El período de posconflicto en las distintas sociedades representa una oportunidad para emprender reformas de amplio alcance en las poblaciones más afectadas por la dinámica del conflicto. Especialmente, se deberían contemplar mecanismos que implementen estrategias de construcción de Estado en los territorios, ya que en situaciones de conflicto aumenta la vulnerabilidad a todo tipo de violaciones de derechos humanos. La ausencia del Estado conlleva un aumento en los factores de riesgo de violencia sexual y de género; asimismo, ocasiona un rezago en la adquisición de bienes y servicios básicos y una carencia de oportunidades, como en la educación, así como abandono estatal en términos de gasto público enfocado hacia el desarrollo de los sectores productivos. Por lo tanto, en ausencia de un Estado eficaz y legítimo, la violencia y las vulnerabilidades continuarán.
Lo anterior se evidencia en Colombia, puesto que, según el Registro Único de Víctimas (RUV), para agosto de 2022 hay 9.342.426 víctimas del conflicto armado, de las cuales 35.853 fueron víctimas de violencia sexual; 8.317.718, de desplazamiento forzado; 1.081.410, de homicidios; 189.844 de desaparición forzada; y 9.212 niños, niñas y adolescentes fueron vinculados a actividades relacionadas con grupos armados. De acuerdo con Arias, Camacho, Ibáñez, Mejía y Rodríguez, quienes realizaron un análisis de investigaciones que evalúan los costos del conflicto armado en Colombia, el desplazamiento forzado ha causado una pérdida en la producción agrícola que equivale al 3,4% del PIB agropecuario anual. Por otra parte, el conflicto ha disminuido la tasa de crecimiento del PIB entre 0,3 y 0,5 puntos porcentuales anualmente. Asimismo, ha impactado directa e indirectamente en las empresas colombianas; tres cuartas partes de los empresarios afirman que aumentarían las inversiones en productividad, innovación y empleo si no existiera el conflicto. En términos de capital humano, el conflicto armado incrementa la tasa de deserción escolar, lo que significa que los estudiantes podrían tener 0,6 y 1,2 años menos de educación de lo que alcanzarían en ausencia del conflicto. Además, genera un impacto negativo en el bienestar relacionado con la salud. Por ejemplo, se ha observado que los niños en gestación cuyas madres estuvieron en municipios con explosiones de minas antipersona nacen con un menor peso (Arias, Camacho, Ibáñez, Mejía, & Rodríguez, 2014).
Es por esta razón que es importante estudiar los procesos y mecanismos de construcción de estado en posconflicto para el caso colombiano. Teniendo en cuenta que este es un Estado que no ha logrado tener el control total sobre su territorio ni ha ejercido plenamente su poder para terminar con la violencia, lo que ha llevado a que el conflicto haya convivido con la democracia por más de 50 años. Históricamente, las políticas de construcción del Estado han sido estrategias de corte militar para el abordaje del conflicto. Esto se ha visto incluso en Colombia, donde se registraron ciertos fracasos, como en la política de seguridad democrática (2002-2010)2. Esta política planteaba la necesidad de fortalecer las actividades y la presencia de los órganos de seguridad a lo largo del territorio nacional, con el objetivo de derrotar a los grupos armados al margen de la ley y así construir un Estado capaz de monopolizar la violencia. Las intervenciones militares en sociedades débilmente institucionalizadas fueron una característica central de la Guerra Fría y han continuado hasta el presente. En los últimos años, ha surgido un creciente interés creciente en complementar esos esfuerzos con políticas sociales que buscan ganar los corazones y mentes de las personas en los territorios afectados. No obstante, estas políticas no han sido suficientemente evaluadas, por lo que aún no se sabe si funcionan de la manera esperada.
Por un lado, estas políticas pueden contribuir a mejorar la calidad de vida de la población y al desarrollo de los territorios. Sin embargo, en ausencia de otros elementos estatales, como una adecuada capacidad militar e institucional, pueden resultar ineficaces. En primer lugar, esto se debe al riesgo de que nuevos grupos armados ocupen el territorio y atemoricen a la población en el posconflicto. En segundo lugar, se enfrentan a desafíos relacionados con la capacidad estatal para implementar el gasto público, así como a la articulación y voluntad política para la ejecución de los proyectos.
Por ello, en esta investigación se aborda, desde un enfoque cuantitativo, el impacto de la implementación de los mecanismos de construcción de estado en el desarrollo de los territorios más afectados por el conflicto armado con las Fuerzas Armadas Revolucionarias de Colombia (FARC).
En particular, se estudian los efectos sociales de los Programas de Desarrollo con Enfoque Territorial (PDET) en tres variables de desarrollo: la tasa de embarazo adolescente, la tasa de mortalidad de la niñez y el número de alumnos matriculados en instituciones educativas. Los PDET surgieron después de la firma del Acuerdo final para la terminación del conflicto y la construcción de una paz estable y duradera (Acuerdo de Paz), como herramientas para estabilizar y transformar los territorios más afectados por la violencia y la debilidad institucional. Estos planes enfatizan la importancia de incluir a la ciudadanía y a sus organizaciones para que sean actores de primera línea de la transformación estructural del campo. Para este fin, se utiliza un panel junto con la metodología de diferencias en diferencias con emparejamiento. Si bien esta metodología permite estimar el efecto causal de un choque incluso cuando existen diferencias preexistentes entre los grupos estudiados y contribuye a mitigar los problemas de sesgo de selección y endogeneidad, se reconoce que, para alcanzar una mayor comparabilidad entre los grupos de tratamiento y control, es recomendable realizar un emparejamiento utilizando algunas características municipales observables. Para este propósito, se desarrolló un modelo de emparejamiento por puntaje de propensión (PSM) utilizando tres variables observadas. Estas variables se emplearon anteriormente en los criterios para la priorización de los territorios donde se implementaron los PDET. Para la construcción del panel y de las variables que permiten evaluar los efectos de interés, se usaron fuentes de datos oficiales del Departamento Administrativo Nacional de Estadística (DANE), Departamento Nacional de Planeación (DNP) y Agencia de Renovación del Territorio (ART), así como bases de datos de diferentes ONG.
Los resultados muestran efectos socialmente negativos y estadísticamente significativos de los PDET en la tasa de embarazo adolescente y en el número de matrículas en instituciones educativas.
Específicamente, en los PDET, la tasa de embarazo adolescente aumentó en 0,3 puntos porcentuales; este aumento equivale a un 9,5% de la media. Además, las matrículas de los estudiantes disminuyeron en 844 por cada 100.000 habitantes, lo cual implica una disminución aproximada del 4,3% en la media de las matrículas de la muestra. No se observa un efecto estadísticamente significativo en la tasa de mortalidad infantil.
El análisis se amplía con el estudio de dos posibles factores que podrían tener un impacto en el efecto encontrado; estos son: i) el nivel de inversión aprobado para la ejecución de los PDET, y ii) las dinámicas de violencia en el posconflicto. Para el primer factor se encontró que el efecto de las fuentes de financiamiento de los PDET es muy pequeño y no todas las fuentes generan efectos significativos en todas las variables. En el segundo factor, se evidencia que las formas de violencia que han surgido en el postconflicto, como la presencia de diferentes grupos armados y los asesinatos de líderes sociales, han incidido de forma diferencial en el desarrollo de los municipios priorizados. Muchas personas consideran que las políticas militares y sociales de construcción de Estado son sustitutas; estos resultados sugieren que son complementarias.
Lo que sigue en este documento se divide en ocho secciones. La sección 1 es la presente introducción; la sección 2 es una revisión de literatura acerca de la construcción del Estado y algunos estudios empíricos acerca de las políticas públicas desarrolladas en regiones en posconflicto. La sección 3 se adentra en el contexto colombiano, destacando los principales actores y situaciones relevantes. En la sección 4 se detallan los datos utilizados para el análisis. En la sección 5 se expone la estrategia empírica, mientras que en la sección 6 se presenta los resultados principales, pruebas de robustez y posibles sesgos del resultado. La sección 7 presenta e indaga los posibles canales de trasmisión de los efectos observados. El documento termina con la sección 8, donde se ofrecen las conclusiones del estudio.
REVISIÓN DE LA LITERATURA
Este apartado proporciona un resumen de la literatura acerca de la construcción de Estado en contextos afectados por conflictos armados, así como estudios que evalúan los efectos de los diálogos y acuerdos alcanzados para terminar dichos conflictos. El propósito de este trabajo es contribuir a la investigación que evalúa los impactos de los programas de desarrollo implementados en áreas que han padecido la violencia. Adicionalmente, este análisis enriquece la comprensión empírica de los procesos de formación del Estado, enfocándose en los mecanismos de participación comunitaria para el desarrollo de poblaciones que han sido víctimas del conflicto armado."
CONSTRUCCIÓN DE ESTADO
El Estado es una entidad política que se forma cuando, en un territorio, un conjunto de personas se organiza jurídicamente bajo el mando de un conjunto de instituciones que buscan mantener el orden y la convivencia en sociedad (Departamento Nacional de Planeación (DNP), 2011). Arévalo (2014) sostiene que, para alcanzar estos objetivos, es necesario que estas organizaciones ejerzan un control efectivo sobre el territorio, tengan la capacidad para movilizar recursos de la sociedad y posean legitimidad. Mientras no exista un Estado eficaz y legítimo en los territorios, este tendrá dificultades en materia de capacidad institucional, esto es en su desempeño para garantizar derechos económicos, sociales, culturales y proveer bienes y servicios públicos, además, se enfrenta a actores que ejercen control sobre la población y el territorio, por lo cual la violencia asociada al conflicto armado es mayor (Arévalo Bencardino, 2014).
El concepto de construcción de Estado emerge como respuesta a algunos desafíos, enfocando sus esfuerzos en la creación, reforma y fortalecimiento de instituciones gubernamentales en territorios con presencia estatal débil o inexistente. Según Paris y Sisk, después del fin de la Guerra Fría la construcción de Estado se ha convertido en un pilar en la creación de las condiciones necesarias para el establecimiento de una paz duradera y avance el desarrollo económico y social en países emergentes de conflictos bélicos (Paris & Sisk, 2007).
La construcción de Estado facilita el desarrollo y la paz mediante un proceso de negociación institucional que establece estructuras a nivel macro. Estas estructuras ofrecen incentivos a nivel micro a las élites y a sus partidarios, dándoles motivos para dirimir sus diferencias por medios democráticos.
En otras palabras, no solo se basa en el restablecimiento de la seguridad para mantener "un alto al fuego" en los territorios: incluye objetivos institucionales de corto y largo plazo que forman parte del proceso de construcción de Estado y tienen efecto tanto en la naturaleza del Estado que se está construyendo como en la sostenibilidad de la paz al interior de este. Entre los objetivos se encuentran: la inclusión de temas de desarme, desmovilización y reintegración de excombatientes; un sistema funcional de ley y orden como la reparación por crímenes, retorno y reintegración de refugiados y desplazados internos; la inclusión de una política económica efectiva; reformas a los servicios de educación y salud; y la incorporación de actores locales y de la sociedad civil (Wolff, 2011).
Para cumplir con estos objetivos de reconstrucción es fundamental priorizar dos elementos estatales y/o institucionales. Primero, se debe realizar un esfuerzo público a través del gasto para reparar el daño generado por el conflicto. Según James K. Boyce, un elemento clave para implementar los acuerdos de paz y brindar servicios públicos, es construir un Estado con la capacidad de recaudar impuestos, asignar recursos y administrar los gastos de una manera que los ciudadanos consideren efectiva y equitativa. Desarrollar estas capacidades estatales en finanzas públicas son cruciales para el éxito de la consolidación de la paz por tres razones:
i) Se debe garantizar una financiación sostenible para las nuevas instituciones democráticas, los programas sociales que alivien las tensiones y reparen los daños, y para las inversiones públicas que promuevan el crecimiento económico y el desarrollo. En los primeros años del posconflicto, es habitual que los países reciban apoyo económico externo que satisfagan temporalmente algunas de estas necesidades; sin embargo, este tipo de asistencia tiende a disminuir con el tiempo. Por ello, es esencial que los recursos internos sean capaces de mantener estas instituciones y programas a largo plazo. Además, es clave que la ayuda internacional no "desplace" las capacidades fiscales internas, sino que estimule su crecimiento.
ii) Un Estado legítimo debe desarrollar capacidades fiscales. Las elecciones democráticas, por sí mismas, no garantizan la legitimidad del Estado. Tampoco los "proyectos de impacto rápido" con los que se busca cubrir necesidades urgentes. La legitimidad se deriva principalmente de la capacidad para proporcionar los servicios que los ofrecen una vía para que la ciudadanía exprese sus demandas, cumplir con estas demandas exige una administración efectiva de los recursos públicos.
iii) En algunos casos es necesario reducir los impuestos extralegales de los grupos armados para mejorar la seguridad. Por ejemplo, el control sobre los ingresos de la extracción de recursos naturales, como la tala en Camboya o los diamantes en África occidental, suele ser crucial para establecer el monopolio del Estado no solo en el recaudo de impuestos sino también en el ejercicio de la fuerza legítima (Boyce, 2007).
Para Rob Mills y Qimiao Fan, también es importante tener en cuenta que el entorno complejo en situaciones posteriores a conflictos afecta los esfuerzos para el aumento de la inversión privada. La calidad de las instituciones y la gobernanza, la capacidad del gobierno para implementar reformas y el capital social acumulado, son elementos cruciales para la dinámica y el éxito de los proyectos.
Abordar estos temas requiere del diálogo entre las partes interesadas, tales como asesores de políticas y patrocinadores financieros del sector privado, a fin de garantizar una amplia apropiación de los planes para reconstruir un clima de inversión sólido. A su vez, los encargados de la ejecución de las políticas deben asumir nuevos roles como facilitadores y partidarios de la implementación, con el fin de minimizar distorsiones económicas que socaven el sector privado. La importancia de apoyar al sector privado radica en que este tiene la capacidad de generar empleo, proporcionar servicios públicos donde el Estado es precario y de construir capital social, por lo que ayuda a consolidar la paz y reduce la probabilidad de que regrese el conflicto (Mills & Fan, 2006).
Segundo, no se puede obviar la importancia de la seguridad dentro del proceso de construcción de Estado, al estar estrechamente relacionada con la legitimidad política. Wolff sugiere que, antes de iniciar con una estrategia de construcción de Estado, es necesario tener niveles mínimos de seguridad, ya que la capacidad de un Estado en posconflicto para brindar seguridad determinará su legitimidad y ésta condicionará el grado en que los ciudadanos ven la seguridad como una protección o como la continuación del conflicto por otros medios. En el proceso de construcción del Estado es importante elegir un conjunto de instituciones que proporcionen un equilibrio entre la seguridad originada en la capacidad coercitiva del Estado y aquella que emana del Estado de derecho (Wolff, 2011).
Daniel Lambach muestra que en las sociedades posconflicto, el Estado es incapaz de ejercer un monopolio legítimo sobre los medios de coerción física, por lo que agentes alternativos ingresan al "mercado de la seguridad" donde el Estado no puede o no quiere brindar seguridad como un bien público. Estos mercados con frecuencia están integrados por un pequeño número de competidores donde ninguno de ellos puede monopolizar la seguridad por completo, generando así relaciones desiguales entre ellos y por ende niveles más altos de violencia. Para lograr que el Estado logre un monopolio de la seguridad es necesario llevar a cabo con éxito un programa de desarme, desmovilización y reintegración en el período inmediatamente posterior al conflicto. Dicho programa debe estar integrado con un acuerdo de paz inclusivo que esté respaldado por un compromiso creíble y sólido de las tropas (Lambach, 2007).
Julia Strasheim argumenta que las políticas de reformas institucionales también pueden estar relacionadas con la seguridad en el posconflicto, en el entendido de que, sin una política legítima en el proceso de reforma institucional, cualquier diseño institucional que sea el resultado de dicha reforma puede generar el riesgo de nueva violencia. En otras palabras, factores como la desconfianza acerca de los nuevos acuerdos, la dominación de la élite, la retórica emocional, la aceleración de las reformas, el retroceso en los compromisos adquiridos y la incorporación de reformas individuales impiden los procesos de reforma institucional que pueden contribuir a la violencia en el posconflicto (Strasheim, 2017).
La mayoría de la literatura sobre el tema coincide en que el proceso de construcción de Estado es una tarea compleja, y más aún en países que acaban de salir de un conflicto armado, en donde la cohesión social está rota y las estructuras gubernamentales existentes tienden a ser débiles, divididas o incluso inexistentes. La construcción de Estado en el postconflicto enfrenta entonces una serie de riesgos y dilemas para la sostenibilidad de la paz y el desarrollo que surgen de las diferentes nociones que se tienen de la misma. Paris y Sisk describen estos riesgos y dilemas así: i) las misiones de construcción de Estado que buscan promover la autonomía nacional y el autogobierno por medio de la intervención internacional pueden ejercer un poder intrusivo. Sin importar cuán bien intencionada sea la intervención, cuestiona potencialmente la legitimidad y la sostenibilidad de cualquier institución política resultante en el territorio; ii) la promoción de soluciones universales, propugnadas por las organizaciones internacionales y los gobiernos donantes, dificulta la definición de políticas efectivas y legítimas, al no estar centradas en fenómenos predominantemente locales, experimentados por individuos y grupos que viven en un contexto sociocultural particular; iii) la construcción de Estado requiere tanto de la persistencia y resiliencia de los patrones profundamente arraigados de la vida política y económica, como de la introducción de nuevos enfoques para la resolución y gestión de conflictos que cuestionen las prácticas tradicionales. No obstante, esta combinación de lo viejo con lo nuevo puede generar conflictos y tensiones "transformadoras" que se pueden traducir en desestabilización en las condiciones particularmente frágiles de los países que acaban de salir de una guerra; iv) las necesidades de corto plazo pueden entrar en conflicto con los objetivos de largo plazo para establecer instituciones estatales legítimas y efectivas (Paris & Sisk, 2007).
EVIDENCIA EMPÍRICA
Diversas investigaciones han intentado probar empíricamente las teorías antes mencionadas. La bibliografía existente se ha enfocado tanto en aquella que explora los programas de desarrollo como mecanismos de mejora en los niveles socioeconómicos de la población y la que se enfoca en programas relacionados con la seguridad para la no reincidencia de la violencia en los territorios. Todo esto teniendo en cuenta que las sociedades que salen de un conflicto enfrentan dos desafíos distintivos: la recuperación socioeconómica y la reducción del riesgo de conflicto. Para el propósito de este documento se hace hincapié en la primera.
En términos de qué determina el cumplimiento de los proyectos de desarrollo en posconflicto, Chauvet y otros estiman la probabilidad de éxito de los proyectos desarrollados por el Banco Mundial en función de las características de la intervención. Los resultados sugieren que la probabilidad de éxito de los proyectos aumenta a medida que dura la paz. A su vez, la supervisión es un determinante crucial del éxito de los proyectos, especialmente durante los primeros años de paz. Además, los autores encuentran que los proyectos en el sector de transporte y en el de desarrollo urbano parecen más exitosos en entornos posteriores a un conflicto. Por el contrario, los proyectos de educación parecen menos exitosos y, por lo tanto, necesitan una supervisión estricta. Los proyectos en el sector privado enfrentan una mayor probabilidad de fracaso en los primeros años de paz (Chauvet, Collier, & Duponchel, 2010).
En línea con lo anterior, Kadirova encuentra por medio de un modelo de regresión lineal en el que usa un conjunto de datos de 124 proyectos internacionales de desarrollo implementados en Afganistán, que el apoyo político del gobierno nacional (receptor) y la calidad del liderazgo internacional del proyecto influyen constantemente en el éxito del proyecto. En combinación, estos dos factores no sólo hacen que los proyectos tengan más probabilidades de éxito, sino que también permiten alcanzar las tasas más altas de éxito (Kadirova, 2014).
Por su parte, en términos de los efectos de los programas de desarrollo como mecanismos de mejora en los niveles socioeconómicos de la población, Brune y Bossert evalúan, por medio de una estimación de una regresión logística, los proyectos diseñados para mejorar los niveles de capital social en comunidades posconflicto en Nicaragua.
Estos autores encuentran que las intervenciones que promueven el desarrollo de la gestión y el liderazgo fueron efectivas para mejorar las actitudes cognitivas de confianza en las comunidades; también se vincularon con mayores niveles de participación cívica en los procesos de gobernabilidad y encontraron que los niveles más altos de capital social estaban significativamente asociados con algunos comportamientos de salud positivos, tanto individuales como a nivel colectivo (Brune & Bossert, 2009).
Badiuzzaman y Murshed evaluaron la eficacia de un programa de desarrollo posconflicto acerca de la utilización de la atención de la salud materna en Chittagong Hill Tracts de Bangladesh. Por medio de un método de diferencias en diferencias con emparejamiento, este estudio establece que el programa de desarrollo en posconflicto logra mejorar la atención de la salud materna. No obstante, la eficacia del programa habría sido mayor en ausencia de las experiencias de conflicto en el hogar y las percepciones de inseguridad, aunque el programa pudo haber mitigado algunas experiencias de conflictos pasados. A su vez, la intervención no logra reducir significativamente la brecha interétnica en términos de la atención médica, principalmente atribuible a los efectos adversos del asentamiento forzoso de pueblos no indígenas en la región (Badiuzzaman & Murshed Mansoob, 2016).
PDET COMO MECANISMO DE CONSTRUCCIÓN DE ESTADO
Para el caso de Colombia, el Estado nunca ha logrado tener el control total sobre su territorio ni ha ejercido plenamente el monopolio de la violencia. Como argumenta Romero, desde la Independencia, las elites regionales se han resistido a aceptar el poder de la autoridad central, por lo que la forma de relacionamiento se ha dado a través de negociaciones y pactos. No obstante, estos pactos han generado un equilibrio político inestable entre el poder central y los poderes regionales (Romero Gutiérrez, 2021). Esta falta de control de los gobiernos territoriales sobre las instituciones políticas y sobre la seguridad ha llevado a que la soberanía del Estado colombiano esté en amenaza constante por grupos armados y delincuenciales.
Como indica Arévalo, desde los años ochenta se agudizó la debilidad histórica del Estado colombiano. Si bien en estos años se inició un proceso de descentralización con el fin de transformar la forma de relacionamiento entre el Estado central y los poderes subnacionales, también se generó la expansión del narcotráfico y el fortalecimiento de las guerrillas de izquierda y de los grupos paramilitares. Lo que ha sido un gran obstáculo para el desempeño de la administración pública y de la rama judicial, para recaudar impuestos y proveer bienes públicos fundamentales como la seguridad y la justicia (Arévalo Bencardino, 2014). Esta falta de legitimidad y eficacia del Estado colombiano se ha traducido en un escenario bélico que se concentró en 361 municipios de los 1.122 con que cuenta el país y que a la fecha ha dejado más de 9 millones de víctimas de acuerdo con el RUV, y que, además, entre 1985 y 2013 causó la muerte de cerca de 220 mil personas, de las cuales el 80% eran población civil (CONPES 3850, 2015).
Estos asuntos fueron tenidos en cuenta por el gobierno colombiano durante las negociaciones de paz con las FARC, que finalizaron el 24 de noviembre del 2016 con la firma del Acuerdo final para la terminación del conflicto y la construcción de una paz estable y duradera. Este acuerdo es un proceso de construcción de Estado que creó herramientas de política pública como los Programas de Desarrollo con Enfoque Territorial (PDET). Estos son definidos por el Decreto 893 de 2017 como un instrumento de planificación y gestión para implementar de manera prioritaria los planes sectoriales y programas en el marco de la Reforma Rural Integral (RRI) y las medidas pertinentes que establece el Acuerdo Final durante un período de 10 años, y bajo la coordinación de la Agencia de Renovación del Territorio (ART). Los PDET tienen como objetivo principal lograr la transformación estructural del campo y el ámbito rural, y un relacionamiento equitativo entre el campo y la ciudad, esto de la mano del Gobierno Nacional, el sector privado, los gobiernos locales y las comunidades. De esta manera el Estado busca asegurar:
1. El bienestar y el buen vivir de la población en zonas rurales, haciendo efectivos sus derechos políticos, económicos, sociales y culturales, y revirtiendo los efectos de la miseria y el conflicto.
2. La protección de la riqueza pluriétnica y multicultural para que contribuya al conocimiento, a la organización de la vida, a la economía, a la producción y al relacionamiento con la naturaleza.
3. El desarrollo de la economía campesina y familiar mediante el acceso integral a la tierra y a bienes y servicios productivos y sociales.
4. El desarrollo y la integración de las regiones abandonadas y golpeadas por el conflicto, implementando inversiones públicas progresivas, concertadas con las comunidades, con el fin de lograr la convergencia entre la calidad de vida rural y urbana, y fortalecer los encadenamientos entre la ciudad y el campo.
5. El reconocimiento y la promoción de las organizaciones de las comunidades, incluyendo a las organizaciones de mujeres rurales, para que sean actores de primera línea de la transformación estructural del campo.
6. Hacer del campo colombiano un escenario de reconciliación en el que todos y todas trabajen alrededor de un propósito común, que es la construcción de la paz, derecho y deber de obligatorio cumplimiento (Gobierno de Colombia, 2017).
Los criterios para priorizar los territorios en donde se implementan los PDET son: a) los niveles de pobreza, en particular de pobreza extrema y de necesidades insatisfechas; b) el grado de afectación derivado del conflicto; c) la debilidad de la institucionalidad administrativa y de la capacidad de gestión; d) y la presencia de cultivos de uso ilícito y de otras economías ilegítimas. Es así como, se priorizaron 170 municipios, divididos en 16 subregiones (ver Mapa 1) (Gobierno de Colombia, 2017). De los 170 municipios PDET el 76% son rurales o rurales dispersos; menos de la tercera parte de la población tiene acceso a una fuente de agua; la pobreza multidimensional es del 57% y la tasa de analfabetismo en estos territorios es tres veces más que el promedio nacional (Agencia de Renovación del Territorio, 2021). Además, según el Índice de Incidencia del Conflicto Armado (IICA) del DNP, el 67% de los municipios tiene muy alta y alta incidencia del conflicto armado ( CONPES 3850, 2015).
Mapa 1 Subregiones PDET

Fuente: Agencia de Renovación del Territorio (Agencia de Renovación del Territorio, 2021).
Como ya se mencionó, los PDET tienen una vocación participativa en la que concurren las comunidades, las entidades territoriales y el Gobierno Nacional. Para ello se establecieron los Planes de Acción para la Transformación Regional (PATR)3 como el instrumento de planeación para concretar los PDET. Los PATR4 se desarrollaron en tres fases que permitieron un proceso de identificación y priorización de necesidades de abajo hacia arriba. Estas fases son:
- Veredal: las comunidades nombran un grupo de delegados para una pre-asamblea comunitaria en la que se identifican las principales necesidades de sus veredas. Luego, en una asamblea general, se aprueba un pacto comunitario en el que se concretan las prioridades de desarrollo a nivel veredal o de resguardo.
- Municipal: participan las autoridades municipales, el sector privado, las organizaciones sociales, entre otros actores. Aquí, los pactos comunitarios se usan como insumo para construir el pacto municipal que establece las prioridades de desarrollo de cada uno de los 170 municipios.
- Subregional: constituye un escenario donde convergen actores regionales y, a partir de los pactos municipales, concretan los PATR que definen la visión de desarrollo de cada una de las 16 subregiones PDET (Agencia de Renovación del Territorio, 2021).
La formulación de estos planes debe estar articulada con el Plan Nacional de Desarrollo (PND), los Planes Integrales Municipales y Comunitarios de Sustitución y Desarrollo Alternativo (PISDA), el Plan Marco de Implementación (PMI), los Planes de Integración de Reparación Colectiva, (PIRC) y los Planes Nacionales Sectoriales (Gobierno de Colombia, 2017). Y deben suscribirse dentro de alguna de las siguientes iniciativas-pilares: 1) Ordenamiento Social de la Propiedad Rural y Uso del Suelo, 2) Infraestructura y Adecuación de Tierras, 3) Salud Rural, 4) Educación Rural y Primera Infancia Rural, 5) Vivienda Rural, Saneamiento Básico y Agua Potable 6) Reactivación Económica y Producción Agropecuaria, 7) Sistema para la Garantía Progresiva del Derecho a la Alimentación, y 8) Reconciliación, Convivencia y Paz (Agencia de Renovación del Territorio,2021).
De acuerdo con el CONPES 3932 de 2018, en el proceso participativo donde se formularon los PATR, se generaron 32.808 iniciativas, de las cuales 1.179 son de carácter subregional y las restantes se encuentran en los Pactos Municipales para la Transformación Regional. A su vez, se estima que el costo total de los PDET es de 79,6 billones (precios 2016) y sus fuentes de financiamiento son: Presupuesto General de la Nación (PGN), Cooperación internacional y privados, OCAD Paz, Sistema General de Regalías (SGR), Recursos propios de las entidades territoriales y Sistema General de Participaciones (SGP) (CONPES 3932, 2018).
Los PDET también fueron incluidos en el PND "Pacto por Colombia, Pacto por la equidad 2018 - 2022" en el pilar de la política de Paz con Legalidad, como una de sus líneas de acción para la transformación de los territorios más golpeados por la violencia. A través del "Pacto XI por la Construcción de Paz: cultura de la legalidad, convivencia, estabilización y víctimas", se propone como estrategia la creación de una Hoja de Ruta Unica para la implementación de la política de estabilización. Esta estrategia es una herramienta que articula los instrumentos derivados del Acuerdo Final y los planes de las Zonas Estratégicas de Intervención Integral, donde coinciden los planes y programas sectoriales y territoriales, así como los mecanismos de financiación y de ejecución, con el fin de consolidar la acción del gobierno nacional, las autoridades locales, el sector privado y la cooperación internacional en los 170 municipios PDET (Agencia de Renovación del Territorio, 2021).
De esta forma, se interpreta y se expone como principal hipótesis para esta investigación, que la participación de los diferentes actores de la sociedad en los procesos de construcción de los PATR se traduce en un proceso de construcción de Estado. Donde las poblaciones víctimas del conflicto armado son sujetos de derechos que aportan al diseño de los proyectos para el desarrollo del territorio y también velan por que las iniciativas priorizadas garanticen una mayor inversión en los territorios, y por ende atiendan sus necesidades de manera que se equilibre el desarrollo socioeconómico y la igualdad de oportunidades. Además, los mecanismos de los PDET son determinantes para el aumento de la confianza en las instituciones estatales. Ya que la planeación y ejecución de proyectos enfocados en el desarrollo territorial se traduce en una mayor presencia estatal en dichos territorios, así como los diálogos y concertaciones comunitarias generan lazos de confianza con el Estado. Por lo cual, a mayor legitimidad y eficacia del Estado, menos posibilidad de que grupos armados tomen control de los territorios y por lo tanto menos posibilidad de reincidir en el conflicto armado.
DATOS
Con el fin de construir las diferentes variables dependientes, para el desarrollo de la estrategia empírica, se recopiló información de tres fuentes de datos: i) la información de los datos de nacimientos y defunciones de las bases de Estadísticas Vitales del Departamento Administrativo Nacional de Estadísticas de Colombia (DANE). Estas bases contienen el registro de todos los nacimientos, defunciones fetales y no fetales ocurridos cada día en el territorio nacional entre 1998 y 2020; ii) las proyecciones de la población colombiana del DANE. Estas proyecciones fueron realizadas tomando como base los resultados ajustados de población del Censo 2018; iii) y el censo C-600 del DANE, este censo tiene una periodicidad anual y está dirigido a las sedes educativas oficiales y no oficiales, localizadas en el área urbana y rural dentro del territorio nacional, que ofrecen los niveles de preescolar, básica primaria, básica secundaria y media, incluida la educación para adultos mediante Ciclos Lectivos Especiales Integrados (CLEI) y los modelos educativos flexibles. A continuación, se describe el cálculo de las variables dependientes con su respectiva fuente de datos:
TASA DE EMBARAZO ADOLESCENTE
De acuerdo con la Organización Panamericana de la Salud (OPS) la tasa de fecundidad en adolescentes se define como el número anual de nacimientos en mujeres de 15 a 19 años por cada 1.000 mujeres de ese mismo grupo de edad en el mismo período de tiempo.
Para el cálculo del numerador de esta tasa se tomó de la base de estadísticas vitales del DANE el número total de nacimientos para el grupo de edad de la madre comprendido entre los 15 a los 19 años. Para el denominador se usaron las estimaciones de población del DANE del grupo de edad entre 15 a 19 años. La anterior información se desagregó por municipio para el período del 2010 al 2019.
TASA DE MORTALIDAD DE LA NIÑEZ
Esta tasa se define como el número de defunciones de niños menores de 5 años por cada 100.000 nacidos vivos para un año dado, en un determinado país, territorio o área geográfica.
Para el cálculo del numerador de esta tasa se tomó de la base de estadísticas vitales del DANE el número total de defunciones para el grupo de edad entre 1 a los 4 años. Por su parte, para el denominador se tomó el número total de nacidos vivos de la base de estadísticas vitales del DANE por municipio para el período del 2010 al 2019.
MATRÍCULA
Se tomó del censo C-600 del DANE la información de las matrículas en los niveles educativos de preescolar, básica primaria, básica secundaria y básica media, a nivel municipal y para el periodo del 2010 al 2019. Esta variable de matrícula indica la sumatoria de alumnos matriculados en los niveles educativos ya descritos en un período determinado. Para el presente estudio no se tiene en cuenta las matrículas de los estudiantes de los Ciclos Lectivos Especiales Integrados (CLEI) y modelos educativos flexibles.
La Tabla A1 en la sección de anexos presenta las estadísticas descriptivas para las variables dependientes. De este cuadro se resalta que, en promedio, los municipios PDET tienen un menor número de matrícula de alumnos, así como presentan altas tasas de embarazo adolescente y de mortalidad de la niñez frente a los municipios no PDET. Es preciso aclarar que a las variables dependientes que son tasas se les aplica una transformación con la función logaritmo natural con el fin de suavizar y normalizar las series.
Para definir las características asociadas a los municipios que se usarán en el soporte común para el modelo de emparejamiento (PSM) y para la respectiva construcción del contrafactual se emplea: i) la base del Índice de Incidencia del Conflicto Armado (IICA) del DNP para el 2002-2013. Este Índice tiene en cuenta ocho variables en la medición, estas son: cultivos de coca, acciones armadas, eventos causados por minas antipersonas, homicidio, secuestro, desplazamiento forzado, homicidio de líderes sociales y defensores de DD. HH. y homicidio de excombatientes; ii) la base del Índice de Pobreza Multidimensional (IPM) del DANE para el 2005; iii) y la base del Indicador de Desempeño Integral del DNP para el 2015. Este último índice incluye variables como la capacidad administrativa, el desempeño fiscal, la capacidad de gasto y de inversión, entre otras.
Se escogieron estas variables ya que, según el Decreto 893 de 2017, fueron usadas en los criterios para priorizar los territorios en donde se implementaron los PDET descritos en el apartado 3, por lo que permite explicar tanto la implementación de los PDET en los municipios como las variables de desarrollo. Además, el uso de estos índices permite aproximarse al mejor contrafactual al contener diferentes variables que permiten caracterizar los municipios de estudio. Lo anterior hace que los municipios priorizados sean sistemáticamente diferentes a los demás. La Tabla A2 (ver en anexos) presenta estadísticas descriptivas para antes del 2016 de los municipios de estudio. En esta tabla se observa que, en promedio, los municipios PDET tienen una mayor incidencia del conflicto armado, un menor desempeño integral y una mayor incidencia de pobreza multidimensional frente a los municipios no PDET.
Si bien en el ejercicio realizado por el Gobierno Nacional se definieron unos municipios con unas características específicas como PDET, lo que hace que la asignación de los programas no sea aleatoria, cabe aclarar que, tal y como se enuncia en el Decreto 893 de 2017, este ejercicio se realizó como una propuesta de priorización que sirvió como base para la discusión de la implementación de los programas de desarrollo en los territorios. Por lo cual, hay municipios que tienen las mismas características que los municipios priorizados pero que por limitaciones y supuestos del ejercicio no fueron priorizados. Es así como, se toma esto como un evento fortuito, en el que no hay una precisión en la selección de los municipios cuyas características estén determinadas por ser los más afectados por la violencia, pobreza, ausencia del Estado y presencia de cultivos ilícitos, y se implementará una metodología de emparejamiento con el fin de encontrar esos municipios que por sus características pudieron ser tratados, pero que al final no lo fueron y compararlos con los municipios tratados.
En las secciones de posibles sesgos del modelo y los factores que motivan el desarrollo de los territorios, se usan los siguientes datos: i) para la variable del nivel de inversión per cápita se usan las bases de proyectos e inversiones para los municipios PDET de la ART (2017-2019); ii) para la variable asociada a los asesinatos de líderes sociales se emplean los informes anuales de Somos Defensores para el período de 2010-2015 y para el período de 2016 a 2019 se toman los datos recopilados por Datasketch y Movilizatorio (2021)5; y iii) para la variable de presencia de grupos armados se emplean los datos de Violent Presence of Armed Actors in Colombia (VIPAA)6.
Por último, para identificar qué municipios son PDET se toma la información de los 170 municipios priorizados por la ART. Es así como se construyó una base de datos con las anteriores variables descritas para el período anual que va del 2010 al 2019 a nivel municipal. Es pertinente aclarar que, aunque hay información para los años 2020-2021, no se tomaron estos años con el fin de no tener en cuenta los efectos generados por la pandemia del Covid-19.
ESTRATEGIA EMPÍRICA
Como ya se mencionó en el tercer apartado, la hipótesis principal de esta investigación es que los PDET tienen un efecto significativo y socialmente positivo en las variables de desarrollo de los municipios más golpeados por la violencia. Por lo cual, y con el fin de probar empíricamente la veracidad de esta hipótesis7, se estima el impacto social de la implementación de los PDET sobre tres variables de desarrollo por medio de una metodología de datos panel, dada la composición de la muestra. Como se evidencia en cuadro A2, los municipios priorizados en el período previo a la implementación de los PDET (2010-2016) cuentan con diferencias preexistentes que deben ser tenidas en cuenta al momento de estimar el efecto del cambio en las variables de desarrollo para no incurrir en problemas de sesgo de selección y endogeneidad. Estos problemas se deben a que, por un lado, la implementación de los PDET se realiza dependiendo del contexto socioeconómico de los municipios. Por otro lado, para la efectiva ejecución de los PDET se debe pasar por un proceso institucional de participación y estructuración, por medio de los PATR, lo que está fuertemente ligado con la capacidad institucional de los municipios. Las dos razones anteriores exponen aspectos socioeconómicos e institucionales que plausiblemente estarían relacionados con el comportamiento de las variables de desarrollo y, por lo tanto, generarían sesgo en la estimación.
Por consiguiente, se propone un modelo de diferencias en diferencias con emparejamiento. El cual consiste en medir el efecto que tiene la intervención PDET sobre tres variables de desarrollo en un grupo de tratamiento respecto a un grupo de comparación que no tiene la intervención a través del tiempo. El modelo se puede expresar de la siguiente manera:
Donde, el subíndice i denota los municipios y t el año - el período de análisis es (2010-2019). Y it captura las variables de desarrollo a estudiar, a nivel municipio en un determinado año, estas son: tasa de mortalidad de la niñez, tasa de embarazo adolescente y el número de matrículas en instituciones educativas formales. PDET i es una variable dummy que indica la exposición del municipio a las iniciativas con enfoque territorial (1 si en el municipio se ejecutan iniciativas PDET y 0 de lo contrario). Post t es una variable dummy que toma el valor de uno (1) cuando el período es mayor al año 2017 y cero (0) para indicar el período de pretratamiento (línea de base). Se toma el año 2017 como el comienzo de la política ya que los PDET fueron reglamentados mediante el Decreto 893 de 2017.
λt representa los efectos fijos del período y δ i hace referencia a los efectos fijos del municipio. Estos efectos fijos controlan por cualquier heterogeneidad observada y no observada a nivel de período o municipio que no varía en el tiempo. ε it corresponde al término del error individual del municipio que varía en el tiempo. El parámetro poblacional que captura el efecto de interés es el coeficiente ß en la ecuación (3), este hace referencia al efecto que tienen las iniciativas territoriales sobre la variable de desarrollo de los municipios priorizados, teniendo en cuenta las diferencias iniciales entre los grupos de tratamiento y control. En otras palabras, este parámetro captura la diferencia en la diferencia en la variable dependiente entre los municipios que implementaron iniciativas territoriales y los municipios que no implementaron dichas iniciativas luego de la implementación del programa.
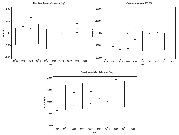
Para que esta estimación sea válida se debe cumplir con el supuesto de identificación del modelo, el cual es el supuesto de tendencias paralelas. Este supuesto implica que los municipios con y sin PDET, antes de la implementación del programa, deben tener una evolución similar en el tiempo en las tendencias de las variables de desarrollo, aunque no necesariamente hayan tenido los mismos niveles en dichas variables. Lo que intuitivamente supone que en ausencia del tratamiento la evolución de la variable de interés debe ser igual para el grupo de tratamiento y el grupo de control. Para probar si este supuesto se cumple para el período comprendido entre 2010 y 2016 se plantea un modelo dinámico de diferencias en diferencias, aquí se diferencia por año (T t ).
lo de diferencias en diferencias permite medir el efecto causal de un choque aun cuando hay diferencias preexistentes entre los grupos de tratamiento y control y permite aproximarse a los problemas de sesgo de selección y endogeneidad. Se considera que para lograr una mayor comparabilidad entre dichos grupos y hacer plausible el cumplimiento de tendencias paralelas se debe realizar un modelo de emparejamiento con algunas características municipales observables8. Para ello se realizó un modelo de emparejamiento por puntaje de propensión (PSM)9.
El PSM, según lo propuesto por Rosenbaum y Rubin (1983), es un método utilizado para reducir el sesgo en la estimación de los efectos del tratamiento con conjuntos de datos observacionales. El objetivo es crear un grupo de comparación de municipios no tratados que sea lo más similar posible al grupo de tratamiento en relación con las características observadas. Los miembros de los grupos de comparación se seleccionan según su puntaje de propensión, definido como;
Donde X es el indicador de tratamiento y W es el conjunto de co-variables que no se ven afectadas por la intervención del programa. Las probabilidades de tratamiento, Pr(W), se denominan puntajes de propensión y se encuentran estrictamente entre 0 y 1. Hay varias formas de construir un grupo de comparación con PSM, para este trabajo se aplica el algoritmo de emparejamiento vecino más cercano con reemplazo. Se realiza con reemplazo ya que permite que un control sea emparejado con más de un tratado, si bien esto genera menos observaciones permite tener individuos más parecidos por lo cual reduce el sesgo. La distribución de los puntajes de propensión resultantes del emparejamiento se presenta en la Gráfica A1 (ver anexos) la cual indica que hay un soporte común entre los grupos.
Como el método de emparejamiento no controla por características no observables, la inclusión de efectos fijos de municipio en el modelo de diferencias en diferencias permite controlar por los factores no observables que no cambian en el tiempo y que afectan a las variables de desarrollo. Es pertinente aclarar que es probable que la implementación de los PDET también haya afectado las variables de desarrollo de los municipios del grupo de control (sin implementación de PDET). A su vez, los municipios PDET pudieron verse afectados por la implementación de otros programas con focalización territorial desarrollados después del Acuerdo de Paz, así como podría afectar el hecho de que no todos los municipios PDET iniciaron la implementación y ejecución de los proyectos de desarrollo territorial en el mismo período de tiempo. De ser así, si el efecto fue positivo (negativo) en la respectiva variable el efecto encontrado para los municipios PDET estaría subestimado (sobrestimado). Estos posibles sesgos serán abordados en la sección 6.3 y 7.
RESULTADOS PRINCIPALES
Con el fin de probar si es plausible el cumplimiento de tendencias paralelas en el cuadro A3 y en las Gráficas A2 y A3, se presentan las pruebas de tendencias paralelas, ecuación (4), para el modelo antes y después del emparejamiento. Para antes del emparejamiento el supuesto se cumple para la tasa de mortalidad infantil, ya que los coeficientes asociados al período previo a la implementación de los PDET no son significativos, lo que indica que no se rechaza la hipótesis nula de que no hay diferencias entre las variables del grupo de control y el grupo de tratamiento. No obstante, para las variables del número de matrículas y la tasa de embarazo adolescente no se cumple el supuesto, dado que los coeficientes son estadísticamente significativos. Mientras que para después del emparejamiento el supuesto se cumple en todas las variables. Esto también se puede observar en el cuadro A4, que muestra la prueba conjunta (prueba F) del modelo sin emparejamiento y con emparejamiento. De estos resultados se puede interpretar que el supuesto de tendencias paralelas si es plausible. Si bien no se puede probar que el supuesto se cumple de manera definitiva, se observa que las diferencias preexistentes no son tan notorias en los efectos antes del programa. Esto permite a su vez que se pueda ver con mayor claridad el efecto que tiene la implementación de los PDET sobre las variables de desarrollo en los municipios.
El impacto estimado del programa en las variables de desarrollo, antes y después del emparejamiento, se muestra en el cuadro 1. Los resultados indican que antes del emparejamiento el cambio estimado para la implementación de los PDET es estadísticamente significativo para la tasa de embarazo adolescente y el número de matrículas, con coeficiente negativo para la última variable. Lo que indica que, si ha habido un cambio diferencial en las variables de desarrollo en los municipios a los que se implementó los PDET, aunque este efecto puede no ser causal.
Cuadro 1 Efectos de la implementación de los PDET sobre variables de desarrollo - Resultados principales
| Sin emparejamiento | Con emparejamiento | |||||
|---|---|---|---|---|---|---|
| (1) | (2) | (3) | (4) | (5) | (6) | |
| Variables | Tasa de embarazo adolescente | Matrícula alumnos x 100.000 | Tasa de mortalidad de la niñez | Tasa de embarazo adolescente | Matrícula alumnos x 100.000 | Tasa de mortalidad de la niñez |
| (log) | (log) | (log) | (log) | |||
| PDET x Post | 0,172*** | -1.028*** | 0,0967 | 0,299** | -843,7* | 0,448 |
| (0,0434) | (265,2) | (0,197) | (0,137) | (464,0) | (0,413) | |
| Media | 3,158 | 19.589 | 4,552 | |||
| Observaciones | 11.180 | 11.165 | 11.180 | 2.550 | 2.550 | 2.550 |
| R-cuadrado | 0,841 | 0,838 | 0,382 | 0,722 | 0,830 | 0,346 |
Errores estándar robustos y clusterizados a nivel municipal en paréntesis.
*** p<0,01 ** p<0,05 * p<0,1 Nota: Se incluyen efectos fijos de año y de municipio.
Del ejercicio con emparejamiento se puede interpretar que después de la implementación de los programas los municipios que fueron tratados aumentaron la tasa de embarazo adolescente en 0,3 puntos porcentuales más que el grupo de control, esto equivale a un aumento del 9,5% de la media; disminuyeron en 844 las matrículas de los estudiantes por 100.000 habitantes, esto implica una disminución aproximada del 4,3% en la media de las matrículas de la muestra. El efecto estimado del programa en estas variables es estadísticamente significativo. No se observa el mismo comportamiento en la tasa de mortalidad de la niñez, la cual no es estadísticamente significativa, por lo cual no se puede inducir tendencias diferenciales entre los grupos de estudio.
El cuadro A5, en anexos, presenta un ejercicio complementario para el efecto de la implementación de los PDET diferenciando por niveles educativos. En esta tabla se observa que las matrículas en preescolar disminuyen en 117 estudiantes y las matrículas en primaria disminuyen en 746 estudiantes. No obstante, hay un efecto estadística y socialmente positivo en las matrículas en educación media, al aumentar en 194 estudiantes.
El comportamiento de estas variables de desarrollo contraría la hipótesis de este ejercicio, en la cual se argumenta que los mecanismos y políticas implementados en los PDET se traduce en mejoras en el bienestar de los territorios. Como se verá más adelante con los ejercicios de robustez y los ejercicios de mecanismos, la significancia de estos resultados no es contundente y parece estar ligada a otros factores.
PRUEBAS DE ROBUSTEZ
Para mostrar si los resultados son robustos e independientes del criterio de muestreo se definió la muestra de diferentes maneras. En primer lugar, en la Tabla A6 (ver anexos) se muestra el cambio en el método de emparejamiento para el vecino más cercano sin reemplazo, el resultado para las variables de tasa de embarazo adolescente y el número de matrículas de alumnos se mantiene tanto en el nivel de significancia como en el signo, aunque la magnitud del coeficiente es menor a la de la regresión principal. Por su parte, la tasa de mortalidad infantil sigue siendo estadísticamente no significativa. En segundo lugar, en la Tabla A6 (ver anexos) se presenta el cambio en el método de emparejamiento con base en un radio de 0,01. Con esta metodología, al igual que con el método de vecino más cercano sin reemplazo, los coeficientes de la tasa de embarazo adolescente y el número de matrículas de alumnos son significativos.
Por último, en la Tabla A6 se presenta el ejercicio realizado con la regresión principal, pero con un diferente grupo de tratamiento. A los municipios priorizados como PDET se agregaron otros municipios priorizados en otros programas de desarrollo territorial derivados del Acuerdo de Paz pero que no son PDET. Para este ejercicio se estiman nuevos puntajes de propensión ya que la variable de tratamiento cambia. Los resultados de esta tabla indican que al modificar el tratamiento la significancia del efecto encontrado si cambia para dos variables de desarrollo, la tasa de mortalidad de la niñez continúa siendo no significativa.
Los anteriores ejercicios de robustez indican que el efecto encontrado es consistente frente a variaciones en el método de emparejamiento. Sin embargo, este efecto no se mantiene de forma consistente cuando se selecciona otro grupo de tratamiento, lo que le quita robustez al resultado encontrado en la regresión principal.
POSIBLES SESGOS DEL RESULTADO
Como ya se mencionó, la estrategia empírica puede tener resultados con algún tipo de sesgo. En especial hay tres tipos de sesgo que son relevantes para interpretar los resultados de este documento: i) el efecto de los PDET sobre los municipios vecinos geográficamente a los municipios priorizados, ii) el efecto de otros programas de desarrollo derivados del Acuerdo de Paz en los municipios priorizados, iii) y el efecto de la implementación del programa en los municipios en diferentes periodos de tiempo.
VECINOS GEOGRÁFICOS
En primer lugar, para ver si la implementación de los PDET tuvo algún tipo de spillover, que también afectó el comportamiento de las variables de desarrollo en los municipios vecinos, estos son los municipios que geográficamente comparten frontera con los municipios PDET (ver Mapa A1), se plantea la ecuación (6), donde es una variable dummy igual a uno (1) si el municipio es vecino y cero (0) de lo contrario. Esto teniendo en cuenta que las iniciativas PDET involucran proyectos que por su nivel de alcance afectan a diferentes municipios en el territorio, sean o no municipios priorizados. Por ejemplo, existen proyectos de infraestructura que involucran el mejoramiento de la movilidad civil o de transporte de alimentos por medio de la construcción y/o adecuación de nuevas vías, lo que involucra a todos los municipios por los que pasa dicha vía.
Los resultados se presentan en el cuadro 2 e indican que, si hay un efecto, al menos correlativo, de ser un municipio vecino sobre el comportamiento de las variables de desarrollo después de la implementación de los PDET, esto para la tasa de embarazo adolescente y el número de matrículas.
Cuadro 2 Efectos heterogéneos de la implementación de los PDET sobre variables de desarrollo - Posibles sesgos del resultado

Errores estándar robustos y clusterizados a nivel municipal en paréntesis.
*** p<0,01 ** p<0,05 * p<0,1 Nota: Se incluyen efectos fijos de año y de municipio.
También se evidencia que, cuando se incluyen las anteriores interacciones, el efecto de la implementación de los programas de desarrollo en los municipios tratados aumenta la tasa de embarazo adolescente en 0,59 puntos porcentuales más que el grupo de control, esto equivale a un aumento del 15,8% de la media. Disminuye en 679 las matrículas de los estudiantes por 100.000 habitantes, esto implica una disminución aproximada del 3,4% en la media de las matrículas de la muestra y la tasa de mortalidad infantil no es significativa. Si bien este efecto no necesariamente es causal, el resultado obtenido da un indicio de que la implementación de los programas pudo tener efectos en las variables de desarrollo de otros municipios no priorizados.
OTROS PROGRAMAS DE DESARROLLO
En segundo lugar, la ecuación (3) no tiene en cuenta el efecto de otros programas de desarrollo derivados del Acuerdo de Paz que se ejecutaron en los municipios priorizados de forma simultánea a la implementación de los PDET, que por su enfoque de contribuir al desarrollo integral de las regiones más afectadas por la violencia y la debilidad institucional también pudieron tener un efecto sobre las variables de desarrollo de dichos municipios. Estos programas son: las Zonas más Afectadas por el Conflicto Armado (ZOMAC) y el Programa Nacional Integral de Sustitución de Cultivos Ilícitos (PNIS), ver gráfica A1 en anexos.
Los ZOMAC son espacios constituidos por 344 municipios azotados por el conflicto armado que fueron seleccionados con una metodología definida conjuntamente por el Ministerio de Hacienda, el DNP y la ART. Metodología que tuvo en cuenta indicadores de debilidad institucional (no tienen capacidad para generar ingresos propios), de pobreza multidimensional (mayor al 49%) y que no fueran parte de las grandes aglomeraciones urbanas del país. El objetivo de este programa es atraer la inversión a estos municipios a través de la entrega de beneficios tributarios durante un período de 10 años a las empresas que desarrollen todo tipo de procesos productivos. Por su parte, el objetivo del PNIS es promover la sustitución voluntaria de cultivos de uso ilícito a través del desarrollo de programas y proyectos para contribuir a la superación de condiciones de pobreza y marginalidad de las familias campesinas en 56 municipios de Colombia que derivan su subsistencia de los cultivos de uso ilícito.
Para estudiar si estos programas están incidiendo en las variables de desarrollo a nivel municipal, se plantea una estrategia de triples diferencias en la ecuación (7), donde es una variable dummy igual a uno (1) si el municipio es beneficiario de algún programa y cero (0) de lo contrario.
El cuadro 2 muestra los resultados de la regresión para cada programa. Estos resultados indican que, hay un efecto significativo del programa PNIS sobre el comportamiento de las variables de desarrollo después de la implementación de los PDET en los municipios priorizados. Para el caso de los ZOMAC no hay efectos estadísticamente significativos. También se evidencia que, cuando se controla por las anteriores interacciones, el efecto de la implementación de los PDET en los municipios tratados aumenta la tasa de embarazo adolescente en 0,57 puntos porcentuales más que el grupo de control, este aumento equivale a un aumento del 18% de la media, y la tasa de mortalidad de la niñez aumenta en 1,6 puntos porcentuales, esto es un aumento del 34% de la media muestral. Para el caso del número de matrículas de los alumnos esta deja de ser significativa para la implementación de los PDET, pero es estadísticamente significativo cuando se interactúa con la implementación del PNIS, por tanto, parece que el PNIS absorbe todo el efecto para esta variable.
De estos resultados se puede inducir que los programas de desarrollo territorial implementados después de la firma del Acuerdo de Paz que también están afectando las variables de desarrollo de los municipios priorizados son aquellos cuyas características en su implementación son similares a las de los PDET, como es el caso del PNIS. Al igual que los PDET, con el fin de lograr que el desarrollo integral del PNIS tenga unas condiciones adecuadas y de garantizar que su ejecución cumpla con su objetivo, se tiene en cuenta: i) la garantía de condiciones de seguridad para las comunidades y los territorios afectados por los cultivos de uso ilícito; ii) la inclusión de Planes de Integrales Comunitarios y Municipales de Sustitución y Desarrollo Alternativo (PISDA); iii) asegurar que los acuerdos de sustitución sean celebrados con las comunidades; iv) y la priorización de los territorios.
A su vez, estos resultados sugieren que la atención focalizada en el diálogo comunitario puede ser determinante en la participación de la ciudadanía y sus organizaciones, lo que se traduce en que sus necesidades e intereses sean considerados o no en el diseño de las políticas y programas públicos, lo cual conlleva a mejoras o desmejoras en su bienestar. Además de que la implementación de proyectos enfocados en el desarrollo territorial podría afectar las variables de desarrollo mediante una mayor presencia estatal. Más adelante se observan los mecanismos por los cuales la implementación de los programas de desarrollo territorial podría no estar teniendo los resultados esperados.
DIFERENTES AÑOS EN LA IMPLEMENTACIÓN DE LOS PDET
Por último, la ecuación (3) mide el efecto de la implementación de los PDET para el mismo período de tiempo y no tiene en cuenta que no todos los municipios iniciaron la implementación de los proyectos en el mismo año. Para estudiar si estos factores afectan el resultado encontrado o tienen un efecto diferencial en las variables de desarrollo se plantea una estrategia de estudio de eventos, la cual es una generalización del modelo dinámico de diferencias en diferencias, donde distintas unidades son tratadas en distintos momentos del tiempo.
Donde Dr it es una variable dummy igual a uno (1) si i está a r períodos desde el momento en que inició la implementación de los PDET. Para este modelo se comparan las unidades tratadas vs las unidades nunca tratadas (controles puros) y las unidades que no han sido tratadas aún. Es preciso mencionar que para saber en qué año los municipios priorizados iniciaron la implementación de los programas se usó la base de datos de proyectos e inversiones PDET de la ART, en la cual se observa el año en que el municipio recibió inversión para la implementación de proyectos con iniciativas PDET. Es así como se puede aproximar a los años en los que los municipios iniciaron la ejecución de programas ya que hay municipios que no recibieron ningún tipo de inversión antes del 2018, también hay municipios que recibieron inversión hasta después del 2019.
El cuadro A7 (ver anexos) muestra los resultados de la regresión. Los cuales indican que para todos los períodos posteriores al inicio de la implementación de los programas en los municipios hay un efecto significativo en la tasa de embarazo adolescente. El signo de esta variable coincide con la regresión principal, aunque la magnitud del coeficiente es mayor. Para el número de matrículas el efecto sólo es significativo dos períodos después de la implementación del programa y la magnitud del coeficiente es menor a la encontrada en la regresión principal (ecuación 3). La tasa de mortalidad de la niñez no es significativa en ningún período.
De esta forma, los sesgos estudiados parecen afectar el comportamiento de las variables de desarrollo, por lo que se intuye que el efecto estimado en la ecuación principal podría estar subestimando los resultados de la tasa de embarazo adolescente y de la tasa de mortalidad de la niñez; y estaría sobreestimando los resultados del número de matrículas. Lo anterior implica que los cambios en las variables de desarrollo de los municipios PDET serían mayores (menores), según el sesgo encontrado, a los resultados principales de este trabajo si fuera posible aislar por completo la implementación de los PDET en otros municipios. Así como, la incidencia de otros programas de desarrollo en los municipios priorizados.
MECANISMOS
Con el fin de profundizar en la comprensión de la construcción de Estado en el posconflicto en Colombia, esta sección estudia dos posibles mecanismos que explican los efectos no esperados de los programas de desarrollo territorial sobre las variables estudiadas en los municipios priorizados: i) el nivel de inversión aprobada para la ejecución de los programas de desarrollo territorial, y ii) las dinámicas de violencia en el posconflicto. Estos mecanismos están asociados con los desafíos en materia de política pública y ejecución que pueden obstaculizar la efectiva implementación de las iniciativas PDET.
NIVEL DE INVERSIÓN APROBADA
Para el caso de la implementación de los PDET como herramienta para el desarrollo de los municipios, se presentan problemas en el inicio de la implementación de obras de infraestructura de alto impacto. De acuerdo con García (2020), esto es el resultado de que el Gobierno Nacional se ha enfocado en desarrollar obras de rápida y fácil ejecución, con el objetivo de generar confianza en las comunidades a través de resultados visibles en el corto plazo, ya que existen problemas presupuestales para financiar obras de alto impacto, así como problemas en la articulación y disposición política para la ejecución de los proyectos. Lo que genera que se cuente con un alcance más limitado para cumplir con los objetivos centrales de los PDET (García Giraldo, 2020).
Las anteriores limitaciones quedan en evidencia en el documento Paz con Legalidad, donde se afirma que la construcción de los PATR no se alineó con las restricciones presupuestales. Por lo que se han generado altas expectativas a los habitantes de los 170 municipios, no solamente en los proyectos o acciones a desarrollar a nivel de cada subregión sino también por el alto volumen de iniciativas que se consignaron en el nivel municipal. Tal es el caso que, para agosto de 2018, la meta era finalizar con 16 planes de acción, pero para esa fecha sólo se finalizaron 2 de los 16 planes (Duque Márquez, 2018). Por su parte, de acuerdo con el informe de seguimiento a la implementación del Acuerdo de Paz del Congreso, para el 2018 se hizo una inversión de 56,4 mil millones de pesos a través de obras de infraestructura comunitaria en los municipios, lo que equivale al 0,08% del costo total requerido para su materialización (79,6 billones precios de 2016). Esto deja en evidencia la brecha entre lo que se ejecuta en las iniciativas y lo que se debería ejecutar, en cuanto que para lograr la estabilización del territorio y el cumplimiento de las metas se debería invertir por lo menos 4,67 billones de pesos al año (Congreso de la República de Colombia, 2019).
Es así que identificar la manera en que se están distribuyendo los recursos en los municipios PDET puede servir como herramienta para estudiar si la existencia de los rezagos en la inversión, así como en la disposición política, están incidiendo en el comportamiento de las variables de desarrollo estudiadas en este documento. Para ello se controla en la regresión principal (ecuación 3) con una variable del nivel de inversión per cápita por cada fuente de financiamiento (ver Gráfica A4 en anexos). Para la construcción de las variables de inversión per cápita por fuente se usó la base de inversión para los proyectos aprobados de la ART para los años 2017 a 2019.
El cuadro 3 muestra los resultados de la regresión. De manera general esta tabla indica que, las fuentes de financiamiento que tienen el efecto esperado y estadísticamente significativo en las variables de desarrollo son las de Cooperación internacional, Obras PDET-OCAD Paz, Obras PDET - Obras por impuestos y los Proyectos Productivos. No obstante, este efecto es muy pequeño y no todas las fuentes antes mencionadas generan efectos significativos en todas las variables. Adicionalmente, se destaca que al controlar por las fuentes de financiamiento el efecto de la implementación de los PDET en los municipios priorizados sólo es estadísticamente significativo en la tasa de embarazo adolescente. Esto sugiere que, aunque los niveles de inversión en ciertas fuentes generan efectos sociales positivos, esta inversión no explica el efecto encontrado en la implementación de los PDET, plausiblemente por los problemas en el presupuesto para implementar los PDET mencionados anteriormente.
Cuadro 3 Efectos de la implementación de los PDET sobre variables de desarrollo controlando por fuentes de inversión
| VARIABLES | (1) | (2) | (3) |
|---|---|---|---|
| Tasa de embarazo adolescente (log) | Matrícula alumnos x 100.000 | Tasa de mortalidad de la niñez (log) | |
| PDET x Post | 0,268* | 247,3 | 1,219 |
| (0,152) | (544,4) | (0,510) | |
| Cooperación internacional (log) | -0,000295* | -111,3 | -0,107** |
| (0,00666) | (37,82) | (0,0497) | |
| Fondo Colombia Sostenible (log) | -0,00910 | -87,54 | -0,0314 |
| (0,00850) | (43,56) | (0,0551) | |
| Obras PDET - ART (log) | 0,00756 | -61,69 | 0,00231 |
| (0,00907) | (39,76) | (0,0491) | |
| Obras PDET - OCAD Paz (log) | 0,00131 | 4,097* | -0,0116 |
| (0,00571) | (28,45) | (0,0356) | |
| Obras PDET - Obras por impuestos (log) | 0,0155 | 76,56** | 0,00416 |
| (0,00740) | (36,76) | (0,0413) | |
| Proyectos productivos (log) | -0,00562* | -124,2 | -0,0137 |
| (0,00909) | (44,36) | (0,0686) | |
| Observaciones | 2.550 | 2.550 | 2.550 |
| R-cuadrado | 0,723 | 0,833 | 0,349 |
Errores estándar robustos y clusterizados a nivel municipal en paréntesis.
*** p<0,01 ** p<0,05 * p<0,1 - Nota: Las variables de fuentes de inversión están en millones de pesos per cápita. Se incluyen efectos fijos de año y de municipio.
El cuadro A8 en los anexos muestra un ejercicio complementario en el que se incluyen como variables control la inversión per cápita realizada en los municipios priorizados por pilares. Esta tabla muestra que los pilares que tienen el efecto esperado y estadísticamente significativo en las variables de desarrollo son: 1) Ordenamiento Social de la Propiedad Rural y Uso del Suelo, 6) Reactivación Económica y Producción Agropecuaria, y 8) Reconciliación, Convivencia y Paz.
Como ya se mencionó en la sección de literatura, la construcción de Estado es un medio para la prevención de nuevos ciclos de violencia en aquellos lugares donde los grupos insurgentes ejercían control territorial. Para esto, la construcción de Estado debe ir más allá de la simple ausencia de violencia y requiere de un ejercicio de fortalecimiento de la institucionalidad en aquellos territorios donde el Estado ha estado ausente. Por lo que los límites en la capacidad estatal para invertir y ejecutar proyectos de desarrollo impiden que dichos proyectos cumplan con el potencial de mejorar las condiciones de vida de los municipios priorizados, por ende, reducir las condiciones de desigualdad producto de la violencia estructural asociada a la pobreza rural.
DINÁMICAS DE VIOLENCIA EN EL POSCONFLICTO
En cuanto a las dinámicas de violencia en el posconflicto hay dos fenómenos de violencia que están ligados y que podrían estar afectando el bienestar de las comunidades. Estos son la presencia de grupos armados y el asesinato de líderes sociales en los territorios donde se están desarrollando procesos de estabilización. De acuerdo con la Fundación Ideas para la Paz (FIP), en medio del proceso de diálogo con las FARC, así como en la etapa de implementación, se dieron transiciones y rupturas en el orden ilegal que dinamizaron la violencia entre diferentes grupos que mantuvieron la confrontación armada activa. Por ello la participación y la labor de los distintos liderazgos se ha visto impactada por el deterioro de las condiciones de seguridad y la violencia organizada (Fundación Ideas para la Paz, 2021).
Por tanto, teniendo en cuenta que uno de los objetivos de los PDET es generar fortalecimiento de la democracia y de la institucionalidad a través del empoderamiento de las comunidades, la movilización social y la participación ciudadana, es probable que: i) la presencia de grupos armados ilegales lleve a una coerción contra aquellos actores sociales que están impulsando la implementación de los programas, al ser vistos como una amenaza a sus intereses y agendas, lo que se traduce en un limitante para la ejecución de proyectos de desarrollo, y ii) el asesinato de líderes sociales puede afectar la capacidad de acción colectiva de las comunidades y, en este sentido, incidir sobre el desarrollo de proyectos para la mejora en el bienestar en los territorios. Ya que con dichas afectaciones se busca debilitar el tejido social, intimidar a la población, desestimular la denuncia y la generación de vínculos con las instituciones del Estado, así como fortalecer el control militar, social y político (Fundación Ideas para la Paz, 2021).
Para evaluar si estos dos fenómenos de violencia tienen incidencia en el comportamiento de las variables de desarrollo en los municipios priorizados por los PDET se estima la ecuación (9), donde: Implementación PDET ¡t es el equivalente a PDET x Post y representa la implementación del programa en los municipios; y según el fenómeno a estudiar, X. es: i) una variable dummy igual a uno si hubo eventos violentos de parte de algún actor armado, tales como: paramilitares, disidencias de las FARC y otros grupos insurgentes diferentes a las FARC y organizaciones criminales, o ii) una variable dummy que indica si en el municipio hubo asesinatos de líderes sociales.
El cuadro 4 presenta los resultados para los municipios con presencia de grupos armados. Estos resultados indican que hay efectos diferenciales en las variables de desarrollo. Lo que sugiere que la implementación de los PDET en los municipios con grupos armados ilegales incrementa la tasa de embarazo adolescente en 0.469 puntos porcentuales, lo cual es un efecto mayor si se compara con el efecto de la implementación de los PDET sin tener en cuenta la presencia de grupos armados (0.291). Para el número de matrículas, este efecto diferencial es de una reducción de 471 matrículas en los municipios con presencia de grupos armados, y para la tasa de mortalidad infantil, el efecto es de un aumento en la tasa en 0.315 puntos porcentuales10.
Cuadro 4 Efectos de la implementación de los PDET sobre variables de desarrollo con efectos heterogéneos - Dinámicas de violencia en el posconflicto

Errores estándar robustos y clusterizados a nivel municipal en paréntesis.
*** p<0,01 ** p<0,05 * p<0,1 Nota: Se incluyen efectos fijos de año y de municipio.
En cuanto al asesinato de líderes sociales, se puede observar en el cuadro 4, que al igual que con la presencia de grupos armados, estos resultados indican efectos diferenciales en las variables de desarrollo. Lo que sugiere que adicional al efecto encontrado en la implementación de los PDET en los municipios priorizados, el efecto en la tasa de embarazo adolescente en los municipios donde hubo asesinatos de líderes sociales es de 0.29 puntos porcentuales. Para el número de matrículas, este efecto diferencial es de una reducción de 675 matrículas en los municipios con asesinatos de líderes, y para la tasa de mortalidad infantil, el efecto es de un aumento en la tasa en 0.65 puntos porcentuales11.
La evidencia propuesta parece indicar que tanto la presencia de grupos armados como el asesinato de líderes sociales plausiblemente están afectando negativamente en las variables de desarrollo de los municipios en los que suceden estos eventos, mediante la coerción al desarrollo de los procesos democráticos. De acuerdo con la FIP, los actores sociales reconocen que la presión de los grupos armados ilegales y la inseguridad cotidiana los condicionan y limitan para ejercer sus liderazgos (Fundación Ideas para la Paz, 2021). Esto coincide con estudios previos que sugieren que en los municipios donde un grupo armado ha ganado control territorial, es probable que los líderes sociales no tengan la posibilidad de oponerse a sus acciones. Por lo que los grupos armados optan por gobernar y establecer nuevos órdenes sociales (Arjona, 2009). Por su parte, la investigación de Orbegozo(2021) encuentra que la violencia contra líderes sociales deteriora la capacidad de acción colectiva de las comunidades, al disminuir el número de solicitudes de restitución de tierras y al aumentar el número de hectáreas de coca sembradas (Orbegozo Rodríguez, 2021).
CONCLUSIONES
Este estudio evalúa el impacto social de los Programas de Desarrollo con Enfoque Territorial (PDET) como una estrategia de construcción de Estado en la etapa posconflicto, centrándose en tres indicadores de desarrollo. Se utilizó una metodología de diferencias en diferencias emparejadas, comparando los municipios beneficiarios de los PDET con aquellos similares en condiciones institucionales, económicas y sociales que no los recibieron.
Los resultados encontrados por esta investigación evidencian que la implementación de los PDET no ha tenido los efectos esperados en el comportamiento de las variables estudiadas: la tasa de embarazo adolescente aumenta un 9,5% más que el grupo de control y la tasa de matrícula escolar disminuye un 4,3%. Tampoco hay un efecto estadísticamente significativo para la tasa de mortalidad de la niñez. Estos resultados son consistentes con diferentes métodos de emparejamiento, pero no es consistente cuando se cambia el criterio de tratamiento.
Para profundizar el análisis, se realizaron tres ejercicios para evaluar posibles sesgos: el efecto indirecto de los PDET en los municipios vecinos, la influencia de otros programas de desarrollo post - Acuerdo de Paz, y la variación temporal en la implementación del programa. Los sesgos estudiados parecen afectar la métrica de las variables de desarrollo, sugiriendo que los efectos reales podrían estar subestimados para el embarazo adolescente y la mortalidad infantil, y sobreestimados para la tasa de matrícula escolar.
Se examinaron dos factores que podrían incidir en los resultados: el nivel de inversión en los programas de desarrollo territorial y las dinámicas de violencia en el posconflicto. Se encontró que las fuentes de financiamiento que tienen el efecto esperado y estadísticamente significativo en las variables de desarrollo son las de Cooperación internacional, Obras PDET- OCAD Paz, Obras PDET - Obras por impuestos y los Proyectos productivos. No obstante, este efecto es muy pequeño y no todas las fuentes antes mencionadas generan efectos significativos en todas las variables. Por lo que es probable que los límites en la capacidad estatal para invertir y ejecutar proyectos de desarrollo impidan que dichos proyectos cumplan con el potencial de mejorar el bienestar de los municipios priorizados. Esto coincide con (Chauvet, Collier, & Duponchel, 2010) y con (Kadirova, 2014), quienes empíricamente sugieren que el apoyo recibido de las autoridades del gobierno y los equipos nacionales de contraparte son muy importantes para la implementación efectiva de los proyectos de reconstrucción y desarrollo después de un conflicto y hace que los proyectos tengan muchas más probabilidades de tener éxito en el logro de sus objetivos.
El análisis indica que la emergencia de diversas formas de violencia en el postconflicto, como la presencia de diferentes grupos armados y los asesinatos de líderes sociales, han impactado de forma diferencial en los municipios priorizados. El ejercicio realizado sugiere que estos fenómenos de violencia pueden estar limitando la capacidad de ejecución de los PDET, al representar una amenaza para la acción colectiva de los municipios.
Esta investigación aporta evidencia empírica de los efectos sociales de los PDET en los municipios víctimas del conflicto armado en Colombia. Es pionero en Colombia al evaluar los efectos de dichos programas posconflicto mediante la metodología empleada aquí. Sin embargo, es importante señalar que la evidencia empírica presentada tiene limitaciones metodológicas, particularmente relacionadas con posibles problemas de endogeneidad y sesgo de selección. Esto se debe a que la implementación de los PDET depende del contexto socioeconómico específico de cada municipio.
Además, la efectiva ejecución de los PDET requiere un proceso institucional que incluye la participación y el diseño de los PATR, lo que está fuertemente ligado con la capacidad institucional de los municipios. Estos factores, tanto socioeconómicos como institucionales, podrían influir en las variables de desarrollo estudiadas, introduciendo un posible sesgo en las estimaciones realizadas.
Para lidiar con estos problemas, se desarrolla la metodología bajo el supuesto de que, de acuerdo con el Decreto 893 de 2017, no hay una precisión en la selección de los municipios cuyas características estén determinadas por ser los más afectados por la violencia, pobreza, ausencia del Estado y presencia de cultivos ilícitos. Se toma esto como un evento fortuito, y se implementa la metodología de emparejamiento, con el fin de encontrar esos municipios que por sus características pudieron ser tratados, pero que al final no lo fueron y compararlos con los municipios escogidos. Por lo tanto, futuras investigaciones deberían enfocarse en probar la hipótesis de esta investigación con diferentes programas de desarrollo territorial, como el PNIS, o con diferentes enfoques metodológicos que permitan una mayor aproximación de los efectos de los programas de desarrollo en los territorios.
En conclusión, este documento proporciona un primer análisis acerca de la implementación de las estrategias de construcción de Estado post-Acuerdo de Paz. Los resultados preliminares sugieren efectos negativos en el desarrollo de las comunidades afectadas por el conflicto. Estos problemas parecen derivarse de limitaciones presupuestarias e institucionales, así como de un incremento en la violencia contra los actores políticos tras la aplicación de los programas de desarrollo territorial.
Por lo cual, es necesario revisar y asegurar la implementación efectiva de los mecanismos establecidos en el Acuerdo de Paz que enlazan las políticas sociales, con el objetivo de garantizar la transformación de los patrones de violencia y de pobreza estructural y, así, fomentar la construcción del Estado con presencia territorial sólida.
Además, es necesario fomentar la participación y el diálogo acerca de las necesidades específicas de cada territorio, y desarrollar políticas de seguridad eficaces que apuntalen estos procesos participativos. Las políticas sociales y de seguridad requieren la presencia activa y la coordinación de las instituciones gubernamentales a nivel nacional y territorial, asegurando así que el Estado comprenda y atienda las diversas realidades territoriales. Esto es imprescindible para garantizar los derechos fundamentales de la población rural y prevenir la repetición del conflicto.



































