Introducción
Las metasuperficies son actualmente un campo de investigación relevante para las comunidades científica y académica puesto que, desde su primera aproximación práctica, demostraron propiedades interesantes (como permitividades y permeabilidades negativas, cambios en la polaridad de ondas incidentes, índices de refracción negativos, etc. [5]) que otros materiales comúnmente utilizados para propagación de ondas electromagnéticas no presentan. Si bien su formulación teórica data de la década de 1960 con los trabajos de Veselago y Kontorovich [1-2], su estudio masivo no fue ampliamente difundido por considerarse que elementos con constantes electromagnéticas negativas no eran posibles de sintetizar [3].
Para describir adecuadamente una metasuperficie es necesario hablar de los metamateriales, es decir, elementos modelados en tres dimensiones, con características electromagnéticas especiales como valores negativos de permitividad eléctrica (s) y permeabilidad magnética (u); lo anterior conlleva a que ondas electromagnéticas que franqueen tales materiales se comporten de manera diferente al atravesar materiales conductores comunes como cobre (Cu) u oro (Au). Se sintetizaron prácticamente a finales del siglo XX, inicialmente como una estructura artificial pequeña, pero homogénea, de forma circular concéntrica [4] y han venido evolucionando en formas, diseños y estructuras.
Eventualmente se experimentó un crecimiento acelerado en el estudio de diferentes aplicaciones tecnológicas basadas en este campo de interés. Dentro de ellas están las superficies de impedancia, antenas, lentes holográficos y cámaras anecoicas, entre otras [4]. Estos estudios permitieron identificar que su modelación en tres dimensiones incrementaba considerablemente la capacidad computacional necesaria para su diseño y para el análisis de sus propiedades físicas. Además, se observó que algunas aplicaciones (por ejemplo, el diseño de antenas) podrían verse afectadas en términos de análisis de patrones de radiación, viabilidad como dispositivos que irradian energía electromagnética, tamaño y frecuencias de operación. Estos problemas motivaron el diseño de un tipo particular de redes rectangulares bidimensionales con grosor sublambda (lambda es la longitud de onda de operación) denominadas metasuperficies [5].
Autores como Sievenpiper y Per-Simon Kildal fundaron bases en el uso de guías de onda de separación (gap waveguide) o estructuras bidimensionales que permiten la propagación de ondas en una dirección mediante el empleo de conductores magnéticos artificiales. Estas estructuras varían en formas, apertura, tamaño y son aptas para aplicaciones en ondas milimétricas como se observa en [6-10]. Estos trabajos modelan las gap waveguides como metasuperficies y estudian su efectividad como antenas que radian energía a altas frecuencias y las hacen aptas para aplicaciones de 5G y en ondas milimétricas.
Las propiedades físicas de las metasuperficies y su aplicación en el diseño de antenas son el tópico de interés de este trabajo, que se estructura de la siguiente manera: la sección 1 presenta una descripción general de las metasuperficies, sus tipos y aplicaciones generales. En la sección 2 se discuten los enfoques de modelado de metasuperficies, sus usos como antenas y la teoría electromagnética; se fundamentan sus usos y se resumen trabajos relacionados. La sección 3 muestra el diseño y simulación de los subtipos de antena elegidos con el análisis de resultados y la sección 4 presenta las conclusiones y trabajos futuros derivados de este estudio.
¿Qué son las metasuperficies?
Una metasuperficie es un elemento bidimensional compuesto generalmente de aperturas o formas periódicas en diversas capas de grosor milimétrico y con características particulares en su composición (propiedades eléctricas y magnéticas del material) que bloquean, absorben, concentran o disipan ondas electromagnéticas (OEM) [4].
Estos materiales son generalmente estructuras formadas a partir de una combinación de metales y dieléctricos que se acoplan a las componentes eléctrica y magnética de las ondas incidentes y exhiben propiedades no encontradas en la naturaleza; de esto último se deriva el nombre de metasuperficie (el prefijo meta significa "más allá" o "después"). En virtud de su grosor sublambda comparado con la longitud de onda de la radiación incidente, el estudio de la interacción de metasuperficies con OEM se enfoca en los saltos de los campos eléctrico (E) y magnético (H), en cómo interactúa la radiación incidente con la superficie y en los coeficientes de reflexión y transmisión del resultado de esa interacción [32].
Otro elemento importante de las metasuperficies es su clasificación. Aunque no existe universalidad, los dos tipos más aceptados de denominaciones para metasuperficies son metapantallas y metapelículas (conocidas en inglés como metascreens y metafilms, respectivamente). Las primeras consisten en aberturas homogéneas distribuidas en un plano bidimensional que emulan la forma de una red de pescar (figura 1), mientras que las segundas son arreglos de elementos separados entre sí (generalmente homogéneos) distribuidos en un área finita (figura 2).

Fuente: elaboración propia con base en la figura 3 de Holloway et al. [21].
Figura 1 Metapantalla de aperturas cuadradas con cada cuadroen elplano x-z, suespesor es sublambda a lolargo del eje y
Aquí también resulta importante mencionar que en la literatura se distinguen otros tipos de metasuperficies, que son generalmente una combinación o modificación de metapantallas o meta-films. Entre estas, se pueden encontrar las metarrejillas como una rejilla de cables paralelos que se comporta como un metafilm para campos perpendiculares a los cables y como metapantalla para los campos paralelos [36].
Sin embargo, la literatura científica consultada se decanta por la clasificación de metapantallas y metafilms, por lo que los autores estudiaron estos dos tipos únicamente.
Como puede observarse en las figuras 1 y 2, la geometría de los elementos de la metasuperficie puede ser diferente, pero debe cumplirse cierta homogeneidad en el patrón para que el análisis electromagnético sea constante alrededor de toda la longitud de la metasuperficie. A grosso modo, el análisis teórico de cómo los campos electromagnéticos interactúan con metapantallas y metafilms se presenta en la sección 2, pero puede resumirse en condiciones de frontera y en las denominadas Generalized Sheet Transition Conditions (GSTC), que correlacionan los campos eléctrico y magnético en ambos lados de la metasuperficie tomándola como una estructura de grosor infinitesimal [36].
Otro detalle para tener en cuenta cuando se trabaja con metasuperficies es que la magnitud de la separación de los elementos (ya sean agujeros o elementos geométricos) debe ser pequeña comparada con la longitud de onda que incide sobre estas. Esto hace que la onda incidente considere a la metasuperficie como continua, sin aperturas. Por tanto, este tipo de elementos ha ganado popularidad para antenas pequeñas en dimensiones y operando en el rango de frecuencias comerciales.
Esto ha permitido que las antenas basadas en metasuperficies se vean como una alternativa a las antenas de parche o microcinta comunes hoy para aplicaciones de NFC, Bluetooth y otras de bajo consumo de energía. Además, los autores encontraron algunos estudios que demuestran que al imprimir estos elementos en placas electrónicas y variar su geometría, se obtienen configuraciones deseadas en términos de forma del haz, ancho de banda y polarización [11-12]. Análogamente, el alimentador de la antena se encuentra en el plano de esta, por lo que se evita diseñar salientes o protuberancias que afecten o reduzcan el espacio útil en dispositivos de tamaño reducido [21].
Aparte del comportamiento como antenas, existen otros potenciales usos que tienen las metasuperficies y que son relevantes y prometedores en diversas áreas de la física y la ingeniería. A continuación, se describen brevemente algunas de las aplicaciones más importantes.
Cambio en la polarización de las ondas incidentes
Por su naturaleza y por la forma como interactúan con los campos electromagnéticos, las metasuperficies pueden modificar la polarización de las ondas incidentes e irradiar ondas con otras polarizaciones. Esto se debe a que las metasuperficies poseen la capacidad de modificar los campos eléctrico y magnético de la radiación incidente con dieléctricos absorbentes y metales conductores encerrados en un espacio sublambda (dimensiones menores que la longitud de onda incidente).

Fuente: Chen et al. [33].
Figura 3 Ejemplo de modificación de la polarización de una onda que incide en una metasuperficie
Además, acorde con la geometría y el tipo de metasuperficie se generan saltos o discontinuidades de fase dado el comportamiento resonante de la siguiente manera: cuando la radiación incide en los elementos que conforman la metasuperficie se generan OEM en esta y se produce un cambio de fase y polarización [4, 33]. En la figura 3 se advierte una representación de una metasuperficie que actúa como modificador de polarización. Esto es útil para controlar el color en aplicaciones ópticas [29], beam splitting o división de rayos de ondas incidentes [30] y configuración de reflexión y transmisión de frentes de onda [31].
Metasuperficies como antenas
Debido a sus características únicas de reflexión, transmisión y su relativa facilidad de construcción, las metasuperficies se han perfilado para el diseño de antenas de microcinta y antenas para dispositivos de tamaño reducido. Este es un campo activo de investigación con diversas áreas de conocimiento y en la sección 3 se muestra la propuesta de los autores: un prototipo de antena bidimensional sin considerar gap waveguides ni Artificial Magnetic Conductors (AMC) compuesto por una metapantalla con un anillo cuadrado o rectangular exterior (anillo resonante) y una cruz de forma específica en su interior.
Las propiedades geométricas de los disperso-res (scatterers) o los elementos que la conforman hacen que la metasuperficie resuene a diversas frecuencias, opere como un todo y pueda emitir radiación electromagnética con variados patrones de radiación; este enfoque se basa en la afirmación de considerar el elemento con dispersores como una única antena [12], aunque como se mencionó antes, existe otro paradigma que analiza cada elemento individual como un AMC como lo muestran los autores en [6-9]. Los autores clarifican que este trabajo se enfoca en el análisis bidimensional de dispersores sin considerar la teoría de AMC ni las gap waveguides (no hay espacio o grosor considerado en la metasuperficie ni se trazancaminos sobre losconductores).
Superficies de impedância
Puesto que las metasuperficies son patrones de elementos que se repiten en un área determinada, es posible modelarlas como un todo mediante superficies de impedancia, que caracterizan a un elemento específico como un plano conductor [23]. Esto es posible ya que, generalmente, las dimensiones de los elementos son pequeñas comparadas con la longitud de onda incidente; por lo que la delgadez de los elementos conlleva a un modelado con superficies de impedancia como lo muestra la figura 4.

Fuente: elaboración propia con base en la figura 1 de Xiong et al. [23].
Figura 4 Una metasuperficie denominada metafilm (a) y su caracterización como superficie de impedancia (b)
Este modelado de superficies de impedancia implica a cálculos menos complejos y menor costo computacional, lo cual es posible ya que se está teniendo en cuenta un conjunto de elementos como un todo con valores característicos propios. Si se modela o define la interacción de la onda incidente con cada elemento de la metasuperficie, la complejidad de ese modelado crece exponencialmente, por lo que este enfoque de superficie de impedancia presenta ventajas al observar la interacción de los campos eléctrico y magnético [34]. Los autores en [35] presentan un enfoque de homogeneización de metasuperficies como superficies de impedancia, en el que obtuvieron resultados relevantes para aplicaciones de reflectores ópticos y reflectores dispersivos en frecuencia.
Otro enfoque de modelado para superficies de impedancia considera las zonas de Brillouin, que consiste en el análisis de propagación sobre la superficie con elementos repetidos o retículas (en inglés conocidas como lattices). Esta zona indica un límite hasta el cual las ondas pueden propagarse y las superficies de impedancia (por presentar elementos simétricos separados) pueden modelarse de esta manera para observar cómo una OEM atraviesa y se dispersa por la retícula. Un mayor enfoque en esta zona se presenta en [13-14], donde se observa que la orientación es particularmente hacia los fenómenos físicos que ocurren en esta zona y cómo los campos se propagan al atravesar la superficie.
Lentes con metasuperficies
Otra interesante aplicación de las metasuperficies se da a frecuencias ópticas. Puesto que los lentes y dispositivos ópticos modifican la fase, amplitud y polarización de la luz para concentrarla o dispersarla, las metasuperficies aprovechan sus propiedades especiales para potencializar tales efectos. Básicamente, los cambios con metasuperficies son abruptos y repentinos y se basan en sus parámetros geométricos para formar una respuesta óptica espacialmente variable. Por consiguiente, dado el grosor sublambda de las metasuperficies, el acto de configurar y moldear la luz se amplifica al comparar con lentes convencionales [35]. Una aplicación de bastante actividad y que aprovecha estas especiales propiedades físicas es el desarrollo de imágenes holográficas, cuyo esquema general se indica en la figura 5.

Fuente: Smith et al. [4].
Figura 5 Hologramas y lentes con metasuperficies. Las celdas unitarias reaccionan a las ondas enviadas por la antena y como cada una guarda cierta información, se proyectan como una pantalla. Cada celda unitaria opera como un píxel
Los autores de [39] sintetizan índices de refracción utilizando combinaciones de dispersores en frecuencias ópticas; se destaca el uso de agujeros integrados de sustrato (Substrate-Integrated Holes [SIH]), que mejora el desempeño como antena para frecuencias de THz. Análogamente, en [40] se discute un prototipo de antena para 5G (ondas milimétricas) con agujeros simétricos y un lente de Luneberg; este prototipo se comporta adecuadamente para frecuencias mayores a 24 GHz y consiste en un círculo con pequeñas incrustaciones en la parte posterior y ciertos dispersores en el centro. Estas geometrías ayudan a que las altas frecuencias se propaguen de forma adecuada y con pocas pérdidas y son ideales para aplicaciones 5G a corta distancia y alto throughput.
En resumen, las metasuperficies presentan resultados y aplicaciones interesantes que, debido a su interacción con campos electromagnéticos, conllevan a comportamientos únicos en diversas bandas de frecuencia del espectro radioeléctrico. La aplicación de mayor interés para este documento son las antenas, por lo que la siguiente sección presenta detalles sobre tal aplicación, modelado y base matemática.
Principios de operación de antenas de metasuperficies
Para que una metasuperficie pueda emplearse en el diseño de antenas, debe modelarse y caracterizarse su respuesta a ondas electromagnéticas incidentes empleando matrices T únicamente [22]. Para metamateriales, el método tradicional y más conveniente de modelado es la teoría efectiva de medios, que consiste en promediar los campos eléctricos y magnéticos en una sección del metamaterial y calcular permitividad y permeabilidad efectivas al tiempo de computar promedios. Esto se hace considerando los elementos dispersores como un compendio o suma de diversas subestructuras utilizando matrices T debido a la periodicidad de las superficies.
Este análisis resultará efectivo si la longitud de onda incidente es mayor al valor promedio obtenido al subdividir el material [22]. Sin embargo, modelar metasuperficies con enfoques que consideran grosores elevados (comparados con la longitud de onda) no es muy efectivo puesto que las propiedades no están bien definidas para estas [21]. Si se considera la figura 6 como una potencial modelación de un metafilm en donde sí se emplea este enfoque, se tendría un valor d aleatorio y no un parámetro único; cualquier valor podría tomarse y el modelado se complicaría al añadir una variable aleatoria al sistema [20].
El enfoque mostrado en la figura 6 indica que las propiedades del medio efectivo se determinan con el enfoque para metamateriales, pero la geometría de los elementos de la metasuperficie impone que dichas propiedades no están definidas únicamente y no se puede obtener el valor de d; lo que sí está bien estipulado es la geometría de los elementos y su periodicidad. Debido a la ambigüedad del parámetro d, las propiedades efectivas del medio no estarían bien establecidas, lo que llevaría a interpretaciones erróneas en la modelación de las metasuperficies [5]. Por consiguiente, se presentan otros enfoques para modelar metasuperficies y sus características.
Enfoque modificado con teoría efectiva de medios
Bouchitté y Schweizer [37] propusieron evitar la aleatoriedad cuando se seleccione el grosor d en el enfoque de la teoría efectiva de medios al considerar la permitividad de la metasuperficie y utilizar un grosor de valor εd. Lo anterior introduce un parámetro específico para cada metasuperficie modelada y dependiente de la permitividad relativa del dieléctrico. Sin embargo, esta caracterización no es generalizada y falla en modelar con precisión metasuperficies compuestas de diversos elementos con distintas características intrínsecas (ε y μ).
En realidad, las características de la metasuperficie modelada desde este enfoque dependen del grosor d [5], en el que se observa una relación entre el grosor elegido y el valor de ε. En [5] se presenta cómo varía la permitividad en función de la frecuencia para un metafilm compuesto por esferas conductoras y se concluye que dejar al azar el valor de d en este enfoque induce a errores de simulación/modelado considerables.
GSTC
Smith et al. [38] analizaron la relación entre la susceptibilidad de la metasuperficie y la manera como reaccionan a ondas incidentes. Se contextualizó que esta característica es única para cada metasuperficie y que se adecua como parámetro para caracterizar estos elementos. La metasuperficie actúa como una hoja infinitesimal que causa desplazamiento en fase de la radiación incidente al interactuar con ella; este desplazamiento o cambio se modela con GSTC, que consiste en imponer condiciones de frontera en la metasuperficie para los saltos de los campos E y H, relacionando susceptibilidades eléctricas y magnéticas [15].
Las GSTC se caracterizan por ser exactas, generales, transforman ondas arbitrarias incidentes en ondas reflejadas y transmitidas, admiten soluciones cerradas, proveen detalles acerca de la física de campos modelando las ondas y permiten conocer los detalles sobre las transformaciones ocurridas con la radiación [16]. Por tanto, puede decirse que estas se aplican considerando la metasuperficie como una hoja infinitesimal y analizando los cambios en los campos E y H a ambos lados de la hoja. La figura 7 muestra un esquema de este modelado en la que un metafilm de elementos cuadrados se reemplaza por una hoja infinitesimal y se tienen dos regiones en el espacio.

Fuente: elaboración propia con base en la figura 2 de [19].
Figura 7 Aplicación de GSTC en un metafilm y el análisis electromagnético para realizar. En a) se muestra un corte longitudinal de un metafilm y las celdas unitarias con el valor de referencia de y. En b) se muestra ese valor de referencia y la aplicación de GSTC sobre el límite
Las condiciones de frontera caracterizadas por las GSTC son relevantes en la metasuperficie, se estudian los campos E y H y su interacción para obtener resultados importantes. Dependiendo de la polarización de la onda incidente (TE, transversal eléctrica o TM, transversal magnética), el análisis electromagnético arrojados nuevos parámetros que identifican a las metasuperficies: susceptibilidad eléctrica y susceptibilidad magnética. Estos parámetros (tanto como la forma de interactuar los campos E y H en la superficie) tienen unidades de longitud y se relacionan con las densidades de polaridad magnética y eléctrica de los elementos de la metasuperficie por unidad de área; además, son algunos de los estudiados y analizados por la comunidad científica al momento de caracterizar metasuperficies [5, 36].
Este enfoque de aplicación de GSTC presenta sutiles diferencias cuando se aplica a metafilms y a metapantallas, puesto que la relación entre los campos E y H varía si se interactúa con elementos sólidos o con estructuras huecas en un conductor. Tanto los campos como las susceptibilidades mencionadas son diferentes y, por consiguiente, se requiere un análisis electromagnético separado sobre la aplicación de GSTC en metafilms y metapantallas.
GSTC en metafilms
Kuester et al. [17] dedujeron que las GSTC relacionando los campos E y H a ambos lados de la metasuperficie son:
donde a z es un vector unitario en el eje z, representa la susceptibilidad de la superficie (susceptibilidad eléctrica con subíndice ES y magnética con subíndice MS), el subíndice t indica campo transversalal eje z y se considera infinitesimal el grosor de la metasuperficie (0- < z < 0+). Esto indica que los campos E y H se relacionan mediante una característica estática de la superficie, que depende de su material. Ni las corrientes tangenciales ni las susceptibilidades se toman en cuenta dependiendo del campo incidente y el plano.
Las ecuaciones (1) y (2) pueden expresarse en términos de condiciones de frontera en función de impedancias para aproximar el modelado a líneas de transmisión y facilitar los cálculos teóricos [17]. Sin embargo, la dependencia con los parámetros χ continúa según este enfoque. También, al considerar una superficie infinitesimal podría deducirse que la geometría de los elementos no se tiene en cuenta; no obstante, los detalles -de la geometría se incorporan por medio de las susceptibilidades por lo que las GSTC y las ecuaciones de Maxwell son una primera aproximación al modelado de metafilms, que considera a las susceptibilidades como parámetros únicos de dichos elementos (sin tener en cuenta el parámetro d de la sección Enfoque modificado con teoría efectiva de medios), con lo que se obtiene una representación única de las cantidades físicas que caracterizan la metasuperficie en función de una propiedad intrínseca del material [11, 20].
Aunque este enfoque puede indicar al lector un alto nivel de sencillez o simplicidad, se observa que es bastante acertado para el modelado de campos incidentes E y H sobre superficies periódicas; cabe destacar que no es el único enfoque, pero es una buena primera aproximación, por lo que los autores trabajaron en este modelo de GSTC para las simulaciones presentadas en el Diseño y resultados de simulación.
GSTC en metapantallas
De acuerdo con las diferencias físicas entre metafilms y metapantallas, al modelar estas últimas con GSTC se debe contemplar la posibilidad de generar corrientes tangenciales superficiales que no desaparecen con el enfoque de grosor infinitesimal. Por consiguiente, no se puede esperar la obtención de resultados de un campo H tangencial como en la sección GSTC en metafilms [36]. Adicionalmente, debido a la geometría de las metapantallas surge otro parámetro denominado porosidad, por lo que las GSTC en este caso involucran una condición para los saltos del campo E tangencial y otra para el campo eléctrico promedio tangencial (este último introduciendo las porosidades de la superficie).
De hecho, las ecuaciones que describen las GSTC para metapantallas son en su forma general [18]:
De (3) y (4) se tiene que r o es el punto donde se considera a la metapantalla como infinitesimal; surge además el parámetro (porosidad eléctrica y magnética, que corresponden a un tensor de rango 2),se tiene también campo H promedio y, dada la simetría de las metapantallas en general:
Las ecuaciones (1), (2), (3) y (4) describen la aplicación de GSTC a los dos principales tipos de meta-superficies y presentan un enfoque más preciso al momento de modelar estos elementos ante radiación incidente al introducir parámetros propios como susceptibilidades y porosidades eléctrica y magnética. Además, si se consideran ondas TE y TM incidiendo en estos dos tipos de metasuperficie, es posible obtener los coeficientes de reflexión (R) y de transmisión (T) en función de estos parámetros y realizar cálculos y obtener los parámetros característicos acorde con los coeficientes y analizar el uso de e tos elementos en el diseño de antenas. Enseguida se resumen las metafilms y las metapantallas operando como antenas bajo radiación TE y TM incidente y la forma de obtener los parámetros y los coeficientes de reflexión x transmisión.
Metasuperificies como antenas
Metafilms
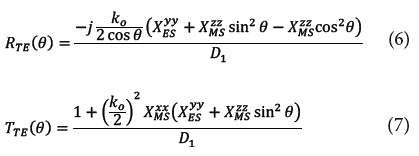
Diferentes estudios analizaron la respuesta de metafilms con ondas TE y TM y obtuvieron estos parámetros en función de los indicadores propios de las metasuperficies (susceptibilidad y porosidad) [19,37]. Las ecuaciones (6) y (7) registran el coeficiente de reflexión y transmisión, respectivamente, en virtud del ángulo de incidencia con radiación TE incidente.
con el parámetro D1 definido por conveniencia en la manipulación de las ecuaciones de la siguiente manera:
Análogamente, para una onda TM incidente se tiene que:
y el parámetro D2, en analogía con la definición del parámetro D1, resulta como:
Para las anteriores ecuaciones ko representa el número de onda del espacio libre. También se observa una simetría entre (6) y (9) además de (7) y (10), lo que confirma que la simetría de las metasuperficies se traslada hacia los coeficientes de reflexión y transmisión. La figura 8 muestra esta situación con campos E y H incidente, reflejado y transmitido.
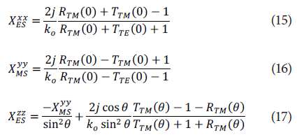
Conociendo los coeficientes de reflexión y transmisión (ya sea experimentalmente o mediante simulaciones empleando métodos numéricos), de (6), (7), (9) y (10) se obtienen ecuaciones que describen los parámetros que identifica n a los meta-films [19,37]:
donde se han tomado los coeficientes de reflexión y transmisión a 0º y a un ángulo conocido θ. Análogamente, para radiación TM:
Las ecuaciones (12-17) precisan los parámetros de los metafilms en términos de coeficientes de reflexión y transmisión. Estos valores de R y T también caracterizan a las metasuperficies, operan como antenas y se emplean para simularlos en software especializado para observar a qué frecuencia presentan un elevado coeficiente de transmisión (en unidades lineales se consideran adecuados los coeficientes de transmisión cercanos a 1. En otras palabras, para una curva S11, donde se relaciona la intensidad de la onda reflejada en dB con la frecuencia, los valores más alejados de 0 dB son los valores deseados).
Metapantallas
Si se hace un análisis análogo, para metapantallas se obtienen primero los valores de los coeficientes de reflexión y transmisión en función de sus parámetros característicos. Después, si se realiza un análisis matemático, se obtienen los valores de porosidad y susceptibilidad de acuerdo con esos coeficientes [20]. Las ecuaciones (18) y (19) muestran los dos parámetros relevantes cuando una onda TE incide sobre la superficie y se advierte que el parámetro de porosidad aparece en este tipo de metasuperficie.
De estas ecuaciones es importante destacar que únicamente surgen dos parámetros (en comparación con las metafilms donde surgen tres). La ausencia de un parámetro de susceptibilidad o porosidad eléctrico se da por la condición inicial de campo E promedio (véase la ecuación 4)). De modo similar, (20), (21), (22) y (23) muestran los cuatro parámetros para excitación con una onda TM con porosidades, lo cual indica otra diferencia entre metafilms y metapantallas en la cantidad de parámetros característicos de estas [20].
Tal como en el caso de metafilms, se tienen dependencias de los coeficientes de reflexión y transmisión a 0° y a un ángulo θ conocido. Para ondas TM se obtienen un total de cuatro parámetros característicos de la metapantalla. Además, en los trabajos realizados por Holloway y Kuester [20, 21] se emplearon Conductores Perfectamente Eléctricos (Perfectly Electric Conductors [PEC]), cuyos resultados pueden extrapolarse a conductores comunes. Sin embargo, las frecuencias de operación deben mantenerse en el rango de las microondas y se debe evitar el uso de frecuencias ópticas al hacer esta aproximación; a frecuencias ópticas, los conductores registran comportamientos físicos diferentes y se requieren nuevas GSTC (esto para el caso de aplicaciones holográficas de metasuperficies).
Los parámetros de susceptibilidades y porosidades son los principales elementos de las metasuperficies; estos ayudan a identificar las características electromagnéticas cuando ondas incidentes interactúan con la superficie y qué porcentaje se refleja, absorbe y transmite. Para el caso especial del uso de metasuperficies como antenas se desea que, a ciertas frecuencias, el coeficiente de transmisión sea máximo y la curva S11 presente valores mínimos en algunas frecuencias (frecuencias de resonancia). La siguiente sección resume otros trabajos empleando metasuperficies para radiar energía electromagnética. Con estas bases, se describen dos prototipos de metasuperficies y los correspondientes resultados de simulación sobre su comportamiento como antenas.
Finalmente, durante el desarrollo del estado del arte de este trabajo se encontraron tres referencias que ayudaron a los diseños propuestos. Estos trabajos analizaron la respuesta de metasuperficies con diversas geometrías empezando por el anillo resonador dividido (Split Ring Resonator [SRR]) [25], un SRR con una figura en forma de cruz en su interior [26] y dos SRR uno concéntrico al otro [27]. Estos tres trabajos de los mismos autores analizaron el comportamiento de estos diseños y sirvieron como base para los resultados mostrados en la sección sobre Diseño y resultados de simulación.
A modo de síntesis puede decirse que las metasuperficies con SRR en su geometría son más susceptibles a resonar en frecuencias comerciales de varios GHz y que los elementos internos contribuyen esencialmente al pico de resonancia más alto (más allá de 10 GHz). Estos resultados se utilizaron como punto de comparación para los diseños propuestos.
Análogamente, considerando la teoría de gap waveguide descrita en [6-9] y los llamados conductores magnéticos artificiales AMC, los autores se enfocaron en analizar cómo las estructuras periódicas propuestas se comportan cuando la radiación incidente a varios ángulos llega a ellas, pero sin considerarlas como gap waveguides. Esto es, los diseños presentados en la sección sobre Diseño y resultados de simulación, generaron bandas de frecuencia adecuadas para la operación y bandas de rechazo o prohibidas. Lo anterior se evidencia con las curvas S11, donde ciertas frecuencias son más aptas a transmitir las OEM y no absorben o reflejan energía.
Se deja como trabajo futuro la evaluación de las estructuras propuestas como AMC y como gap waveguides, que deberían contemplar el ancho del elemento y cuánto espacio queda entre los conductores (generalmente a una distancia menor a À/4 y con un dieléctrico o, en su defecto, aire).
Diseño y resultados de simulación
Acorde con los parámetros descritos anteriormente acerca de las metasuperficies, cómo interactúan con los campos E y H, algunos trabajos previos y el enfoque aplicado, se procedió a diseñar diversos prototipos de metasuperficies para su funcionamiento como antenas. Se empleó el software CST Studio para la realización de las simulaciones, que maneja distintos solvers para los cálculos computacionales como Finite Element Method (FEM), Finite Integration Technique (FIT) y Transmission Line Matrix Method (TLM). De estos, el puntual para metamateriales es el solver Eigenmode (valor propio), que soporta análisis de sensibilidad e incorpora los métodos Advanced Krylov Subspace (AKS) y Jacobi-Davidson (JDM); no se recurre al método de Floquet para la simulación de estructuras periódicas [41].
Como los autores de [6,30-31], se analizó únicamente una celda unitaria de la metasuperficie puesto que es suficiente para estimar su comportamiento como una potencial antena. Las formas de las celdas unitarias se eligieron después de un cuidadoso análisis de elaboración propia de los trabajos previos y sus resultados, donde se evidenció que la forma de cruz de malta y cruces dobles rodeadas de SRR (descritas a continuación) no se había trabajado antes. No se encontraron trabajos en la literatura revisada que emplearan dichas formas. Por consiguiente, esto asegura la originalidad de este estudio y de los resultados.
El primer prototipo con el que se realizaron simulaciones fue una celda unitaria con forma de cruz de malta. Se consideró la celda unitaria de cobre y se simuló inicialmente sin estructura de SRR rodeando la cruz. En este caso se observa que no se presentan resonancias en el rango de frecuencias de 1 a 16 GHz. Por lo anterior se estableció que estructuras diferentes a SRR muestran coeficientes de transmisión muy bajos y las gráficas S11 no decaen lo suficiente en escala logarítmica (dB) para ser relevantes.
Luego de tener en cuenta únicamente la celda unitaria con forma de cruz de malta se empezó a probar con diversas figuras sin estructura de anillo resonador. De esas simulaciones se concluyó que no se obtuvieron resultados relevantes en la curva S11 que indicaban que la celda unitaria pudiera transmitir información de manera relevante. Se dedujo que contar con un SRR que rodee cualquier figura es fundamental para la correcta resonancia de las celdas unitarias. Por ello se empezaron a probar distintas figuras internas rodeadas por un SRR y a analizar las más adecuadas en términos de frecuencias de resonancia y potencial complejidad para su construcción o elaboración. La figura 9 muestra diversos patrones simulados en CST Studio; es importante aclarar que no se incluyeron gráficas de fase de las gráficas S11 estudiadas. El estudio de fase y su potencial implicación en la radiación emitida y en el comportamiento de la celda unitaria como antena se propone como trabajo futuro.
Para los seis diseños de celdas unitarias de metasuperficie de la figura 9 se realizaron simulaciones para observar su comportamiento como potencial elemento radiador de energía. Puesto que los resultados para una única celda unitaria son extrapolables, en la práctica la implementación física de metasuperficies consiste en agrupar diversos elementos unitarios en un tamaño pequeño (no más de unos cuantos centímetros cuadrados de área), pero la simulación de una única celda unitaria caracteriza su comportamiento como antena [31]. Por consiguiente, para los seis diseños se obtuvieron las curvas S11 (para observar las frecuencias de resonancia) y S22 (para analizar el potencial ancho de banda).

Fuente: elaboración propia.
Figura 9 Seis diseños de celdas unitarias de metasuperficie simuladas y analizadas
Adicionalmente, se encontró que cuando se consideran estructuras sólidas en el centro de la celda unitaria (círculos, cuadrados o cualquier otra figura que cubra totalmente el área interna), la resonancia desmejora y la celda unitaria no es apta para emplear como antena. Esto se debe posiblemente al hecho de que no se genera la suficiente densidad de corriente superficial para concentrar la energía electromagnética y radiarla con un adecuado coeficiente de transmisión.
En la figura 10 se aprecian los gráficos S11 para los tres primeros tipos (arriba, de izquierda a derecha en la figura 9) de celdas unitarias discutidas previamente. En retrospectiva general se encontró que las seis estructuras resuenan adecuadamente (el valor del parámetro S11 es menor a -10 dB, lo que indica una baja reflexión y una alta transmisión) y entre ellas varían las frecuencias exactas de resonancia y el ancho de banda. Para el primer diseño (tres anillos resonadores concéntricos), se observa un pico de resonancia cerca de 6 GHz, otro a 8.1 GHz y un tercero (menos pronunciado) a 15.5 GHz. En el segundo diseño (arriba, de izquierda a derecha en la figura 9) se muestran cuatro frecuencias de resonancia a 5.5 GHz, 8.2 GHz, 12.3 GHz y 14.1 GHz. Esto se debe posiblemente a la compleja geometría del elemento utilizado, lo que hace que aparezca una frecuencia en el rango de 12.3 GHz (cuando para el caso anterior no se tenía resonancia en esa frecuencia). Se destaca la simetría de la gráfica S11 y se puede estimar que esta estructura tiene un amplio ancho de banda entre 8 y 12 GHz, que la hace eficiente en esa banda.
El tercer diseño analizado se tomó como punto de referencia para observar la efectividad del software CST Studio en el modelo metasuperficies. Los autores en [31] caracterizaron el diseño de cruz interna y buscaron comparar los resultados del artículo mencionado con los obtenidos con CST Studio. Lo mismo se hizo para la cruz doble. Este análisis se muestra en detalle en la siguiente sección.
Análogamente, las celdas unitarias que contienen cruces de la figura 9 se analizaron en términos de curvas S11 para observar sus frecuencias de resonancia. La figura 11 las registra para estos tres modelos de celda unitaria: del primero se destaca, de nuevo, la aparición de tres frecuencias de resonancia y una banda de rechazo no apta para transmisión. Esta celda unitaria resuena a 4.8 GHz, 8.1 GHz y 14 GHz, además presenta un ancho de banda relativamente pequeño (picos pronunciados) y bajos valores en dB para la energía reflejada (transmite adecuadamente en sus resonancias). La siguiente celda unitaria tiene un ancho considerable en la banda de 6 a 8.3 GHz, por lo que puede operar en este amplio rango de frecuencias de forma adecuada. Esta celda se simuló hasta 10 GHz únicamente porque a frecuencias mayores no presenta resultados relevantes.
La última celda unitaria registra tres frecuencias de resonancia (casi que un valor seguro para este tipo de elementos), con frecuencias muy similares a la primera cruz de la figura 9. Por lo que puede inferirse en general que el SRR que rodea a las figuras es el principal causante de que la primera frecuencia de resonancia esté entre 5.5 y 6 GHz; el comportamiento de las frecuencias superiores se debe a la geometría de la figura interna y hace que la celda unitaria rechace u opere en el rango entre 8 y 12 GHz.
Los hallazgos anteriores se tuvieron en cuenta con el mismo tamaño para todas las celdas unitarias con un largo de 6 mm y un ancho de 7 mm. Estos valores se tomaron con base en los resultados de los autores en [31] que indican esos tamaños para celdas unitarias como optimizados (los autores construyen y prueban experimentalmente la superficie como un cuadrado de 305 mm2 y 44 celdas unitarias). Además, todas las celdas unitarias aquí simuladas emplearon el dieléctrico llamado FR4, que consiste en un material con revestimiento de cobre comúnmente empleado en la fabricación de placas de circuitos impresos y con una permitividad relativa al aire de entre 4.2 y 4.7 [28]. De los diseños previos se eligió el último (abajo a la derecha en la figura 9) para profundizar en su comportamiento electromagnético. Esta decisión se tomó porque la primera resonancia cercana a 5.8 GHz es la más relevante de los diseños estudiados (valor más pequeño en dB, lo que significa alta transmisión de la onda incidente). La figura 12 presenta las dimensiones exactas de esta celda unitaria simulada mediante simulaciones numéricas de onda completa en CST Studio y los siguientes valores en milímetros: w=7, 1=7, s=1, d=1, h=2.4, m=3 y b=0.5.

Fuente: elaboración propia.
Figura 12 Celda unitaria por analizar de manera detallada y curva S12 (azul) de la celda unitaria
Para este diseño elegido se computó el gráfico de S12 para observar el coeficiente de transmisión y el ancho de banda elevado en la frecuencia de resonancia más alta (1.8 GHz de ancho de banda desde 14 GHz hasta 15.8 GHz). Esto quiere decir que el elevado ancho de banda obedece a la superficie interna de la celda unitaria (el diseño de cruz propuesto) y señala que existe una densidad de corriente alta circulando por el elemento interno en esta frecuencia. La siguiente sección presenta el análisis comparativo entre las celdas unitarias con estructuras internas en forma de cruz.
Análisis comparativo de resultados
Como se mencionó anteriormente, se hizo un análisis comparativo de la celda unitaria, compuesta por una cruz interna y por una cruz doble; se compararon los resultados obtenidos en [31] con los de simulación en CST Studio en términos de curva S11 y distintos ángulos de incidencia de la onda para ambas estructuras. Esta variación en el ángulo de incidencia se consideró con ondas polarizadas en el eje y (figura 13), donde el ángulo es perpendicular al eje vertical y varía aumentando hacia el eje x.

Fuente: Khan et al. [27].
Figura 13 Esquemático de radiación incidente sobre la celda unitaria analizada
Adicionalmente, para observar el efecto predominante del SRR en estas estructuras se simuló dicho elemento sin figura central. En la figura 14 se muestran los datos de S11 para estas tres estructuras con un ángulo de incidencia de 0 ° y 20 °. Se advierte que las dos primeras frecuencias de resonancia son idénticas y las variaciones ocurren en la frecuencia de resonancia mayor. Esto refuerza la idea de que la figura central es más relevante para inducir resonancia a frecuencias superiores a 12 GHz.

Fuente: elaboración propia.
Figura 14 Curva S11 de anillo resonador (AR), cruz central (CC) y cruz doble (CD). Incidencia a 0 ° y 20 °
Tomando como referencia el anillo resonador simple, existe una variación en la tercera frecuencia de resonancia del 2.5 % para la cruz central y de un 0.45 % para la cruz doble. La del anillo resonador es la frecuecia más alta. Esto obedece a la densidad superficial de corriente en la estructura interna y en cómo el campo H interactúa con ella, haciendo que la frecuencia se reduzca un poco, si se compara con el anillo resonador. Este patrón se mantiene para ángulos de incidencia pequeños de la onda alimentadora sin mucha variación, pero para ángulos mayores o iguales a 40 °, la estructura empieza a resonar con menor amplitud e incluso a 60 ° se pierde en dos de tres celdas unitarias analizadas (figura 15). Por tanto, se concluye que ángulos elevados de incidencia afectan negativamente la resonancia provocada por la estructura interna en la frecuencia más alta.

Fuente: elaboración propia.
Figura 15 Curva S11 de anillo resonador (AR), cruz central(CC)y cruz doble (CD). Incidencia a 40 ° y 60 °
Esta tendencia de que la tercera frecuencia de resonancia desaparezca o el sistema no sea capaz de resonar en frecuencias altas con ángulos elevados de incidencia tiene que ver con que la celda unitaria es incapaz de procesar el campo eléctrico incidente mediante las GSTC explicadas anteriormente; dado que el coeficiente de transmisión depende del coseno del ángulo de incidencia, a mayores valores de 0, el valor del coeficiente tiende a 0.
La mayor afectación se da en la frecuencia más alta, pero las de resonancia inferiores también se ven afectadas, porque se reducen la totalidad de la onda transmitida y la eficiencia de la celda unitaria, como dispositivo de radiación de energía electromagnética.
Adicionalmente, se presentan los resultados individuales para la cruz doble con distintos ángulos de incidencia. Se observa que se mantiene la tendencia de que a mayor ángulo de incidencia se reduce la eficiencia de la antena y que la tercera frecuencia de resonancia es la más afectada con este cambio de 0. La figura 16 muestra los resultados consolidados de simulación para esta celda unitaria en términos de S11.

Fuente: elaboración propia.
Figura 16 Curva S11 para la celda unitaria de cruz doble a distintos ángulos de incidencia
Finalmente, este análisis comparativo concluye con las densidades superficiales de corriente en las tres celdas unitarias estudiadas en detalle (anillo resonador, cruz central y cruz doble) y sus respectivos patrones de radiación. En la figura 17 se aprecian tales densidades para el anillo resonador, cruz central y cruz doble en las tres frecuencias de resonancia. Se evidencia una mayor densidad de corriente en la menor frecuencia de resonancia, lo que explica lo profundo de la caída en el correspondiente gráfico S11 para esta celda; sin embargo, para todos los diseños simulados en la segunda frecuencia de resonancia se encontraron valores menores en dB de las curvas S11.
Esto puede comprenderse por el hecho de que las mayores densidades de corriente se enfocan en las esquinas del anillo resonador y no a lo largo de todo el lado interno.
En la figura 17 se aprecia que se mantiene la mayor densidad de corriente para la frecuencia de resonancia baja y una densidad de corriente sobre las esquinas para la frecuencia intermedia en las tres celdas. Sin embargo, la frecuencia alta muestra ahora mayor densidad en la parte inferior de la celda unitaria. Esto incide en los resultados de la figura 15 a un ángulo de incidencia alto, donde la frecuencia alta desaparece para estos estilos de celda.
Es interesante destacar que no siempre una alta densidad de corriente generará mejor comportamiento como antena para estas celdas unitarias. Adicionalmente, puesto que la resonancia en frecuencias altas depende de la estructura interna de la celda, esto puede deberse a que las mayores densidades de corriente están en la parte inferior y hacen que la geometría de la estructura interna sea la relevante para esta frecuencia de resonancia alta.
Los patrones de radiación para los tres tipos de celda unitaria analizados fueron similares, no presentaron diferencias significativas en forma para las tres frecuencias de resonancia y señalan una considerable directividad hacia adelante y hacia atrás y un pobre funcionamiento a 90 ° y 270 °.
Se contempló como campo lejano una distancia mayor a 1 m de la celda y el valor más alto de frecuencia de resonancia presentó los valores más altos de magnitud del lóbulo principal. La figura 18 refleja los patrones de radiación para las celdas unitarias estudiadas y datos relevantes acerca de la magnitud y dirección del lóbulo principal para las frecuencias de resonancia baja y alta, respectivamente.
Los patrones siguen siendo similares con directividad pobre en 90 ° y 270 ° y mayor magnitud de lóbulo a la mayor frecuencia de resonancia. De estos patrones de radiación obtenidos se deduce que las celdas unitarias pueden operar para aplicaciones que no requieran alta directividad y que sí demanden cobertura casi omnidireccional. Como una antena de microcinta que opera generalmente como una antena omnidireccional, las celdas unitarias analizadas en este documento (y su unión como una estructura periódica) pueden operar de forma apropiada en aplicaciones donde la directividad no es tan importante.
Las potenciales aplicaciones de las estructuras periódicas analizadas en esta sección son la banda extendida de wifi a 5.4 GHz (específicamente la banda U-NII 2C del estándar IEEE 802.11 ac), aplicaciones de banda ultraancha (Ultra Wide Band [UWB]) a 8.1 GHz y aplicaciones Very Small Aperture Terminal (VSAT) a 14.5 GHz. Esta última requeriría de elementos adicionales puesto que se trata de comunicaciones satelitales que necesitan alta directividad. Pero las dos primeras bandas son adecuadas para aplicaciones donde se precisa cobertura omnidireccional, bajas potencias y alto throughput a una distancia relativamente corta.
Conclusiones
Se presentó un análisis exhaustivo acerca de las metasuperficies, sus características, tipos, aplicaciones y modelado electromagnético para describir de manera concisa cómo operan estos elementos y en qué se diferencian de otro tipo de estructuras periódicas. El modelado se hace con condiciones de frontera (GSTC) donde se evalúan los saltos de los campos E y H al impactar la metasuperficie. Por tanto, se caracterizaron mediante parámetros propios y sus coeficientes de transmisión y reflexión (importantes en el modelado de antenas) surgieron como función de los parámetros propios. Con estos resultados se propusieron varios diseños de celdas unitarias (único elemento de la estructura periódica, pero válido para el análisis electromagnético) y se obtuvieron las curvas S11 de las celdas unitarias propuestas, donde se advirtió que las frecuencias de resonancia bajas dependen del anillo resonador externo y la frecuencia alta es función de la geometría del elemento interno. Finalmente, se encontraron patrones de radiación similares, casi omnidireccionales y relevantes para potenciales aplicaciones en el estándar IEEE 802.11ac y UWB.































