The fall armyworm, Spodoptera frugiperda (J.E. Smith) (Lepidoptera: Noctuidae), is one of the most harmful pests for commercial crops in South America. This species has a polyphagous feeding behavior in around 80 plant species including cotton (Gossypium hirsutum L.), corn (Zea mays L.) and soybean (Glycine max L.) (Barros et al., 2010; Flagel et al., 2018). Because of its diversity in food niches, it is considered sporadic and long-distance migratory, with adult moths that can fly more than 100 km in a single night (Johnson, 1987).
Depending on the growth stage of corn, the larvae of the fall armyworm feed on young leaves, spiral leaves, cobs, husks, and spikes; causing substantial damage to crop that occasionally results in total yield loss. Larger larvae can completely damage the stem base of corn seedlings, acting as cutworms (Sarmento et al., 2002; Goergen et al., 2016).
The extent of the damage caused by this pest depends on the time of planting, the geographic region, and the variety planted, as well as inherent cultural practices in and around the crop plot (Sarmento et al., 2002). The abiotic factors also have a great effect on eggs and mortality of initial larval stages, especially in rainy seasons, although predators also reduce considerably the number of small larvae that normally are present during dry seasons (Varella et al., 2015).
In order to control the insect without using chemical pesticides, insecticidal proteins obtained from the bacteria Bacillus thuringiensis (Bt) and expressed by genetically modified (GM) plants have been used as important field methods since 1996 (Tabashnik et al., 2013). Among these, the Cry1F corn protein that was registered for the first time in 2001 in the United States to control stalk borers and some Noctuidae moths including S. frugiperda (Storer et al., 2010). Moreover, studies carried out by several authors have demonstrated that the gene Cry1F confers resistance to corn (Hardke et al., 2011; Chandrasena et al., 2018). However, currently, Bt proteins are subject to higher selection pressure, and there is a higher risk of target insects, including S. frugiperda, generate resistance because of the high use of Bt crops and the lack of implementation of refuge areas (Storer et al., 2010; Huang et al., 2014; Horikoshi et al., 2016).
As an alternative to this problem, resistance induction experiments have attributed a synergistic effect to the interaction between fertilization with calcium and magnesium silicate and transgenic crops, suggesting a viable alternative for the control of S. frugiperda (De Castro Lourenco et al., 2017). However, there is no record of the population's assessment in genetically modified corn plants in Espinal. Therefore, the current study was conducted with a first objective of establishing the population fluctuation of S. frugiperda larvae with and without Cry1F endotoxin. The second objective was to generate a probability prediction model of larvae and damage presence employing a longitudinal logistic regression during three cultivation cycles.
MATERIALS AND METHODS
Location and plant material
This study was carried out at Nataima Research Center (CI Nataima) of Agrosavia, located in the municipality of El Espinal, department of Tolima, Colombia (4°11'40.48" N, 74°58'04.15" W). Meteorological conditions during the study showed a daily average temperature of 27.6 °C±0.15, a daily average relative humidity of 77.78%±0.68, and daily average precipitation of 3.13±1.11 mm.
Plantings were carried out from May 8th to August 12th, 2014 (first year), from April 17th to July 22nd, 2015 (second year), and from April 12th to July 14th, 2016 (third year). The plant materials used were the corn hybrids 30F35R (with CP4 protein) and 30F35HR (with CP4 and Cry1F endotoxin). The first has not been modified genetically for Lepidoptera resistance, and the second has been genetically modified with Cry1F gene of Bacillus thuringiensis employed for Lepidoptera control.
An experimental design was established with two treatments (without and with transgenesis), in paired plots (blocks) with three replicates and an experimental area of 800 m2 each one. The distance between plants was 0.15 m and 0.85 m between rows, for a total area of 2,500 m2 per treatment including non-experimental areas.
Evaluation of population fIuctuation
Evaluations were conducted 8 days after emergence (DAE) to establish the population fluctuation of the insect pest. A transect of one linear meter was taken as a sampling unit. In each replicate, ten sites were selected randomly, where the sampling frequency was four days, ending at 104 DAE. The response variables evaluated at each site were: total number of plants, number of plants with damage, and the total number of live larvae (Piñango et al., 2007). Crop management did not include insecticide application for S. frugiperda. The fertilization plan was applied based on soil analysis results as following: two applications during the vegetative stage and one application at the beginning of the flowering stage, adding the sources N-P-K with grades 46-0-0, 18-46-0, 0-0-60, and minor elements. Weed control was carried out with direct applications of glyphosate on both varieties.
During the crop growth, the weather station of C.I. Nataima (Ref. Watchdog series 2000), registered the average, maximum and minimum temperatures (°C), average relative humidity (%), solar radiation (W m-2) and accumulated precipitation (mm).
Statistical analysis
An exploratory and descriptive analysis of the fluctuation was carried out for each variable in order to identify population peaks and descents of the highest pest presence periods. An accumulation curve was calculated throughout the entire cycle using the "insect days or cumulative damage" to compare years and hybrids in function of the number of larvae, a technique based on the area under the progression stairs of the curves (AUDPSC) (Castro et al., 2005). This procedure was done in five periods, i.e., at 20, 40, 60, 80, and 104 DAE per year and per hybrid.
According to these results, comparisons were made employing mixed linear models using a randomized complete block design with the combinatorial arrangement of fixed effects (hybrid, periods, and year) and random effects (block). Assumptions were analyzed using graphic diagnostic tests (Q-Q plot and studentized residuals vs. predicted) and the Shapiro-Wilks tests for normality and Levene for homogeneity of variances. In case of non-compliance with homoscedasticity, heteroscedastic variance models were used. This selection of the correct model was made by using the Akaike (AIC) and the Bayesian (BIC) information criteria, and the maximum likelihood value (logLik). Fisher's minimum least significant difference (LSD) test at 5% was used to indicate statistical differences.
From the variables number of larvae and percentage of plants with damage (expressed as the number of affected plants over the total evaluated plants), two indicator variables were calculated, being 1 the indicator of presence and 0 of absence. In each one, a longitudinal logistic model was defined and the probabilities (πi) of larvae or damage in site i were obtained in order to define in which periods the pest is more susceptible to damage. The logit link function was used, and the stepwise, forward, and backward methods were used to select the best model. Moreover, the different models proposed were compared with the likelihood ratio test and the AIC.
Finally, to establish the relationship between weather and the number of larvae, Pearson's correlations were calculated between the number of total larvae and the average, maximum and minimum temperatures (°C), average relative humidity (%), solar radiation (W m-2) and accumulated precipitation (mm). The statistical programs R v.3.4.1 (R Core Team, 2017) and Infostat (Di Rienzo et al., 2016) with the help of the R v.3.4.1 platform for mixed general linear models were used to adjust the models described.
RESULTS AND DISCUSSION
Population fluctuation of S. frugiperda in corn genotypes with and without Cry1F
The population fluctuation of S. frugiperda showed similar behavior for the three evaluation years, finding more larvae in the vegetative stage than in the reproductive stage, with two overlapping generations between both stages (Figure 1). Both genotypes in all assessed years showed the highest peaks at the same time after emergence. In 2014 at 28 DAE there were 5.4±0.47 and 2.6±0.35 average number of larvae in the genotype without and with the Cry1F endotoxin, respectively. Furthermore, in 2015 at 40 DAE there were values of 6.0±0.53 and 2.9±0.31, respectively, and in 2016 at 36 DAE there were values of 2.9±0.45 and 2.9±0.45, respectively. A lower larval population density was observed in the genotype with the Cry1F endotoxin; however, this was not constant for all assessments.

Figure 1 Population fluctuation of S. frugiperda in the corn hybrid 30F35R and the genetically modified hybrid 30F35HR (Cry1F Bt gene). A. Average number of larvae per site in 2014; B. Average number of larvae per site in 2015; C. Average number of larvae per site in 2016.
The number of larval generations of S. frugiperda was similar to the ones found in the study of Valdez-Torres et al. (2012), who found that the fall armyworm showed two generations during corn cultivation. Larvae distribution and eggs of S. frugiperda varied according to the phenological stage of corn (Beserra et al., 2002). The vegetative stage showed greater damage because the first stages of growth are more susceptible to pest attack where the greatest amount of damage, due to S. frugiperda, occurred (Willink et al., 1993). Furthermore, larval populations are more stable throughout this phase and decrease during the beginning of the reproductive phase of corn (Murúa et al., 2006).
The populations found during the reproductive stage usually change their habit towards the reproductive structures of the plant, feeding on tassels and/or boring into the ears (Midega et al., 2018). It generates a positive effect on larval feeding and survival during this stage, being this choice made most probably in the first instars. Besides, corn leaves in this period are not suitable for the development of larvae in the first instars (Pannuti et al., 2015).
The percentage of damage expressed as the number of affected plants per linear meter over the total number of plants (Figure 2) shows that there was a gradual increase until 28 DAE in 2014. This tendency remained until 44 DAE where it descended to 60 DAE. Subsequently, damage expansion was observed, although it was not as high as the one previously seen; and a decrease in the damage was recorded at the end of the cycle. In 2015, fluctuations were observed with a linear upward trend up to 52 DAE where it decreased to 68 DAE, and then, a new increase occurred until 98 DAE, but at the end of the cycle, it declined again. Finally, for 2016, there was a continuous increase until 12 DAE, decreasing notably until 28 DAE where it increased to 40 DAE. From this point onwards, it began to fall until 60 DAE, showing a slight increase at 80 DAE, but then there was a decrease at the end of the cycle.

Figure 2 Percentage of Spodoptera frugiperda damage in corn non-genetically modified (30F35R) and modified genetically with the Cry1F Bt gene (30F35HR). A. Percentage of damage in 2014; B. Percentage of damage in 2015; C. Percentage of damage in 2016.
Concerning climatic factors, a direct linear relationship was observed for both genotypes between the number of larvae and the relative humidity in the three years assessed. In 2014, correlation coefficients of R=0.52 (P=0.0076) and R=0.55 (P=0.0043) were obtained for conventional and transgenic genotypes, respectively. In 2015, R=0.44 (P=0.0280) and R=0.42 (P=0.0348) were obtained, respectively. And in 2016, R=0.44 (P=0.0261) and R=0.43 (P=0.0335) were attained in conventional and transgenic genotypes, respectively.
Regarding the correlation coefficients obtained of larval populations with direct relative humidity found in this study, Clavijo and Notz (1978) reported a correlation coefficient of -0.56. However, that research differs from the current study because the increase of humidity matched the upward population trend of the pest, as well as its relationship with the phenological state (Figure 4). In this regard, Murúa et al. (2006) noted that the fluctuation of the average number of larvae is related to the age and development of the plant.
Comparison of larval accumulation for the periods, year and hybrid
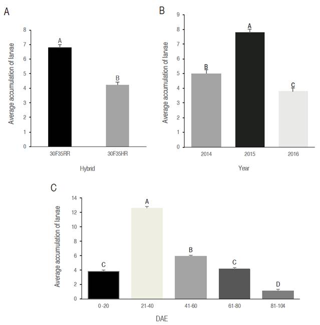
Results showed statistically significant differences between years (F=119.66, df=2, P<0.0001), time periods (F=183.66, df=4, P<0.0001), and hybrid (F=65.08, df=1, P<0.0001) (Figure 3). The accumulation of larvae in the 30F35R hybrid was higher than in the 30F35HR hybrid. Moreover, the period from 21 to 40 DAE showed a higher accumulation of larvae, followed by the period from 41 to 60 DAE. Periods from 0 to 20 DAE and from 61 to 80 DAE did not show differences in accumulation of larvae, and finally, the period from 81 to 104 DAE showed the lowest accumulation of larvae compared to all assessed periods.

Figure 3 Comparison of cumulative area of S. frugiperda larvae. A. Comparison by hybrid; B. Comparison by year; C. DAE periods. Different letters indicate significant differences, according to Fischer's LSD test.
The differences between populations with and without the Cry1F protein gene agrees with what was reported by Hardke et al. (2011), who indicated that the Cry1F endotoxin showed significant reductions in leaf lesions and lower survival compared to corn tissue without Bt. Likewise, Araujo et al. (2012) concluded that the hybrid P 3041YG showed lower damage from S. frugiperda, showing a higher biomass and grain yield compared to the conventional hybrid P 3041.
Other studies using the Cry1Ab protein found that the population growth rate was 50-70% lower for the insects that consumed this corn. Other research also showed that the corn hybrids Agrisure3000 GT, Agrisure Viptera3110, and Agrisure Viptera3111c, which contain the insertion of the Bt gene, were not affected by the fall armyworm compared to the controls (Aguirre et al., 2016; Sousa et al., 2016). In contrast, the results obtained differ from the ones published by Murúa et al. (2009) who reported that Bt and conventional corns in association did not show statistically significant differences against S. frugiperda populations.
Finding populations of S. frugiperda in genetically modified corn could be caused by the sublethal effect and the acquired resistance (Sousa et al., 2016). Niu et al. (2014) reported that in corn plants with the Cry1F endotoxin, resistant larvae survived in 72.9% of the plants after 12-15 days and caused a leaf lesion index of 5.7 (measured according to the Davis scale of 1 to 9). In this case, larvae survival was not significantly different from the observed in non-Bt corn hybrids. It suggests that the developed resistance of RR corn hybrid with Cry1F is handled by a possible combination of biologic, geographic, and operational factors. These factors probably allowed that S. frugiperda evolving resistance to Cry1F (Tabashnik and Carrière, 2007; Storer et al., 2010).
The interaction of larval accumulation overtime per hybrid (F=12.05, df=4, P<0.0001), showed that the 30F35R hybrid in all periods had a higher accumulation of larvae compared to the 30F35HR, and a decrease was observed from the third period onwards (Figure 4).

Figure 4 Comparison of cumulative area of the S. frugiperda larvae in the hybrid and period interaction. Different letters indicate statistically significant differences.
The interaction between time and larval populations is explained by Ayala et al. (2013), who pointed out that the sowing dates affected the infestation levels of S. frugiperda, and early planting avoided high densities of the fall armyworm that develops later in the season. As observed by these same authors, the levels of damage to corn plants were higher after stage V4, which agrees with the 20 to 40 DAE period evaluated in the current study, where there was a higher accumulation of damage. Similarly, Murúa et al. (2006) recorded higher larval densities at the end of the vegetative period.
Longitudinal logistic regression model to establish the probability of larvae and damage presence during the crop cycle
An initial correlation between the presence of larvae and damage was made employing the Spearman's correlation coefficient, which showed an R=0.6740584 (P<0.0001), which indicates a directly proportional relationship between the damage caused by S. frugiperda and the presence of larvae. In order to select the best model for the presence of larvae or damage, the comparison of model 1 that included all the covariables (hybrid, DAE, year) with model 2 (without covariables) was carried out. Employing a likelihood ratio test, these two models were compared showing statistically significant differences (χ2=589.43, P<0.0001), interpreting that it is necessary to include covariables inside the model. Then, model selection was carried out, and all variables were significant making necessary to include them in the model. Afterward, a comparison was made with a third model (saturated), which included all interactions compared to the model without interactions (model 1). Differences between both hybrids were found in the end; therefore, it was fundamental to include the interaction between DAE and year. Thus, model 4 was proposed (Table 1).
Table 1 Comparison and selection of the best model for the presence of S. frugiperda larvae and damage in corn.
When comparing the saturated model 3 and the proposed model 4 using the likelihood ratio test, no differences were found (χ2=0.6783, P=0.8781). Finally, the models with the lowest AIC and with the lowest deviance residual were selected. The model selected for the presence of larvae and damage is as follows:
Thereafter, the probabilities of the presence of Spodoptera frugiperda larvae and damage were calculated as the probability of finding larvae or any damage in the hybrid i, in the days after emergence, and in the year i. For interpretative effects of the highest pest incidence periods, the estimated average probabilities for hybrid and days after emergence in the crop cycle were calculated (Figure 5).

Figure 5 Estimated probability (πi) with standard error obtained with the longitudinal logistic regression model for the genetically modified (Bt) hybrid and the non-modified with Bt hybrid. A. Presence of larvae; B. Presence of damage.
Estimated probabilities show that it is more likely to find larvae and damage in conventional genotypes than in transgenic hybrids. Regarding the number of larvae during the vegetative stage, an increase in probability occurred when reaching 36 DAE that continues until 40 DAE, where it begins to decrease up to 60 DAE. These larvae were found in the vegetative bud and in the leaves. In the reproductive stage, the presence of S. frugiperda larvae increased during flowering, mostly found in the cob insertion axis to the stem, and sometimes in the stigmas (Pannuti et al., 2015).
Regarding damage, when there is no pest management from the initial crop stages, areas with damage can be found in 52% and 72% of the hybrid plants with and without the Cry1F endotoxin, respectively. The damage is maintained to its full potential by the new generations of larvae that are produced up to 40 DAE. From this point onwards, the damage descends and reappears in a lower proportion during the reproductive stage of the crop, affecting stigmas and sometimes, areas inside the cob. A decrease was observed for both larvae and damage presence when reaching 80 DAE due to crop maturation and senescence.
Knowing the probability of larvae and damage presence allows incorporating this result into management strategies. The fall armyworm is a key pest in corn, and its larvae are active during the night as well as during the day, causing continuous damage to corn plants. This insect acts as a cutter, defoliator, and even damages buds. According to their development stage, It produces direct damages when they feed on spike grains (Willink et al., 1993). Genetically modified corn hybrids with the Cry1F endotoxin in this study had a lower probability of larvae and damage presence, because they have shown less damage due to fall armyworm aggressiveness, and there are significant differences compared to the damages shown by the controls (Aguirre et al., 2015).
CONCLUSIONS
Larvae and damage were found in corn plants with the Cry1F endotoxin, and insects show a certain range of resistance to plants with this endotoxin. The presence of larval populations and damage of the fall armyworm (Spodoptera frugiperda) in genetically modified corn plant genotypes needs to increase their monitoring and evaluations; besides, it is necessary to establishing refuge areas. Moreover, optimum sowing dates and phenological stages of the crop are key in order to establish adequate management actions. It is important to develop action plans that consider a baseline of resistance in populations which are not subject to Cry1F in Tolima, evaluating that in the vegetative stage the of corn the susceptibility to S. frugiperda is higher, especially from 20 to 40 DAE.















