Los anticuerpos antinucleares (ANA) son inmunoglobulinas que reaccionan contra diferentes componentes celulares autólogos nucleares o citoplasmáticos. La detección de ANA se emplea como prueba de tamizaje cuando existe sospecha clínica de una enfermedad autoinmune (EAI) 1. Diversos estudios han relacionado la presencia de ANA con otras patologías tales como enfermedades hepáticas, virales, gástricas 2, cáncer 3 y aborto espontáneo recurrente (RM) 4. Se ha descrito que la presencia de ANA, que incluye a los autoanticuerpos contra antígenos nucleares extraíbles (ENA), en pacientes con enfermedades del tejido conjuntivo proporciona información de relevancia inmunológica y fisiopatológica sobre la naturaleza de la enfermedad 5.
La determinación de anticuerpos antinucleares en sustratos de células humanas HEp-2 o variantes de esta línea celular 6, por la técnica de inmunofluorescencia (IFI) es considerada la gold standard en el cribado diagnóstico de EAI 7. Usualmente, se emplea esta técnica en la detección inicial debido a su alta sensibilidad. Posteriormente, se recomienda realizar pruebas más específicas como el ensayo inmunoenzimático (ELISA), el inmunoensayo lineal en soporte sólido (LIA) o Western blot 8,9.
Para el análisis de ANA mediante IFI, es necesario tomar en consideración el sustrato utilizado, la dilución y el patrón de fluorescencia 1,10. El título es relevante, ya que los ANA pueden ser positivos en diversas patologías e incluso en personas sanas. Los pacientes con enfermedades del tejido conjuntivo poseen, habitualmente, títulos elevados, mientras que en los individuos sanos los títulos son bajos. Las cantidades intermedias pueden detectarse en pacientes con conectivopatías, infecciones crónicas o neoplasias, ancianos y embarazadas 10,11.
A través del tiempo y con la evolución de las pruebas ANA, se ha producido un aumento continuo de los autoanticuerpos individuales y de los patrones de tinción de IFI relacionados con un espectro cada vez mayor de enfermedades autoinmunes, las cuales han sido investigadas ampliamente 12. Actualmente, se ha encontrado una asociación entre la positividad de ANA y COVID-19. Peker et al. 13 investigaron la presencia de ANA, anti-ADN de doble cadena (dsDNA), y anticuerpos contra el citoplasma de neutrófilos (ANCA) mediante inmunofluorescencia indirecta. Encontraron que 18 % de los pacientes con COVID-19 eran ANA positivos y 6 de ellos (12 %) presentaban un patrón IFI antinuclear.
Se espera que futuros estudios definan el perfil de autoanticuerpos en los pacientes con COVID-19 y la duración de la positividad. Sin embargo, el estudio realizado por Peker et al. 13 sugiere el impacto del SARS-CoV-2 en la autoinmunidad, ya que múltiples datos demuestran la probabilidad de que los pacientes infectados con SARS-CoV-2 desarrollen autoanticuerpos asociados a enfermedad autoinmune 13-15.
Por lo expuesto anteriormente, es de vital importancia establecer parámetros asociados al diagnóstico de enfermedades de etiología autoinmune en diversas zonas geográficas donde no se conocen datos precisos, así como identificar otros hallazgos fortuitos ante la positividad de ANA. Además, se deben describir las características de la población, los patrones encontrados y los títulos. El objetivo de la presente investigación fue determinar la prevalencia ANA en pacientes con diagnóstico presuntivo de enfermedad autoinmune en el Cantón Portoviejo, Manabí, Ecuador.
MATERIALES Y MÉTODOS
Se realizó un estudio observacional, descriptivo y retrospectivo de corte transversal, en el cual se incluyeron un total de 2 507 pacientes de 5 y más de 60 años, a quienes se les realizó determinación de ANA por IFI. Es importante señalar que el total de pacientes tenían diagnóstico presuntivo de EAI y fueron derivados a un laboratorio clínico privado en la ciudad de Portoviejo (Provincia Manabí, Ecuador) durante un año.
Aspectos bioéticos: para la realización de la presente investigación se siguieron normativas de ética y bioseguridad para la investigación médica en seres humanos, tomando en consideración la promulgación de la Declaración de Helsinki. Además, se obtuvo la aprobación de la institución para el uso de datos y se obtuvo el consentimiento informado de la población incluida en el estudio.
Manejo y procesamiento de datos: se empleó el programa estadístico SPSS Versión 21.0 para el análisis. Se realizó un análisis descriptivo utilizando frecuencias absolutas y relativas. Para el análisis inferencial, se llevaron a cabo pruebas de hipótesis utilizando la prueba t de Student para variables cuantitativas y la prueba de chi cuadrado para variables cualitativas. Se consideró significativo cualquier valor de p<0,005 con un nivel de confianza del 95 %.
RESULTADOS
Del total de pacientes incluidos en el estudio (n=2507), se encontró positividad para ANA en 743 pacientes (29,6 %). La distribución de los pacientes de acuerdo con el grupo etario mostró diferencias en las medias entre los grupos (44,20 ±18,28 en los casos negativos versus 47,82 ±17,46 en los casos positivos). Al aplicar la prueba t de Student para muestras independientes con un nivel de confianza del 95 %, se obtuvo un valor de p: 0,00; lo que indica que hay una diferencia significativa en la edad entre los grupos, diferencia que fue mayor en el grupo de pacientes con resultados positivos. En ambos grupos, la edad más frecuente de los pacientes con sospecha de EAI a los que se les realizó la prueba corresponde al grupo de edad de 40-59 años (30,2 % casos negativos versus 14,0 % casos positivos). En cuanto al sexo en los grupos de estudio, prevalece el sexo femenino (51,9 % casos negativos versus 23,9 % casos positivos). Se encontraron diferencias significativas en relación al sexo y el resultado de ANA, al aplicar la prueba de Ji cuadrado, con un valor de p:0,000 (Tabla 1).
Tabla 1 Distribución de pacientes de acuerdo con el sexo y grupo etario
| Variable | Casos negativos (n: 1765) | Casos positivos (n: 743) | ||
|---|---|---|---|---|
| n | % | n | % | |
| Edad en años*(Media ± DE) | (44,2±18,2) | (47,8±17,4) | ||
| ≤19 | 225 | 9,0 | 56 | 2,2 |
| 20-39 | 420 | 16,8 | 153 | 6,1 |
| 40-59 | 758 | 30,2 | 352 | 14,0 |
| ≥60 | 362 | 14,4 | 181 | 7,2 |
| Sexo** | ||||
| Femenino | 1301 | 51,9 | 599 | 23,9 |
| Masculino | 464 | 18,5 | 144 | 5,7 |
*T student para muestras independiente. Edad de acuerdo con al resultado de ANA: -4,5 p (95%): 0,000." **J2 para el sexo de acuerdo con el resultado ANA: 13,4 p≤0,000.
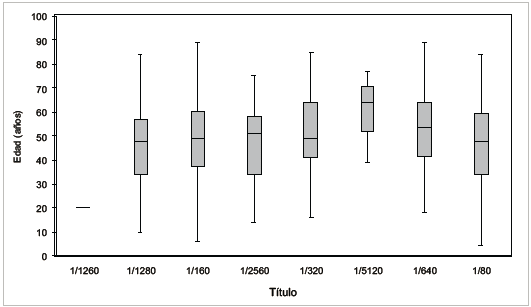
En la Figura 1 se presentan los títulos de anticuerpos antinucleares mediante la técnica inmunofluorescencia indirecta en pacientes con diagnóstico presuntivo de EAI de acuerdo con el grupo etario. De forma descriptiva, puede observarse que los títulos obtenidos se ubican en edades comprendidas entre 30 y 60 años, a excepción del título 1/5120, cuya edad se sitúa entre los 50 y 65 años. Sin embargo, al aplicar la prueba no paramétrica Kruskal Wallis, no se observaron diferencias significativas de títulos de acuerdo con el grupo etario (p≤0,125).

Figura 1 Títulos de anticuerpos antinucleares mediante IFI, en pacientes con diagnóstico presuntivo de EAI según el grupo etario
Se ha descrito que las EAI afectan alrededor de 3 a 5 % de los seres humanos, de los cuales un 80 % corresponde a mujeres en edad reproductiva. Al analizar los títulos de anticuerpos antinucleares mediante IFI según sexo en pacientes con diagnóstico presuntivo de EAI, se encontró que un 80,7 % de los casos positivos corresponden al sexo femenino. Desde el punto de vista descriptivo, se observan diferencias porcentuales entre las diluciones. Sin embargo, las mayores prevalencias de casos positivos se observan en ambos grupos en los títulos desde 1/80 (33,8 % en mujeres versus 10,2 % en hombres) hasta 1/320 (8,6 % en mujeres y 3,0 % en hombres) (Tabla 2).
Tabla 2 Títulos anticuerpos antinucleares por IFI según sexo en pacientes con diagnóstico presuntivo de EAI
| Título | Sexo | |||||
|---|---|---|---|---|---|---|
| Femenino | Masculino | Total | ||||
| n | % | n | % | n | % | |
| 1/80 | 252 | 33,9 | 76 | 10,2 | 328 | 44,1 |
| 1/160 | 146 | 19,7 | 29 | 3,9 | 175 | 23,6 |
| 1/320 | 64 | 8,6 | 22 | 3,0 | 86 | 11,6 |
| 1/640 | 51 | 6,9 | 9 | 1,2 | 60 | 8,1 |
| 1/1280 | 58 | 7,8 | 3 | 0,4 | 61 | 8,2 |
| 1/2560 | 23 | 3,1 | 3 | 0,4 | 26 | 3,5 |
| 1/5120 | 6 | 0,8 | 1 | 0,1 | 7 | 0,9 |
| Total | 600 | 80,8 | 143 | 19,2 | 743 | 100,0 |
En la Figura 2 se muestra el tipo de patrón encontrado en los pacientes positivos para ANA. Los de mayor frecuencia fueron el moteado (51,3 %), el nuclear (23,1 %) y el citoplasmático (11,7 %). El tipo de patrón encontrado en menor proporción fue el centrómero, con un 1,5 %. Al analizar la distribución de los subpatrones, se observa que de un total del 86,1% de las muestras positivas que corresponden a los principales patrones encontrados, los subpatrones dominantes para el patrón moteado son: moteado fino (37,0 %), moteado fino denso (19,5 %) y moteado grueso (2,7 %).

Figura 2 Patrón de los anticuerpos antinucleares mediante IFI en pacientes con diagnóstico presuntivo de EAI
Para el patrón nuclear, los subpatrones más frecuentes son: homogéneo (9,7 %), punteado grueso (8,6 %) y centrómero (2,3 %). Para el patrón citoplasmático, los subpatrones más prevalentes son: mitocondrial (3,8 %), granular fino denso (3,4 %) y fibrilar filamentar (2,7 %) (Figura 3).

Figura 3 Patrones y subpatrones de anticuerpos antinucleares mediante IFI en pacientes con diagnóstico presuntivo de EAI
En la Tabla 3, se presenta el patrón de ANA de acuerdo con el grupo de edad y se establece que el rango de edad en el cual se observa un resultado positivo es en el grupo de 40-59 años y mayores de 60 años, con un total de 71,8 %. El patrón predominante es el moteado, con una prevalencia del 51,3 %. El 24 % de estos pacientes se encuentra en el grupo de edad de 40-59 años. Se observó una diferencia significativa (p<0,05) en el patrón encontrado según el grupo de edad.
Tabla 3 Patrón de anticuerpos antinucleares mediante IFI según el grupo etario en pacientes con diagnóstico presuntivo de EAI
| Patrón | Grupos etarios (Años) | |||||||||
|---|---|---|---|---|---|---|---|---|---|---|
| ≤19 | 20-39 | 40-59 | ≥60 | Total | ||||||
| n | % | n | % | n | % | n | % | n | % | |
| Centrómero | 0 | 0 | 0 | 0 | 6 | 0,8 | 5 | 0,7 | 11 | 1,5 |
| Citoplasmático | 5 | 0,7 | 9 | 1,2 | 40 | 5,4 | 33 | 4,4 | 87 | 11,7 |
| Mitótico | 0 | 0 | 2 | 0,3 | 12 | 1,6 | 4 | 0,5 | 18 | 2,4 |
| Mixto | 6 | 0,8 | 15 | 2,0 | 26 | 4,8 | 17 | 2,3 | 74 | 10,0 |
| Moteado | 34 | 4,6 | 88 | 11,8 | 174 | 24,0 | 81 | 10,9 | 381 | 51,3 |
| Nuclear | 11 | 1,5 | 40 | 5,4 | 80 | 10,8 | 41 | 5,5 | 172 | 23,1 |
| Total | 56 | 7,5 | 154 | 20,7 | 352 | 47,4 | 181 | 24,4 | 743 | 100,0 |
J2 del patrón ANA por grupo etario p≤0,05.
DISCUSIÓN
Las EAI corresponden a un conjunto de enfermedades con características patológicas y moleculares específicas que abarcan condiciones médicas que se caracterizan por ser complejas, crónicas y en muchos casos potencialmente mortales.
La detección de anticuerpos antinucleares constituye una de las pruebas más solicitadas por los médicos para el diagnóstico de EAI debido a su alto valor predictivo. Además, los reportes de los títulos y los patrones y subpatrones son de gran importancia para la detección temprana de estas enfermedades y permiten establecer un tratamiento oportuno que mejore la calidad de vida del paciente 16. Este estudio proporciona las primeras estimaciones representativas sobre la prevalencia de ANA en pacientes con diagnóstico presuntivo de EAI en la provincia de Manabí, Cantón Portoviejo. Se han tenido en cuenta las características de la población, los títulos y los patrones y subpatrones encontrados.
Al revisar la literatura científica que reporta datos de Latinoamérica o específicamente de Ecuador, se observa un sesgo en la información, ya que solo se disponen de escasos datos sobre algunas patologías en particular. La prevalencia de ANA encontrada en la población de estudio resultó similar a la reportada en 2017 en la ciudad de Quito (27,9 %) 17. Además, varios estudios han indicado que la prevalencia de ANA en la población puede alcanzar hasta un 25-30 % 6,18,19. Estas variaciones probablemente están relacionadas con las características de las poblaciones estudiadas, la ubicación geográfica y las metodologías utilizadas por los laboratorios para la determinación de ANA 8.
Se ha descrito que las enfermedades autoinmunes tienen una mayor prevalencia en el sexo femenino y en grupos etarios productivos. De ahí la importancia de un diagnóstico oportuno en pro del desempeño y la calidad de vida de los pacientes. A partir de la tercera década de vida, es más frecuente presentar sintomatología compatible con una enfermedad de etiología autoinmune o relacionada con agentes infecciosos que pueden desencadenar alteraciones en los mecanismos de defensa que afectan su tolerancia y capacidad 20-22. No se conocen exactamente las causas del predominio en las mujeres de las EAI, sin embargo, algunas investigaciones señalan que las mujeres presentan mayor variabilidad hormonal, la cual está relacionada con la producción de hormonas sexuales (estrógenos, prolactina y uso de anticonceptivos orales). Esto provoca una sensibilización inmunológica a edades fértiles (antes y durante la menopausia), con la activación de la producción de linfocitos tolerantes autorreactivos, mayoritariamente antes de los 50 años 20,23.
Al referirnos a las enfermedades autoinmunes, estas representan una familia de más de 80 enfermedades relacionadas que comparten patogenia y ruptura de la tolerancia inmunológica. Se ha descrito que la prevalencia aumenta con la edad y tienen una morbilidad, un gasto y una mortalidad sustancial. Otra característica importante es que comparten muchos factores de riesgo genéticos y ambientales subyacentes, de los cuales la mayoría son más frecuentes en las mujeres 24.
En el análisis de la frecuencia de los títulos de dilución de ANA, la dilución 1/80 y 1/160 fueron las más encontradas. Según los estudios realizados por Ponce et al. en la ciudad de Quito, los títulos de ANA más prevalentes fueron a 1/80 (48 %) y 1/160 (16 %) del total de pacientes estudiados 17. Por otra parte, se ha encontrado que las pruebas de ANA han resultado positivas hasta en un 30 % en títulos de 1/80 a 1/160 y que más del 5 % pueden presentar títulos mayores. Se debe tener en cuenta que los títulos de ANA no representan el único monitoreo de las patologías autoinmunes ya que se ha reportado que entre el 3 y el 5 % de la población general presenta positividad no relacionada con la etiología autoinmune. El número de casos ANA positivos con títulos 1/80 depende de la posible circulación de tres tipos de ANA, que pueden ser de origen infeccioso, viral o natural 1. Por otro lado, los títulos superiores a 1/160 se han establecido como los más frecuentes y se asocian con enfermedades autoinmunes sistémicas y de afectación multiorgánica (18,25). Sin embargo, en el caso del lupus eritematoso sistémico (LES), una prueba positiva con diluciones de 1/40 o 1/80 puede considerarse como un valor predictivo, por lo que es fundamental complementarla con la detección de otros anticuerpos 26.
Con el transcurso y evolución de las pruebas ANA, se ha producido un aumento continuo de los autoanticuerpos individuales y de los patrones de tinción de IFI relacionados a un espectro cada vez mayor de enfermedades autoinmunes estudiadas ampliamente 12. El diagnóstico de EAI está directamente relacionado con la sintomatología, razón por la cual el médico solicitante busca confirmar o descartar el diagnóstico presuntivo mediante la realización de esta prueba 25 como parte de los criterios diagnósticos que soportaran su decisión final. Así, descarta aquellos resultados falsos positivos en pacientes sanos, o falsos negativos relacionados a otra etiología 27. También se ha descrito que la presencia de anticuerpos antinucleares en personas sanas podría estar asociada a un componente genético, donde es probable que sus antepasados hayan tenido esa condición sin manifestaciones clínicas aparentes, y que estos anticuerpos hayan sido heredados por sus descendientes 28.
Con respecto a la distribución de los patrones de ANA, en este estudio el patrón moteado y el nuclear fueron los más frecuentes, con un subpatrón moteado fino más prevalente en comparación con el moteado fino denso y moteado grueso. Este resultado es similar al reportado por Ocaña et al. 29, quienes demostraron que la mayor frecuencia se observó en el moteado fino (38 %). En otro estudio realizado por La Rosa et al., también se encontró que dicho patrón (moteado fino) presentó la mayor prevalencia (31,3 %) 21. Otros resultados como los reportados por Oliva Menacho et al. 30 dieron cuenta de una relación significativa p<0,05 del patrón homogéneo y el patrón moteado con anti-histonas (p=0,000), anti-nucleosomas (p=0,000), anti-Ro 52 (p=0,000), anti-ssA (p=0,001), Anti-SSB (p=0,003) y Anti-dsDNA. Según la literatura, la fluorescencia del moteado fino por ANA-IFI se relaciona con la producción de anticuerpos anti-ssA/Ro 60KD, anti-ssB/La, anti-Mi-2 y anti-Ku, síndrome de Sjõgren (SSJ), LES, lupus neonatal (LN), lupus cutáneo (LC), esclerosis sistémica (ES) y dermatomiositis (DM) o polimiositis (PM) 25.
En relación con la distribución de los subpatrones citoplasmáticos, el subpatrón mitocondrial y granular fino denso tuvieron las mayores frecuencias. Estos subpatrones se pueden observar en células mitóticas y en interfaz. El significado clínico de los anticuerpos anti-mitocondriales (AMA) es, con mayor frecuencia, indicación de cirrosis biliar primaria (CBP), en especial cuando el AMA tiene un título alto 27. El subpatrón granular fino denso aparece nebuloso, casi homogéneo en todo el citoplasma y es común de enfermedades como el Síndrome antisintetasa, PM/DM, LES, LES juvenil y LES neuropsiquiátrico 31.
Los patrones nuclear, mitótico y centrómero (material suplementario), obtenidos en el presente estudio reflejan una posible asociación con patologías consideradas conectivopatias sistémicas, las cuales se reflejan por el porcentaje observado en los subpatrones homogéneo y nucleolar grumoso correspondiente al patrón nuclear. De igual forma, el subpatrón NUMA asociado al patrón mitótico podría estar relacionado con enfermedades sistémicas como el LES.
Al analizar los resultados obtenidos en la investigación podemos inferir que los patrones de ANA se asocian a lupus eritematoso sistémico (LES), esclerosis sistémica (ES), síndrome de Sjögren y cirrosis biliar primaria. De igual manera, se evidenció un patrón mitocondrial característico de la cirrosis biliar primaria. Sin embargo, es importante señalar que su relevancia clínica aún no ha sido bien establecida.
Si bien el presente estudio sienta las bases de los primeros hallazgos en esta población, se debe mencionar que no se realizó una asociación entre patrones y títulos de ANA con las manifestaciones clínicas de las EAI de cada paciente, pero si se definió la asociación entre patrones de ANA y el reconocimiento de antígenos específicos. Al realizar el diagnóstico de una enfermedad autoinmune, es necesario considerar múltiples aspectos, como la presentación clínica, los antecedentes médicos, el examen físico y otros hallazgos relevantes. Además de la detección de ANA mediante la técnica de inmunofluorescencia indirecta (IFI), también se pueden utilizar pruebas complementarias como pruebas moleculares o de medicina nuclear. En la actualidad, es importante correlacionar el estado inmunológico, las infecciones asociadas y las enfermedades autoinmunes reales para obtener un diagnóstico preciso ♠













