Cheese is the generic name for a group of milk-based food products, which is the most diverse group of dairy products (Cerqueira et al., 2010). It is one of the most popular food in the world and is manufactured from milk and non-dairy ingredients such as lactic acid bacteria and enzymes. Recently, cheese consumption has increased considerably; around 36% of the milk produced in the European Union is destined for cheese production (de Oliveira et al., 2017). According to data from the WHO (2019), 600 million - almost 1 in 10 people in the world - fall ill, and 420,000 die after eating contaminated food every year, resulting in the loss of 33 million healthy lives. However, although cheeses are considered safe food, in recent years, there have been reports of diseases associated with cheese consumption. Reports of listeriosis in different countries (Magalhães et al., 2015) have been associated with the presence of Listeria monocytogenes in different types of soft cheeses; therefore, producing safer food is one of the most important priorities nowadays. The food industry has identified the need to explore different methods in order to complement traditional thermal processes such as pasteurization and sterilization, which is the most widely employed method to preserve dairy products. Currently, new preservation technologies such as irradiation, high pressure, the addition of natural preservatives, and innovative packaging methods are being explored, allowing to produce safer foodstuff with extended shelf life. The packaging materials help considerably to protect food from the external environment.
Edible films and coatings provide alternative barrier properties, which contribute to food conservation, the reduction of environmental impact, and, in some cases, cost reduction (Campos et al., 2011). Many studies have focused on the use of polysaccharide-based coatings to extend and improve the shelf-life of fruits and veges (Durango et al., 2006; Ribeiro et al., 2007). These materials have also been studied in dairy products such as cheese. Berti et al. (2019) showed that coatings could be applied in cheese packaging to control the post-processing microbial contamination, evidencing its capacity as a microbiological barrier.
Most edible coatings are made from biopolymers, such as proteins, starches, gums, and lipids. These coatings provide the food product with a barrier which is semipermeable to gases as well as water vapor, thus helping to conserve the textural and sensorial properties of the food product. Additionally, they may contain additives such as antimicrobial and antioxidant agents to extend food shelf life as well as reinforcing compounds (O'Callaghan and Kerry, 2015; Artiga-Artigas et al., 2017; Embuena et al., 2016).
Some natural oils, depending on their source, exert great antimicrobial activity against public health hazard microorganisms (Johnson et al., 2013). Garlic (Allium sativum L.) belongs to the family Liliaceae and is a common spice used widely in many parts of the world. The biological functions of garlic are mainly due to its high content of volatile compounds, such as allicin, diallyl sulfide, diallyl disulfide, and low amounts of nonvolatile water-soluble sulfur compounds. These compounds are responsible for its flavor and biological properties (Du et al., 2009; Rohani et al., 2011; Johnson et al., 2013). Mature intact garlic cloves contain cysteine sulfoxides; when its tissues are broken, the enzyme alliinase is released, converting cysteine sulfoxides into thiosulfinates. When garlic is minced, macerated, or crushed, the alliinase enzyme is activated and acts on alliin to produce allicin. Allicin is the main bioactive compound present in aqueous garlic extract (Kocić-Tanackov et al., 2012). Garlic has been used traditionally as a food preservative to inhibit the growth of pathogens and spoilage microorganisms. Different studies have demonstrated that garlic oil can damage the membrane functions of both gram-positive and gram-negative bacteria (Bacillus cereus, Escherichia coli, Listeria monocytogenes, Salmonella typhimurium, and Staphylococcus aureus). Sung et al. (2014) showed that concentrations between 2, 4, 6, and 8% w/w of garlic oils in plastic packaging were able to reduce the concentration of bacteria, with an inhibition strength of L. monocytogenes>B. thermosphacta>E. coli up to 15 days at 4 °C storage, as compared to a control (Sharma et al., 2013; Sung et al., 2014).
Moreover, extracts from oregano, sage, rosemary, garlic, thyme, and pepper have also been reported to possess antioxidant properties. Experiments on the antimicrobial properties of spices and herbs and their compounds have been well documented and are still currently under research. Generally, oregano oil possesses the strongest antibacterial properties against foodborne pathogens due to its higher concentrations of phenolic compounds such as carvacrol (more than 85% of the oil composition) and thymol. Carvacrol presents a good antibacterial activity because it can cause permeabilization and depolarization of the cytoplasmic membrane (Sharma et al., 2013; Sung et al., 2014; Seydim and Sarikus, 2006).
Considering the potential use of edible coatings that contain antimicrobial compounds for improving perishable food conservation, this research aimed to harness the potential of achira starch, garlic, and oregano oils in the manufacturing of edible coatings to be used on double cream cheese.
MATERIALS AND METHODS
Raw materials
Achira starch was obtained from a local market in Gutierrez, Cundinamarca, Colombia (4°15'00"N, 74°00'00"W); its physicochemical, thermal, and functional properties have been reported by Andrade-Mahecha et al. (2012). Glycerin (Carlo Erba, Luxembourg), microcrystalline cellulose PC105 (Avicel®, FMC Biopolymer, Brazil), and Tween 40 (Merck, Germany) were also used. Fresh oregano leaves (Origanum vulgare var. Lippia origanoides) were acquired in Felidia (Valle del Cauca, Colombia) grown at an average altitude of 1,400 m.a.s.l. Oregano leaves were dried at 43 °C and 61% RH for 72 h until reaching 7% of final humidity content. The dried material was stored in dark bags at room temperature (26 °C). Garlic (Allium sativum) was purchased at the central supply of CAVASA in Candelaria (Valle del Cauca, Colombia). This spice was cultivated at an altitude between 1,700 to 3,000 m.a.s.l. with temperatures ranging between 12 °C and 18 °C in the region of Córdoba (Nariño, Colombia). Fresh garlic cloves (83% of humidity content) were kept at 5 °C in dark bags in order to prevent degradation by light action.
Microwave-assisted hydro-distillation extraction
The oil extraction from the fresh garlic cloves and dried oregano leaves was through microwave-assisted hydro-distillation extraction. The methodology reported by Kimbaris et al. (2006) and Peredo-Luna et al. (2009) was applied using a microwave LG (700W) during 10 and 20 min, respectively. The solvent-solid ratio (mL g-1) was 1:1 for garlic and 3:1 for oregano. The garlic and oregano oils were stored in dark bottles at 5 °C until their use as antimicrobial agents in the manufacturing of edible coatings.
Double cream cheese preparation
Double cream cheese was made according to the NTC5894 procedure (ICONTEC, 2011). Fresh cow milk was acidified using a mixture of citric and lactic acid at a ratio of 8:2. Then, it was coagulated enzymatically using commercial rennet (Danisco, Denmark). The coagulated material was kneaded and stretched at 75 °C to confer desired textural characteristics (chewiness) before the molding. The cheese obtained was molded after one day of its preparation, followed by cut into cubes of 2×2×2 cm for the application of the respective edible coating. Samples of double cream cheese in cubes were kept at 5 °C before the analysis.
Preparation and edible coating application
The edible coating was prepared in a thermal bath at 90 °C (Seydim and Sarikus, 2006; Ramos et al., 2012; Zhong et al., 2014). Achira starch (30 g kg-1 of coating solution) was mixed with distilled water for 30 min. Simultaneously, an aqueous glycerol solution was prepared (250 g kg-1 of dry starch), while magnetic agitation was maintained for 15 min at 32 °C. Microcrystalline cellulose (50 g kg-1 dry starch) was agitated constantly with distilled water for 30 min. For edible coating containing garlic oil, it was mixed garlic oil (40 g kg-1 of dry starch) and tween 40 (500 g kg-1 of oil), maintaining a constant agitation (15 min) at 50 °C. While, for edible coating containing oregano oil (40 g kg-1 of dry starch), this oil was mixed with a different concentration of tween 40 (250 g kg-1 of oil), maintaining a constant agitation (15 min) at 40 °C. When the achira starch solution reached 85±5 °C in a heat bath, then the solutions of microcrystalline cellulose and glycerol were incorporated, maintaining a constant agitation for 15 min. Subsequently, the oil and tween solution were added when the temperature decreased to 60 °C. Two solutions of edible coating for each group (garlic or oregano) were prepared: a solution without garlic oil or oregano oil and others with the addition of garlic oil or oregano oil. All solutions were subjected to an ultrasonic bath for 10 min in order to remove the air bubbles. The samples of double cream cheese in cubes were immersed into the corresponding solution for 1 min, and allowed to dry at 25±1 °C for 10 min. Cheese samples were then divided into two groups (1) Garlic group: cheese without coating or oil (control, C1g), cheese with the coating (C2g) and cheese with the coating incorporated with garlic oil (EXg); and (2) Oregano group: cheese without coating or oil (control, C1o), cheese with the coating (C2o) and cheese with the coating incorporated with oregano oil (EXo).
Physicochemical properties of cheese during storage
The following analyses were performed to evaluate the physicochemical features of the two groups of cheese: weight loss (%), hardness (N), water activity (aw), and color difference (∆E). All the tests were performed in triplicate at storage days 1, 8, 21, and 42 at 5 °C.
Weight loss (%). The cheese samples were weighed on a scale (Metter Toledo- PB-1502, Greifensee, Switzerland) with an accuracy of 0.01 mg. The weight loss percentage was determined according to equation 1.
Hardness (N). This determination was performed using a texture analyzer (EzTest Series SX, Shimadzu, Japan) with a 500 N cell load at a speed of 20 mm min-1 and a penetration depth of 18 mm. The values of hardness were obtained using the Texture Expert software (v. 1.20 S Microsystems).
Water activity (a w ). The water activity of the cheese was measured using water activity equipment (Aqualab, USA). Cheese samples of approximately 0.5 g were used for each repetition.
Color difference (ΔE). The color parameters were evaluated using a por Chroma Meter CR-400 (Minolta Konica, Japan). The color changes on the surface of the cheese were determined using the CIELab scale (where L: lightness, a: red-yellow color, and b: blue-green color) under daylight (D65 illuminant). The total color difference (ΔE) was calculated using equation 2.
Where, L0, a0, b0 correspond to the initial values (day 1 of the storage period) and L, a, b were the values measured throughout the storage period.
Microbiological analyses of cheese during storage
Microbiological analyses such as mold and yeasts (CFU g-1), total coliform bacteria (MPN g-1), fecal coliform bacteria (MPN g-1), detection of Salmonella in 25 g and coagulase positive Staphylococcus aureus (CFU g-1) were performed on days 1, 21, and 42 for control samples (C1g and C1o) and coated cheese samples incorporated with garlic (EXg) and oregano oil (EXo). The results were analyzed according to the requirements established in Resolution 01804/1989 (Ministerio de Salud de Colombia, 1989) for fresh cheese in Colombia.
Sensorial evaluation of cheese during storage
The cheese samples were removed from refrigeration and kept for 5 min at room temperature (25 °C) before the sensorial evaluation. Each panelist received a portion of green apple and a glass of drinking water in order to eliminate the aftertaste between samples. A trained panel conducted the sensorial evaluations in objective and subjective tests. The panel included ten members of both sexes, ages ranging between 20 and 25 years old. Two types of sensorial analyses were conducted on days 1 and 42: the samples that formed the so-called garlic group (C1g, C2g, and EXg) were evaluated using a subjective type test, whose final objective was to determine the accep level of the three cheese samples. The evaluated sensorial attributes were odor, color, fIavor, and hardness. For each sample, the attributes were evaluated using a scale from 1 to 5, in which 1 was the lowest punctuation (“I dislike it very much"), and 5 was the highest punctuation (“I like it very much"). The sensorial evaluation for the oregano group (C1o, C2o, and EXo) was made using an objective test known as “ranking test." For this type of evaluation, the samples were simultaneously handed to each panelist to be evaluated in the following order: C1o, C2o, and EXo. The yellow color intensity, hardness, and fIavor of the samples were evaluated using a scale of 1 to 3, being 1 the lowest punctuation and 3 the highest punctuation.
Statistical analysis
A completely randomized design was used, and analysis of variance (ANOVA) and a Tukey test of multiple comparisons with a significance level of 5% were run using the SAS 9.4® software (USA) to compare the differences between means of the properties of each group. The experiments and analysis were carried out in triplicate and reported as the mean±standard deviation of independent trials.
RESULTS AND DISCUSSION
Physicochemical properties of cheese during storage
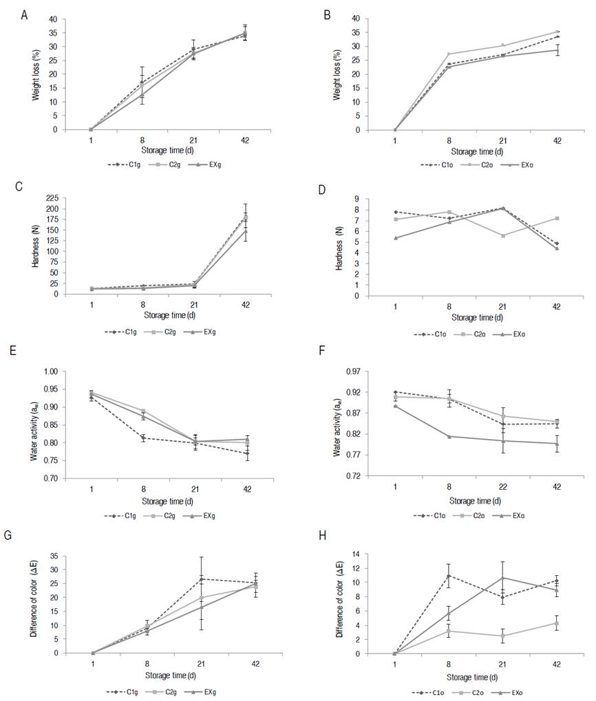
The physicochemical properties behavior of the different samples is shown in Figure 1. Weight loss of the different samples during the storage period evaluated can be seen in Figures 1A and 1B. The samples with an applied coating containing natural garlic (EXg) or oregano (EXo) oils were compared with samples without coating (C1) and with the samples with a coating without any of the natural oils added (C2).

Figure 1 Physicochemical properties (weight loss, hardness, water activity, and total color difference) of the different cheese samples during storage at 5 °C and 85% RH. Garlic group A, C, E, and G. Oregano group B, D, F, and H. Cheese samples: C1 (without coating, control), C2 (coated without incorporation of natural oil), and EX (coating containing garlic or oregano oil). The subscripts “g" and “o" indicate garlic and oregano, respectively.
For the garlic group, there were no significant differences between the samples (P≥0.05). Sample C1g (control without coating) was the one that had the greatest weight loss on day 8 (17% w/w, Figure 1A), followed by samples C2g and EXg (15.9% and 14.3% w/w, respectively). This trend continued up to day 21. On the last day of the evaluated period (day 42), there were no statistically significant differences between the samples (P≥0.05). For the oregano group, the differences observed between the samples (C1o, C2o, and EXo) were not statistically significant (P≥0.05). The sample C2o showed the greatest weight loss on day 8 of evaluation (27.2% w/w, Figure 1B), followed by samples C1o and EXo (23.6% and 22.5% w/w, respectively). This behavior was constant for days 21 and 42. Between the two groups (Figure 1A and 1B), it was observed that samples EXo showed the lowest weight loss as compared to the other samples during the whole storage period. According to these results, the edible coating containing oregano oil (EXo) contributed to decreasing the weight loss of the double cream cheese. This behavior can be attributed to the low permeability of the water vapor vested by the coatings and the hydrophobic nature of essential oils, which decrease the transfer of water molecules to the environment (Geraldine et al., 2008; Ramos et al., 2012; Embuena et al., 2016).
The hardness values for all cheese samples evaluated are shown in Figure 1C and 1D. Cheeses with the coating containing natural oil EXg (125 N) and EXo (3 N) showed lower hardness values than the controls C1g (175 N) and C1o (5 N). However, in Figure 1, it can be observed that there are no significant differences (P≥0.05) between samples with the coating (C2g and EXg), which is directly related to greater weight loss shown by the controls (C1g). Between the two groups (garlic and oregano), EXo samples showed the least hardness on day 42, which is an interesting result for the quality characteristics that the double cream cheese should maintain during storage. These results are similar to the ones shown by Cerqueira et al. (2010), who reported that “Regional" cheese coated with chitosan and galactomannan showed less firmness than the control after 25 days of storage. Likewise, Artiga-Artigas et al. (2017) studied the use of edible coatings with oregano essential oils on low-fat cheeses, finding that the samples with essential oils had less firmness (1 N) after 25 days of storage than the control (3 N). Cheese hardness is influenced by water content and proteolysis; therefore, the incorporation of the coatings decreased the loss of water, maintaining firmness, and the oil decreased the incidence of proteolysis thanks to the possible inhibition of microorganism growth (Zhong et al., 2014; Artiga-Artigas et al., 2017).
In this study, aw was not constant during the storage period, showing a decrease in the two groups. This behavior may happen because the surface reached equilibrium with the surrounding atmosphere (Figures 1E and 1F). For the garlic group samples, significant differences were observed (P≤0.05) between the controls C1g (0.75) with respect to the C2g (0.85) and EXg (0.82) samples on day 42 (Figure 1E). For the oregano group samples, there were significant differences (P≤0.05) among Exo, C1o, and C2o samples on days 8, 21, and 42 (Figure 1F). Between both groups, the best results were obtained for the garlic group (EXg and C2g). These results are attributed to the efficiency of both coatings, which act as a barrier for the gas exchange, guaranteeing less humidity loss for the samples during the evaluated storage period (Cerqueira et al., 2010). The water activity (aw) is known for being the main factor affecting fresh cheese stability, which generally shows water activity close to the unit (Pantaleao et al., 2007). The water activity in food is directly related to weight loss; an excessive loss may cause unwanted alterations in the product (Geraldine et al., 2008).
The color difference results obtained for the different samples showed significant differences (P<0.05) between the controls and the samples with a coating (Figures 1G and 1H). For the garlic group, cheese without coating (C1g) showed the highest values of ∆E (P<0.05). The differences observed between the controls (C1g) and samples with a coating containing garlic oil (EXg) were higher on day 21 (Figure 1G). No significant differences were shown between the samples (P≥0.05) on day 42. Regarding the oregano group, samples without coating (C1o) showed higher values of ∆E compared to the samples with a coating (C2o and EXo) on days 8 and 42 (Figure 1H), these were infIuenced by the rise of the b* coordinate value, which indicates the increase of yellow color. Therefore, high ∆E values in uncoated cheese samples are attributed to possible oxidation, with the coated samples (garlic and oregano) presenting lower ∆E values. These results may show that due to their opacity, the coatings acted as a barrier material to oxygen and to light (Cerqueira et al., 2010; Ramos et al., 2012; Artiga-Artigas et al., 2017).
Microbiological analyses of cheese during storage
The results of the microbiological analyses are reported in Table 1. On day 1, controls (C1g and C1o) and samples with a coating containing natural oils (EXg and EXo), complied with the standards set forth by Colombian Regulation, showing the innocuity and hygiene in the production processes of the double cream cheese and the coatings. The same behavior was observed for all samples on day 21. On day 42, the count of molds and yeasts conducted on the control C1g (no coating) increased (<300 CFU g-1 and <200 CFU g-1, respectively) with relation to days 1 and 21 (<10 CFU g-1). These values, however, are within the maximum range established and accepted (500 max.) by the Colombian Technical Standard (NTC750) (ICONTEC, 1997). When comparing the results of the samples with the coatings containing garlic oil (EXg) and those of samples with the coatings containing oregano oil (EXo), compliance of the microbiological parameters established for the product became evident. These results indicate a possible antimicrobial effect of garlic and oregano oils as a result of the presence of monoterpenes, such as carvacrol in oregano essential oils and organosulfides in garlic, which have been reported as having antimicrobial activity (Sharma et al., 2013; Sung et al., 2014). These compounds act through two possible mechanisms: (1) depolarization of the cytoplasmic membrane, which alters the composition of fatty acids in the membrane of Gram-positive bacteria (Artigas et al., 2017), and (2) imbalance in the intracellular osmotic pressure, causing the cytoplasmic content to escape after damage the wall and membrane (La Storia et al., 2011).
Table 1 Microbiological analysis conducted on samples of double cream cheese uncoated (C1g) and samples coated containing natural oil (EX) on days 1, 21, and 42 of storage at 5 °C and 85% relative humidity.
Other studies have shown the inhibitory effect of garlic oil against the Gram-negative bacteria, such as Salmonella typhimurium and Escherichia coli, and against Gram-positive bacteria, such as Listeria monocytogenes and Staphylococcus aureus (Rohani et al., 2011; Kocić-Tanackov et al., 2012).
Sensorial evaluation of cheese during storage
The sensorial analyses of the different samples were conducted on days 1 and 42. For the garlic group (Table 2), there were no significant differences in odor, color, fIavor, and hardness of the different samples evaluated on day 1 (P<0.05). Regarding the odor attribute, sample EXg was the most accepted by the panelists, grading it with “I like it very much" (56%), as compared to samples C1g (22%) and C2g (11%).
Table 2 Results of sensorial analyses conducted by a group of trained panelists using a 5-point scale, on samples of double cream cheese uncoated (C1g), coated but without natural oil (C2g) and coated containing garlic oil (EXg), on days 1 and 42 of storage at 5 °C and 85% relative humidity*
On day 42, the attributes of odor and color did not show significant differences among samples (P<0.05). For the attribute of fIavor, there were significant differences (P<0.05) being sample EXg the most accepted by the panelists. For the attribute of hardness, there was a significant difference between samples C1g, as compared to samples C2g and EXg (P<0.05). The result indicated that the cheeses with the coatings (C2g and EXg) maintained the desired hardness of the product on day 42, as compared to the samples of cheese without coating (C1g). For the oregano group (Table 3), there were no significant differences in the attributes of yellow color intensity, hardness, and fIavor on day 1 (P<0.05). Regarding the attribute of hardness, samples with the coatings (C2o and EXo) were considered the hardest. Regarding the attribute of fIavor, the sample with a coating containing oregano oil (EXo) scored the highest among panelists.
Table 3 Results of sensorial analyses conducted by a group of trained panelists using a 3-point scale, on samples of double cream cheese uncoated (C1o), coated but without natural oil (C2o) and coated containing oregano oil (EXo), on days 1 and 42 of storage at 5 °C and 85% relative humidity.
On day 42, there were significant differences between samples for the attributes of hardness and the yellow color (P<0.05). The control (C1o) was graded the hardest (P<0.05) and the samples with a coating containing oregano oil (EXo) as the least hard (P<0.05). It is important to mention that double cream cheese must have a semi-hard texture for its acceptance. Regarding the yellow color attribute, the samples coated containing oregano oil (EXo) did not show statistically significant differences as compared with the rest (C1o and C2o), which might indicate that the incorporation of oregano oil in the coating, did not affect the intensity of the color yellow in the product. In general, no marked preferences were found among the different samples evaluated by the panelists, which can be considered positive for the quality and acceptance of double cream cheese (Embuena et al., 2016).
CONCLUSIONS
The use of edible coatings containing oregano oil proved to be the most effective treatment in order to maintain the desired hardness and color for double cream cheese, while also showing the lowest weight loss values in the product. Furthermore, applying coatings containing natural oils (garlic or oregano), favored the acceptance of the sensorial attributes evaluated by the panelists. The results of the microbiological analysis also revealed that incorporating garlic or oregano oil in the coatings was effective in maintaining the microbiological quality of the product. This study showed that the coatings based on achira starch, microcrystalline cellulose, and natural antimicrobial oils can control variations in the physicochemical properties and preserve the microbiological characteristics of the double cream cheese, which are directly related with the sensory quality of this product and its acceptance by consumers after 42 days of storage at 5 °C.















