INTRODUCCIÓN
Hay una serie de elecciones relacionadas con la determinación de la estructura de capital de una empresa; entre las más comunes están aquellas asociadas con definir la mezcla entre deuda y capital propio y seleccionar los instrumentos de deuda adecuados, con su estructura de pago, costo y tiempo de maduración. Esta decisión, también incluye establecer cómo la empresa distribuirá el riesgo y los derechos sobre los flujos de caja y/o los derechos de voto entre sus proveedores de capital. Además, se deben considerar diferentes tipos de emisión de capital propio, que incluyen instrumentos híbridos con tipos particulares de derechos de propiedad, tales como bonos convertibles y acciones preferentes o sustitutos de la deuda, como los diferentes tipos de leasing.
No hay consenso en la literatura acerca de cómo seleccionar la estructura óptima de capital para una empresa, y aunque existen varias teorías al respecto, se duda de la aplicación práctica de muchas de ellas a los mercados emergentes, debido a las características de riesgo, liquidez, tamaño, disponibilidad de información y acceso a fuentes de financiación presentes en este tipo de mercados. En este trabajo se usan varias técnicas que permiten aplicar algunos de tales conceptos a una empresa particular del sector de alimentos en una economía emergente como la colombiana.
Para esos efectos, se utiliza el Capital Asset Pricing Model (CAPM) y el ranking sintético de cobertura con el propósito de estimar el costo de la deuda y determinar el apalancamiento óptimo que equilibra los beneficios y costos financieros marginales del endeudamiento, los cuales se relacionan con el incremento de las tasas de interés por parte de los proveedores de deuda, cuando perciben mayor probabilidad de no pago generada por una baja cobertura de intereses.1 Además, se evidencia que en la medida que aumenta el endeudamiento se incrementa el riesgo, y los inversionistas incrementarán sus expectativas de rendimiento. También, se denota que la estructura de capital óptima maximiza simultáneamente el valor de la firma y el precio de la participación de cada socio (acciones o participación societaria), a su vez que minimiza el costo promedio ponderado del capital.
La empresa en estudio realizó una emisión de bonos para reconvertir su deuda bancaria previamente; no obstante, durante 2014 y 2015 tuvo que obtener una nueva deuda para realizar inversiones adicionales, cuyos resultados se verían a partir de 2016. Aunque el ingreso durante 2015 solo creció el 7%, las proyecciones de la empresa pronostican que su flujo de caja operacional en 2016 crecerá de manera significativa por dos motivos, el incremento en la eficiencia operacional y en las ventas, los cuales serían resultados de las inversiones hechas durante los años previos. Bajo este nuevo escenario se analiza la estructura actual del capital y se proponen opciones de mejoramiento.
En la primera sección de este artículo se hace una breve revisión de la literatura. En la segunda, se provee la información básica de la empresa. Después, se usa esta información y otra adicional del mercado, para determinar la estructura óptima de capital usando el criterio del menor costo. Al final, se analizan los resultados y se exponen breves conclusiones.
El análisis de resultados se realizó de la siguiente manera. En primer lugar, se contrastó el óptimo hallado con la situación actual de la compañía; luego, se verificó el costo de la deuda versus el costo teórico, según sus niveles de cobertura actual, y después, se calculó el costo de capital que deberían exigir los inversionistas de acuerdo con el nivel de endeudamiento. En adición a lo anterior, y debido a que la empresa hizo recientemente una emisión de acciones privilegiadas, se determinó cuál debería ser el crecimiento implícito a perpetuidad para que los fundamentales coincidan con el valor transado; este último ejercicio se hizo con fines académicos exclusivamente. Al final, se estableció el valor generado por la estructura óptima propuesta y se hizo una propuesta de recapitalización para incrementar el valor da las acciones.
1. REVISIÓN DE LA LITERATURA2
Aunque el tema ha sido tratado durante varios años por los investigadores más importantes del área financiera, no existe un consenso en la literatura acerca de cómo conformar la estructura óptima de capital. El trabajo seminal de Modigliani y Miller (1958) menciona que la estructura de capital no tiene implicaciones sobre el valor de la empresa en un mundo de información perfecta sin impuestos, ni costos de transacción, en donde todos los tomadores de decisiones comparten el objetivo de maximizar el valor para los inversionistas; desde ese punto inicial, la teoría de estructura de capital ha evolucionado tratando de relajar varios de esos supuestos.
Miller (1977) indica que en un mundo con impuestos, una firma puede encontrar su estructura de capital óptima en el umbral entre los ahorros que se generan por el escudo fiscal del pago de intereses y el estrés financiero asociado a bajos niveles de cobertura, que incrementan la posibilidad de no pago. Por su parte, algunas investigaciones han entregado una mirada más cercana a las bases que constituyen los costos de estrés financiero (Titman, 1984; Shleifer & Vishny, 1992). Aunque este enfoque es uno de los más utilizados hoy, no pone atención sobre aspectos fundamentales asociados a la estructura de capital, por ejemplo, cómo debe hacerse la localización de los derechos de control sobre las decisiones y los flujos de caja, o si el capital propio se obtiene interna o externamente. Más aún, este enfoque deja por fuera el hecho de que algunas veces ciertos jugadores pueden tener más información que otros y su propia agenda, la cual no necesariamente coincide con el objetivo de incrementar el valor de la firma.
Recientes contribuciones que abordan los problemas mencionados arriba vienen desde la teoría de agencia, la cual se enfoca en los incentivos que las partes (gerentes e inversionistas) tienen para asumir un comportamiento particular (Jensen & Meckling, 1976). Jensen (1986) sugiere que altos niveles de deuda imponen disciplina sobre los gerentes para alcanzar resultados y ayudan a reducir los costos de agencia de la financiación con capital propio. Por otro lado, los costos de agencia de la deuda (Myers, 1977; Harris & Raviv, 1991) se pueden presentar cuando un incremento no adecuado del endeudamiento limita la posibilidad de que la empresa pueda acometer proyectos altamente rentables (underinvestments) o tal endeudamiento sea dirigido para financiar proyectos de excesivo riesgo (overinvestments).
Otros problemas de agencia se presentan debido a la asimetría de la información (los gerentes tienen más información que los inversionistas). La información imperfecta en los mercados incrementa el costo de conseguir capital, y quienes poseen información precisa sobre la empresa (insiders) toman decisiones para enviar señales al mercado que permitan a los inversionistas (outsiders) tener confirmaciones sobre el estado actual y las proyecciones futuras de las empresas; por tanto, tales señales afectan el valor de las firmas (Ross, 1997).
Por ejemplo, cuando las firmas buscan nuevos socios, los interesados deben establecer si la necesidad de capital corresponde a la oportunidad de acometer proyectos rentables (buenas noticias) o si se trata de que los gerentes están actuando de manera oportunista, porque el mercado está sobrevalorando el potencial real de la compañía (malas noticias). A menos que los gerentes puedan enviar rápidamente una señal al mercado indicando claramente que se trata de buenas noticias, es probable que el valor de la empresa caiga.
Por otro lado, cuando las empresas buscan y conceden contratos de deuda, ello no implica necesariamente un efecto negativo sobre el valor de la compañía. Generalmente, el mercado asocia la deuda con buenas noticias (Myers & Majluf, 1984; Smith, 1986), porque los proveedores de deuda buscan buenas garantías (análisis de flujo de caja futuro y colaterales) y saben que si hay problemas reales, su pago solo será afectado si esas estas fallan, por lo tanto, la pérdida esperada se reduce por debajo de la pérdida de los dueños.
Myers (1984) ha propuesto la teoría del Pecking order de la estructura de capital, basada en el hecho de que la asimetría de información incrementa los costos de conseguir capital. Esta teoría indica que las empresas buscarán financiar internamente sus nuevos proyectos, hasta el punto que tales recursos les alcancen. Después de agotarse la generación interna de fondos, las empresas preferirán suscribir nueva deuda y solo cuando sea absoluta y estrictamente necesario, buscarán emitir nuevo capital. La explicación de este orden de preferencia obedece a la minimización de los costos de transacción, muchos de ellos generados por la asimetría de información mencionada antes. Esta teoría tiene entonces dos implicaciones básicas: la primera es que las empresas pueden no tener un objetivo de mezcla entre deuda y capital propio en el largo plazo, solo ajustan la participación de cada fuente de recursos en sus estados financieros, dependiendo de los fondos generados y de las oportunidades de inversión que surjanmen cada período; la segunda es que esta teoría explica una de las causas por las cuales los gerentes prefieren mantener excesos de caja.
El presente trabajo se concentra en determinar la estructura óptima de capital, bajo el criterio de costo mínimo, en un mercado emergente para una empresa dentro de un sector industrial maduro. El apalancamiento óptimo es determinado por el equilibrio entre los beneficios y los costos marginales del endeudamiento. Este caso constituye una aplicación de la literatura revisada a una empresa en concreto, con el fin de proponer una reestructuración deuda-capital propio, que maximice el valor de la empresa y de las acciones, pero que al mismo tiempo minimice el costo de capital de la empresa.
2. DESCRIPCIÓN DE LA EMPRESA
La empresa Alimentos Blancos (AB)3 produce leche y sus derivados. Los productos más vendidos incluyen una gran variedad de tipos de leche de ganado vacuno: entera, enriquecida, deslactosada, semidescremada y saborizada, entre otras. También produce otros lácteos fermentados, como yogures, kumis, crema de leche, quesos de diferentes variedades y mantequilla. Recientemente, ha impulsado una nueva categoría en su portafolio que incluye una gran variedad de postres y dulces. A pesar de no ser derivados de la leche, la empresa se ha diversificado hacia las bebidas refrescantes y néctares de fruta, diferenciado estos últimos porque son enriquecidos con minerales y vitaminas.
Desde sus inicios, AB se ha comprometido con ofrecer al consumidor productos de alta calidad para diferentes segmentos; por ejemplo, cuenta con la línea infantil y la línea dietética, que tiene productos bajos en grasa y reducidos en calorías. AB ha alcanzado importantes niveles de desarrollo de producto y ofrece alimentos funcionales que, además de cumplir su función nutritiva, cuentan con beneficios a nivel gastrointestinal y fortalecen el sistema inmune.
AB nació en los cuarenta como un fabricante artesanal de quesos, que en la década siguiente construyó su primera planta de producción industrial. Desde esa época, se ha destacado por ser una empresa con la más excelsa cultura de calidad, confianza e innovación; esto los ha llevado a conservar una alta satisfacción del cliente con productos de gran beneficio para el consumidor. En los años setenta dejó de ser una empresa familiar y diversificó sus derechos de propiedad, incluyendo nuevos accionistas; posteriormente, inició sus primeros procesos de expansión y crecimiento no orgánico durante la década de los ochenta.
Ya entrados los 2000, la compañía logra un crecimiento importante en geografías y unidades de negocio (las ventas consolidadas en 2015 ascienden a 560 millones de dólares); por tal motivo, desarrolla un esquema corporativo de operación implementando su Centro de Servicios Compartidos (ASC) y la integración de la cadena de logística. También, consolida la expansión internacional, principalmente en Estados Unidos, y continúa destacándose por su caracter innovador al crear un instituto dedicado a la investigación en alimentación y nutrición. Otro hito a resaltar es la consolidación de su compromiso con el medioambiente y su alto sentido social mediante la creación de su Fundación, que es una muestra contundente de su responsabilidad social empresarial.
Para financiar este crecimiento, en 2009 se diseñó un cambio en el modelo de endeudamiento, a través de la estructuración de bonos a largo plazo. AB emitió bonos por 89,7 millones de dólares al mercado Colombiano. Durante 2014 y 2015 fue necesario adquirir una nueva deuda para realizar inversiones adicionales, cuyos resultados se verían a partir de 2016. Aunque el ingreso durante 2015 creció el 7%, las proyecciones de la empresa pronosticaban que su flujo de caja operacional en 2016 crecería de manera significativa por dos motivos: el incremento en la eficiencia operacional y en las ventas, ambos resultado de las inversiones hechas durante los años previos, gracias a la estrategia de sostenibilidad que implica, entre otras cosas, la construcción de la primera planta de producción en el estado de Nueva York.4
3. DETERMINACIÓN DE LA ESTRUCTURA DE CAPITAL DE MENOR COSTO
En este aparte se utiliza el Capital Asset Pricing Model (CAPM) y el ranking sintético de cobertura para estimación del costo de la deuda, con el propósito de determinar el apalancamiento óptimo de acuerdo con el equilibrio entre los beneficios y costos marginales del endeudamiento. Se calcula el umbral entre los beneficios del escudo fiscal y el incremento de los costos financieros generados por una baja cobertura de intereses, que se reflejan en el incremento de las tasas exigidas por los proveedores de capital.
Algunos autores consideran que el CAPM es válido para cualquier economía; sin embargo, las características de reducido tamaño, baja liquidez e información imperfecta que se encuentran en el mercado colombiano implican la violación de los supuestos con los cuales fue concebido el modelo (costos de transacción mínimos, alta liquidez de todos los activos, acceso de inversionistas a la misma información e imposibilidad de encontrar activos infra o sobrevalorados en el mercado). Por esta razón, usamos tasas de referencia de mercados desarrollados.
Se debe mencionar que todos los valores utilizados en los cálculos en adelante fueron consultados con corte a septiembre de 2016, en las fuentes de referencia detalladas en las notas de pie de página. Se mencionan las fuentes de donde pueden ser extraídos los datos, para que los lectores puedan reconstruir la metodología; sin embargo, al hacer una nueva consulta dichos valores pueden haber sido actualizados.
3.1. Cálculo del costo de la deuda y estimación del riesgo país
Aquí se determina el costo de deuda al que podría acceder una empresa como AB en condiciones de mercado. Teóricamente, este corresponde a la suma de la tasa libre de riesgo5 más el margen de intermediación6 y la prima por riesgo país. El supuesto de mercados eficientes implícito en el modelo CAPM implica que se debe hacer un ajuste para su aplicación en países emergentes (Colombia, por ejemplo). Se debe sumar una prima por riesgo país, la cual representa el retorno adicional que exigiría un inversionista por la volatilidad adicional asociada a una economía emergente (Cosset & Roy, 1991).
La literatura y la praxis financiera proponen diferentes métodos para calcular el riesgo país (Damodaran, 2003). Dentro de los más populares tenemos: 1) el Emerging Markets Bond Index (EMBI), diferencial entre los márgenes de los bonos colombianos con denominación en dólares y los bonos de la reserva federal de Estados Unidos; 2) el Riesgo Relativo del Capital propio, y 3) el que se inferiere de los Credit Default Swaps para Colombia. De todos los anteriores, el EMBI7 es el más practicado, pero en el presente estadio no solo utilizaremos este método, sino el de Riesgo relativo de capital propio, con el objetivo de hacer un comparativo de los resultados.
Un cuestionamiento que puede surgir al uso del EMBI radica en que la diferencia de los márgenes de los bonos del país emergente, no son suficientes para medir la exposición al riesgo de inversión en un mercado emergente. El inversionista debería esperar que el rendimiento en un mercado emergente sea mayor que el margen impuesto a la deuda soberana de dicho país, de tal forma que el riesgo país (CR) sería mejor determinado a traves del Equity Risk (ER) (Damodaran, 2015).8Así, para saber qué tan alto debe ser este premio por riesgo país, se usa la volatilidad relativa del mercado accionario del país emergente9 (oEME) con la volatilidad de los rendimientos de los bonos soberanos10 (oDSME) y se multiplica por el margen (spread) entre los Credit Default Swaps de la deuda de Estados Unidos (CDSEU) y los Credit Default Swaps de la deuda del país emergente (CDSPE):
La tabla 1 muestra el cálculo del riesgo país con corte al 20 de septiembre de 2016, por los dos métodos descritos. Como se puede ver, el método del Equity Risk (ER) captura una mayor volatilidad de los rendimientos de los de las acciones en Colombia.
Teniendo el CR, se puede calcular el valor del costo de la deuda (Kd) para cada nivel de cobertura de la utilidad operativa (Ebit) sobre los intereses; al resultado se le debe aplicar la identidad de Fisher para ubicar la tasa en términos equivalentes para Colombia.12 Los resultados se pueden ver en la tabla 2:
3.2. Estimación del costo del capital propio
Para hallar el costo de capital propio se usa el modelo CAPM (Sharpe, 1964; Lintner, 1965; Mosin, 1966). El costo del capital propio (KE) es igual a la suma de la tasa libre de riesgo (RF) más la prima por riesgo (RP), multiplicado por el beta del capital propio (BE):
RP14 (Risk Premiun) es la diferencia promedio entre los retornos del mercado y la tasa libre de riesgo. Para el cálculo del beta, utilizamos el beta de empresas comparables que operen en mercados eficientes (Bowman & Bush, 2016); esta información se puede obtener de bases de datos como Bloomberg® o Datastream®. Para ser seleccionadas, las empresas comparables deben cumplir con lo siguiente: 1) estar inscritas en mercados que cumplan en el mayor grado posible la hipótesis de eficiencia, es decir, aquellos en los cuales los inversionistas pueden diversificar el riesgo no sistemático y 2) participar en el mismo sector industrial de la empresa para la cual se hace el análisis (procesamiento de alimentos), es decir, que sus ingresos provengan de un portafolio de unidades de negocio similar. Alternativamente, se pueden usar los betas sectoriales, que son consultados por muchos autores a través de sus bases de datos.15 El Beta es una medida de la exposición de la firma al riesgo sistemático o no diversificable y, por lo tanto, es una medida de volatilidad de los rendimientos de la acción de la empresa frente a los del mercado.
3.3. Estimación de la exposición de la empresa al riesgo país (CR) y cálculo del costo de capital de la empresa desapalancada
En la estimación del costo de capital para mercados emergentes no solo es importante calcular el valor de la prima por riesgo país (CR); también se debe establecer qué tan expuesta está la empresa a ese riesgo país. Según Damodaran (2003), existen las siguientes posibilidades: la primera es suponer que todas las compañías en un país están igualmente expuestas al riesgo país; en este caso, se debe sumar la prima por riesgo país en la ecuación del cálculo del costo de capital.
Nosotros consideramos que la exposición de la empresa al riesgo país es proporcional a todos los otros riesgos sistemáticos, los cuales están medidos por el beta. Por tal motivo, estimamos el costo de capital sumando a la tasa libre de riesgo el producto del beta por la suma del premio de mercado y el riesgo país.
3.4. Valor de la empresa desapalancada
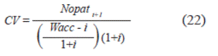
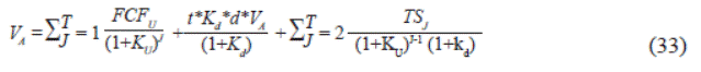
El objetivo principal de este trabajo es definir la estructura de capital y no valorar la empresa, aunque para definirla es necesario determinar el impacto de la misma en el valor de la compañía. En este caso, se supone que en los mercados maduros la utilidad económica y la tasa de crecimiento real (g) tienden a cero.16 La inversión bruta sería financiada con la generación interna de fondos, de tal forma que el capex neto sería cero y por consiguiente el valor de la empresa sin deuda en el periodo t (VUt) se obtiene de dividir la utilidad operacional, después de impuestos del período siguiente (NOPATt+1)17 sobre la tasa de costo de capital de la empresa sin deuda (Ku).
La nota técnica 1, al final del caso contiene el desarrollo analítico de esta ecuación.18 Este cálculo se basa en la propuesta de Stern (1974), quien indica que el período de ventaja competitiva tiende a agotarse en un horizonte de tiempo. Sin embargo, se debe tener en cuenta que en economías altamente inflacionarias, al denominador debe restarse el valor de la inflación esperada. Cuando la inflación es positiva se puede dar una estimación baja del valor real de la empresa, porque esto implicaría que el valor de los flujos de caja decrecerían a la tasa de inflación y, por tanto, ajustes adicionales pueden ser requeridos (Bradley & Jarrell, 2003).
El crecimiento nominal (g) mencionado en la tabla 3, solo se utiliza para proyectar el EBIT operacional al año 2016, según estimaciones que obedecen a las inversiones proyectadas. Con una inflación del 7%, el g nominal del 30% corresponde al 21,4% real. Este crecimiento no se utiliza en el cálculo de perpetuidades por las razones expuestas antes acerca de las características de un mercado maduro y descritas con más detalle en la nota técnica 1. El supuesto es que la empresa, al estar en un mercado maduro, es incapaz de extraer rentas adicionales en el largo plazo; por tanto, su rentabilidad tiende a ser igual al costo de capital y el crecimiento es irrelevante en la generación de valor. Así, g=0 en la perpetuidad y en el periodo relevante, es decir, las ventas solo crecerían por efectos de la inflación. El lector que desee estilizar mucho más el ejercicio de valoración (no es nuestro objetivo) puede sensibilizar el modelo asumiendo distintos crecimientos en el periodo relevante (alargar el periodo de ventaja competitiva) y en la perpetuidad, teniendo en cuenta que en ese caso se debe controlar la relación entre crecimiento y reinversión.19
En la tabla 3 se pueden ver los cálculos referidos anteriormente; también se muestra el Capital invertido operativo (CIO) calculado como los activos de operación menos los proveedores de bienes y servicios y el Ebit sin gastos no recurrentes. Estos cálculos están basados en los estados financieros de la empresa.
3.5. Monto de la deuda, intereses, beneficio tributario, valor del capital propio en libros, relación D/E inicial y flujo de caja del accionista
Con el valor del Kd y los niveles de cobertura en el ranking sintético, se puede establecer el monto de la deuda correspondiente, debido a que los intereses son iguales al monto de la deuda (D) multiplicados por el Kd. Para hacerlo se puede usar la siguiente ecuación:
El valor de los intereses (Kd*D) y del beneficio tributario o escudo fiscal (TS= Kd*D *T) permiten obtener el valor del capital propio, descontando al KE, el flujo de caja del accionista o propietario (FCA). El FCA está determinado por el Nopat, menos el valor de los intereses, más el beneficio tributario. La relación deuda sobre capital propio inicial (D/E) se estima dividiendo el valor de la deuda (D) sobre la resta entre al CIO y el monto de la deuda. La tabla 4 muestra los resultados obtenidos; nótese que por obvias razones se obtiene el mismo valor de los intereses, TS y el FCA, sin importar la medida de riesgo país usada. En la tabla 4 solo se incluye el valor superior del rango de cobertura del ranking sintético.
3.6. Ajuste del Beta por apalancamiento, cálculo del KE y del valor del capital propio a precios de mercado
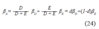
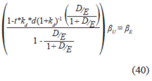
Como sabemos, el apalancamiento incrementa el nivel de rendimiento exigido por los inversionistas (KE), ante el incremento de la posibilidad de default y los costos de estrés financiero; por lo tanto, se cumple que KE>KU. La forma de llegar al KE es apalancando el BU por el nivel de D/E seleccionada para obtener un BE (Fernandez, 2006). La siguiente es la ecuación más utilizada para apalancar y desapalancar los betas (Hamada, 1972):
Sin embargo, este es un resultado especial que aplica solo cuando el nivel de deuda neta es constante y cuando el escudo fiscal como la deuda neta se consideran libres de riesgo. De hecho, aunque esta ecuación es comúnmente usada, no es correcta para ajustar las diferencias por apalancamiento cuando los niveles de deuda neta sobre el valor de la empresa cambian en el tiempo. En particular, no aplica para el caso que necesitamos aquí, pues la empresa debe mantener un ratio constante de deuda neta sobre los flujos de caja descontados al Wacc. Para este caso, Miles y Ez-zell (1985) mencionan que cuando la firma ajusta su deuda neta en el tiempo a una proporción fija de su valor, el nivel de deuda neta está perfectamente correlacionado con el valor de la firma. Así, el escudo fiscal tiene el mismo riesgo que el valor de la firma y, por lo tanto, el mismo beta. De esta forma, el beta apalancado podría calcularse como:
Donde t es la tasa de impuestos. Estos autores asumen deuda sin riesgo porque cuando el apalancamien-to se ajusta al final de cada periodo, el flujo de caja del primer periodo es libre de riesgo. En este caso, el beta de los activos apalancados es el promedio ponderado de BU y el beta del escudo fiscal libre de riesgo (BTS), el cual es cero. Si suponemos ajustes continuos de la estructura de capital para maximizar el valor de la empresa, entonces el BD tiende a cero y esta última ecuación puede ser usada. En la nota técnica 2 se puede ver el desarrollo analítico que sustenta esta conclusión.
Debido a que los supuestos para el uso del CAPM se basan en valores de mercado de la deuda y el capital propio, debemos implementar un cálculo iterativo o la referencia circular de la hoja electrónica, a partir del D/E inicial para llegar al valor del capital propio a precios de mercado. Con este resultado se puede apalancar el Beta con la relación D/E a valores de mercado. El cálculo iterativo se inicia apalancando BU con la relación D/E inicial para cada nivel de apalancamiento en el ranking y así obtener un primer KE que se lleva a términos nominales en Colombia para obtener el valor del capital propio a precios de mercado usando el FCA, es decir VE=FCA/KE. El proceso se repite recalculando el D/E con el nuevo valor del capital propio, hasta que el KE y el capital propio concurran a un valor estable. Después de aproximadamente 10 iteraciones para cada nivel de endeudamiento, los valores tienen una convergencia a los que se ven en la tabla 5.
Tabla 5 Cálculo del costo del capital propio (KE), El valor del capital propio a precios de mercado (VE) y el Valor de la empresa (VO) con distintos niveles de cobertura

Fuente: elaboración propia.
En la tabla 5, el valor de la empresa apalancada (Vo) para los diversos niveles de cobertura sa obtiene de sumar el valor del capital propio a precios de mercado (VE) más el valor de la deuda (Vo= VE+D= E+D). El cálculo se hizo utilizando ambos indicadores de riesgo país (EMBI y ER); nótese que el mayor valor de la empresa coincide para el mismo nivel de cobertura, entre 4 y 4,49 veces.
3.7. Valor de la empresa apalancada mediante el cálculo del Wacc
El valor de la empresa apalancada se determina por dos caminos. El primero suma el valor del capital propio a los precios de mercado y el saldo de la deuda; el segundo calcula el costo promedio ponderado de capital para descontar el No-patt+1, tal como se mencionó antes (Vo= Nopatt+1/Wacc). El Wacc se calcula como el promedio ponderado del costo de la deuda después de impuestos y del capital propio para cada nivel de endeudamiento:
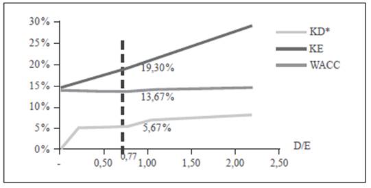
En la tabla 6 se puede observar que el Vo calculado con el Nopatt+1 y el Wacc da el mismo valor que el calculado antes, sumando la deuda más el capital propio a precios de mercado. Además, se denota que la estructura de capital óptima (D/E) minimiza el Wacc y, a su vez, maximiza el valor de la empresa, sin importar la medida de CR usada. Sin embargo, dado que la prima por riesgo país es mayor por el ER, la relación D/E óptima es más baja usando este método. Algunos valores del extremo inferior fueron suprimidos por parsimonia y el costo de la deuda está expresado después de impuestos (Kd*).
Tabla 6 Cálculo de la estructura de capital que minimiza el Wacc y maximiza el Valor de la empresa (VO)

Fuente: elaboración propia22.
Se pueden ver ambos resultados en las figuras 1y 2para CR=EMBI y para CR=ER.
4. ANÁLISIS DE RESULTADOS
Con los cálculos realizados hasta este punto, se procede a comparar la estructura óptima con la que posee actualmente la empresa. También se contrasta el costo teórico de acceso a la deuda con el que se está pagando realmente y se determina el costo del capital propio que deberían estar cargando los socios a la empresa por concepto de uso del capital propio, de acuerdo con la estructura actual de endeudamiento. Finalmente, se hace una análisis de la equivalencia entre los fundamentales y el precio de las acciones preferenciales transadas recientemente. El análisis de resultados se cierra haciendo una propuesta de restructuración y se indica cuál sería el valor generado por la adopción de la estructura propuesta.
4.1. Comparación del costo de deuda actual y teórico23
La tabla 7 muestra el detalle de las deudas actuales de la empresa, sin considerar un sobregiro temporal que está a una tasa del 30% EA. Se calcula el promedio ponderado de las deudas en moneda local y extranjera, considerando la devaluación/revaluación corrida desde el momento de la firma de los contratos. En la parte inferior se muestra el valor teórico del ranking sintético, que indica cuánto debe costar la deuda de la empresa; este se obtiene después de calcular la cobertura actual que tiene la compañía con el EBIT que genera y los intereses que está pagando. Para la fecha de realización de estos cálculos, la calificación crediticia según el ranking sintético para su nivel de cobertura seria B3/B- y el costo correspondiente el 18.6% (en la tabla 2 el valor esta entre el 18,6% y el 20,3%), el cual es muy similar al 18,26% que se está pagando actualmente.24
4.2. KE de la estructura actual y crecimiento implícito en la última transacción de venta de acciones privilegiadas
Al 31 de diciembre de 2015, el capital social de la empresa estaba compuesto por un capital autorizado de 18.000 millones de pesos, representado en 180 millones de acciones, con un valor nominal de 100 pesos cada una, las cuales podrían ser emitidas en distintas clases (ordinarias o privilegiadas). Las acciones en circulación a diciembre 31 de 2015 eran de 156.586.992, pero en la asamblea extraordinaria de accionistas del 12 de febrero de 2015 se aprobó la emisión de acciones privilegiadas de valor nominal de 100 pesos cada una con una prima en colocación de 2.777,46 pesos por acción.
Con fines meramente académicos, podemos hacer un análisis de la operación a la luz de los fundamentales de la empresa y determinar cuál es la tasa de crecimiento implícito asociada al valor de la prima. Para tales efectos, calculamos el FCA restando del Nopat el valor de los intereses pagados y sumando el beneficio tributario. Se usa la misma técnica del cálculo interactivo presentada anteriormente para apalancar el B^ empezando con una relación D/E calculada con el saldo de la deuda actual y el capital propio resultante de la restarle al CIO el valor de tal deuda. Usando el ER como medida de CR y después de 15 iteraciones el KE converje a 33,98% y el valor del capital propio pasa a 175,707 millones de pesos, tal como se observa en la tabla 8.
Tabla 8 Cálculo del KE y el crecimiento implícito en prima de la acción privilegiada

Fuente: elaboración propia.
anual de devaluación (17,1%) para el periodo transcurrido (2,65 años), por tanto la tasa efectiva para amortización semestral sería: libor180+3,720 = (1+(1,22344%+3,72%))2-1=10,1%. Después de la devaluación: (1+10,1%)*(1+17,1%)-1=28,9%.
Puede notarse que el KE sube de manera considerable para ese nivel de cobertura. Eso ocurre debido a la alta relación D/E resultante de la estructura actual (3,03), que indica que tiene tres veces más deuda que valor de mercado del capital propio. Existe también una diferencia considerable entre el valor del capital propio según los fundamentales y el que resulta de multiplicar el número de acciones circulantes por el valor de la acción transada en la emisión reciente de acciones privilegiadas. El KE y el Kd de la estructura de capital actual nos permiten establecer el Wacc de la empresa y volver a establecer el valor de la empresa apalancada (Vo) utilizando el Wacc para descontar el Nopatt+1. Como en la ocasión anterior, este último coincide con el valor de suma de la deuda y el capital propio a precios de mercado.
La diferencia hallada entre los valores del capital propio según nuestros cálculos y el resultante de la transacción de las acciones privilegiadas debería corresponder al crecimiento esperado posterior a t+1, de acuerdo con las proyecciones de la empresa. Ese crecimiento implícito (g) se puede obtener despejándolo de la ecuación para cálculo del valor a continuidad:
El valor obtenido para el g implícito (ver tabla 8) indica un crecimiento futuro a perpetuidad del 18,3%, con una inflación proyectada del 4,5% el crecimiento real sería del 13,2%.26
4.3. Propuesta de recapitalización
En la tabla 9, se muestra una propuesta de recapitalización para acceder a la estructura óptima de capital hallada. Se cambiarían 223.261 millones de pesos de deuda por capital propio obtenido de una nueva emisión. Sin el crecimiento implícito serían de 162,5 millones de acciones, pero si se mantiene la prima en colocación anterior, serían de 77,6 millones de acciones. Con ello se incrementaría el valor de la empresa apalancada cerca de 40.000 millones de pesos. Nótese que el valor de la acción con la estructura propuesta se incrementa en un 22,4% frente al valor que resulta de valorar la empresa con la estructura actual de endeudamiento.
CONCLUSIONES
Cómo las empresas determinan su estructura de capital ha sido un fenómeno ampliamente estudiado por diversos autores. Muchos académicos se han enfocado en establecer el óptimo ratio de endeudamiento que maximiza el valor de la empresa, considerando los distintos costos asociados a la deuda y al capital propio. Otros tantos han tratado de explicar cómo hacen las empresas al momento de tomar decisiones sobre el financiamiento de las inversiones y cuáles son los criterios que los gerentes usan para seleccionar y acceder a diferentes fuentes de financiamiento. No obstante, el tema de la estructura de capital se considera un problema sin resolver en la literatura financiera.
Por lo tanto, es entendible que estudiosos de temas financieros y gerentes de empresas se muestren confundidos acerca de cómo funcionan todos los postulados teóricos acerca de este tema y que cuestionen la practicidad o utilidad de muchos conceptos. El desarrollo de este caso se centró en aplicar a una empresa particular, en un mercado emergente, algunos de los conceptos asociados a la teoría de la estructura de capital, para conciliarlos y aterrizarlos a resultados concretos en una empresa real.
Para ello, se usaron varias técnicas que permitieron aplicar tres principios, que fueron establecidos para empresas en mercados desarrollados y para una empresa del sector de alimentos en el mercado emergente colombiano. Además Se utilizaron el Capital Asset Pricing Model (CAPM) y diversos cálculos del riesgo país, así como las propuestas de Miles y Ezzell (1985) para apalancar el beta en condiciones de deuda sobre patrimonio constante a precios de mercado. Finalmente, se realizó un cálculo recursivo a partir del flujo de caja del accionista para determinar el costo del capital propio a precios de mercado. Todo lo anterior se hizo teniendo en cuenta que la acción de la empresa seleccionada tiene una muy baja liquidez.
Posteriormente, se usó el ranking sintético de cobertura para estimación del costo de la deuda, para determinar el apalancamiento óptimo determinado por el equilibrio entre los beneficios y costos marginales del endeudamiento. Se presentó el umbral entre los beneficios del escudo fiscal y los posibles costos de insolvencia financiera generados por una baja cobertura de intereses, que se reflejan en el incremento de las tasas exigidas por los proveedores de capital.
Los resultados muestran cómo en la medida que aumenta el endeudamiento se incrementa el riesgo y por tanto hay mayor retorno requerido por parte de los inversionistas. Además, se comprueba que la estructura de capital óptima maximiza el valor de la firma y el precio de la participación de cada socio (acciones o participación societaria), a la vez que minimiza el costo promedio ponderado del capital. El aprendizaje resultante de este trabajo, además de ser una ayuda de orden práctico para la toma de decisiones de endeudamiento, constituye la base para continuar avanzando en la aplicación de los conceptos teórico-prácticos relacionados con la fijación de estructuras de capital para empresas en mercados emergentes. Quienes estén interesados en el tema pueden utilizar este trabajo como base para avanzar en la aplicación práctica de otros elementos teóricos, por ejemplo, aquellos relacionados con ¿cuál otra teoría de estructura de capital podría ser aplicada en este caso (pecking order, costos de agencia)?, ¿qué otro método podría usarse para apalancar los betas?, ¿cuáles serían las ventajas y desventajas de cada método?, ¿cómo cambia el crecimiento implícito esperado de la empresa según la transacción de acciones preferenciales realizadas recientemente, si se opta por ampliar el periodo de ventaja competitiva, es decir, se utiliza un crecimiento para periodo relevante de 5 años en el proceso de valoración?, si se hace el ajuste anterior, ¿cómo cambia la estructura optima de capital y qué beneficios puede generar?, ¿cómo cambia la propuesta de reestructuración si se considera el disponible para calcular la deuda neta?
































































