SciELO - Scientific Electronic Library Online

 
vol.22 issue4Determinants of birth weight among children of irregular migrant Venezuelan women in Barranquilla and RiohachaViolence forms among university students from Junin Región, Perú author indexsubject indexarticles search
Home Pagealphabetic serial listing  

Services on Demand

Journal

Article

Indicators

Related links

  • On index processCited by Google
  • Have no similar articlesSimilars in SciELO
  • On index processSimilars in Google

Share


Revista de Salud Pública

Print version ISSN 0124-0064

Rev. salud pública vol.22 no.4 Bogotá July/Aug. 2020  Epub Oct 20, 2020

https://doi.org/10.15446/rsap.v22n4.86460 

Artículos/Investigación

Completitud de los reportes de mortalidad en el sistema de estadísticas vitales en la Orinoquía colombiana, 2017

Completeness of mortality reports in the vital statistics system in the Colombian Orinoquia, 2017

Oscar A. Gutiérrez-Lesmes1 

Hugo de Jesús Grisales-Romero2 

1 OG: Regístered Nurse. Esp. Epidemiología. M. Sc. Gestión Ambiental Sostenible. Ph. D. Epidemiología. Profesor Asociado, Escuela de Salud Pública, Universidad de los Llanos. Villavicencio, Colombia. oagutierrez@unillanos.edu.co

2 HG: Matemático puro. Esp. Estadística. M. Sc. Epidemiología. Ph. D. Epidemiología. Profesor titular, Facultad Nacional de Salud Pública. Universidad de Antioquia. Medellín, Antioquia. hugo.grisales@udea.edu.co.


RESUMEN

Objetivo

Estimar la integridad, en términos de completitud, de los registros de mortalidad en el sistema de información de estadísticas vitales de la Orinoquía colombiana y sus departamentos.

Metodología

Se realizó un estudio descriptivo, con fuente de información secundaria, procedente de los registros de defunciones no fetales reportados en los sistemas de estadísticas vitales de cada departamento. Se usaron métodos de distribución de la mortalidad de Brass, de Preston Coale, de Hill y de Bennet-Hourichi para estimar la integridad de los registros.

Resultados

Se encontró completitud en los registros de mortalidad de mujeres y hombres (≥95%) en Meta, y en los hombres de la Orinoquía y Arauca (≥95%), en contraste con los registros del resto de unidades territoriales, donde se presenta subregistro.

Conclusiones

Tanto la dinámica demográfica como la migración influyeron en los resultados obtenidos en la integridad de los registros de mortalidad y, por ende, también en la selección del método más adecuado para estimar la integridad; cuando la población no es estable, ni cerrada, se deben aplicar métodos basados en dos censos con tasas de crecimiento específica y ajuste por migración; si no existe información sobre migración, es recomendable el método de Hill.

Palabras Clave: Mortalidad; registros de mortalidad; omisiones de; migración interna; estadísticas vitales; censos (fuente: DeCS, BIREME)

ABSTRACT

Objective

Estimate the integrity, in terms of completeness, of the mortality records in the vital statistics information system of the Orinoquia and its departments.

Methodology

A descriptive study was carried out, with a secondary source of information, from the records of non-fetal deaths reported in the vital statistics systems of each department, using methods of distribution of the mortality of Brass, Preston-Coale, Hill and Bennet-Hourichi to estimate the integrity of the records.

Results

Completeness was found in the mortality records of women and men (≥95%) in Meta, and in the men of Orinoquia and Arauca (≥95%), in contrast to the records of the rest of the territorial units, where under-registration is presented.

Conclusions

Both demographic dynamics and migration influenced the results obtained from the integrity of the mortality records, therefore, also in the selection of the most appropriate method to estimate integrity; when the population is neither stable nor closed, methods based on two censuses with specific growth rates and migration adjustment should be applied; if there is no information on migration, the Hill method is recommended.

Key Words: Mortality; mortality registries underregistration internal migration; vital statistics censuses (source: DeCS, BIREME)

En los sistemas de información que reportan defunciones es común la falta de completitud o subregistro 1-3; este puede presentarse debido a errores al momento del ingreso de la información al sistema, a la dificultad de acceso geográfico, a las prácticas culturales sobre la inhumación 4-6, pero su efecto más importante es que ignorarlo origina subestimación en las tasas de mortalidad 7,8. El subregistro expresa la diferencia entre la unidad y la cobertura, esto es, S = 1-C, donde (S) es el subregistro y (C) es la cobertura, también conocida como integralidad o completitud de los registros, que se da en porcentaje 9.

Para los sujetos de 5 años o más, se reconocen los métodos de sobrevivencia intercensal, métodos de sobrevivencia de parientes y métodos de distribución de defunciones 3,10. La eficacia de estos últimos ha sido demostrada en países con problemas de cobertura 2,8,10,11. Se dividen en dos grupos: los basados en la ecuación de equilibrio del crecimiento (EEC) y los basados en Generaciones Sintéticas Extintas (GSE) 1,2,5,10,11.

El grupo de los métodos de la EEC se basa en la relación encontrada para poblaciones estables y cerradas a migración, en donde el número de personas de una población en el t2 es el número de personas en el tiempo t1 ajustadas por los nacimientos, menos las defunciones ocurridas en entre el t1 y el t28,12-16. En este grupo se encuentran el método de Brass y el Método de Hill:

El primero asume el supuesto de estabilidad poblacional, que crece a un ritmo constante cada año, en todos los grupos de edad, donde esta tasa de crecimiento, r, es igual a la tasa de natalidad menos la tasa de mortalidad 8,13. El método de Hill es una variante del de Brass, desarrollado para poblaciones no estables y abiertas 12.

El grupo de los métodos de las GSE se basa en que el número de personas a una edad específica en un momento determinado del tiempo debe ser igual al total de muertes en esa cohorte, desde ese momento hasta que muere el último sobreviviente 17,18; en este grupo se encuentran los métodos de Preston-Coale y de Benneth-Horiuchi.

Preston-Coale se suscribe al supuesto de estabilidad en la población, cerrada a la migración 8,17; compara los valores observados con los estimados de las distribuciones para calcular la distribución real de la mortalidad y del número de muertes por grupo etario, contra el conteo de la población correspondiente 5.

El método Benneth-Horiuchi es una variante del método de Preston-Coale 2,19, ajustada para poblaciones abiertas sin estabilidad demográfica 8,10-12,15,20.

Esta investigación buscó determinar la completitud de los registros de mortalidad de los departamentos de la Orinoquía colombiana. Se estimó la completitud del registro en la población de 5 o más años de edad, aplicando métodos DDMS.

MATERIALES Y MÉTODOS

Se realizó un estudio descriptivo retrospectivo, mixto, considerando los casos de mortalidad no fetal, ocurridos en los departamentos del Arauca, Casanare, Meta y Vichada, que fueron notificados al sistema de estadísticas vitales (EEVV), entre los años 2010 y 2017. La fuente de información fueron las bases de datos de registros de defunciones; la información de la población expuesta al riesgo de muerte se obtuvo de las estimaciones poblacionales entre los años 1985-2005 y de las proyecciones de población nacional de los años 2005 a 2020 del Departamento Nacional de Estadística (DANE); la migración neta se tomó de las estimaciones de la migración 1985-2005 del DANE; para la valoración de la completitud en la Orinoquía, se totalizaron los saldos de las migraciones departamentales.

La calidad del contenido de la declaración de la edad y del sexo de los censos, de 1985, 1993 y 2005, realizados por el DANE, que se catalogó como adecuada, se asumió en las estimaciones requeridas en este estudio 21.

Para estimar la completitud, se aplicaron cuatro Métodos de DDMS 1,5, dos del grupo EEC, el de Brass 22 y una variante de este elaborada por a Hill 16, y dos del grupo GSE, el de Preston-Coale 18 y una variante de este desarrollado por Benneth-Horiuchi 19.

Con los métodos de Brass y Preston-Coale, se utilizaron datos de defunciones de 2017 y las proyecciones de población para el mismo año; con los métodos de Hill y Bennet-Hourichi, se usaron las proyecciones censales para los años 2010 y 2017, junto con los saldos de migraciones y casos de defunciones acumulados para el periodo de tiempo. Se usó el criterio de Dicker et ál. del 2018 1, para valorar la completitud de los registros, aquellos en que la cobertura fueran como mínimo del 95%.

Método Brass

Se asumieron los supuestos teóricos de estabilidad en la población, cerrada a migraciones, una tasa de crecimiento poblacional constante en cada grupo de edad 13,22 en las unidades territoriales; también se asumió que la integridad en la notificación era igual para todas las edades y sexo en los reportes del sistema de EEVV. Para la estimación de la cobertura se construyeron dos modelos, diferenciados en los grupos de edad utilizados. En el primer modelo, el rango de edad empleado fue de los 5 a los 75 años, debido a que en ninguna unidad territorial se encontró exageración, ni residuos superiores al 1%, mediante valoración gráfica y de los residuos de la regresión 13; para el segundo modelo, el criterio de selección de los grupos de edad se basó en la estimación de la migración, excluyéndose aquellos donde se ha reportado que ocurren las mayores tasas de migración; así, el rango de edad utilizado varió entre 35 y 75 años. Este tipo de ajuste produce mejores estimaciones que simplemente ignorar la migración 5,13. Se procedió a calcular la completitud mediante la siguiente ecuación 13,23.

Donde x representa a la edad, r la tasa de crecimiento, b la tasa de "sujetos que 'nacen' o inician en intervalo de edad x", dr representa la tasa de mortalidad basada en las muertes registradas y k es 1/c, y c es la cobertura del registro de defunciones.

Se realizaron los cálculos de la población y mortalidad acumulada en el periodo para los grupos de edad, los años-persona de exposición, sujetos que "nacen" o inician en intervalo de edad x, para, con esto datos, calcular las tasas parciales de nacimiento y mortalidad. Con las tasas parciales b y d r , mediante regresión ortogonal se obtuvo k como pendiente y r como intercepción. De la inversa de k se obtuvo C:

Donde k es la pendiente de la recta y r la intersección, y i representa la b(x+), x. representa la d r (x+), μ y y μ x representan las medias de las dos series, respectivamente y c la completitud del registro.

Método Hill

Se utilizó bajo los supuestos del método de Brass 11,12,16,22, exceptuando el de población estable y cerrada. En cambio el método Hill permite estimar una tasa de crecimiento para cada grupo de edad y sexo para la población, mediante la incorporación en su métrica de la información poblacional de dos censos y la migración neta 2,11,13,16,24.

Para definir el rango de edad en la estimación de la cobertura, se evaluó la exageración de la edad reportada mediante la valoración gráfica y de los residuos de la regresión 12; en ninguna unidad territorial se encontró exageración ni residuos superiores al 1%, lo que sustentó la elección de un rango de edad de 5 años a 75 años; para el cálculo de las tasas de crecimiento, se aplicaron 2 modelos: el primero, sin ajuste migratorio, y el segundo, con ajuste por migración neta en cada grupo de edad y sexo, bajo el supuesto de una cobertura de los registros igual y exacta para todas las edades y sexo 2,25. El cálculo de la completitud se basó en la siguiente ecuación, modificada por Hill 12,23:

Siendo

Donde b r es la tasa parcial de sujetos que nacen o inician en intervalo de edad x, r r la tasa de crecimiento poblacional, d r (x+) la tasa parcial de mortalidad basada en las muertes registradas, i(x+) la migración neta, k 1 la cobertura del primer censo, k 2 la cobertura del segundo censo, y c es la completitud del registro.

Una vez se realizaron los cálculos de la población y mortalidad acumulada en el periodo para los grupos de edad, los años-persona de exposición, sujetos que "nacen" o inician en intervalo de edad x, se calcularon las tasas parciales de nacimiento y mortalidad, la cuales fueron usadas para el cálculo de la completitud. Con las tasas parciales b r y d r calculadas, mediante regresión ortogonal se calculo b como pendiente y a como intercepción, de la inversa de b se obtuvo C:

Donde b es la pendiente de la línea y a la intersección, y { representa b r (x+) - r r +i(x+), x representa la d r (x+), μ y y μ x representan las medias de las dos series, respectivamente, y c, la completitud del registro.

Método Preston-Coale

Se asumieron supuestos de estabilidad de la población, cerrada a migraciones 5,17, inexistencia de errores en la declaración de la edad en el censo y en las defunciones, junto con una cobertura del registro igual para todas las edades en los reportes del sistema de EEVV 5,8. Se aplicaron dos modelos; las tasas de crecimiento inicial (TCI) y la esperanza de vida de la edad x fueron obtenidas de los modelos 1 y 2 de Brass. El cálculo de la población sintética, requerida para el cálculo de c, se realizó con la siguiente ecuación 17,23:

Donde: es la población sintética, la suma de las defunciones futuras encada grupo de edad; D a r son las muertes registradas en el sistema de EEVV en el mismo momento de (bajo el supuesto de población cerrada y estable), e ra-x es el factor de crecimiento exponencial y r es la tasa de crecimiento de la población estable.

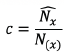
El cálculo de la completitud se realiza mediante la siguiente ecuación 17,23:

Siendo la población sintética y N x la población observada.

Método Bennett-Horiuchi

Para este método, se asumen los mismos supuestos que para el método Preston-Coale, menos el de la estabilidad de la población; permite estimar las tasas de crecimiento para cada grupo de edad, incorporando en su métrica dos poblaciones censales y la migración neta durante el período intercensal 5,19,20,24; se aplicaron 2 modelos: el primero, sin ajuste migratorio; el segundo, con ajuste por la migración neta. La estimación de la cobertura de un censo en relación al otro (delta) y la esperanza de vida usada para cada modelo se obtuvieron de la aplicación de los modelos uno y dos, del método de Hill, en cada unidad geográfica; finalmente, también se asumieron supuestos de cobertura y en la exactitud en edades declaradas. El cálculo de la población sintética, requerida para el cálculo de c, se realizó con la siguiente ecuación 20,23:

Donde: es la población sintética, la suma de las defunciones futuras encada grupo de edad; D a r son las muertes registradas en el sistema de EEVV en el mismo momento de N x , e rα-x es el factor de crecimiento exponencial y r x es la tasa de crecimiento de la población.

Donde k 1 es la cobertura de la población del primer censo, k 2 es la cobertura del segundo censo, NM x la migración neta intercensal, t 2 y t 1 son la fecha de cada censo.

El cálculo de la completitud se realiza mediante la siguiente ecuación 20,23. Siendo la población sintética y N x la población observada.

El cálculo de la población observada se realiza mediante la siguiente ecuación20,23.

RESULTADOS

Con la evaluación del reporte de edad y sexo en las bases de datos de mortalidad no fetal de los departamentos, se encontró que la falta de reporte no superó el 0.5; el número de muertes según grupo de edad y sexo para cada una de las unidades territoriales final está registrado en la Tabla 1.

Basados en el criterio de Dicker et ál. 2018 1, se evidencia completitud solo en los registros de hombres y mujeres del Meta y en los registros de los hombres de la Orinoquía y Arauca. Con los métodos de Hill y Benneth-Horiuchi, la C de todas la unidades territoriales es mayor, comparada con la obtenida mediante los métodos de Brass y Preston-Coale.

En la Tabla 2 se presentan los resultados de la integridad de la región de la Orinoquía y sus departamentos del año 2017. Con el Método Brass, en el primer modelo se estimaron C inferiores al 95% en todas la unidades territoriales; al aplicar el segundo modelo, con control de la migración y restricción de grupos de edad , se observó un aumento en la C entre 6.3% y 19.4% en las unidades territoriales, comparada con la C del primer modelo (menos en el departamento del Vichada), pero sin alcanzar una C superior al 95%. Con el Método de Preston-Coale, en el modelo 1 todas las C fueron inferiores al 95%; al aplicar el modelo 2, las C aumentaron entre un 11,3% y un 38,3%, respecto al modelo uno, pero ninguna unidad territorial alcanzo una C superior al 95%.

El cambio en la C de todas la unidades territoriales, al ser ajustadas por migración, se evidenció el efecto de dicho ajuste sobre la estimación de la C. Es importante aclarar que este ajuste en la migración, que restringe los grupos de edad considerados en cada modelo, no discrimina la migración neta ni ajusta todos los grupos de edad.

Con el método de Hill, modelo 1, se alcanzaron C adecuadas para el Meta: hombres, 95%; mujeres 98%, y los hombres en la Orinoquía, 95%, y Arauca, 97%. Con el modelo 2, al incorporar la migración neta, ocurrió un aumento que puede considerarse bajo para la mujeres en Casanare de 1,3%; en el Meta, 3,2% en mujeres y 4% en hombres, pero un mayor efecto en el Arauca, donde la C disminuyó en 15% para la mujeres y en 8%, para los hombres; así, la C de los hombres de Arauca registró una cifra inferior al 95%). Es importante aclarar que la migración neta de Arauca es negativa, la misma supera el número de defunciones de Arauca y es alta comparada con la relación migración-población censal de las otras unidades territoriales.

Tabla 1 Número de muertes registradas según sexo y grupo de edad en cada unidad territorial (2010-2017) ** 

Orinoquía Arauca Casanare Meta Vichada
Edad H* M H M H M H M H M
0-4 1717 1397 263 186 332 283 973 785 150 143
5-9 216 153 46 30 50 32 111 87 8 4
10-14 270 183 55 25 65 45 137 103 12 10
15-19 951 376 214 74 184 78 528 201 25 23
20-24 1583 373 372 67 310 77 851 218 50 11
25-29 1543 420 343 63 276 96 881 246 43 15
30-34 1346 468 250 72 266 81 797 296 33 19
35-39 1216 543 209 83 232 122 745 318 29 20
40-44 1215 644 189 79 257 128 726 419 42 17
45-49 1327 796 191 109 301 157 785 512 50 18
50-54 1672 1051 228 149 309 191 1089 687 46 23
55-59 1947 1165 275 166 360 204 1260 767 52 27
60-64 2265 1380 303 197 441 232 1465 929 55 21
65-69 2657 1683 376 226 473 304 1748 1122 59 31
70-74 3129 2015 433 263 551 373 2085 1338 59 41
75-79 3289 2445 451 334 547 439 2231 1644 60 28
80+ 6778 6031 960 778 1105 1042 4614 4145 100 65
Total 33122 21124 5160 2903 6058 3885 21026 13817 876 518

*Hombre, fMujer; ** Ajustadas por prorrateo.

Tabla 2 Completitud de los registros de mortalidad en el sistema de información EEVV Según unidad territorial y método 

Brass Preston-Coale Hill Benneth-Horiuchi
C* C C* C C* C C* C
Mujer
Arauca 64 68 62 69 89 75 84 79
Casanare 60 70 53 73,3 76 77 75 78
Meta 62 74 56,9 69,5 95** 98** 94 97**
Vichada 27 26 27,8 23,8 37 36
Orinoquía 61 71 57,8 75 88 88 88 88
Hombre
Arauca 71 73 77,4 86,2 97** 89 95** 87
Casanare 62 71 55,9 75,2 87 87 86 88
Meta 75 86 69 95 98** 102** 95** 99**
Vichada 34 31 43,1 36,4 51 51
Orinoquia 72 81 64,7 82 95** 95** 92 91

* Modelo uno; f Modelo dos Ajustado por migración; No estimada por no disponibilidad de datos; ** Completa. Brass y de Preston-Coale 2017; Hill, Benneth-Horiuchi, 2010-2017.

Al aplicar el método de Benneth-Horiuchi, en el modelo 1 se alcanzó una C completa para hombres en Arauca (95%) y Meta (95%), pero al aplicar el modelo 2, la C en Arauca disminuyó (por las mismas razones que disminuyó con Hill); para la mujeres disminuyó un 6% y para los hombres, 8,2%, de modo que en los hombres se pierde la completitud de la C, pues registra un 87%; en las demás unidades territoriales la C aumentó: en el Meta fue del 4,2% en los hombres y del 3,2% en las mujeres; allí la C alcanzó la completitud, del 94% a 97%; en Casanare el aumento fue del 2,3% en los hombres y del 4% en las mujeres.

Al aplicar los métodos basados en dos censos, la C entre los métodos del grupo EEC, Brass vs. Hill, la diferencia de las C estimadas fue considerablemente alta, entre 16,2% y 48,6, al igual que al comparar los métodos del grupo GSE, Preston-Coale vs. Benneth-Horiuchi, en donde la diferencia en las C estimadas fue también alta: entre el 11,1% y el 57,7%.

DISCUSIÓN

La medición de la integridad en términos de completitud de los registros del sistema de EEVV parece verse afectada por el método utilizado y la dinámica demográfica de la población, como en el caso de la Orinoquía y sus departamentos.

Los ajustes en la métrica de los métodos basados en dos censos deben ser considerados como la mejor opción cuando la población a la que pertenecen los registros no es demográficamente estable, es abierta a migraciones y presenta una tasa de crecimiento variable en los diferentes grupos de edad 2,5,11,16,22. Este es el caso de la Orinoquía y sus departamentos, que cuentan con una población abierta por el fenómeno migratorio y no estable 26,27.

Ya que la inmigración neta no contabilizada ocasiona sobrestimación o subestimación en la estimación de la C del registro de defunciones en función de su saldo 13, es importante incorporar en la estimación la migración neta, ya que esta modifica la población censal, hecho que repercute en la estimación de las tasas de crecimiento y, por ende, en la estimación de C5,13. Debido a que el 15% de la migración interna colombiana es hacia la región de la Orinoquía 26 y durante el 2005 y 2020 la emigración en el departamento de Arauca y la inmigración hacia Casanare y el Meta han sido constantes 27, el método aplicado fue determinante en la cobertura estimada, pues se comprobaron cambios en los resultados de la completitud entre métodos.

Aunque se aplicaron modelos de ajuste migratorio teórico, basado en restricciones de grupos de edad en los métodos de un censo, en estos no se puede definir la direccionalidad de la migración, ni ajustar todos los grupos de edad, situación determinante en la estimación de la completitud 5,13. Al usar los métodos de Brass y Preston-Coale, con ajuste por migración en el departamento de Arauca, que tiene migración neta negativa, su C aumentó; pero, al usar Hill y Benneth-Horiuchi con ajuste con migración neta por grupo de edad, la C disminuyó, siendo este el comportamiento natural de la C al ajustarse mediante migración neta negativa. Los métodos adecuados para ajustar por migración son Hill y Benneth-Horiuchi 12,20.

Ahora, sobre otras mediciones de completitud de los registros de mortalidad de los departamentos de la Orino-quía colombiana, solo se dispone de la realizada en el año 2000 9, con una metodología basada en un censo, bajo el supuesto de tener poblaciones estables; los resultados obtenidos de la C, según sexo (hombre y mujer, respectivamente) fueron: Arauca: 61,7%, 45,4%; Casanare: 61,8%, 43,8%; Meta 77,4%, 66,9% y Vichada: 44,4%, 35,6%. Al comparar estos resultados con los obtenidas mediante métodos basados en un censo y sin ajuste migratorio de la presente investigación, las diferencias son notables: se encontraron mayores coberturas en 2017; estas diferencias se vuelven de mayor magnitud cuando se comparan con la C obtenida de estos modelos ajustados por migración.

Es importante aclarar que el sistema de EEVV colombiano, para el año 2000, funcionaba mediante un sistema de registro físico, y para el año 2017, mediante un sistema de registro electrónico; la capacidad de los sistemas de información de los departamentos ha cambiado en estos 17 años en términos técnicos y normativos 28,29. Así, es posible que parte de la diferencia se deba a mejoras en la integridad en términos de cobertura.

Es una condición necesaria en los métodos basados en un censo contar con una población estable y cerrada a migraciones; entonces su uso no sería adecuado para los departamentos de la Orinoquía 26,27. Aunque estos métodos pueden ser ajustados por migración, no es suficiente si no se ajustan todos los rangos de edad ni la direccionalidad de la migración 30. Sobre estos métodos de un solo censo, Agostinho (2008) señala que cuando no se cumplen los supuestos de una población estable, cerrada a migraciones y tasa de crecimiento constante, el cálculo de la C es inadecuado, así que no es pertinente utilizar estos métodos 24.

Las mediciones sobre completitud para colombianas reportan: para el 2013 una C de 74,7% 31, en el año 2000 una C de 74,1% 9 y para 1995 una C de 75,5% 6, pero estas mediciones son muy diferentes a las reportadas por Dicker et ál. en su estudio mundial 1 donde incluye a Colombia; la C fue determinada como completa desde el año 2005 1 hasta el 2015, de 92% para el año 2000 y del 90% para 1995; la diferencia puede estar relacionada con el métodos utilizados para su estimación, Dicker et ál. usaron métodos basados en dos censos, con tasas de crecimiento específico por grupo de edad y sexo, ajustada por migraciones.

La diferencia entre los estudios nacionales y el de Dicker et ál. es notable; al igual que la diferencia de las métricas utilizadas, la diferencia está en la misma dirección que la encontrada para los departamentos de la Orinoquía en esta investigación y la estimada para el 2000 9.

Desde una aproximación teórica a los métodos para la estimación del subregistro, el método GSE Bennett Ho-riuchi sería el indicado para estimar la completitud en unidades geográficas subnacionales 2,5. Sin embargo, en esta investigación el método Hill fue es más robusto en ausencia de datos netos de migración, situación presente para la Orinoquía y el Vichada.

Finalmente, ya que se observó un menor efecto de la migración sobre la C en las unidades territoriales estudiadas cuando se utilizó el método de Hill, este puede ser el método indicado para evaluar Vichada y la Orinoquía

como región, debido a que de estas unidades geográficas no se tienen datos sobre migración neta ♣

REFERENCIAS

1. Dicker D, Nguyen G, Abate D, Abate KH, Abay SM, Abbafati C, et al. Supplement to: GBD 2017 Mortality Collaborators. Global, regional, and national age-sex-specific mortality and life expectancy, 1950-2017: a systematic analysis for the Global Burden of Disease Study 2017. The lancet. 2018; 392(10159):1684-52. DOI:10.1016/S0140-6736(18)31891-9. [ Links ]

2. Moultrie T, Dorrington R, Hill A, Hill K, Timaus I, Zaba B. Tools for demographic estimation. Paris: International Union for the Scientific Study of Population; 2013. [ Links ]

3. Moultrie T. Tools for Demographic Estimation [Internet]. Paris: International Union for the Scientific Study of Population ; 2014 [cited 2020 Jun 2]. Available from: Available from: https://bit.ly/32Uqmeo . [ Links ]

4. Mathers CD, Vos T, Lopez AD, Salomon J, Ezzati M. National burden of disease studies: a practical guide. World Health Organization; 2001. [ Links ]

5. García J. Métodos de distribución de las defunciones para estimar la mortalidad adulta: un ejercicio comparativo en las Divisiones Administrativas Mayores de Venezuela, 2000-2010. Anais. 2017; 1-22. Available from: https://bit.ly/3mMYCjP. [ Links ]

6. Departamento Nacional de Estadística. La mortalidad en Colombia según condiciones de vida. Estudios censales. Bogotá: Gobierno de Colombia; 2000. [ Links ]

7. Organización Panamerica de la Salud. Lineamientos básicos para el análisis de la mortalidad. Washington, D.C.: OPS; 2017. [ Links ]

8. Hill K, Zlotnik H. Manual X. Técnicas indirectas de estimación demográfica: Nueva York, Naciones Unidas; 1986. [ Links ]

9. Rodríguez-García J. Descripción de la mortalidad por departamentos. Colombia año 2000. Bogotá: Universidad Javeriana; 2000 [cited 2020 Jun 2]. Available from: Available from: https://bit.ly/2EwIpOD . [ Links ]

10. Hill K. Métodos para estimar la mortalidad adulta en los países en desarrollo: una revisión comparativa. Notas de Población; 2003. [ Links ]

11. Hill K, You D, Choi Y. Death distribution methods for estimating adult mortality: sensitivity analysis with simulated data errors. Demographic Research. 2009; 21:235-54. DOI: 10.4054/DemRes.2009.21.9. [ Links ]

12. Dorrington R. The Generalized Growth Balance Method. 2013. In: Tools for Demographic Estimation [Internet]. Paris; [258-74]. Available from: Available from: https://bit.ly/330Cr1V. [ Links ]

13. UNFPA. The Brass Growth Balance Method [Internet]. Paris: UNFPA; 2013 [cited 2020 Jun 2]. In: Tools for Demographic Estimation [Internet]. Available from: Available from: https://bit.ly/3mQOLcU . [ Links ]

14. Brass W, Coale A. Methods of analysis and estimation. Mathematical Demography. Berlin: Springer; 1977. [ Links ]

15. Hill K, Queiroz B. Adjusting the general growth balance method for migration. Revista Brasileira de Estudos de População. 2010; 27(1):7-20. DOI:10.1590/S0102-30982010000100002. [ Links ]

16. Hill K. Estimating census and death registration completeness. Asian and Pacific population forum / East-West Population Institute, East-West Center. 1987; 1(3),8-13. [ Links ]

17. Dorrington R. The Preston-Coale method. 2013. In: Tools for Demo-graphic Estimation [Internet]. Paris; [209-21]. Available from: Available from: https://bit.ly/3hYJcoY. [ Links ]

18. Preston S, Coale AJ, Trussell J, Weinstein M. Estimating the complete-ness of reporting of adult deaths in populations that are approximately stable. Population Index. 1980:179-202. PMID: 12310104. [ Links ]

19. Bennett N, Horiuchi S. Estimating the completeness of death registration in a closed population. Population index. 1981; 207-21. DOI:10.1590/1980-5497201700050003. [ Links ]

20. Dorrington R. Synthetic extinct generations methods. In: Moultrie T, Dorrington R, Hill A, Hill K, Timaeus I, Zaba B. Tools for demographic estimation [Internet]. Paris: UNFPA ; 2013, p. 275-92 [cited 2020 Jun 2]. Available from: Available from: https://bit.ly/32VCnQJ . [ Links ]

21. Departamento Administrativo Nacional de Estadística. Estudios postcensales N.° 3. Bogotá: DANE; 2008. [ Links ]

22. Brass W. Methods for estimating fertility and mortality from limited and defective data; 1975. [ Links ]

23. Adaim T. Datos para la Salud. Melbourne: The University of Melbourne; 2016. [ Links ]

24. Agostinho C, Queiroz B. Estimativas da mortalidade adulta para o Brasil no período 1980/2000: uma abordagem metodológica comparativa. Anais. 2016 [cited 2020 Jun 2]:1-20. Available from: Available from: https://bit.ly/3l0T2cb . [ Links ]

25. Sacco N. La calidad de los datos de mortalidad del Censo 2010 de Argentina. Población y Salud en Mesoamérica [Internet]. 2016; 14(1):1-25. DOI: 0.15517/psm.v14i1.25306. [ Links ]

26. Profamilia, Ministerio de Salud y Protección Social. Encuesta Nacional de Demografía y Salud. Bogotá: Gobierno de Colombia ; 2015. [ Links ]

27. Departamento Nacional de Estadística. Proyecciones nacionales y departamentales de pobblación 2005-2020. Bogotá: Gobierno de Colombia ; 2010. [ Links ]

28. Ministerio de la Protección Social, Departamento Administrativo Nacional de Estadística. Nuevos certificados de nacido vivo y de defunción. Bogotá: Gobierno de Colombia ; 2007. [ Links ]

29. Ministerio de la Protección Social. Responsabilidades en el proceso de implantacion de la automatización de los certificados de nacido vivo y de defunción. Bogotá: Gobierno de Colombia ; 2008. [ Links ]

30. Sardi E. Especificaciones del proceso de conciliación censal como herramienta para la medición de la omisión censal a nivel nacional, Censo de 2005. Bogotá: DANE; 2008. [ Links ]

31. Ministerio de Salud y la protección Social. Indicadores Básicos 2015. Bogotá: Gobierno de Colombia ; 2016. [ Links ]

Recibido: 18 de Abril de 2020; Revisado: 08 de Mayo de 2020; Aprobado: 15 de Junio de 2020

Creative Commons License Este es un artículo publicado en acceso abierto bajo una licencia Creative Commons