2014; Bkassiny, Li y Jayaweera, 2013; Bolstad, 2007; Cheng y Jiang, 2011; Del Ser et al., 2010; Ferber, 1999; Fraser, 2008; Fudenberg & Tirole, 1991; Gavrilovska et al., 2013; Goldberg y Holland, 1988; Han, Kamber y Pei, 2011; Haykin, 1998; He et al., 2010; Ji y Liu, 2007; Jiang, Chen y Liu, 2014; Matinmikko, Del Ser, Rauma y Mustonen, 2013; Mir, Esseghir y Gaiti, 2011; Nisan, Roughgarden, Tardos y Vazirani, 2007; Ormond. Murphy y Muntean, 2006; Petrova, Mahonen y Osuna, 2010; Pham et al., 2014; Safavian y Landgrebe, 1991; Sutton y Barto, 1998; Taj y Akil, 2011; Trigui, Esseghir y Merghem, 2012; Wooldridge, 2009; Xu y Lu, 2006; Yifei et al., 2013; Yonghui, 2010; Zhao, Mao, Neel y Reed, 2009).
ANÁLISIS COMPARATIVO
La tabla 1 resume el análisis comparativo de las diferentes técnicas para la SA en CRN, en términos de fortalezas y limitaciones.
DESAFÍOS DE INVESTIGACIÓN
Existen varias cuestiones de investigación abiertas que necesitan ser estudiadas para el desarrollo de la función de decisión del espectro, algunas de ellas se mencionan a continuación (Akyildiz, Lee, Vuran y Mohanty, 2006).
Modelo de decisión multivariado
La relación señal a ruido (SNR) no es suficiente para caracterizar las bandas espectrales en las CRN. Además de la SNR, muchos parámetros de caracterización del espectro afectan la calidad. Por tanto, la manera de combinar estos parámetros de caracterización del espectro para el modelo de decisión del espectro sigue siendo un cuestionamiento abierto.
Algoritmos adaptativos
Para plantear soluciones eficientes en la SA, es necesario desarrollar algoritmos que logren adaptarse a diversas condiciones y escenarios, con el objetivo de satisfacer los requisitos de un entorno altamente dinámico. Todos los algoritmos hasta ahora se centran en un escenario y red estáticos, y tratan de encontrar una solución óptima de acuerdo con algunos criterios (Tragos, Zeadally, Fragkiadakis y Siris, 2013).
Selección multicanal
En las CRN se pueden utilizar simultáneamente múltiples bandas del espectro para la transmisión. Por otra parte, las CRN no requieren que las múltiples bandas seleccionadas sean contiguas. De este modo, un SU puede enviar paquetes a través de bandas del espectro no contiguas. Esta transmisión sobre múltiples bandas muestra menos degradación de calidad durante el handoff espectral en comparación con la transmisión convencional sobre una sola banda del espectro (Akyildiz y Li, 2006). Por ejemplo, si un PU aparece en una banda del espectro en particular, el SU tiene que desalojar solo esa banda, y en el resto de las bandas de espectro mantendrá la comunicación, por lo cual la degradación de la QoS puede ser mitigada.
Adicionalmente, la transmisión en múltiples bandas del espectro permite menor consumo de energía en cada banda del espectro. Como resultado, se consigue menos interferencias con los PU, en comparación con la transmisión en una única banda del espectro (Akyildiz y Li, 2006). Por estas razones, el esquema de gestión del espectro debe tener la capacidad de toma de decisión para múltiples bandas. Por ejemplo, la forma de determinar el número de bandas del espectro y cómo seleccionar el conjunto de bandas apropiadas siguen siendo temas de investigación abiertos en CRN.
Selección de espectro cooperativa
El enfoque cooperativo tiene más ventajas que el enfoque no cooperativo. En la detección de espectro cooperativo, el SU vecino comparte su información de detección con el objetivo de aprovechar la diversidad espacial. Un desafío en la selección de espectro cooperativa es cómo combinar la información de los usuarios cooperativos mientras se realiza la transmisión (Masonta, Mzyece y Ntlatlapa, 2013).
Selección de espectro en redes de tráfico heterogéneas
En una determinada CRN puede haber requerimientos de calidad de servicio heterogéneos y el espectro disponible puede presentar fluctuaciones y cualidades variables. En las redes de tráfico heterogéneas, un desafío consiste en seleccionar las bandas de frecuencia apropiadas para satisfacer los requerimientos de QoS de cada SU (Masonta, Mzyece y Ntlatlapa, 2013).
Conclusiones
El presente trabajo es una revisión bibliográfica reciente sobre algoritmos de asignación de espectro en redes de radio cognitiva. Estos algoritmos son las herramientas que permiten dar solución al problema del uso eficiente del espectro radioeléctrico, además de aportar en diferentes tópicos, como caracterización de canales, políticas locales, requisitos de usuario, entre otras. Las ventajas y desventajas en la adopción de un algoritmo u otro para la asignación de espectro están en función de las necesidades específicas del propósito que se desea lograr y su implementación depende de las necesidades de procesamiento de la señal, tiempos de respuesta, disponibilidad de los datos, capacidad de almacenamiento, capacidad de aprendizaje, robustez, entre otras.
RECONOCIMIENTO
Este trabajo fue realizado con la financiación del Centro de Investigaciones y Desarrollo Científico de la Universidad Distrital Francisco José de Caldas. Los autores también agradecen la colaboración de la Universidad Nacional de Colombia.
Referencias
Abbas, N.; Nasser, Y. y Ahmad, K. El. (2015). Recent Advances on Artificial Intelligence and Learning Techniques in Cognitive Radio Networks. EURASIP Journal on Wireless Communications and Networking, (1), 1-20. http://doi.org/10.1186/s13638-015-0381-7. [ Links ]
Ahmed, A.; Boulahia, L.M. y Gaiti, D. (2014). Enabling Vertical Handover Decisions in Heterogeneous Wireless Networks: A State-of-the-Art and a Classification. IEEE Communications Surveys and Tutorials, 16(2), 776-811. Recuperado de: http://doi.org/10.1109/SURV.2013.082713.00141. [ Links ]
Akyildiz, I.F.; Lee, W.Y.; Vuran, M.C. y Mohanty, S. (2006). NeXt Generation/Dynamic Spectrum Access/Cognitive Radio Wireless Networks: A Survey. Computer Networks, 50(13), 2127-2159. http://doi.org/10.1016/j.comnet.2006.05.001. [ Links ]
Akyildiz, I.F.; Lee, W.Y.; Vuran, M.C. y Mohanty, S. (2008). A survey on spectrum management in cognitive radio networks. Communications Magazine, IEEE, 46(4), 40-48. http://doi.org/10.1109/MCOM.2008.4481339 [ Links ]
Akyildiz, I.F.; Lee, W.Y. y Chowdhury, K.R. (2009). CRAHNs: Cognitive Radio Ad Hoc Networks. Ad Hoc Networks, 7(5), 810-836. http://doi.org/10.1016/j.adhoc.2009.01.001 [ Links ]
Akyildiz, I.F. y Li, Y. (2006). OCRA: OFDM-Based Cognitive Radio Networks. Broadband and Wireless Networking Laboratory Technical Report. [ Links ]
Bkassiny, M.; Li, Y. y Jayaweera, S.K. (2013). A Survey on Machine-Learning Techniques in Cognitive Radios. IEEE Communications Surveys and Tutorials, 15(3), 1136-1159. http://doi.org/10.1109/SURV.2012.100412.00017. [ Links ]
Bolstad, W.M. (2007). Introduction to Bayesian Statistics. Journal of Biopharmaceutical Statistics, 21(5), 971-887. Recuperado de: http://doi.org/10.1080/10543406.2011.589638. [ Links ]
Börgers, T. y Dustmann, C. (2003). Awarding telecom licences: The recent European experience. Economic Policy, 36, 215-268. http://doi.org/10.1111/1468-0327.00106. [ Links ]
Cabric, D.; Mishra, S.M. y Brodersen, R. W. (2004). Implementation Issues in Spectrum Sensing for Cognitive Radios. Conference Record of the Thirty-Eighth Asilomar Conference on Signals, Systems and Computers, 1(1), 772-776. http://doi.org/10.1109/ACSSC.2004.1399240. [ Links ]
Cheng, X. y Jiang, M. (2011). Cognitive radio spectrum assignment based on artificial bee colony algorithm. 2011 IEEE 13th International Conference on Communication Technology, 161-164. http://doi.org/10.1109/ICCT.2011.6157854. [ Links ]
Christian, I.; Moh, S.; Chung, I. y Lee, J. (2012). Spectrum Mobility in Cognitive Radio Networks. IEEE Communications Magazine, 50(6), 114-121. http://doi.org/10.1109/MCOM.2012.6211495. [ Links ]
Cortés, J.A.Z.; Serna, M.D.A. y Jaimes, W.A. (2012). Applying fuzzy extended analytical hierarchy (FEAHP) for selecting logistics software. Ingeniería E Investigación, 32(1), 94-99. [ Links ]
Dadios, E.P. (2012). Fuzzy Logic: Algorithms, Techniques and Implementations. InTechOpen. [ Links ]
Dejonghe, A.; Van Wesemael, P.; Pavloski, M. y Chomu, K. (2011). Flexible and Spectrum Aware Radio Access through Measurements and Modelling in Cognitive Radio Systems. Technical report. FARAMIR. [ Links ]
Del Ser, J.; Matinmikko, M.; Gil, S. y Mustonen, M. (2010). A Novel Harmony Search Based Spectrum Allocation Technique for Cognitive Radio Networks. En: 2010 7th International Symposium on Wireless Communication Systems (pp. 233-237). http://doi.org/10.1109/ISWCS.2010.5624341. [ Links ]
Etkin, R.; Parekh, A. y Tse, D. (2007). Spectrum sharing for unlicensed bands. IEEE Journal on Selected Areas in Communications, 25(3), 517-528. http://doi.org/10.1109/JSAC.2007.070402. [ Links ]
Federal Communications Commission (2003). Facilitating opportunities for flexible, efficient, and reliable spectrum use employing cognitive radio technologies. Et Docket, 03(108), 5-57. [ Links ]
Ferber, J. (1999). An Introduction to Distributed Artificial Intelligence. Addison-Wesley. [ Links ]
Fraser, A.M. (2008). Hidden Markov models and dynamical systems. Filadelfia: SIAM. [ Links ]
Fudenberg, D. y Tirole, J. (1991). Game Theory. MIT Press. Recuperado de: https://books.google.com.co/books?id=pFPHKwXro3QC. [ Links ]
Gallardo, J.R.; Pineda, U. y Stevens, E. (2009). Vikor Method for Vertical Handoff Decision in Beyond 3G Wireless Networks. En: 2009 6th International Conference on Electrical Engineering, Computing Science and Automatic Control, CCE 2009. http://doi.org/10.1109/ICEEE.2009.5393320. [ Links ]
Gavrilovska, L.; Atanasovski, V.; Macaluso, I. y Dasilva, L.A. (2013). Learning and reasoning in cognitive radio networks. IEEE Communications Surveys and Tutorials, 15(4), 1761-1777. http://doi.org/10.1109/SURV.2013.030713.00113. [ Links ]
Giupponi, L. y Pérez, A.I. (2008). Fuzzy-Based Spectrum Handoff in Cognitive Radio Networks. En: Proceedings of the 3rd International Conference on Cognitive Radio Oriented Wireless Networks and Communications, CrownCom 2008. http://doi.org/10.1109/CROWNCOM.2008.4562535 [ Links ]
Goldberg, D.E. y Holland, J.H. (1988). Genetic Algorithms and Machine Learning. Machine Learning, 3(2), 95-99. Recuperado de: http://doi.org/10.1023/A:1022602019183. [ Links ]
Han, J.; Kamber, M. y Pei, J. (2011). Data mining: concepts and techniques. Waltham, Massachusetts: Elsevier. [ Links ]
Haykin, S. (1998). Neural Networks: A Comprehensive Foundation. 2a. ed. Upper Saddle River, NJ: Prentice Hall PTR. [ Links ]
Haykin, S. (2005). Cognitive Radio: Brain-Empowered Wireless Communications. IEEE Journal on Selected Areas in Communications, 23(2), 201-220. http://doi.org/10.1109/JSAC.2004.839380. [ Links ]
He, A.; Bae, K.K.; Newman, T.R.; Gaeddert, J.; Kim, K.; Menon, R. y Tranter, W. H. (2010). A survey of artificial intelligence for cognitive radios. IEEE Transactions on Vehicular Technology, 59(4), 1578-1592. http://doi.org/10.1109/TVT.2010.2043968. [ Links ]
Hemández, C.; Pedraza, L.; Páez, I. y Rodríguez-Colina, E. (2015). Análisis de la Movilidad Espectral en Redes de Radio Cognitiva. Información Tecnológica, 26(6), 169-186. [ Links ]
Hernández, C.; Giral, D. y Páez, I. (2015a). Benchmarking of the Performance of Spectrum Mobility Models in Cognitive Radio Networks. International Journal of Applied Engineering Research (IJAER), 10(21), 42189-42197. [ Links ]
Hernández, C.; Giral, D. y Páez, I. (2015b). Hybrid Algorithm for Frequency Channel Selection in Wi-Fi Networks. World Academy of Science, Engineering and Technology, 9(12), 80-83. [ Links ]
Hernández, C.; Giral, D. y Santa, F. (2015). MCDM Spectrum Handover Models for Cognitive Wireless Networks. World Academy of Science, Engineering and Technology, 9(10), 679-682. [ Links ]
Hernández, C.; Páez, I. y Giral, D. (2015). Modelo AHP-VIKOR para hand off espectral en redes de radio cognitiva. Tecnura, 19(45), 29-39. [ Links ]
Hernández, C.; Salgado, C.; López, H. y Rodríguez-Colina, E. (2015). Multivariable algorithm for dynamic channel selection in cognitive radio networks. EURASIP Journal on Wireless Communications and Networking, 2015(1), 1-17. http://doi.org/10.1186/s13638-015-0445-8. [ Links ]
Hernández, C.; Vásquez, H. y Páez, I. (2015). Proactive Spectrum Handoff Model with Time Series Prediction. International Journal of Applied Engineering Research (IJAER), 10(21), 42259-42264. [ Links ]
Hernández-Guillén, J.; Rodríguez-Colina, E.; Marcelín-Jiménez, R. y Chalke, M.P. (2012). CRUAM-MAC: A novel cognitive radio MAC protocol for dynamic spectrum access. En: 2012 IEEE Latin-America Conference on Communications, LATINCOM 2012-Conference Proceedings. http://doi.org/10.1109/LATINCOM.2012.6505997. [ Links ]
Hübner, R. (2007). Strategic supply chain management in process industries: An application to specialty chemicals production network design (Vol. 594). Berlín: Springer Science & Business Media. [ Links ]
Jayaweera, S. y Christodoulou, C. (2011). Radiobots: Architecture, Algorithms and Realtime Reconfigurable Antenna Designs for Autonomous, Self-Learning Future Cognitive Radios. Hershey, EE.UU. [ Links ]
Ji, Z.J.Z. y Liu, K.J.R. (2007). Cognitive Radios for Dynamic Spectrum Access-Dynamic Spectrum Sharing: A Game Theoretical Overview. IEEE Communications Magazine, 45(5), 88-94. http://doi.org/10.1109/MCOM.2007.358854. [ Links ]
Jiang, C.; Chen, Y. y Liu, K.J.R. (2014). Multi-Channel Sensing and Access Game: Bayesian Social Learning with Negative Network Externality. IEEE Transactions on Wireless Communications, 13(4), 2176-2188. Recuperado de: http://doi.org/10.1109/TWC.2014.022014.131209. [ Links ]
Kanodia, V.; Sabharwal, A. y Knightly, E. (2004). MOAR: A multi-channel opportunistic auto-rate media access protocol for ad hoc networks. En: Broadband Networks, 2004. BroadNets 2004. Proceedings. First International Conference on (pp. 600-610). IEEE. [ Links ]
Krishnamurthy, S.; Thoppian, M.; Venkatesan, S. y Prakash, R. (2005). Control Channel Based MAC-Layer Configuration, Routing and Situation Awareness for Cognitive Radio Networks. En: Proceedings-IEEE Military Communications Conference MILCOM (Vol. 2005). http://doi.org/10.1109/MILCOM.2005.1605725. [ Links ]
Masonta, M.T.; Mzyece, M. y Ntlatlapa, N. (2013). Spectrum Decision in Cognitive Radio Networks: A Survey. IEEE Communications Surveys & Tutorials, 15(3), 1088-1107. Recuperado de: http://doi.org/10.1109/SURV.2012.111412.00160. [ Links ]
Matinmikko, M.; Del Ser, J.; Rauma, T. y Mustonen, M. (2013). Fuzzy-Logic Based Framework for Spectrum Availability Assessment in Cognitive Radio Systems. IEEE Journal on Selected Areas in Communications, 31(11), 2173-2184. http://doi.org/10.1109/JSAC.2013.131117. [ Links ]
Mir, U.; Esseghir, M. y Gaiti D., M.B.L. (2011). Dynamic spectrum sharing for cognitive radio networks using multiagent system. En: Consumer Communications and Networking Conference (CCNC), 2011 IEEE (pp. 658-663). [ Links ]
Mitola, J. y Maguire, G.Q. (1999). Cognitive Radio: Making Software Radios More Personal. IEEE Personal Communications, 6(4), 13-18. http://doi.org/10.1109/98.788210. [ Links ]
Nisan, N.; Roughgarden, T.; Tardos, E. y Vazirani, V.V. (2007). Algorithmic game theory (Vol. 1). Nueva York: Cambridge University Press Cambridge. [ Links ]
Ormond, O.; Murphy, J. y Muntean, G.M. (2006). Utility-Based Intelligent Network Selection in Beyond 3G Systems. En: IEEE International Conference on Communications (Vol. 4, pp. 1831-1836). Recuperado de: http://doi.org/10.1109/ICC.2006.254986. [ Links ]
Patil, S.K. y Kant, R. (2014). A Fuzzy AHP-TOPSIS Framework for Ranking the Solutions of Knowledge Management Adoption in Supply Chain to Overcome its Barriers. Expert Systems with Applications, 41(2), 679-693. http://doi.org/10.1016/j.eswa.2013.07.093. [ Links ]
Petrova, M.; Mahonen, P. y Osuna, A. (2010). Multi-Class Classification of Analog and Digital Signals in Cognitive Radios Using Support Vector Machines. En: 2010 7th International Symposium on Wireless Communication Systems (pp. 986-990). Recuperado de: http://doi.org/10.1109/ISWCS.2010.5624500. [ Links ]
Pham, C.; Tran, N.H.; Do, C.T.; Moon, S.I. y Hong, C.S. (2014). Spectrum Handoff Model Based on Hidden Markov Model in Cognitive Radio Networks. En: Information Networking (ICOIN), 2014 International Conference on (pp. 406-411). IEEE. doi: 10.1109/ICOIN.2014.6799714. [ Links ]
Ramírez P., C. y Ramos R., V.M. (2010). Handover vertical: un problema de toma de decisión múltiple. En: VIII Congreso Internacional sobre Innovación y Desarrollo Tecnológico. Cuernavaca Morelos, México. [ Links ]
Ramírez, C. y Ramos R., V. (2013). On the Effectiveness of Multi-Criteria Decision Mechanisms for Vertical Handoff. En: 27th International Conference on Advanced Information Networking and Applications (AINA) (pp. 1157-1164). http://doi.org/10.1109/AINA.2013.114. [ Links ]
Saaty, T.L. (1990). How to Make a Decision: The Analytic Hierarchy Process. European Journal of Operational Research, 48(1), 9-26. http://doi.org/10.1016/0377-2217(90)90057-I. [ Links ]
Safavian, S.R. y Landgrebe, D. (1991). A Survey of Decision Tree Classifier Methodology. IEEE Transactions on Systems, Man and Cybernetics, 21(3), 660-674. Recuperado de: http://doi.org/10.1109/21.97458. [ Links ]
Stevens, E.; Martínez, J.D. y Pineda, U. (2012). Evaluation of Vertical Handoff Decision Algorightms Based on MADM Methods for Heterogeneous Wireless Networks. Journal of Applied Research and Technology, 10(4), 534-548. [ Links ]
Stevens, E. y Wong, V.W.S. (2006). Comparison between vertical handoff decision algorithms for heterogeneous wireless networks. En: IEEE Vehicular Technology Conference (Vol. 2, pp. 947-951). http://doi.org/10.1109/VETECS.2004.1388970. [ Links ]
Sutton, R.S. y Barto, A.G. (1998). Reinforcement Learning: An Introduction. IEEE Transactions on Neural Networks / a Publication of the IEEE Neural Networks Council, 9(5), 1054. http://doi.org/10.1109/TNN.1998.712192. [ Links ]
Taj, M.I. y Akil, M. (2011). Cognitive Radio Spectrum Evolution Prediction using A rtificial Neural Networks based Multivariate Time Series Modelling. En: Wireless Conference 2011-Sustainable Wireless Technologies (European Wireless), 11th European (pp. 1-6). VDE. [ Links ]
Tanino, T.; Tanaka, T. y Inuiguchi, M. (2003). Multi-objective programming and goal programming: theory and applications (Vol. 21). Springer Science & Business Media. [ Links ]
Tragos, E.Z.; Zeadally, S.; Fragkiadakis, A.G. y Siris, V.A. (2013). Spectrum Assignment in Cognitive Radio Networks: A Comprehensive Survey. IEEE Communications Surveys and Tutorials, 15(3), 1108-1135. http://doi.org/10.1109/SURV.2012.121112.00047. [ Links ]
Trigui, E.; Esseghir, M. y Merghem, L. (2012). Multi-agent systems negotiation approach for handoff in mobile cognitive radio networks. En: 2012 5th International Conference on New Technologies, Mobility and Security-Proceedings of NTMS 2012 Conference and Workshops. http://doi.org/10.1109/NTMS.2012.6208687. [ Links ]
Valenta, V.; Maršálek, R.; Baudoin, G.; Villegas, M.; Suarez, M. y Robert, F. (2010). Survey on Spectrum Utilization in Europe: Measurements, Analyses and Observations. Fifth International Conference on Cognitive Radio Oriented Wireless Networks & Communications (CROWNCOM), 2010 (230126), 1-5. http://doi.org/10.4108/ICST.CROWNCOM2010.9220. [ Links ]
Wei, Y.W.Y.; Li, X.L.X.; Song, M.S.M. y Song, J.S.J. (2008). Cooperation Radio Resource Management and Adaptive Vertical Handover in Heterogeneous Wireless Networks. 2008 Fourth International Conference on Natural Computation, 5, 197-201. Recuperaado de: http://doi.org/10.1109/ICNC.2008.504. [ Links ]
Woods, W.A. (1986). Important Issues in Knowledge Representation. Proceedings of the IEEE, 74(10), 1322-1334. [ Links ]
Wooldridge, M. (2009). An introduction to multiagent systems. Glasgow, Gran Bretaña: John Wiley & Sons. [ Links ]
Working, S.E. (2015). Federal Communications Commission Spectrum Policy Task Force. Recuperado de: https://transition.fcc.gov/sptf/files/SEWGFinalReport_1.pdf. [ Links ]
Xu, G.X.G. y Lu, Y.L.Y. (2006). Channel and Modulation Selection Based on Support Vector Machines for Cognitive Radio. En: 2006 International Conference on Wireless Communications, Networking and Mobile Computing (pp. 4-7). Recuperado de: http://doi.org/10.1109/WiCOM.2006.181. [ Links ]
Yifei, W.; Yinglei, T.; Li, W.; Mei, S. y Xiaojun, W. (2013). QoS Provisioning Energy Saving Dynamic Access Policy for Overlay Cognitive Radio Networks with Hidden Markov Channels. China Communications, 10(12), 92-101. Recuperado de: http://doi.org/10.1109/CC.2013.6723882. [ Links ]
Yonghui, C. (2010). Study of the bayesian networks. En: E-Health Networking, Digital Ecosystems and Technologies (EDT), 2010 International Conference on (Vol. 1, pp. 172-174). IEEE. doi: 10.1109/EDT.2010.5496612. [ Links ]
Zhao, Y.; Mao, S.; Neel, J.O. y Reed, J.H. (2009). Performance Evaluation of Cognitive Radios: Metrics, Utility Functions, and Methodology. Proceedings of the IEEE, 97(4), 642-658. http://doi.org/10.1109/JPROC.2009.2013017. [ Links ]
Zheng, H. y Cao, L. (2005). Device-Centric Spectrum Management. En: 2005 1st IEEE International Symposium on New Frontiers in Dynamic Spectrum Access Networks, DySPAN 2005 (pp. 56-65). http://doi.org/10.1109/DYSPAN.2005.1542617. [ Links ]



























