Hairy fleabane (Conyza bonariensis (L.) Cronq.) is responsible for significant yield losses in many crops in Brazil (Yamashita et al. 2011). It is currently an important weed in pastures and crops, especially wheat, soy, and corn (Silva et al. 2020; Oliveira et al. 2021). The species originates in the subtropical regions of South America and belongs to the Asteraceae family, and it has an annual cycle. There are varieties within the same species, which differ in some botanical characteristics, as is the case of C. bonariensis var. bonariensis with capitulescence corymbiform and frequently flat-topped, while C. bonariensis var. angustifolia has pyramidal capitulescence which can reach up to 1.20 m in height, with a slightly branched and densely leafy stem (Kalsing et al. 2024). Conyza bonariensis var. angustifolia often has narrower leaves in the vegetative stage than those observed at C. bonariensis var. bonariensis.
Conyza bonariensis (L.) has a high potential to produce seeds which germinate in autumn/winter and whose cycle ends in spring and summer (Soares et al. 2017). A single plant can produce more than 800,000 viable seeds (Kaspary et al. 2017). The seeds are easily dispersed by the wind and can reach distances greater than 100 m (Constantin et al. 2013). This fact, combined with the high rate of propagule production, favors the formation of a seed bank (Paula et al. 2011). The high number of seeds in the soil and the fact that this species can easily adapt to different environments (Soares et al. 2017; Vargas et al. 2018) contribute to its success in colonizing cultivated areas at high densities (Paula et al. 2011). The occurrence of high densities of hairy fleabane in crop production areas is the fact that the species has been reported to be resistant to different mechanisms of herbicidal action (Heap 2025), which makes the adoption of chemical control difficult.
Because of the difficulties to hairy fleabane control it is an extremely relevant species for agriculture, as it causes significant losses in crop yield (Agostinetto et al. 2018). Understanding the growth and development of weed species helps to recommend management practices. Several research studies are frequently carried out with the growth of hairy fleabane and need, for example, to determine its leaf area (LA) and the leaf area index (LAI). LA determination is important for the evaluation of photosynthetic capacity and light interception in weed-crop competition (Raniro et al. 2023) and in the contact surface of the herbicide with the leaf. The ratio of the LA to the soil area occupied by the plant can be used to determine the LAI, one of the most used ecophysiological indexes to study leaf growth and development (Schwab et al. 2014).
There are several ways to estimate the LA of plants, but they usually require expensive equipment and, sometimes, destructive methods as well. Then, it can be considered as one of the most difficult growth parameters to be measured. Methods for measurement of the LA can be classified as destructive (direct), in which all the leaves of the plant are usually collected, and non-destructive (indirect), which allows to follow the growth and leaf expansion of the same plant until the end of its productive cycle, i.e., the leaves are not collected (Fang et al. 2019). This way, the leaves are preserved if there is a need for further studies (Olfati et al. 2010). Such a method has been described in cultivated species and weeds, such as Helianthus annuus L. (Aquino et al. 2011), Ipomoea hederifolia and Ipomoea nill (Bianco et al. 2007), based on linear measurements of their leaf blade.
Little is known about non-destructive methods for the determination of the LA of hairy fleabane, and there are no validated equations based on leaf length and width, but this information should be further investigated. Given the lack of reliable non-destructive models for this species, this study aims to determine equations to estimate the LA of two varieties of hairy fleabane according to the linear dimensions of their leaf blades by the non-destructive method.
MATERIALS AND METHODS
The experiment was conducted at the Federal University of Santa Maria, in Santa Maria, state of Rio Grande do Sul, Brazil (latitude: 29°43'23"; longitude 53°43'15"; altitude: 95 m). Local climate is Cfa, according to the Köppen classification, i.e., humid subtropical with hot summers and without a defined dry season (Beck et al. 2018). The present study focused on two botanical varieties of Conyza bonariensis: C. bonariensis var. angustifolia and C. bonariensis var. bonariensis. These two varieties were selected because of their differences in leaf width and leaf length.
To estimate the equations that relate the individual leaf area (LA) to the linear dimensions, 25 perfect leaf blades (without deformations), with an average height of 25 cm, were collected from the basal, intermediate and upper portions of five plants from each of the varieties, immediately before the analysis, when they were growing in the field.
After collection, the length (L) and the largest width (W) of the leaves were measured with the aid of a millimeter ruler, and then each leaf was scanned at 300 dpi. The individual area of each scanned leaf was then calculated using the Quant software, version 1.0.1. Based on the ratio of the LA to the linear dimensions, different types of equations from the linear models were tested: (Equation 1) when using the product of length and width, and predictive power: Equations 2 and 3 when only one of the leaf dimensions was used.
Where LA is the leaf area (cm2), L is the leaf length (cm), W is the largest leaf width (cm), a is the angular coefficient, and b is the predictive power coefficient.
In Equation 1, the angular coefficient (a) was estimated by linear regression, forcing the line to pass through the origin (b=1), which is more advisable, because when the measured area is equal to zero, the calculated area will also be zero. In Equations 2 and 3, the angular coefficient (a) was estimated by non-linear regression; the line tends to pass by the origin, where the coefficient is considered as null.
To test the performance and to validate Equations 1, 2, and 3, another 25 leaf blades (without deformations), with an average height of 25 cm, were collected from the whole parts of the plants to validate the model with leaves of different sizes from 5 plants of each of the varieties found in the field. After collection, the linear dimensions of the leaves were measured, and Equations 1, 2, and 3 were used. The leaves were later scanned, and their area was analyzed using the Quant v software. 1.0.1, as mentioned above.
To evaluate the performance of the Equations, the following statistical indices were used: Root mean square error (RMSE) (Equation 4), index of agreement (dw) (Equation 5), BIAS index (Equation 6), correlation coefficient (r) (Equation 7), index of confidence or performance (c) (Equation 8), as follows.
Where the equations 4, 5, 6, 7, Pi is the estimated LA values (cm2 per leaf), P is the mean of the estimated LA values (cm2 per leaf), Oi is the observed LA values (cm2 per leaf), Ō is the observed mean LA values (cm2 per leaf) and N is the number of observations.
RMSE expresses the mean magnitude of errors estimated by the model (accuracy of interpolation), and the quality of the measured or estimated values is determined through positive numbers and numbers closer to zero (Alves et al. 2011). The BIAS index expresses the mean deviation of the estimated values in comparison to the observed values, thus indicating how much the model is being underestimated (negative value) or overestimated (positive value). Ideally, the value of the study model tends to be zero (De Leite and Andrade 2002). The correlation coefficient (r) measures the degree of linear correlation between two quantitative variables; in this case, if the association of the simulated data in comparison to the observed data is close to one, there will be a greater correlation between the simulated and the observed data, while the values close to 0 indicate absence of linear correlation (Figueiredo and Silva 2010). The confidence or performance index (c) indicates the performance of the methods; the values of this index range from 0.0 for no agreement to 1.0 for perfect agreement between the data (Camargo et al. 1997).
In addition to these statistics, the relationship between data on measured and calculated LA underwent simple regression analysis (Equation 9):
Where a is the linear coefficient (considered as zero in the analysis, to force the model to pass through the origin) and b is the angular coefficient, which must be as close as possible to the unit. The final model that was selected was the one with the highest R2 in the simple linear regression between the values observed and those estimated by the models, which were chosen based on the criteria mentioned above.
RESULTS AND DISCUSSION
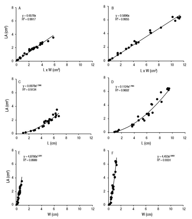
The tests with the three equations used the linear dimensions of the leaves showed a good relationship with the leaf area (LA), with a coefficient (R2) above 0.90. This result indicates that the data fitted the tested models, which were adequate to calculate the LA of hairy fleabane (Figure 1).

Figure 1 Relationship between measured leaf area (cm2) versus the product of length and width (L×W), length (L), and its width (W), for Conyza bonariensis var. angustifolia (A, C, E) and Conyza bonariensis var. bonariensis (B, D, F); the curve and the fitted equation in each panel are models indicated in Equations 1, 2, and 3, respectively.
For Conyza bonariensis var. bonariensis, the equations that used only one linear measure (W or L) were those that presented the lowest values of R2, when compared to the product of its linear dimensions (L×W) (Figure 1). For C. bonariensis var. angustifolia the highest value of R2 was in the equation that used only the linear measurement of leaf length. It should be noted that in situations where only one of the linear dimensions is used as a predictor, coefficient b is greater than 1, which represents a non-linear relationship between the two variables (Schwab et al. 2014). Considering the principle of parsimony and the goodness of fit of simpler models, a univariate model with a linear leaf measurement is particularly valuable, as it can describe the LA of both species simultaneously.
When a simple linear Equation is used with the line passing through the origin, a single correction factor may be established; therefore, the use of such a factor is facilitated from a practical point of view (Bianco et al. 2007). For estimation of the LA of the hairy fleabane varieties, the relation of the product width and length (Equation 1) should be used with the linear equation. The linear model between LA and the product of L and W was also the one that showed the best estimate of the leaf area of gladiolus (Schwab et al. 2014).
Between the two hairy fleabane varieties, coefficient a of the simple linear regression of Equation 1, which represents the correction factor for estimating the LA, ranged from 0.589 to 0.657 (Figure 1). This small difference (0.068) indicates that the leaves of Conyza bonariensis var. angustifolia and Conyza bonariensis var. bonariensis are similar in shape, and a general equation can be used. As a result, a general equation covering the two botanical varieties was fitted: LA=0.6022x (LxW), with R2=0.98, indicating that 60.22% of the area is given by the product of length and width. This general equation was then tested with independent data for each variety, and its performance was assessed using statistical measures of predictive power (Table 1).
Table 1 Statistical measures of predictive power of the equations for estimating the leaf area (LA) of hairy fleabane based on its linear dimensions - length × width (L×W), length (L), and width (W) with independent data.
A comparison between the statistics (RMSE, dw, BIAS, rand c) of performance of the specific variety equations (LA Model = a. (L×W)) and the same statistics but using the general equation (LA Model = 0.6022. (L×W)) showed that, for Conyza bonariensis var. angustifolia and Conyza bonariensis var. bonariensis, the best performance was found when the specific variety equations were used (Table 1). More accurate estimates of the LA were found for Ipomoea hederifolia and Ipomoea nill using specific Equations (Bianco et al. 2007).
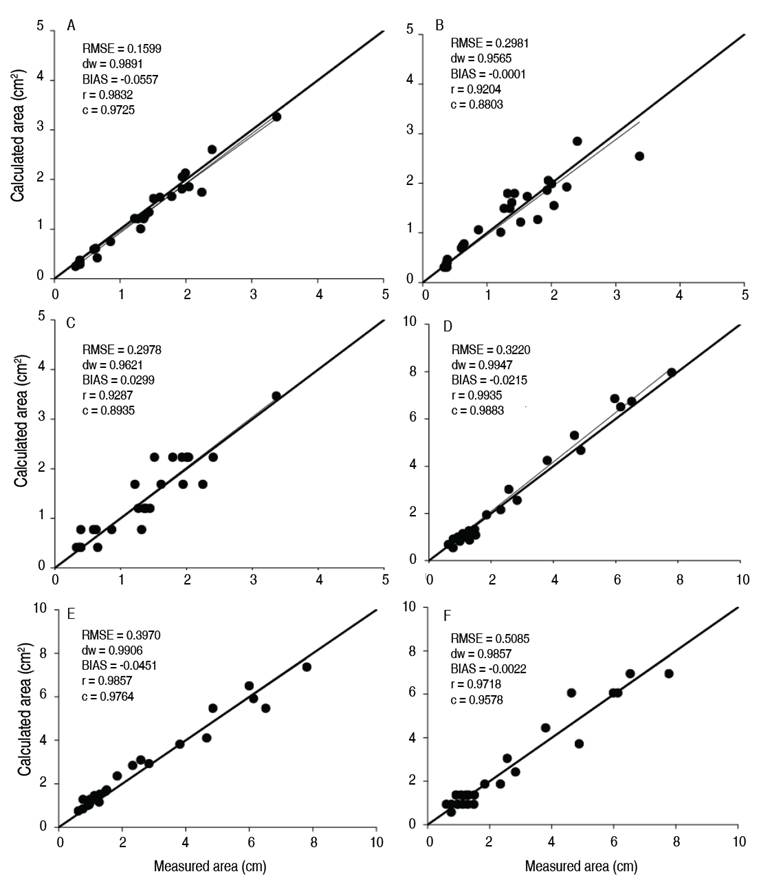
Figure 2 shows the validation of the specific equations for each botanical variety. The analysis of data dispersion in the graphs shows good predictive power of the leaf area of hairy fleabane by measuring the linear dimensions of the product of length and width (L×W) of the leaf; higher RMSE was found for the two botanical varieties (Table 1).

Figure 2 Leaf area calculated by the specific equations, based on the linear dimensions of the product of length and width (L×W.) (A and D), length (L) (B and E), and width (W) (C and F) for Conyza bonariensis var. angustifolia (A, B, C) and Conyza bonariensis var. bonariensis (D, E, F), versus the area of the measured leaf (cm2).
This can be inferred because the points are close to the hypothetical 1:1 line, indicating that the measured area is close to the calculated area, and the angular coefficients of determination (R2) are closer to 1 (Figures 2A, D). It should be noted that there were small dispersions of the data in relation to the lines, which suggests that the specific equations may satisfactorily represent the actual LA.
It can usually be assumed that in the generation and performance of the model, the best result was found with the linear model, and both the specific equations and the general equation obtained in the present study can be used to estimate the LA of Conyza bonariensis. However, the most accurate estimates will be obtained by using the specific equations: LA = 0.6578 × (L×W), for Conyza bonariensis var. angustifolia and LA = 0.5896 × (L×W), for Conyza bonariensis var. bonariensis. The value of the shape coefficient a (Equation 1) obtained for Conyza spp is lower than that values for Ipomea hederifolia (Bianco et al. 2007), and Sida rhombifolia (Bianco et al. 2008).
The Equations obtained in the present study are important tools in studies on plant morphology. They can be used to investigate ecological adaptation, competition with other species, and management effects. Based on the present findings, further research can be conducted with weeds of the genus Conyza, without the need for destructive methods. Accordingly, LA and LAI in hairy fleabane botanical varieties can be reliably estimated through specific equations based on the length and width measurements of all plant leaves. In practice, measuring the length and width of the leaf is sufficient to accurately estimate the LA throughout the entire crop cycle.
CONCLUSION
The non-destructive method, using the linear dimensions of the leaf blades, is appropriate for estimating the LA of hairy fleabane. The equations for specific varieties LA = 0.6578 × (L×W) and LA = 0.5896 × (L×W) for Conyza bonariensis var. angustifolia and Conyza bonariensis var. bonariensis, respectively, were the most accurate for estimating their LA. The equations can be used separately for studies estimating the LA of hairy fleabane in order to accurately and appropriately estimate the parameter for each botanical variety. This is important for improving experimental methods for these important weeds. Future studies could validate these models under field conditions or test their application in other Conyza species, thereby expanding the scientific understanding and practical use of LA estimation in weed ecology.























