Services on Demand
Journal
Article
Indicators
-
Cited by SciELO -
Access statistics
Related links
-
Cited by Google -
Similars in
SciELO -
Similars in Google
Share
Tecnura
Print version ISSN 0123-921X
Tecnura vol.20 no.50 Bogotá Oct./Dec. 2016
https://doi.org/10.14483/udistrital.jour.tecnura.2016.3.a05
doi: http://dx.doi.org/10.14483/udistrital.jour.tecnura.2016.3.a05
Computación con palabras para el análisis de factibilidad de proyectos de software
Computing with words to feasibility study of software projects
Marieta Peña Abreu1, Carlos Rafael Rodríguez Rodríguez2, Pedro Yobanis Piñero Pérez3
1 Ingeniera en Ciencias Informáticas, máster en Gestión de Proyectos Informáticos, Universidad de las Ciencias Informáticas, La Habana, Cuba. Contacto: mpabreu@uci.cu
2 Ingeniero en Ciencias Informáticas, máster en Gestión de Proyectos Informáticos, Universidad de las Ciencias Informáticas, La Habana, Cuba. Contacto: crodriguezr@uci.cu
3 Licenciado en Ciencias de la Computación, doctor en Ciencias Técnicas, Universidad de las Ciencias Informáticas, La Habana, Cuba. Contacto: ppp@uci.cu
Fecha de recepción: 1 de abril de 2016 Fecha de aceptación: 10 de septiembre de 2016
Cómo citar: Peña A., M.; Rodríguez R.; C.R. y Piñero P., P.Y. (2016). Computación con palabras para el análisis de factibilidad de proyectos de software. Revista Tecnura, 20(50), 69-84. doi: 10.14483/udistrital.jour.tecnura.2016.4.a05
RESUMEN
Objetivo: Este trabajo propone un método para analizar la factibilidad técnica, comercial y social de proyectos de software en entornos de incertidumbre. Permite el trabajo con múltiples expertos y múltiples criterios y facilita la toma de decisiones.
Método: La propuesta contiene dos fases, en la primera se recopila la información necesaria y en la segunda se evalúan los proyectos utilizando el modelo de representación lingüístico 2-tupla. Los expertos son seleccionados mediante el análisis de su síntesis curricular. Los criterios de evaluación son definidos utilizando la técnica Grupo Focal y ponderados en el intervalo (0,1) según su importancia. Se ofrecen tres dominios para expresar las valoraciones: numérico, intervalar y lingüístico. Para la agregación se emplean la media aritmética extendida y la media ponderada extendida, que evitan la pérdida de información. Como resultado se obtiene por cada proyecto el par (factibilidad, precisión).
Resultado: El método se validó con tres proyectos, se evaluaron diez criterios y participaron seis expertos. La evaluación del proyecto p1 fue factibilidad muy alta con -0,33 de precisión, el proyecto p2 obtuvo una factibilidad alta con 0,38 de precisión y p3 alcanzó una factibilidad media con -0,21 de precisión.
Conclusiones: Este método es una solución favorable para el análisis de factibilidad de proyectos de software con presencia de múltiples expertos y criterios en entornos de incertidumbre. Trata valoraciones heterogéneas sin pérdida de información. Sus resultados son consistentes y útiles para los decisores.
Palabras Clave: Análisis de factibilidad, computación con palabras, evaluación de proyectos, incertidumbre, riesgos.
ABSTRACT
Objective: This paper proposes a method to analyze the technical, commercial and social feasibility of software projects in environments of uncertainty. It allows working with multiple experts and multiple criteria and facilitates decision-making.
Method: The proposal contains two phases, first the necessary information is collected and in second place projects are evaluated using 2-tuple linguistic representation model. The experts are selected by analyzing their curricular synthesis. The evaluation criteria are defined using the technique Focus Group and weighted in the interval (0,1) according to their importance. three domains are offered to express the preferences: numeric, interval-valued and linguistic. For aggregation extended arithmetic mean and weighted average extended are used, preventing the loss of information. A 2-tuple (feasibility, precision) is obtained as a result for each project.
Results: The evaluation of P1 project was a very high feasibility with -0,33 of precision. The P2 project obtained a high feasibility with 0,38 of precision and P3 project achieved a medium feasibility with -0,21 of precision.
Conclusions: This method is favorable for software projects feasibility analysis with presence of multiple experts and criteria, in environments of uncertainty. It tries heterogeneous assessments without loss of information. Their results are consistent and useful for decision makers.
Keywords: Feasibility study, computing with word, project evaluation, uncertainty, risks.
INTRODUCCIÓN
El éxito de los proyectos de inversión es esencial para el desarrollo de las organizaciones, lo cual incide directamente en el cumplimiento de sus objetivos estratégicos y contribuye a su vez al desarrollo social. Seleccionar adecuadamente los proyectos a emprender en un periodo, es una de las decisiones más complejas para la alta gerencia de cualquier entidad. Esto está dado por los múltiples factores que se deben considerar para tomar tal decisión.
Paralelamente, el desarrollo de las tecnologías en los últimos años, la aparición de internet y el desarrollo de las redes sociales han provocado un auge creciente del desarrollo de software en diferentes dominios de aplicación. Los sistemas informáticos pueden incidir directamente en la productividad de las empresas, así como en el control y la toma de decisiones. El desarrollo justificado de proyectos de software contribuye al desarrollo de la sociedad, aportando al hombre herramientas informáticas en el nuevo contexto en el que se desempeña. Estos proyectos, a diferencia de los de otras ingenierías, imponen retos adicionales que están dados fundamentalmente por el carácter intangible del software.
Sin embargo, al igual que cualquier otro proyecto, obtener un producto informático es una inversión que requiere una eficiente gestión de los recursos disponibles para obtener los resultados esperados. Un estudio realizado a alrededor de 50.000 proyectos de desarrollo de sistemas en el mundo arrojó que solo 29 % culminan satisfactoriamente, 52 % son renegociados y 19 % son fallidos (The Standish Group, 2015). Entre las principales causas se encuentran: el aumento de los costos durante la ejecución, incumplimiento en los cronogramas pactados, deficiencias en la estimación de los tiempos y costos, entre otros. Ante esta situación, realizar un análisis de factibilidad antes de comenzar la ejecución de un proyecto, se vuelve un proceso imprescindible que pueda garantizar en gran medida el éxito del proyecto.
El análisis de factibilidad debe documentarse como un informe para la alta gestión. Su resultado pretende determinar de manera objetiva si el proyecto puede continuar o se puede optar por otras alternativas para resolver el problema identificado. Esto se logra mediante la evaluación de una serie de criterios (económicos, técnicos, entre otros) y alternativas. El análisis de factibilidad constituye una fase indispensable en el desarrollo del proyecto (PMI, 2013; Pressman, 2010). En este análisis intervienen generalmente un grupo multidisciplinario de expertos. El análisis de factibilidad es el paso más importante antes de aprobar el proyecto.
Las principales escuelas de gestión de proyectos (ISO 21500, 2012; PMBOK [PMI, 2013]; CMMI [SEI, 2010]; IPMA, 2015; PRINCE2 [OGC, 2009]) suponen que se haya realizado con anterioridad el análisis de factibilidad. Este elemento motiva la necesidad de formular métodos que establezcan con claridad y pertinencia, la forma de realizar estos análisis.
El proceso de análisis de factibilidad tiene analogía con un clásico problema de toma de decisiones, que inicia cuando se detecta una situación y termina cuando se elige una alternativa (entre varias) que soluciona el problema (Burstein y Holsapple, 2008).
Para realizar estos análisis a criterios cualitativos, generalmente se utilizan métodos tradicionales de toma de decisiones (Cables, García y Lamata, 2012; Chen, Hung y Cheng, 2011), dentro de los más referenciados, se encuentra: el proceso de análisis jerárquico (AHP) (Saaty, T., 2003; Saaty, T.L., 1990), pero este método no trabaja la pérdida de información. Seleccionar correctamente los criterios a evaluar y el método adecuado para realizarlo garantiza en gran medida el éxito del análisis de factibilidad.
Al realizar valoraciones, en los métodos tradicionales, se depende en gran medida de la experiencia de los evaluadores, lo cual puede producir ruido e imprecisiones en los datos de entrada al proceso. Estas situaciones provocan que con frecuencia en el análisis de factibilidad no se pueda estimar con una precisión aceptable la posibilidad de éxito o fracaso de los proyectos. Es necesario seleccionar métodos de evaluación que faciliten a los expertos emitir sus opiniones en diferentes dominios, que consideren la naturaleza cualitativa y cuantitativa de los criterios y la incertidumbre del entorno. Para manejar la incertidumbre, los investigadores han utilizado diferentes técnicas de soft computing en contextos diversos (Bermúdez, Lugo y Piñero, 2015; Bolaños y Correa, 2014; Melo y Cortés, 2016; Novoa, Cruz y Pelta, 2014; Wang y Tang, 2015).
Como contribución para solucionar las limitaciones anteriores, este trabajo tiene como objetivo proponer un método para el análisis de factibilidad de criterios sociales, técnicos y comerciales de proyectos de software que considere la incertidumbre de la información. El método trata el análisis de factibilidad como un problema de toma decisiones multiexperto y multicriterio en entornos de incertidumbre. Se utiliza el paradigma de la computación con palabras (CWW) (Zadeh, 1996) considerando las ventajas que ofrece para resolver problemas similares en otras áreas (Arza, 2013; Rodríguez, 2010; Torres, 2015; Zulueta, 2014).
Estos trabajos presentan modelos basados en toma de decisión lingüística aplicados a áreas como la evaluación de competencias laborales (Torres, 2015) y la recomendación de roles en equipos de software (Arza, 2013). Particularmente en Zuleta (2014) se proponen modelos basados en toma de decisión lingüística con información heterogénea para evaluar la importancia del impacto ambiental. A pesar de su utilidad, estos trabajos tienen características muy específicas de sus áreas de aplicación que limitan su aplicación inmediata a los análisis de factibilidad de proyectos de software. En contraste con esos trabajos, el método que aquí se propone comprende la utilización de una amplia selección de criterios técnicos, comerciales y sociales previamente recopilados y redefinidos en Peña (2012). Además, se emplea la matriz de comparación por pares del método AHP para el proceso de pesado de los criterios.
En este documento, la siguiente sección fundamenta las actividades del método propuesto. Luego se presenta una síntesis de su aplicación de manera experimental a tres proyectos. Finalmente se exponen las conclusiones y referencias bibliográficas.
METODOLOGÍA
Método para análisis de factibilidad basado en 2-Tuplas
La aplicación de la CWW en el análisis de factibilidad de proyectos de software facilita operar con palabras o sentencias definidas en lenguaje natural, que pueden ser instanciadas por números, simulando el proceso cognitivo humano. Esta metodología permite fortalecer modelos de decisión en los que la información presenta imprecisión y vaguedad (Herrera, Alonso, Chiclana y Herrera-Viedma, 2009), representándose mediante variables lingüísticas.
Se selecciona el modelo lingüístico basado en 2-tupla (Herrera y Martínez, 2000), debido a que supera la pérdida de la información que se produce en la agregación de modelos anteriores. Este modelo intenta mejorar el modelo simbólico clásico (Delgado, Verdegay y Vila, 1993), del enfoque lingüístico difuso. El modelo se ha utilizado satisfactoriamente para tratar información: lingüística multigranular (Herrera y Martínez, 2001), lingüística no balanceada (Herrera, Herrera-Viedma y Martínez, 2008) y heterogénea (Herrera, Martínez y Sánchez, 2005).
El proceso de análisis de factibilidad que se propone se estructura en dos fases: iniciación y evaluación. En la primera se desarrollan las actividades de preparación para la evaluación. Luego empleando 2-tupla se evalúa la factibilidad de los proyectos. Con el método se puede analizar uno o varios proyectos durante una misma evaluación. Como resultado final arroja un listado ordenado de varios proyectos según su valor de factibilidad. La figura 1 muestra el flujo de actividades en cada fase; seguidamente se describen los detalles de cada actividad.
Fase de iniciación
En esta fase se recopila la información necesaria para evaluar los proyectos. En ella se ejecutan las siguientes actividades:
Actividad 1: Seleccionar el conjunto de proyectos
, a los cuales se les realiza el análisis.
Actividad 2: Recopilar información de los proyectos a evaluar para obtener una ficha técnica más detallada que contenga las especificidades técnicas, comerciales y sociales de los proyectos.
Actividad 3: Seleccionar el conjunto de expertos
que participarán en la evaluación, mediante el análisis de la síntesis curricular, de forma similar a como se propone en Trujillo (2014).
Actividad 4: Seleccionar mediante el método grupo focal (Balcázar, González, Gurrola y Moysén, 2015) el conjunto de criterios
técnicos, comerciales y sociales a evaluar, partiendo de un listado previamente definido en Peña (2012).
Actividad 5: Determinar los pesos de los criterios. Para esto se utiliza la matriz de comparación por pares para elementos de un mismo nivel del método proceso de análisis jerárquico (AHP) (Saaty, T.L., 1990). Los expertos a través de juicio comparativo ordenan los criterios. Luego se utiliza el promedio geométrico para combinar las valoraciones. Por último, se obtiene un vector de prioridad
que cumple la propiedad
, conforme a como se utiliza en Rodríguez (2010) y Zuleta (2014).
En la tabla 1 se ofrece una vista de la recopilación de los pesos y el resultado de la agregación.
Una vez realizadas todas las actividades antes expuestas se procede a la fase de evaluación.
Fase de evaluación
La evaluación es la fase principal del proceso, ya que el resultado final de esta son los proyectos evaluados por su grado de factibilidad obtenido a partir de la aplicación del modelo de CWW 2-tuplas. Aquí se realizan las siguientes actividades:
Actividad 1: Recopilar las preferencias de los expertos
Para expresar las valoraciones de los expertos se define el vector de preferencias
, donde
indica la opinión del experto ei sobre el proyecto pj de acuerdo con el criterio ck. Los expertos podrán emitir sus preferencias a través de diferentes dominios de información. La utilización de uno u otro estará condicionada por: la naturaleza de los criterios a evaluar, su pertenencia a diferentes áreas de conocimientos y su nivel de conocimiento sobre el problema. Dadas las características del análisis de factibilidad, donde es aconsejable que participen equipos multidisciplinarios, se propone en este trabajo el uso de los dominios numérico (N), intervalar (I) y lingüístico (S), que se especifican a continuación, para expresar las preferencias.
- Valores numéricos:
. - Valores intervalares:
. - Valores lingüísticos:
, donde g+1 representa la cardinalidad del conjunto de términos lingüísticos (CTL) S. Cada uno de estos
tiene asociada una función de pertenencia
.
En la tabla 2 se ofrece una vista de la estructura del vector X y la información que contiene.
Actividad 2: Unificar las preferencias de los expertos según el dominio lingüístico
Dada la naturaleza heterogénea de las preferencias emitidas, es necesario transformarlas a un único dominio. Para ello se utiliza el dominio lingüístico, siguiendo lo propuesto por Herrera, Martínez y Sánchez (2005). Como conjunto básico de términos lingüísticos (CBTL) se propone a ST = {NF, FMB, FB, FM, FA, FMA,FP} cuya semántica se muestra en la figura 2.
Para realizar la unificación al dominio lingüístico es necesario representar las valoraciones de los expertos en el CBTL, por lo que cada valor de entrada se transforma en un conjunto difuso F(ST). Esta conversión se realiza mediante funciones específicas según el dominio en que originalmente está expresado el valor. La conversión sigue un proceso de comparación entre conjuntos difusos utilizando en este trabajo medidas de semejanza (Bouchon-Meunier, Rifqi y Bothorel, 1996).
- Para transformar TNST del dominio numérico al lingüístico se emplea la definición dada por Herrera, Martínez y Sánchez (2005) que se formaliza en las ecuaciones (1), (2) y (3).
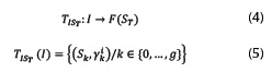
- Para transformar (TIST) la información intervalar se utiliza la definición correspondiente dada por Herrera, Martínez y Sánchez (2005) y que se expresa en las ecuaciones (4), (5) y (6).
- Para transformar (TSST) la información lingüística se recurre a la definición dada al efecto por Herrera, Martínez y Sánchez (2005) y que se describe en las ecuaciones (7), (8) y (9).
Donde F(ST) es un conjunto difuso de los definidos en
. De manera que al transformar el valor numérico 0,60 a un conjunto del CBTL de la figura 2 se obtendría:

Donde F(ST) es el conjunto definido en
y son las funciones de pertenencia asociadas con el intervalo I y el termino SK respectivamente. De manera que al transformar el intervalo [0,45; 0,60] a un conjunto del CBTL de la figura 2 se obtendría:

Donde
son dos conjuntos difusos tal que
, es el conjunto definido en, y
y son las funciones de pertenencia asociadas con los términos li y Sk respectivamente. De manera que al transformar el conjunto
a un conjunto del CBTL de la figura 2 se obtendría:

Luego de convertidas las preferencias de los expertos a conjuntos difusos, estos conjuntos deben ser transformados a 2-tuplas lingüísticas del CBTL definido anteriormente. Considerando las definiciones de traslación simbólica y 2-tuplas dadas por Herrera y Martínez (2000), se utilizará como función de transformación la propuesta por Martínez y Herrera (2012) y que se define según la ecuación (10).
Por lo que en el caso que se mostró arriba para ejemplificar la unificación del dominio numérico al lingüístico, el resultado de la transofrmación a 2-tuplas sería:

Actividad 3: Calcular el valor colectivo de cada criterio para cada proyecto
En este punto se tienen todas las preferencias de los expertos transformadas en 2-tuplas lingüísticas, tal como se presenta en la tabla 3.
Para calcular el valor colectivo de cada criterio para cada proyecto, considerando las preferencias brindadas por los expertos se utilizará el operador media aritmética extendida (Herrera y Martínez, 2000), que significa el punto de equilibrio del conjunto de valores y que se formaliza en la ecuación (11).
Actividad 4: Agregar el valor de los criterios para cada proyecto
Luego de la actividad 3, se tiene la 2-tupla lingüística que simboliza el valor medio de cada criterio para cada proyecto y la precisión de esa información, como se muestra en la columna "Valores colectivos de los criterios" de la tabla 4.
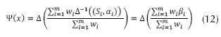
Para agregar el valor de los criterios de cada proyecto, se utiliza el operador media ponderada extendida (Herrera y Martínez, 2000), el cual permite agrupar los valores de los criterios considerando sus diferentes pesos. Los pesos se definen en la actividad 5 de la fase de iniciación. La agregación mediante este operador se formaliza en la ecuación (12).
Como resultado de esta actividad se obtiene la 2-tupla que representa el valor de factibilidad de cada proyecto y la precisión de esa información, tal y como se muestra en la última columna de la tabla 4. La 2-tupla que representa la factibilidad de cada proyecto, contiene el término lingüístico correspondiente y la precisión de esa evaluación. La precisión es un valor entre [-0.5, 0.5) que indica la distancia entre el punto de máxima pertenencia al termino lingüístico y el resultado de la agregación. Utilizando el valor de precisión es posible determinar la certeza de la factibilidad calculada para cada proyecto.
Actividad 5: Interpretar los resultados y tomar las decisiones
Una vez que se tienen los valores colectivos de cada uno de los criterios y la evaluación final (global) de los proyectos, se está en condiciones de analizarlos y tomar las decisiones apropiadas. Esa información puede ser analizada de diferentes maneras de acuerdo con la naturaleza de los proyectos y a las condiciones actuales de la entidad desarrolladora. Para realizar el análisis se utilizarán los operadores de comparación para 2-tuplas definidos en Herrera y Martínez (2000) y que plantean que para las 2-tuplas
que representan dos valoraciones:

Con estos operadores es posible ordenar los proyectos considerando su evaluación global o analizarlos según alguno de los criterios evaluados. Esto ofrece algunas variantes para la toma de decisiones, como:
- Seleccionar los proyectos considerando solo su factibilidad total (global).
- Si dos proyectos tienen el mismo resultado de factibilidad global, podrá aumentarse el nivel de detalles ordenándolos según alguno de los criterios analizados.
- Es posible decidir sobre cada proyecto de manera individual, basando el análisis para cada uno, en los criterios más relevantes según su naturaleza y considerando además las condiciones actuales y planes futuros de la organización desarrolladora. Esto permite analizar al mismo tiempo proyectos con características diferentes en cuanto a los criterios analizados y contemplar otros elementos como: duración, costos, riesgos, etc.
SÍNTESIS DE APLICACIÓN DEL MÉTODO PROPUESTO
Para mostrar la aplicación práctica del método propuesto para realizar análisis de factibilidad de proyectos de software, se desarrolla un ejemplo ilustrativo aplicado a un entorno de desarrollo de software en la Universidad de las Ciencias Informáticas de Cuba.
Dentro de la fase de iniciación, primeramente se seleccionaron tres proyectos
de los que se tienen los resultados reales del análisis de factibilidad que se le hizo antes de su inicio. Toda la información disponible de cada proyecto se encuentra en la herramienta informática Xedro-GESPRO (Piñero, Torres e Izquierdo, 2013) que emplea la institución para gestionar sus proyectos. En este acápite solo se presenta una breve descripción sobre estos:
p1: Tiene como objetivo informatizar todos los procesos aduanales del país, aprovechando el desarrollo de las tecnologías que se están llevando a cabo en estos momentos como apoyo para el control de los mismos. Es una solución web desarrollada sobre tecnologías libres.
p2: Tiene como objetivo informatizar un sistema penitenciario para apoyar los procesos de control, tratamiento y atención a los internos en los establecimientos penitenciarios; así como los de todos los niveles de mando. Incluido el diseño de un almacén de datos. La propuesta de solución está basada en una aplicación web.
P3: Tiene como objetivo diagnosticar del estado actual de una empresa en las dimensiones de la arquitectura empresarial para conocer las principales debilidades y oportunidades existentes, determinar el estado deseado y los estados intermedios para alcanzarlo.
Considerando las características de los proyectos a evaluar se analizó la síntesis curricular de un grupo de expertos candidatos, seleccionando finalmente un grupo
de seis expertos que presenta las siguientes características:
- El 50 % forma parte del claustro del programa de Maestría en Gestión de Proyectos Informáticos, acreditada de excelencia en 2015.
- El 83 % se ha desempeñado durante cinco años o más en equipos de proyectos informáticos.
- El 100 % se ha desempeñado como líder de equipos de proyecto.
Siguiendo el método grupo focal se seleccionaron diez criterios (tabla 5) a partir de criterios definidos previamente en Peña (2012). Luego, los seis expertos asignaron pesos a los criterios según el nivel de importancia que le concedieron. El peso final de cada criterio es el que se presenta en la columna "peso" de la tabla 5.
En la fase de evaluación los seis expertos procedieron a emitir sus preferencias de manera heterogénea. Los expertos {e1, e3, e4, e6} utilizaron el dominio lingüístico auxiliándose del CTL de cinco términos que se muestran en la figura 3. Mientras que el experto {e2} utilizó una escala numérica entre 1 y 5. Por su parte, el experto {e5} empleó un dominio intervalar acotado entre [0,0; 1,0]. Las preferencias recopilas sobre los tres proyectos se muestran en la tabla 6.
Luego las preferencias heterogéneas fueron unificadas sobre el dominio lingüístico, utilizando el CBTL de siete términos, propuesto en la actividad 2 de la fase de evaluación (figura 2). El resultado de la unificación es el que se expone en la tabla 7.
Una vez unificadas las preferencias sobre el dominio lingüístico, se procedió a computar el valor colectivo (agregación) de cada criterio para cada proyecto. Para esta actividad se empleó el operador "media aritmética para 2-tuplas". Los resultados de esta actividad se exponen en la columna "valores colectivos de los criterios" de la tabla 8. Por último, utilizando el operador media ponderada para 2-tuplas, se calculó la factibilidad global de cada proyecto. Los valores obtenidos se ofrecen en la última columna de la tabla 8.
La información de la tabla 8, constituye el principal insumo para la toma de decisiones sobre los proyectos evaluados. Como se comentó anteriormente, esa información puede analizarse de diferentes maneras, según la naturaleza de los proyectos y las condiciones actuales de la entidad desarrolladora. Inicialmente sería razonable interpretar los resultados de la evaluación global de los proyectos y, luego, si fuese necesario, refinar el análisis particularizando sobre algunos de los criterios. Para la comparación de las evaluaciones se emplearán los operadores de comparación para 2-tuplas.
Los resultados de la evaluación de los tres proyectos fueron:

Al aplicar los operadores de comparación se puede observar que se cumple el que plantea: para las 2-tuplas (sk, α1) y (sl, α2) que representan dos valoraciones, si k > 1 entonces (sk, α1) > (sl, α2). Por lo que, teniendo en cuenta la semántica del CBTL y los valores de la evaluación global, p1 es el proyecto más factible, mientras que p3 es el de menor factibilidad.
A partir de estos resultados, los decisores podrán tomar las medidas más apropiadas según los intereses y condiciones actuales de la organización, en cuanto a disponibilidad de recursos humanos y financieros. Como en este caso los tres proyectos resultaron ser factibles, la dirección de la organización podría aprobar los tres, si dispone de los recursos necesarios. Si, por el contrario, decide no ejecutar todos los proyectos, podría auxiliarse de otros elementos como el resultado individual de los criterios; o analizarlos agrupados según su clasificación en técnicos, comerciales y sociales. Cualquiera que sea la decisión sobre los proyectos a ejecutar, el análisis individual de los criterios contribuye a identificar y gestionar los riesgos del proyecto.
Comparación de resultados con el método AHP
Para comparar los resultados del método propuesto con los del método AHP, se ha evaluado la factibilidad de los proyectos con los mismos criterios y los mismos expertos, utilizando el método AHP. Como se observa en la tabla 9, el orden de factibilidad global de los proyectos coincide. No obstante, existen diferencias entre los resultados de los métodos que radican en:
- El método propuesto brinda como salida final una 2-tupla compuesta por un término lingüístico que indica el valor de factibilidad del proyecto y un valor numérico entre [-0,5; 0,5) que representa la precisión de ese resultado. Mientras que el AHP muestra un vector de prioridad global expresada en valores entre 0 y 1, donde mientras exista mayor cercanía a 1, el proyecto será más factible.
- El método propuesto permite emitir preferencias en diferentes dominios de expresión, mientras que el AHP limita a los expertos a utilizar una escala numérica definida por su autor (Saaty, T., 2003).
- El método propuesto permite evaluar tanto proyectos individuales como carteras de proyectos, mientras que el AHP, por ser un método para jerarquizar alternativas, no puede emplearse para evaluar proyectos individuales.
Comparación cualitativa con otros modelos de evaluación de proyectos
Con el objetivo de comparar cualitativamente el método propuesto con algunos de los modelos de evaluación de proyecto, se seleccionan seis indicadores que cubren aspectos esenciales para afrontar un análisis de factibilidad con múltiples expertos y múltiples criterios, en condiciones de incertidumbre:
- Facilidades para el análisis de factibilidad técnica.
- Facilidades para el análisis de factibilidad social.
- Facilidades para el análisis de factibilidad comercial.
- Tratamiento de la incertidumbre de la información.
- Tratamiento a la pérdida de información.
- Permite modelado lingüístico.
Como se evidencia en la tabla 10, el método propuesto permite el tratamiento a la incertidumbre de la información al igual que otros; sin embargo, el uso de la computación con palabras dota al modelo propuesto de mayores potencialidades para esto. El tratamiento a la pérdida de información es un elemento en el que supera al resto de los modelos. Las facilidades para evaluar los proyectos, a través de variables lingüísticas, brindan mayor flexibilidad a los expertos para emitir sus preferencias. Además, ha sido creado específicamente para brindar facilidades para realizar análisis de criterios técnicos, sociales y comerciales. La combinación del modelado lingüístico con el tratamiento a la incertidumbre de la información y la capacidad de evitar la pérdida de información durante la agregación, hacen del modelo propuesto una opción más integral que las restantes.
CONCLUSIONES
En la presente investigación se ha propuesto un método para realizar análisis de factibilidad de proyectos de software en entornos de incertidumbre. Como principales conclusiones se tienen las siguientes:
- Existe un alto índice de fracaso de proyectos informáticos, donde incide el aumento de los costos durante la ejecución; incumplimiento en los cronogramas pactados; deficiencias en la estimación de los tiempos y costos; entre otros. Los análisis de factibilidad pueden tributar al éxito de los proyectos.
- El análisis de factibilidad de proyectos de software constituyen un problema de toma de decisiones multiexperto y multicriterio, que se desarrolla en condiciones de incertidumbre.
- Dado el carácter multiexperto del análisis de factibilidad, debe brindarse la posibilidad de expresar valoraciones en diferentes dominios, que consideren la incertidumbre y la naturaleza de los criterios. El modelo de representación lingüístico basado en 2-tuplas, es una solución favorable para el tratamiento de la información heterogénea sin pérdida de información, como demandan los análisis de factibilidad.
- El modelo presentado para realizar análisis de factibilidad se divide en dos fases: iniciación y evaluación, y propone la aplicación del modelo de representación lingüístico basado en 2-tuplas con todas las actividades a realizar, así como las entradas y salidas del método.
- Para mostrar la utilidad práctica del método propuesto, se aplicó experimentalmente a una muestra de tres proyectos de la Universidad de las Ciencias Informáticas de Cuba. Los resultados de los tres proyectos fueron positivos, aunque con diferentes valores de factibilidad y precisión. La evaluación global arrojó que p1 es el proyecto más factible, mientras que p3 es el de menor factibilidad.
REFERENCIAS BIBLIOGRÁFICAS
Arza, L. (2013). Modelo computacional para la recomendación de roles en el proceso de ubicación de estudiantes en la industria de software. Tesis doctoral. La Habana: Universidad de las Ciencias Informáticas. [ Links ]
Balcázar, P., González, N., Gurrola, G., & Moysén, A. (2015). Investigación Cualitativa. Toluca, México: Universidad Autónoma del Estado de México. Obtenido de http://ri.uaemex.mx/handle/20.500.11799/21589, ISBN 968-835-947-5. [ Links ]
Bermúdez, A.; Lugo, J.A. y Piñero, P.Y. (2015). An Adaptive-Network-Based Fuzzy Inference System for Project Evaluation. Ingeniería y Universidad, 19(2), 299-313. doi: 10.11144/Javeriana.iyu19-2.sdib. [ Links ]
Bolaños, R. y Correa, C. (2014). Planeamiento de la transmisión considerando seguridad e incertidumbre en la demanda empleando programación no lineal y técnicas evolutivas. Revista Tecnura, 18(39), 62-76. [ Links ]
Bouchon-Meunier, B.; Rifqi, M. y Bothorel, S. (1996). Towards general measures of comparison of objects. Fuzzy Sets and Systems, 84(2), 143-153. [ Links ]
Burstein, F. y Holsapple, C. (2008). Handbook on Decision Support Systems 1. Berlín: Springer-Verlag Berlin Heidelberg. [ Links ]
Cables, E.; García, M.S. y Lamata, M. (2012). The LTOPSIS: An alternative to TOPSIS decision-making approach for linguistic variables. Expert Systems with Applications, 39(2), 2119-2126. [ Links ]
Chen, C.T.; Hung, W.Z. y Cheng, H.L. (2011). Applying linguistic PROMETHEE method in investment portfolio decision-making. International Journal of Electronic Business Management, 9(2), 139-148. [ Links ]
Delgado, M.; Verdegay, J. y Vila, M. (1993). On aggregation operations of linguistic labels. International Journal of Intelligent Systems, 8(3), 351-370. [ Links ]
Herrera, F. y Martínez, L. (2000). A 2-tuple fuzzy linguistic representation model for computing with words. IEEE Transactions on Fuzzy Systems, 8(6), 746-752. [ Links ]
Herrera, F. y Martínez, L. (2001). A model based on linguistic 2-tuples for dealing with multigranularity hierarchical linguistic contexts in multiexpert decision-making. IEEE Transactions on Systems, Man and Cybernetics. Part B: Cybernetics., 31(2), 227-234. [ Links ]
Herrera, F.; Alonso, S.; Chiclana, F. y Herrera-Viedma, E. (2009). Computing with words in decision making: foundations, trends and prospects. Fuzzy Optimization and Decision Making, 8(4), 337-364. [ Links ]
Herrera, F.; Herrera-Viedma, E. y Martínez, L. (2008). A fuzzy linguistic methodology to deal with unbalanced linguistic term sets. IEEE Transactions on Fuzzy Systems, 16(2), 354-370. [ Links ]
Herrera, F.; Martínez, L. y Sánchez, P. (2005). Managing non-homogeneous information in group decision making. European Journal of Operational Research, (166), 115-132. doi: 10.1016/j.ejor.2003.11.031. [ Links ]
International Project Management Association (IPMA) (2015). Standars. Recuperado el 20 de enero de 2015, de: http://www.ipma.world/resources/standards. [ Links ]
International Organization for Standardization ISO (2012). ISO 21500 Guidance on project management. Recuperado el 20 de enero de 2016, de: http://www.iso.org/iso/catalogue_detail?csnumber=50003. [ Links ]
Martínez, L. y Herrera, F. (2012). An overview on the 2-tuple linguistic model for computing with words in decision making: Extensions, applications and challenges. Information Sciences, 207(1), 1-18. [ Links ]
Melo, J.A. y Cortés, C.A. (2016). Análisis de vulnerabilidad de sistemas de potencia incluyendo incertidumbre en las variables con lógica difusa tipo 2. Revista Tecnura, 20(49), 100-119. doi: 10.14483/udistrital.jour.tecnura.2016.3.a07. [ Links ]
Novoa, P.; Cruz, C. y Pelta, D. (2014). Un estudio comparativo sobre la evolución diferencial auto-adaptativa en ambientes dinámicos. Revista Cubana de Ciencias Informáticas, 8(4), 86-99. [ Links ]
Office of Government Commerce (OGC) (2009). Managing Successful Projects with PRINCE2. Londres: Renouf Pub Co Ltd. [ Links ]
Peña, M. (2012). Modelo para análisis de factibilidad en la evaluación de proyectos de software. Tesis de maestría. La Habana: Universidad de las Ciencias Informáticas. [ Links ]
Piñero Pérez, P.; Torres, S. e Izquierdo, M. (2013). GESPRO Paquete para la gestión de proyectos. Nueva Empresa, 9(1), 45-53. La Habana: GECYT. [ Links ]
Pressman, R.S. (2010). Software Engineering: A Practitioner's Approach. 7a. ed. Nueva York: McGraw-Hill. [ Links ]
Project Management Institute (PMI) (2013). Guía de los fundamentos para la gestión de proyectos. 5a ed. Newtown Square, Pennsylvania. [ Links ]
Rodríguez, R.M. (2010). Un nuevo modelo para procesos de computación con palabras en toma de decisión lingüística. Tesis doctoral. Jaén: Universidad de Jaén, Departamento de Informática. [ Links ]
Saaty, T. (2003). Fundamentals of Decision Making and Priority Theory with the Analytic Hierarchy Process. Pittsburgh: RWS Publications. [ Links ]
Saaty, T.L. (1990). How to Make a Decision: The Analytic Hierarchy Process. European Journal of Operational Research, 48(1), 9-26. [ Links ]
Software Engineering Institute (SEI) (2010). CMMI for Dev v1.3. Pittsburgh: Carnegie Mellon University. [ Links ]
The Standish Group. (2015). CHAOS Report. Boston: The Standish Group. [ Links ]
Torres, S. (2015). Modelo de evaluación de competencias a partir de evidencias durante la gestión de proyectos. Tesis doctoral. La Habana: Universidad de las Ciencias Informáticas. [ Links ]
Trujillo, Y. (2014). Modelo para valorar las organizaciones desarrolladoras de software al iniciar la mejora de procesos. Tesis doctoral. La Habana: Universidad de las Ciencias Informáticas. [ Links ]
Wang, W.P. y Tang, M.C. (2015). A Multi-criteria Assessment for R&D Innovation with Fuzzy Computing with Words. En: H.A. Le Thi, T.P. Dinh, N.T. (eds.). Nguyen Modelling, Computation and Optimization in Information Systems and Management Sciences (pp. 3-14). Metz, Francia: Springer International Publishing. [ Links ]
Zadeh, L. (1996). Fuzzy logic = computing with words. IEEE Transactions on Fuzzy Systems, 4(2), 103-111. [ Links ]
Zulueta, Y. (2014). Modelos de evaluación de la importancia del impacto ambiental en contextos complejos bajo incertidumbre. Tesis doctoral. Granada: Universidad de Granada, Departamento de Ciencias de la Computación e Inteligencia Artificial. [ Links ]


































