Introducción
La crisis climática es uno de los problemas más graves a los que se enfrenta hoy la humanidad. Actualmente, no hay ya ninguna duda acerca del origen antropogénico de este problema y tampoco la hay respecto a que se trata de una realidad ya instalada entre nosotros y que no se puede detener, aunque sí se esta a tiempo, todavía, de atenuar sus consecuencias y evitar que se produzcan efectos catastróficos e irreversibles tal y como se muestra en los sucesivos informes de evaluación que periódicamente viene publicando el grupo de científicos que forman el Panel Intergubernamental sobre Cambio Climático (IPCC, 2020). Afortunadamente, se conocen las causas principales del problema, se sabe cómo hacerle frente, y se disponen de los medios necesarios; sin embargo, avanzar de forma realmente efectiva en su mitigación y en el desarrollo de medidas de adaptación, requiere, entre otras cosas, llevar a cabo grandes cambios que afectan fundamentalmente a la energía y recursos que se utilizan, así como al modelo económico imperante (Gil-Pérez y Vilches, 2019). Para que esos cambios puedan producirse, es necesario que exista una ciudadanía bien informada que los demande y un gran consenso social que favorezca su implantación. Es aquí, donde una buena educación ambiental juega un papel fundamental, tanto la que se realiza en la escuela, como la que proviene de los medios de comunicación o de las propias familias (Vilches y Gil-Pérez, 2016).
La educación ambiental ha de servir también para cuestionar y cambiar algunas concepciones alternativas relacionadas con temas tan importantes como el aumento del nivel del mar, el adelgazamiento de la capa de ozono, los gases invernadero, los conceptos de efecto invernadero y aumento del efecto invernadero, etc. Se trata de ideas asociadas a una particular interpretación de un concepto o fenómeno dado, muy diferente a la interpretación científica. Dichas ideas se caracterizan, fundamentalmente, por su amplia extensión (afectan a estudiantes de distintos niveles educativos y a una gran parte de la población en general) y por que quienes las detentan, suelen estar bastante seguros acerca de su validez (Arslan, Cigdemoglu y Moseley, 2012). A modo de ejemplo, se puede citar la confusión entre los conceptos de “tiempo” (meteorología) y “clima” (Heras, 2015), consistente en asociar ambos conceptos. Esta identificación ha sido utilizada, unas veces de forma consciente e interesada y otras por ignorancia, para poner públicamente en duda la existencia del calentamiento global, aprovechando la ocurrencia, en una región y momento dados, de grandes nevadas o episodios de frío extremo (Bedford, 2010). A título de ejemplo, se reproduce un mensaje del presidente Donald Trump, en la red social Twitter, el 29 de enero de 2019, durante la ola de frío que padeció Estados Unidos por esas fechas:
“In the beautiful Midwest, windchill temperatures are reaching minus 60 degrees, the coldest ever recorded. In coming days, expected to get even colder. People can’t last outside even for minutes. What the hell is going on with Global Warming? Please come back fast, we need you!”
Junto con esta idea alternativa coexisten otras, algunas de las cuales se tratarán aquí, relacionadas con una interpretación determinada (diferente a la científica) de un concepto o fenómeno dado, que desempeña un papel importante en el cambio climático. En orden aleatorio:
Creer que la fusión de todo el hielo flotante haría aumentar en muchos metros el nivel del mar (Schlichting, 2019).
Pensar que el dióxido de carbono es el gas que más contribuye al efecto invernadero.
Pensar que el vapor de agua no contribuye al efecto invernadero.
Identificar el adelgazamiento de la capa de ozono como una de las causas más importantes del CC (Meira, 2015).
Ignorar el efecto que ha tenido la expansión térmica del agua en el aumento experimentado por el nivel del mar.
Para investigar la extensión y fortaleza de estas ideas entre el alumnado de ESO y entre maestros en formación, se diseñaron dos cuestionarios (A y B) distintos. En la primera parte de este trabajo, se exponen y analizan los resultados obtenidos, al pasar dichos cuestionarios entre los colectivos mencionados. En la segunda, se propone una estrategia didáctica, basada en la resolución de un problema como investigación, con la que se pretende conseguir el cambio de la primera de las ideas alternativas anteriormente expuestas, por la idea científicamente correcta, con la novedad de que en esa estrategia se incorporan a la resolución del problema como investigación, otros aspectos también claves para la enseñanza y aprendizaje como son la experimentación y las nuevas tecnologías.
Metodología
Al comienzo del trabajo y respecto de las ideas alternativas escogidas, la hipótesis general fue que todas ellas iban a estar muy extendidas, tanto entre el alumnado de la ESO, como entre los maestros en formación. En este sentido, se consideró la influencia de dos factores: Por un lado, es cierto que los titulares de noticias relacionadas con el CC y sus consecuencias, han experimentado un gran crecimiento, pero posiblemente, la búsqueda de sensacionalismo y la falta de rigor en muchos casos, puede hacer que se confundan conceptos como tiempo y clima, o se identifique “efecto invernadero” con “aumento del efecto invernadero”, o se limite la causa del aumento del nivel del mar al hielo que se funde, sin importar el origen de este. Por otro lado, la Sostenibilidad está presente en los currículos oficiales de todo el estado español; sin embargo, también es cierto que, desafortunadamente, una gran parte del profesorado de ciencias (al que habitualmente se le exige cubrir un programa demasiado extenso), no imparte este tipo de contenidos o los trata muy superficialmente. En cuanto a la fortaleza de tales ideas, al convencimiento por quienes las detentan de que son correctas, se piensa que también debía ser alto, dada la influencia de los medios y su reiteración, así como la poca incidencia en ellas de una enseñanza en la que estos temas son tratados, en general, de forma escasa o incluso no se tratan. Para medir el grado de convencimiento, se pidió expresamente a cada encuestado que calificase cada una de sus respuestas con una nota entre 0 y 10 de acuerdo con su seguridad en cuanto a su validez (0 ninguna seguridad, 10 máxima seguridad).
En el caso concreto de la influencia de la fusión del hielo en el nivel del mar, existen dos ideas alternativas que, curiosamente, se contraponen. Una consiste en creer que la fusión de todo el hielo flotante en los océanos tendría como consecuencia directa un grandísimo aumento del nivel del mar, produciendo extensas inundaciones. Naturalmente esto no es correcto, ya que se habla de hielo flotante y no de hielo continental. Quizá, el origen de esta idea haya que buscarlo, al menos en parte, en una generalización acrítica de las noticias que al respecto suelen darse en los distintos medios de comunicación, referidas a la pérdida de hielo continental en zonas como Groenlandia o la Antártida. Esto, junto con otras, referidas a la continua disminución de la extensión de hielo en el océano Ártico, puede contribuir a establecer dicha generalización. La otra idea, lleva a pensar que, si todo el hielo flotante se fundiese, este hecho, por sí mismo, no tendría ningún efecto directo en el nivel del mar (Noerdlinger y Brower, 2007; Villarroel-Villamor y Rey-Baltar, 2015). El origen de esta idea (también errónea), se debe a otra generalización, según la cual daría igual que el hielo flote sobre agua dulce o que lo haga sobre agua salada.
Nuestra hipótesis al comenzar este trabajo fue que la primera (gran aumento de nivel), debía hallarse, al menos entre el alumnado, mucho más extendida que la segunda (ningún aumento). Con el fin de medir su incidencia se usan las dos cuestiones siguientes (cada una en un cuestionario distinto):
A-1. Imagina que todo el hielo que hay flotando sobre las aguas del océano Ártico (polo norte) y del océano Antártico (polo sur), se fundiera transformándose en agua líquida. ¿Qué consecuencias directas importantes piensas que tendría en el planeta la fusión de esa inmensa cantidad de hielo flotante?
B-1. Imagina que todo el hielo que hay flotando en las aguas del océano Ártico (polo norte) y del océano Antártico (polo sur), se fundiese totalmente convirtiéndose en agua líquida. Si eso se produjese, el nivel del mar (subraya solamente la opción con la que estés más de acuerdo):
No subiría nada
Subiría mucho menos de un metro
Subiría entre uno y diez metros
Subiría mucho más de diez metros
La segunda idea alternativa consiste en identificar al dióxido de carbono como el gas que más contribuye globalmente al efecto invernadero y, en el lado opuesto, se halla la tercera, en la que se considera al vapor de agua como un agente que en nada contribuye a este efecto. Naturalmente ambas ideas son incorrectas, ya que, como se sabe, el vapor de agua presente en la atmósfera es responsable por sí solo de aproximadamente 2/3 del efecto invernadero, es decir, contribuye a dicho efecto más que el resto de gases invernadero en conjunto. Ello se debe, fundamentalmente, a que la absorción de radiación infrarroja por parte del vapor de agua barre una parte más amplia del espectro que otros gases invernadero como el metano o el dióxido de carbono, y también a su mucha mayor presencia en la atmósfera en comparación con todos los demás gases invernadero. ¿Por qué entonces se atribuye mayoritariamente al CO2 ese liderazgo en cuanto a la contribución global al efecto invernadero? Nuestra hipótesis es que en general, en la escuela, no se hace el hincapié suficiente en distinguir entre dos conceptos que son diferentes. Uno es el Efecto Invernadero (en adelante EI) y el otro el Aumento del Efecto Invernadero (en adelante AEI). Por otra parte, en los medios de comunicación, se utiliza efecto invernadero muchas veces como sinónimo de aumento de efecto invernadero.
Lo cierto es que, al hablar de AEI, entonces el CO2 es quien más contribuye. Solamente él, es responsable de más de la mitad de dicho aumento desde el inicio de la era industrial (a mediados del siglo XVIII) hasta la actualidad y más del 75% de las emisiones anuales mundiales de gases invernadero, son de CO2. Sin embargo, el vapor de agua apenas ha contribuido a este aumento, fundamentalmente, porque en la atmósfera se presentan fácilmente efectos de saturación que hacen que el vapor de agua atmosférico condense y caiga de nuevo, principalmente en forma de lluvia o nieve (lo que no ocurre con los demás gases invernadero). Esto ha hecho que la concentración media de vapor de agua en la atmósfera terrestre se mantenga más o menos constante durante los últimos siglos, al contrario que la del resto de gases invernadero, que no ha parado de aumentar.
De hecho, esta identificación errónea entre EI y AEI, ha servido de “justificación” entre quienes cuestionan la relevancia del CC, para afirmar que la reducción de las emisiones de CO2 a la atmósfera es un sacrificio que no vale la pena asumir ya que tendría un efecto muy limitado, puesto que el gas que más contribuye globalmente al EI es el vapor de agua.
Para estudiar la extensión de las ideas que se acaban de exponer, se diseñó la siguiente cuestión, presente, en este caso, en los dos cuestionarios (A y B) utilizados:
A-2. B-2. Todas las sustancias siguientes se encuentran en la atmósfera en estado gaseoso:
Ozono, metano, dióxido de carbono, óxido nitroso, vapor de agua, nitrógeno
Si se considera globalmente el efecto invernadero, resulta que de todas ellas:
-La que más contribuye a este efecto es: -------------------------------------------
-La que no contribuye a este efecto es: ---------------------------------------------
En esta cuestión, se resalta en negrita el término efecto invernadero, para llamar la atención de a qué concepto concreto se hace referencia. La respuesta correcta es, vapor de agua para la primera propuesta y nitrógeno para la segunda.
Respecto a la cuarta de las ideas alternativas, se ha de comentar, en primer lugar, que se trata de una idea ampliamente extendida. De acuerdo con el profesor Meira (2013), ocho de cada diez españoles creen que el agujero en la capa de ozono provocado por la acción humana es la clave física causal que explica el cambio climático, aunque la ciencia jamás haya establecido tal conexión directa. La idea subyacente es que este “agujero” deja pasar más fácilmente la radiación ultravioleta y de esa forma, se piensa, la atmósfera y la superficie de la Tierra se calientan más, lo que produce un notable aumento del efecto invernadero. Según el profesor Meira, el porcentaje de quienes piensan así, en la sociedad española, ha ido creciendo desde el 59% en 2011 al 71 % en 2013.
En este trabajo, se quiere averiguar en qué medida nuestros resultados, obtenidos durante 2019 y 2020, concuerdan con la situación descrita en el párrafo anterior, así como el grado de fortaleza con que se mantiene esta idea. Para ello, se elaboró las siguientes cuestiones (una en cada cuestionario):
A-3. La disminución de grosor de la capa de ozono es un problema muy grave para toda la humanidad y muchos otros seres vivos, ya que dicha capa actúa como un filtro para las radiaciones ultravioleta. A continuación, se hacen dos afirmaciones sobre la capa de ozono. Indica en cada una si crees que es verdadera o que es falsa (podría ser una verdadera y otra falsa, las dos verdaderas o las dos falsas):
La disminución del grosor de la capa de ozono ha sido una consecuencia más del cambio climático actual.
La disminución del grosor de la capa de ozono ha sido una de las causas del cambio climático actual.
La cuestión, tal y como está formulada, permite obtener unos primeros resultados respecto al porcentaje que se decanta por el agujero de la capa de ozono como causa, como consecuencia o como ambas cosas. La otra cuestión (incluida en el cuestionario B), fue:
B-3. A continuación se enumeran cuatro procesos que desencadenan graves daños para el medio ambiente, los seres humanos y una gran parte de los seres vivos en general. Para cada caso, indica SI o NO, según creas que el proceso es o no un agente causante del cambio climático actual:
Crecientes emisiones de dióxido de carbono
Pérdida de masa forestal
Disminución del grosor de la capa de ozono
Erupciones volcánicas
Conviene tener en cuenta que, en la actualidad, como se señala en Viñas (2013), se han realizado algunos estudios que muestran la existencia de una relación entre el adelgazamiento de la capa de ozono en la Antártida y el desplazamiento de vientos y corrientes oceánicas en la zona, lo cual sí tiene una influencia indudable en el clima terrestre. No obstante, esto lo que muestra es la estrecha relación existente entre los componentes del sistema climático (atmósfera, criosfera, hidrosfera…) y para nada cuestiona la excesiva simplificación que supone establecer una relación directa causa-efecto entre el adelgazamiento producido en la capa de ozono y el cambio climático observado, basada en la llegada a la superficie terrestre de más radiación ultravioleta.
Finalmente, la quinta idea considerada es la de atribuir el aumento experimentado en el nivel del mar, exclusivamente a la “fusión del hielo de los polos” (lo que, remite de nuevo, a la primera idea sobre la contribución del hielo flotante a dicho aumento), ignorando la influencia creciente que tiene la expansión térmica del agua debida al aumento de temperatura del mar. Resulta difícil cuantificar la contribución de este fenómeno al aumento observado en el nivel del mar, pero se estima que esta se sitúa en torno al 40 % y que la dilatación del agua explica también que la tasa de aumento del nivel del mar esté creciendo sensiblemente durante los últimos años. La cuestión elaborada para cuantificar esta idea, se incluyó como cuestión final en los dos cuestionarios utilizados, en la forma siguiente:
A-4. B-4. Durante los últimos 100 años el nivel del mar ha subido casi 20 cm. Por favor, explica a qué se debe o puede deberse dicha subida:
--------------------------------------------------------------------------------------------------
--------------------------------------------------------------------------------------------------
Como puede verse, en la cuestión se invita a citar más de una causa que explique dicha subida. Nuestra hipótesis, no obstante, fue que fruto de la ausencia efectiva de contenidos sobre cambio climático en las clases o de un tratamiento excesivamente superficial, apenas saldría ninguna referencia a la contribución de la dilatación del agua marina y que, en su mayor parte, las respuestas reflejarían la idea de la fusión del hielo en los polos, sin especificar que ese hielo, para contribuir sensiblemente y de forma directa al aumento del nivel del mar, debe ser hielo continental.
Extensión y fortaleza de las ideas alternativas consideradas
En las Tablas 1 a 6 se recogen los resultados obtenidos al pasar los cuestionarios entre distintos grupos de alumnos de ESO y de maestros en formación (2º curso de Magisterio).
N = total de encuestados en cada nivel educativo, seguido del porcentaje de acuerdos y de la nota media de seguridad (1-10) entre paréntesis.
Aunque los resultados reflejados en las tablas anteriores no pueden generalizarse, sí que parecen indicar una situación preocupante en cuanto a la extensión y fortaleza de las cinco ideas alternativas consideradas.
Los resultados de la primera cuestión del cuestionario A (cuestión 1.A) muestran que la idea de un aumento en el nivel del mar debido a la fusión del hielo flotante, está presente en más de un 80 % de los casos en los tres niveles educativos y que goza de una gran fortaleza, ya que su grado de seguridad supera el 8 sobre 10, también en los tres niveles educativos analizados. A pesar de la formulación totalmente abierta de dicha cuestión, esta fue la consecuencia citada con más frecuencia y en primer lugar, seguida de otras como, por ejemplo, que se produciría una pérdida de biodiversidad importante (en general, limitada a los polos) o migraciones masivas a zonas no inundadas.
Los resultados anteriores se complementan con los correspondientes a la primera cuestión del cuestionario B (cuestión 1.B) formulada de una manera más cerrada. En este caso, se sabe que la respuesta correcta es que el nivel del mar subiría mucho menos de 1 m. Sin embargo, esta opción apenas es escogida y los encuestados se decantan mayoritariamente por la opción correspondiente a una subida mucho mayor de 10 m, con un grado de seguridad en torno a 8 en los tres niveles educativos. Es más, si se suma la opción (1-10) m con la opción “mucho más de 10 m”, los porcentajes superan en todos los casos el 90%. Las respuestas son, por tanto, coherentes con los resultados correspondientes a la cuestión 1.A.
Vale la pena referirse a algunas de las explicaciones dadas por los encuestados, como, por ejemplo, quienes argumentaban que no podía ser que el nivel del mar no subiera “nada” puesto que el hielo que sobresale del agua, cuando se funde, también forma agua líquida. Esto revela una simplificación que también está en el origen de la idea alternativa tratada. Dicha simplificación consiste en identificar, erróneamente, el volumen total de cualquier bloque de hielo con el volumen total del agua líquida resultante de la fusión completa de dicho bloque, ignorando el hecho de su diferente densidad y las consecuencias que ello tiene. Otros explicaban que se habían decantado por la opción (1-10) m porque actualmente “ya casi no queda hielo flotando en los polos” o bien porque “la subida ha de repartirse por todo el planeta”.
La segunda cuestión propuesta en ambos cuestionarios fue la misma (es por eso que el número de encuestados, N, es aproximadamente el doble en cada nivel educativo). En este caso, vale la pena resaltar que la respuesta científicamente correcta respecto al vapor de agua como el gas invernadero que más contribuye (globalmente) a este efecto y del nitrógeno como un gas inerte que no contribuye al efecto invernadero, es prácticamente inexistente en todos los niveles consultados. Por el contrario, el papel de gas que no contribuye al efecto invernadero, se asigna mayoritariamente al vapor de agua (seguridad entre 6 y 7) y el del gas que más contribuye a este efecto, al dióxido de carbono (seguridad entre 6 y 8).
En el caso de esta idea, muy probablemente, la confusión se debe fundamentalmente a la identificación que suele hacerse entre “efecto invernadero” y “aumento del efecto invernadero”, así como al hecho de atribuir al dióxido de carbono, metano, etc., propiedades “contaminantes” o “tóxicas” y al agua todo lo contrario.
En cuanto a la cuarta idea alternativa en la que se investiga la incidencia y fortaleza de la creencia según la cual el adelgazamiento de la capa de ozono es una causa directa del cambio climático actual, los resultados de la cuestión 3 del cuestionario A (cuestión 3.A) muestran que esta idea afecta a más del 80% del colectivo encuestado en cualquiera de los tres niveles educativos analizados, con una seguridad en torno a 8 (siempre sobre 10). Puede afirmarse, pues, que, al menos en el colectivo encuestado por nosotros se le concede, a la disminución de ozono estratosférico, el mismo estatus, en cuanto causa del cambio climático observado, que a las emisiones crecientes de CO2.
No obstante, si se compara los resultados de la cuestión 3.A con los de la tercera cuestión del otro cuestionario (cuestión 3.B), se evidencia que, al plantear de forma explícita la posibilidad de que el adelgazamiento experimentado en la capa de ozono pueda ser causa y/o efecto del cambio climático actual, los porcentajes cambian, de forma que en este caso, hay menos partidarios de que actúe como causa (aunque siguen siendo mayoría) y son muchos también quienes consideran que se trata de un efecto (porcentajes superiores al 50% en todos los niveles), con una seguridad que sigue siendo bastante alta en ambos casos (en general, entre 7 y 8). Tampoco es nada desdeñable el porcentaje de quienes consideran que puede jugar los dos papeles a la vez (causa y efecto), el cual se sitúa entre el 40% y el 46% en todos los casos.
Entre los encuestados que explican su elección, el argumento más frecuente se basa en suponer que al haber menos ozono, entra más radiación solar a la Tierra y su superficie se calienta más, aumentando así la temperatura. En cuanto a que pueda ser una consecuencia, la explicación más frecuente es que “el aumento de la contaminación” está causando la destrucción de la capa de ozono.
Probablemente, el origen de estas ideas haya que buscarlo en algunas generalizaciones acríticas que muchas personas elaboran a partir de determinadas informaciones. Por ejemplo, el calentamiento global o el aumento de la temperatura media terrestre, como factores indicadores o desencadenantes del cambio climático, concuerda bien con la idea de que, si hay un “agujero” en la capa de ozono, entre más energía del Sol y la Tierra se caliente más. Ello revela, también, la ineficacia (o ausencia) de una enseñanza adecuada en este tema, en la que quede claro que el cambio climático antropogénico no guarda ninguna relación directa con la energía solar entrante a la Tierra antes y después del adelgazamiento de la capa de ozono, sino con la energía que no ha podido salir de ella debido al aumento creciente en la concentración de CO2 y otros gases invernadero. Comprender y asumir este hecho clave, no exige razonamientos físico-químicos demasiado complejos. Basta con conocer cómo actúa la atmósfera en su totalidad (muy transparente a la mayor parte de la radiación solar) y cómo actúan los gases invernadero presentes en la atmósfera (atrapando y reenviando en todas direcciones, la radiación infrarroja emitida por la Tierra hacia el espacio).
Finalmente, en la cuarta cuestión, la misma para el cuestionario A y para el cuestionario B, (cuestión 4. A-B) se plantea una pregunta abierta respecto a posibles causas del aumento observado en el nivel del mar y se ofrecen para la contestación dos espacios a rellenar, para fomentar que se den, al menos, dos respuestas.
Como se sabe, la elevación experimentada por el nivel del mar tiene que ver, fundamentalmente, con las enormes cantidades de hielo continental (glaciares, manto de hielo de Groenlandia y del continente antártico) que en cantidad creciente se funden, llegando al mar el agua líquida resultante, pero también, en una medida nada despreciable (en torno al 40 % del aumento observado entre 1993 y 2010), influye la expansión térmica del agua marina, debido al aumento que está experimentando su temperatura (V informe IPCC).
Los resultados obtenidos mediante esta cuestión son coherentes con los de 1.A y 1.B, ya que entre el 60% y el 80% de los encuestados coinciden en señalar la fusión del hielo en los polos como causa fundamental, con un alto grado de seguridad (superior a 8 en todos los niveles consultados). En cuanto a otras causas, se citan un aumento de las lluvias, el cambio climático, movimientos en las placas tectónicas, el calentamiento global, y, en particular, la destrucción de la capa de ozono:
“El adelgazamiento en la capa de ozono hace que los rayos ultravioleta entren con más potencia y esto produce el derretimiento de los casquetes polares”
“La contaminación destruye la capa de ozono con lo que la temperatura aumenta y el hielo se funde”
“Debido a la destrucción de la capa de ozono los rayos ultravioleta entran a las capas más bajas de la atmósfera, lo que provoca un aumento de la temperatura y el descongelamiento del hielo”
Lo que no aparece, es ninguna referencia explícita (excepto un caso aislado de 2º de Magisterio) al fenómeno físico de la dilatación térmica del agua marina.
En nuestra opinión, la amplia extensión y la fortaleza de las ideas alternativas analizadas, justifica sobradamente la elaboración de estrategias didácticas más efectivas, que faciliten el cambio de dichas ideas por las que se pretende enseñar en los distintos niveles educativos. Esto es especialmente importante en el caso de los docentes en formación, para evitar que puedan transmitir esas mismas ideas a sus alumnos (Gallego-Torres y Castro-Montaña, 2020). Por supuesto, no todas estas ideas alternativas son iguales. Para empezar, los fenómenos y conceptos científicos involucrados en ellas, son distintos. Algunos se refieren al significado de ciertos términos como efecto invernadero y aumento de este efecto, otros, a los mecanismos que permiten que la radiación solar atraviese fácilmente la atmósfera y que no ocurra lo mismo con la radiación infrarroja emitida desde la superficie terrestre hacia el espacio, etc. Una atención particular, merece la idea de que la fusión del hielo flotante produce un aumento notable en el nivel de agua líquida sobre el que flota. En el tratamiento de esta idea concreta, desempeñan un papel muy importante, los conceptos de densidad, concentración de una disolución, fuerza de empuje, fuerza peso, equilibrio, etc., junto con la ecuación fundamental de la dinámica y el principio de Arquímedes. Son estas características las que permiten, en este caso, desarrollar la estrategia de enseñanza se propone a continuación para facilitar el cambio o evolución de esta idea hacia la científicamente correcta.
Estrategia didáctica para clarificar la influencia de la fusión del hielo en el nivel del mar
El estudio de las ideas alternativas de los alumnos ha sido durante mucho tiempo una de las primeras líneas de investigación didáctica. No solo primera en el tiempo (contribuyendo al desarrollo de la Didáctica de las Ciencias Experimentales como un cuerpo específico de conocimientos), sino, también, primera en importancia, por la relevancia y cantidad de trabajos publicados en este campo, donde destacan, con todo merecimiento, nombres como los de las investigadoras Rosalind Driver y Laurence Viennot (Carrascosa, 2005). Los resultados de dichos trabajos muestran, reiteradamente, que el cambio conceptual que implica sustituir las ideas alternativas por las ideas científicas que se quieren enseñar, requiere de un cambio metodológico importante en el que se impulse el desarrollo de la competencia científica entre el alumnado (Gil y Carrascosa, 1994., Osborne, 2014). Ello supone, entre otras cosas, plantear problemas de interés y saber precisarlos, emitir hipótesis y proponer posibles diseños para contrastarlas, llevar a cabo los diseños elaborados, realizar análisis críticos, interpretar, argumentar, modelizar, búsqueda de coherencia y globalidad, considerar nuevas perspectivas abiertas, etc. Como es lógico, estas actividades, para que puedan ser realmente efectivas, deberían potenciarse en todos aquellos aspectos que resultan claves para la enseñanza y el aprendizaje de las ciencias experimentales como son, los trabajos prácticos, la introducción de conceptos teóricos, la resolución de problemas y la propia evaluación. Por ello, la estrategia de enseñanza que se va a desarrollar aquí, se basa en la utilización conjunta de la resolución de un problema como investigación (Martínez-Torregrosa, Gil-Pérez, Becerra-Labra y Guisasola, 2018), unida a la experimentación y a la utilización de nuevas tecnologías (Carrascosa-Alís, J., Martínez, S., Alonso, M. 2020). Dicha estrategia, puede utilizarse con estudiantes que ya conozcan el Principio de Arquímedes y sus implicaciones en la flotabilidad de un objeto en el seno de un fluido. En España, esto ocurre ya en la Física que se imparte en 4º de ESO (estudiantes entre 15 y 16 años).
El problema se presenta a los alumnos en dos etapas, la primera de las cuales consiste en pedir que se conteste la siguiente cuestión:
Supongamos un enorme bloque de hielo flotando en medio de un pequeño lago de agua dulce a comienzos del verano. Si toda esa masa de hielo flotante se fundiese, se puede afirmar que, debido a este hecho, el nivel del agua del lago (elige una de las opciones siguientes):
La respuesta científicamente correcta a esta cuestión es la b. En efecto, en este caso el volumen total de agua líquida que se genera es justamente igual al volumen de la parte sumergida del bloque de hielo y, consecuentemente, el nivel del agua del lago no debería variar por esta causa. Sin embargo, una gran mayoría de alumnos suele escoger inicialmente la opción c. Por tanto, con esta pregunta cualitativa previa, se pretende convertir el problema, también, en una actividad de conflicto cognoscitivo, ya que una vez realizada, se les pidió que se enfrenten al problema propiamente dicho y que utilicen el resultado obtenido para confirmar o cambiar su respuesta inicial a esta cuestión. El enunciado de dicho problema es:
Un bloque de hielo cuyo volumen total es de 100 m3 se halla flotando en medio de un lago de agua dulce. Se pide:
Volumen de hielo sumergido.
Volumen de agua líquida que produce el bloque de hielo cuando se funde totalmente.
(Densidad agua dulce líquida: da = 1000 kg/m3, densidad del hielo: dh = 916’8 kg/m3)
Se comienza el desarrollo del problema realizando un análisis cualitativo de la situación, en el que se precisan las condiciones que se consideran imperantes y qué es exactamente lo que se pide. Tal como se ilustra en la Figura 1, un bloque de hielo parcialmente sumergido y se usará la siguiente nomenclatura: Volumen total del bloque de hielo: VT, volumen de la parte de hielo sumergida: Vs, densidad del agua dulce líquida: da, densidad del hielo: dh.
De acuerdo con el principio de Arquímedes, el empuje experimentado por el hielo es una fuerza vertical y hacia arriba, de valor igual al peso del volumen de agua que desaloja (el volumen de agua desalojada Va coincide exactamente, como es lógico, con el volumen de hielo sumergido Vs, es decir: Va = Vs).
Por otra parte, al encontrarse el bloque de hielo en equilibrio, los módulos de la fuerza de empuje y de la fuerza peso , han de ser iguales (E = P). En la Figura 1, se han representado esquemáticamente ambas fuerzas.
Se esta, ahora, en condiciones de plantear cuánto valdrá el volumen de hielo sumergido Vs
Una vez planteado el problema, se emite la hipótesis sobre los factores de los que puede depender la magnitud buscada. Esta es una actividad fundamental en el proceso de investigación que orienta la resolución del problema y que también puede poner en evidencia, de manera funcional, posibles ideas alternativas, que deberán ser valoradas y contrastadas posteriormente a la luz del resultado que se obtenga.
En este caso, es lógico esperar que el volumen sumergido de hielo, Vs, dependa de la densidad del hielo, dh, de la densidad del agua del lago, da, y del volumen total del bloque de hielo, VT:
Concretamente, se espera que Vs aumente cuando (a igualdad de los restantes factores): la densidad del agua líquida del lago (da) disminuya, la densidad del hielo (dh) aumente, y, el volumen total de todo el bloque de hielo (VT) aumente.
También se puede imaginar algún caso límite como, por ejemplo, que si VT → 0 el volumen de parte sumergida Vs también tenderá a 0, o bien que si la densidad del hielo pudiera, hipotéticamente, aumentar aproximándose a la densidad del agua líquida del lago (dh → da) el bloque sobresaldría cada vez menos y Vs → VT.
Las fuerzas que se ejercen sobre el bloque de hielo son el empuje y el peso. Ambas fuerzas dependen de los factores predichos en las hipótesis y, como el bloque de hielo flota en una posición de equilibrio estático, la resultante de ambas debe ser igual a cero. Por tanto, una posible estrategia de resolución, será igualar los módulos de ambas fuerzas y despejar la magnitud buscada, Vs:
Si se analiza el resultado anterior, se observa que no solo es dimensionalmente homogéneo (condición imprescindible, aunque no suficiente, para aceptarlo), sino que, además, en él se contemplan todas las hipótesis y casos límite considerados.
Sustituyendo valores:
A partir de este resultado, para demostrar que el nivel del agua del lago no se altera si el hielo se funde completamente, puede plantearse la siguiente cuestión:
¿Qué volumen V a de agua líquida produce el bloque de hielo cuando se funde totalmente?
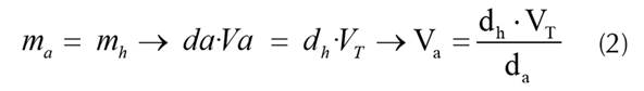
De acuerdo con el principio de conservación de la masa, está claro que, aunque sus volúmenes sean distintos, la masa de agua líquida y la masa de hielo del cual procede han de ser iguales (ma = mh), de modo que expresando cada una de estas masas en función de la densidad y volumen correspondiente, se puede obtener el volumen de agua líquida, Va, pedido:
Con las ecuaciones (1) y (2), se comprueba que Va = Vs
Sustituyendo valores:
Así pues, el volumen de agua líquida que produce la fusión total del hielo flotante, cuando se trata de agua dulce, coincide exactamente con el volumen de la parte sumergida de dicho hielo. Vale la pena darse cuenta de que (1) y (2) son iguales porque la densidad del agua del lago (ecuación 1) y la densidad del agua resultante de la fusión del hielo (ecuación 2), también lo son (por eso se ha utilizado para ambas el mismo símbolo, da). Por tanto, en estas condiciones, se puede afirmar que:
El hecho de que se funda el bloque de hielo flotante en un lago no tiene un efecto directo en el nivel del agua del lago.
A esta misma conclusión se puede llegar de forma cualitativa mediante una estrategia experimental, fácil de llevar a cabo en cualquier laboratorio escolar. Como inicio de esta, se puede plantear a los alumnos que propongan una posible experiencia destinada a mostrar que la fusión de hielo flotante sobre el agua dulce, no altera el nivel de la misma. La realización de esta actividad por los alumnos distribuidos en pequeños grupos de trabajo, junto con la orientación del profesor, suele conducir a la propuesta de utilizar diversos recipientes como botellas o probetas grandes y trozos de hielo adecuados. Basta con, por ejemplo, introducir el trozo de hielo en una de tales probetas y añadir después agua líquida hasta un determinado nivel para comprobar que, una vez fundido totalmente el trozo de hielo, el nivel sigue siendo el mismo que inicialmente.
Una vez se ha resuelto el problema para el caso de que el hielo flote en agua dulce, se puede dar un paso más y plantear la cuestión que realmente nos preocupa: ¿Ocurre lo mismo cuando hablamos de un gran bloque de hielo flotando en el océano?
Se trata de una pregunta muy importante, ya que, si no ocurriese lo mismo y resultase que el agua generada por la fusión del bloque de hielo ocupase más volumen que la parte sumergida del bloque de hielo que la originó, se tendría que la fusión del hielo del casquete polar ártico y de la banquisa de hielo antártica, debido al calentamiento global, sí que estaría contribuyendo directamente, en alguna medida, al aumento del nivel del mar. Y lo cierto es que se tienen razones para pensar que no ocurre lo mismo. En efecto: el agua salada es más densa que el agua dulce, por lo que una misma masa de hielo flota más en el mar que en un lago de agua dulce. Se observa que, en el caso del lago, el volumen de agua líquida generado coincide exactamente con el volumen de la parte de hielo sumergida. En el caso del mar, el volumen de agua generado será el mismo que en el caso del lago (la masa de hielo es la misma en ambos), pero como el volumen de hielo sumergido en el mar es menor que en el lago de agua dulce, el agua líquida generada tendrá un volumen algo mayor. La diferencia entre ambos volúmenes ΔV = Va -Vs es el volumen de agua que puede, en principio, afectar al nivel del mar contribuyendo a su elevación. No obstante, antes de ningún tratamiento operativo, siempre que se pueda, conviene realizar alguna estimación cualitativa previa. En este caso, por ejemplo, se puede avanzar que esa diferencia de volumen no debe ser muy grande, ya que la diferencia entre la densidad del agua de mar y la densidad del agua dulce tampoco lo es.
Si llamamos d am a la densidad del agua marina y aceptamos un valor medio de 1027 kg/m 3 , calculad el volumen sumergido para un bloque de hielo cuyo volumen total sea de 100 m 3 .
Teniendo en cuenta que el bloque de hielo se encuentra en equilibrio, la fuerza de empuje y el peso han de tener el mismo módulo (y sentidos contrarios), así que procediendo igual que anteriormente, se tendría que:
Y sustituyendo valores:
Como se observa, el hecho de que el agua de mar sea algo más densa que el agua dulce, implica que el volumen de hielo sumergido es algo menor que anteriormente (porque flota más) y, por tanto, también es algo menor que el volumen de agua líquida originado cuando se funde todo el bloque. Basta comparar las expresiones (2) y (3) para, sin necesidad de ningún cálculo, darse cuenta de ello. Como se habrá podido apreciar, se ha utilizado para dh el mismo valor que en el caso anterior (916’8 kg/m3), sin distinguir si el bloque de hielo corresponde a un glaciar que desemboca en el mar (formado a partir de nieve caída) o bien se ha formado por congelación de agua marina (es decir, a partir de agua salada). Esta aproximación puede hacerse, porque debido a determinados procesos físicos, la densidad del hielo marino, con el tiempo, llega a ser muy parecida a la del hielo continental y cuando este hielo se funde, la densidad del agua líquida resultante, se puede considerar, en el caso que nos ocupa, como aproximadamente igual a la del agua dulce (Vrbka y Jungwirth, 2007; Villarroel y Zuazogoitia, 2016; Schlichting, 2019). No ocurre lo mismo con la densidad del agua marina, que, como se sabe, varía de unos lugares a otros.
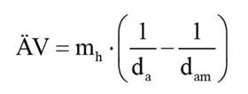
¿En cuánto excede el volumen de agua líquida producida, al volumen de hielo sumergido?
Como es lógico este exceso vendrá dado por ΔV = Va -Vs
Sustituyendo Va y Vs por sus expresiones correspondientes (2) y (3), se tendría que:
Y simplificando, obteniendo finalmente:
O, lo que es equivalente:
Si se analiza el resultado literal obtenido, se daría cuenta de que ΔV será nulo cuando las densidades del agua resultante de la fusión del hielo y del líquido en el que se encuentra flotando dicho hielo sean iguales (como ocurre, de hecho, cuando el hielo se encuentra en un lago de agua dulce). Si se trata de un bloque de hielo flotando en el mar, como dam > da ocurrirá que ΔV > 0 y ese ΔV es el que incide en el nivel del agua aumentándolo.
Sustituyendo los valores numéricos en la expresión (4), se obtiene:
A este mismo resultado numérico, se podría haber llegado directamente sin más que tener en cuenta que el bloque de hielo marino de 100 m3 de volumen genera, al fundirse totalmente, un determinado volumen de agua líquida, independientemente de cómo se haya originado o de dónde se encuentre. Como ese volumen ya se calculó anteriormente y era de 91’68 m3, basta una simple resta para obtener el ΔV buscado:
Esta pequeña diferencia, sí que afecta al aumento del nivel del mar, aunque, claro está, muchísimo menos que si se tratase de agua líquida procedente de un bloque de hielo continental. En efecto, se acaba de ver que 100 m3 de hielo continental producen 91’68 m3 de agua líquida y que toda esa agua, al ser vertida en el mar, actúa directamente aumentando el nivel de este, mientras que del mismo volumen de hielo flotante, al fundirse totalmente, solo 2’41 m3 del agua líquida generada, inciden en el nivel del mar (el resto, hasta 91’68 m3, ocupa el mismo volumen que ocupaba la parte sumergida del hielo).
En conclusión: En términos de aumento del nivel del mar, la fusión de cada m3 de hielo flotante equivale a un aporte extra de 0’0241 m3 de agua líquida.
Otra posible estrategia para resolver este problema es optar por la vía experimental. Ello, además, es una forma de someter a prueba el resultado obtenido teóricamente. Al igual que en el caso anterior, se puede recurrir a la utilización de botellas de plástico o probetas grandes y trozos de hielo adecuados. Sin embargo, aquí, en lugar de utilizar agua líquida dulce, se utiliza una disolución saturada de sal en agua. Obviamente, su densidad no es la misma que la del agua de mar, pero el experimento sirve igualmente para comprobar que al introducir un trozo de hielo en una probeta y después añadir el agua salada hasta alcanzar un nivel determinado, una vez completada la fusión del hielo, el nivel del líquido, al contrario que en la experiencia anterior, no es el mismo que inicialmente, sino que ha aumentado. El hecho de utilizar una disolución saturada de sal en agua, hace que al ser la densidad de dicha disolución sensiblemente mayor que la densidad del agua de mar, el aumento de volumen sea más perceptible. En Villarroel et al (2015) se describe una experiencia de este tipo utilizando botellas de plástico de distinto tamaño. Por supuesto, esta comprobación, se puede hacer, incluso, de forma cuantitativa (Schlichting, 2019) y constatar que los resultados numéricos (el obtenido teóricamente y el obtenido experimentalmente), dentro del margen de error correspondiente, coinciden.
En nuestro caso, se utilizó una probeta de 100 ml (calibrada en ml), en la que se introdujo un bloque cilíndrico de hielo de 28’87 g de masa (previamente fabricado con agua destilada) e inmediatamente después se vertió parte de una disolución saturada de sal común en agua destilada (densidad 1’18 g/ml) hasta enrasar a 85 ml. Una vez fundido totalmente el hielo, se volvió a medir el volumen de agua salada resultante en el interior de la probeta, el cual resultó ser de 89 ml, lo que supone un aumento de volumen ΔV = 4 ml.
En la figura 2 siguiente se puede observar la probeta utilizada en un momento dado durante la fusión del hielo en su interior.
Introduciendo los datos experimentales en la ecuación 4 anterior (donde se ha sustituido dam por das = densidad del agua salada):
Si se calcula la imprecisión absoluta de esta medida indirecta, se obtiene:
Como puede verse, el resultado experimental obtenido mediante su medida directa, (4 ml), queda dentro del intervalo de imprecisión del resultado teórico.
Es necesario preguntarse ahora, por la intensidad de este efecto. Para ello, puede ser útil situarnos en un escenario hipotético en el que se fundiese totalmente todo el hielo existente en el planeta, tanto continental como hielo marino flotante. Se pueden plantear las siguientes actividades:
Buscad los datos pertinentes y analizad cada caso (fusión del hielo continental y fusión del hielo marino) por separado, cuantificando y comparando la elevación del mar que se produciría.
La resolución de la actividad anterior, con los datos reales pertinentes que sean necesarios, conduce a que la elevación del nivel del mar que se produciría directamente a causa de la hipotética fusión de todo el hielo continental, sería del orden de 60 m, mientras que la debida a la fusión de todo el hielo flotante, ocasionaría un aumento de apenas 4 cm. (Esta actividad se halla totalmente resuelta en el anexo 1 del tema sobre Cambio Climático que se incluye en los contenidos educativos de la página web: didacticafisicaquimica.es).
La subida del nivel del mar ocasionada directamente por la fusión de todo el hielo flotante (cualquiera que sea su origen) existente en un momento dado, se puede considerar despreciable si se compara con la subida ocasionada por la fusión del hielo continental asentado en tierra, por lo que, en lo que se refiere al calentamiento global, es perfectamente lícito ignorar la contribución directa de la fusión del hielo flotante al aumento del nivel del mar. No se puede ignorar, en cambio, su contribución indirecta, ya que, por ejemplo, la disminución progresiva de la superficie de ese enorme escudo protector que constituye el hielo flotante del Ártico, el cual refleja al espacio una gran parte de las radiaciones solares que llegan a la zona, además de otras consecuencias, hace que el agua se caliente más y, por tanto, se expanda, y esa dilatación térmica sí que incide notablemente en el aumento del nivel del mar. Se observa, como la influencia de este factor, se puede tratar también aquí, de una manera funcional.
Para reforzar varios de los conceptos involucrados en este problema se han creado dos animaciones interactivas Modellus. (Alonso, 2007; Neves y Teodoro, 2010).
En una de ellas (figura 3), se representa en la pantalla un bloque de hielo flotando sobre una masa de agua. Los alumnos pueden usar un controlador manual para elegir entre agua marina y agua dulce, y otro para fijar el volumen total inicial del bloque de hielo flotante. La animación calcula y representa el porcentaje de hielo flotante, junto con el aumento del volumen de agua líquida que se produciría si se fundiera totalmente dicho bloque. Finalmente, la animación también permite obtener el incremento en el volumen y en el nivel del mar que tendría lugar si se fundiera un porcentaje (que se puede determinar usando un tercer controlador manual) de todo el hielo flotante actual. La figura 3 muestra los resultados cuando se adoptan los datos que se han usado en el problema.
La otra animación (figura 4), remite a la estrategia de resolución del problema por vía experimental. Representa un trozo de hielo flotante en una probeta llena de una disolución salina, y se pueden usar tres controladores manuales para modificar la densidad de la disolución, la masa del pedazo de hielo y la propia densidad del hielo. Además de calcular los porcentajes y los volúmenes de hielo flotante y sumergido, la animación también obtiene el incremento volumen que se produciría en la probeta si se derritiera el pedazo de hielo.
Los alumnos pueden realizar con esta segunda animación varias actividades interesantes e instructivas. Por ejemplo: pueden comprobar que al modificar la masa del pedazo de hielo flotante, éste permanece con el mismo grado de hundimiento (en este caso no cambian los porcentajes de hielo sumergido y flotante, aunque sí obviamente, el volumen de ambos); pueden probar casos límite como, por ejemplo, el que se obtiene al igualar las densidades del agua y del hielo (el bloque se sumerge completamente); y, por supuesto, también pueden comparar el resultado teórico del ascenso del nivel del agua que se ha de producir si se derrite todo el hielo, con el obtenido en el laboratorio. La figura 4 muestra los resultados cuando se adoptan los datos obtenidos en la experiencia descrita anteriormente al final del apartado 3.4.
Las dos animaciones y el programa para hacerlas correr están disponibles en la página “Web de Materiales para la Enseñanza y la Divulgación de la Física”, de la Sección Local de Alicante de la RSEF. http://rsefalicante.umh.es/fisica.htm
Conclusiones
El problema de la crisis climática preocupa a la gran mayoría de la población (Meira, Arto, Heras, Iglesias, Lorenzo y Montero, 2013), y los medios de comunicación le dedican cada vez más tiempo y espacio. Por otra parte, este tema, también está presente en la mayoría de los currículos escolares. Cabe plantearse si toda esta atención, se ha traducido en una formación adecuada en el alumnado y, en qué medida, se siguen detectando ideas alternativas capaces de sobrevivir a toda esa información. Se trata de una cuestión de gran importancia, entre otras razones porque algunas de dichas ideas son reiteradamente utilizadas por negacionistas para cuestionar el calentamiento global antropogénico (Bedford, 2010; Sezen-Barrie, Shea y Borman, 2019).
En este trabajo, se ha querido hacer una primera aproximación al estado de esta cuestión, aunando investigación e innovación, mediante estudio de la extensión y la fortaleza de varias de esas ideas y la propuesta de una estrategia de enseñanza para el tratamiento de una de ellas en particular, según la cual la fusión de las banquisas e icebergs flotantes en el mar haría aumentar en muchos metros el nivel de este. Los primeros resultados obtenidos, parecen mostrar que estas ideas, a pesar de la educación ambiental que se imparte y de toda la información no académica en la que se está inmersos, siguen estando muy presentes y que se mantienen con un elevado grado de convencimiento, tanto entre el alumnado de secundaria como en los futuros maestros que se han encuestado. Naturalmente, con la pequeña muestra utilizada, no se pueden generalizar los resultados. No obstante, son lo suficientemente relevantes como para tratar de mejorarlos y esto es lo que se ha procurado hacer en el resto del trabajo: presentar una estrategia fundamentada con la que conseguir un aprendizaje realmente significativo. Esencialmente consiste en utilizar un problema planteado como una pequeña investigación, con el propósito explícito de impulsar y desarrollar la competencia científica. Por otra parte, en el problema se tratan conjuntamente, aspectos teóricos, prácticos y nuevas tecnologías. Esto se trata de algo novedoso, que posibilita su implementación en diferentes niveles de enseñanza con mayor o menor grado de dificultad. Por ejemplo, en edades más tempranas se pueden omitir los desarrollos formales, pero será posible plantear el problema y resolverlo (en términos cualitativos) de forma experimental.
El trabajo puede continuarse, ampliando el número de encuestados (para ver en qué medida confirman o no estos primeros resultados) y poniendo en práctica la estrategia de enseñanza que se ha detallado, para evaluar su efectividad en superar la idea alternativa analizada u otras de similares características que permitan aplicar dicho tratamiento (Carrascosa-Alís, J., Martínez, S., Alonso, M. 2020).




































