INTRODUCCIÓN
Los bosques ribereños han sido fuertemente alterados por el cambio del uso de suelo a nivel mundial (Tanaka et al. 2016). Las comunidades vegetales ribereñas tienen una gran importancia en el mantenimiento de la biodi-versidad y regulación de procesos biológicos y físicos de los ecosistemas asociados a ríos y arroyos. Además, los sistemas ribereños proveen recursos secundarios para la población humana, inspiración cultural y valores emocionales (Camacho-Rico et al. 2006). Estas funciones están relacionadas con la dimensión de la continuidad longitudinal, la composición y estructura de la vegetación de los corredores ribereños (Rosales et al. 2001, Scott et al. 2009, González del Tánago y García de Jalón 2011). Es tal la importancia de estos ecosistemas que a nivel mundial existen diversos estudios que documentan su influencia en el entorno (Naiman y Decamps 1997, Camporeale y Ridolfi 2006, Granados-Sánchez et al. 2006, Dosskey et al. 2010, Zotlina y Verkovich 2012), así como en los cambios temporales y espaciales de la continuidad del sistema ribereño a lo largo de un corredor fluvial, provocado por el cambio de uso de suelo (Wissmar y Beschta 1998, Yang et al. 2011).
Actualmente, se han aplicado algunos métodos para la determinación de la calidad de los ecosistemas ribereños en ríos permanentes tales como: el Riparian Quality Index (González del Tánago et al. 2006), el Índice de Hábitat Fluvial Palma et al. (2009) y el índice Riparian Forest Evaluation (Magdaleno y Martínez 2014). Sin embargo, el índice de calidad del bosque ribereño, QBR, por su abreviatura en catalán (Qualitat del Bosc de Ribera) y en inglés como Riparian Forest Quality, propuesto por Munné et al. (1998, 2003) y Suárez et al. (2002) se ha popularizado (Palma et al. 2009) ya que, entre otras virtudes usa características fácilmente identificables y medibles en campo (Munné et al. 1998, 2003, Suárez et al. 2002).
El índice QBR permite evaluar de forma rápida la calidad de bosques ribereños asociados a los ríos y se ha usado ampliamente en los ríos mediterráneos (Suárez et al. 2002, González del Tánago y García de Jalon 2011), en algunos ríos chilenos (Fernández et al. 2009, Palma et al. 2009), en Ecuador y Perú (Acosta et al. 2009), en Argentina (Kutschker et al. 2009, Fernández et al. 2016), en Colombia (Posada-Posada y Arroyave-Maya c2015) y en una zona templada de México (Rodríguez-Téllez et al. 2012).
En los bosques ribereños de zonas tropicales del sureste mexicano aún es incipiente el uso de este índice, debido a que la riqueza de especies y la complejidad estructural de estos sistemas podría subestimar el resultado. Por ello, el objetivo de la presente investigación fue determinar la calidad del bosque ribereño mediante el índice de QBR relacionándolo con los atributos ecológicos de vegetación ribereña en cinco sitios del río Tacotalpa del sureste de México (estado Tabasco), planteándose además un nuevo aporte en el método. La hipótesis planteada fue que se esperaría encontrar diferencias entre los sitios y que el índice QBR se correlacione con los atributos ecológicos de la vegetación. La combinación de este índice con los atributos ecológicos de vegetación es una herramienta que puede contribuir a generar planes de manejo integral y diseñar estrategias de conservación y restauración para recuperar la continuidad y los servicios ecosistémicos de los corredores ribereños y sus áreas contiguas.
MATERIALES Y MÉTODOS
Área de estudio
El área de estudio corresponde a la subcuenca del río Ta-cotalpa, estado de Tabasco, México, en la parte media de la cuenca Grijalva-Villahermosa (INEGI c2000). El área donde se ubicaron los sitios de estudio pertenecen a la región sierra de Tabasco rodeada al sur, este y oeste con la sierra norte del estado de Chiapas (Ortiz-Pérez et al. 2005) (Fig. 1). Los sitios de estudio se encuentran ubicados en las márgenes del río Tacotalpa perteneciente a la sierra de Tabasco. A lo largo del río Tacotalpa se ubicaron cinco sitios: Tapijulapa (Si, 17°27' Norte, -92°46' Oeste), Arroyo Chispa (S2, 17°26' Norte, -92°45' Oeste), Nuevo Madero, (S3, 17°24' Norte, -92°45 Oeste), Mexiquito, (S4, 17°23' Norte, -92°44' Oeste) y Oxolotán (S5, 17°22' Norte, -92°44' Oeste) entre 211 a 236 m de altitud (Fig. 1). El clima es cálido húmedo con lluvias todo el año (Af), con temperatura pro medio de 269 °C y precipitación media anual de 2458 mm (INEGI c2000). La zona se caracteriza por laderas inclinadas, escarpadas, sobre rocas calizas, lutitas areniscas y sedimentos aluviales en las partes bajas (Zavala-Cruz et al. 2011). Como lo manifiestan Moreno-Jiménez et al. (2019) y Maldonado-Sánchez y Maldonado-Mares (2010), la vegetación original de la zona estuvo compuesta con especies como Brosimum alicastrum Sw., Dialium guianense (Aubl.) Sandwith, Nectandra sp. y Cordia alliodora (Ruíz & Pav.) Oken, pertenecientes a la selva alta perennifolia.
Aplicación del índice de QBR
Para determinar el índice de calidad del bosque ribereño, se establecieron de manera sistemática en cada sitio diez transectos de 10 m de ancho por 100 m de longitud, paralelos a la orilla del río, es decir, el primer transecto se ubicó al azar y el resto fueron distanciados 100 m entre sí. Los criterios para la ubicación de los transectos fueron la facilidad del acceso y la altitud. La evaluación del índice de QBR se realizó con el método de Munné et al. (1998, 2003), quienes plantean evaluar ambas márgenes del río como un conjunto, considerando los cuatro apartados de evaluación: grado de cobertura vegetal, estructura de la cobertura vegetal, calidad de la cobertura vegetal y grado de alteración del canal fluvial. Estos autores mencionan que el valor de cada apartado oscila entre cero y 25 puntos y la suma de los cuatro elementos puede variar de cero a 100 puntos, dependiendo de la condición del bosque ribereño. La puntuación final considera cinco categorías de calidad de acuerdo con los valores finales del índice de QBR que son: pésima, mala o deficiente, intermedia o aceptable, buena y muy buena (Tabla 1). La evaluación fue directa sobre las márgenes del río a un mínimo de 10 m, considerado como zona federal según la Ley de Aguas Nacionales Mexicanas (DOF c2020). El método de Munné et al. (2003) se complementó mediante la inclusión de atributos ecológicos de vegetación ribereña y regeneración natural después de la suma total de los valores del índice de QBR como un aporte para su análisis mediante correlaciones entre los valores del índice de QBR y los atributos de la vegetación.
Tabla 1 Rangos de puntuación de la condición del bosque ribereño del río Tacotalpa, Tabasco, México.

Adaptado de Munné et al. (2003), Acosta et al. (2009), Posada-Posada y Arroyave-Maya (c2015).
Muestreo de vegetación ribereña y regeneración natural
Para complementar el análisis del índice de calidad del bosque ribereño se censaron todos los árboles y arbustos con diámetro a la altura de pecho (DAP) ≥ 1 cm. Para ello, cada transecto se dividió en 10 cuadros de 10 x 10 m. Posteriormente, se seleccionaron al azar dos unidades de muestreo (UM) de 10 x 10 m en cada transecto. En total se registraron 20 unidades de muestreo (UM) por sitio. Para el muestreo de las plantas que están en proceso de regeneración natural, se estableció una UM jerárquica de 1 x 1 m (1m2) dentro de cada cuadro de 10 x 10 m, y se apoyó con el método de Sánchez-Pérez et al. (2011) que consiste en medir todos los individuos arbóreos con altura de < 1,30 m, registrando datos del diámetro a partir de 15 cm sobre el nivel del suelo, altura y densidad de individuos. La identificación de especies se apoyó en los listados florísticos y manuales de identificación de especies leñosas de la región (Gutiérrez 2004, Pennington y Sarukhán 2005, Pérez et al. 2005, Lira-Noriega et al. 2007, Espinoza-Jiménez et al. 2014, Gómez-Domínguez et al. 2015, Moreno-Jiménez et al. 2017). Para asignar el nombre correcto de las especies se utilizó la base de datos The Plant List (TPL c2013). Algunas especies en proceso de regeneración no se lograron determinar, debido a que la mayoría son plántulas sin estructuras reproductivas y por lo tanto, se contabilizaron como morfoespecies.
Diversidad de especies
La diversidad verdadera se analizó con la ecuación de Jost (2006), al elevar el valor del índice de diversidad de Shannon Wiener en exponencial, tal como la siguiente ecuación: 1 D = Exp [-Σpi x ln(pi)], donde 1 D = diversidad verdadera de orden 1, pi = proporción de individuos de la i-ésima especie y se determinó con la siguiente fórmula: pi = ni/N, donde ni = número de individuos de cada especie dividido entre N = número total de individuos de todas las especies registradas por sitio (Moreno et al. 2011). En el análisis, se consideraron el valor de la diversidad verdadera de orden cero (°D) que es equivalente a la riqueza de especies por sitio (S) y el orden 1 (1D) obtenido con el exponencial de Shannon (Moreno et al. 2011, Jost y González-Oreja 2012), mientras que la equitatividad con la ecuación E = H'/Ln (S) (Magurran y McGill 2011).
Análisis estadísticos
Con la finalidad de comparar y determinar diferencias significativas de los valores del índice de QBR, de los atributos de vegetación ribereña con DAP > 1 cm y de regeneración natural con diámetro de < 1,30 cm entre los sitios evaluados se realizó un análisis de varianza de un factor, seguido de pruebas de Tukey (Pérez 2018). Para explorar interacciones y determinar cuál de los atributos ecológicos de vegetación ribereña pueda correlacionarse con el índice de QBR, se realizó un análisis de correlación de Pearson y uno de componentes principales (ACP) entre los valores del índice de QBR con la riqueza, diversidad verdadera de orden 0 y 1, densidad, DAP y altura de las especies vegetales. El ANOVA de un factor y la correlación de Pearson se realizaron en SPSS (Castañeda et al. c2010) y el ACP mediante el programa PAST de Hammer (c2012). Las pruebas estadísticas se realizaron con un nivel de significancia a = 0,05 para el QBR y los atributos ecológicos de vegetación ribereña.
RESULTADOS
Índice de calidad del bosque ribereño (QBR)
Los valores promedio del índice de QBR oscilaron entre 48,40 y 91,10 %, mostrando diferencia significativa entre sitios (F4 45 = 15,39, P < 0,05). El S5 presentó calidad muy buena (91,10 %) y el S4 calidad buena (79,40 %), siendo estadísticamente diferentes con respecto al S1, de condición aceptable (56,60 %), y al S2, de mala calidad (48,40 %). El S3 obtuvo valor intermedio (67,90 %) con calidad aceptable sin diferencia significativa con el S1 y S4, excepto con el S2 y S5 (Fig. 2).

Figura 2 Comparación de medias del índice QBR en cinco sitios en las márgenes del río Tacotalpa, Tabasco. Letras diferentes indican diferencias significativas probadas con un nivel de significancia 0,05. Las barras indican el error típico del índice de QBR en 10 transectos de 10 x 100 m (10,000 m2).
Vegetación ribereña y regeneración natural
La regeneración natural estuvo representada por un total de 1087 individuos, distribuidos en 86 especies, 53 géneros y 26 familias botánicas. Los valores promedio de densidad de individuos, diámetro a la altura de pecho (DAP) y altura de los árboles ribereños con DAP > 1 cm mostraron diferencias significativas entre algunos sitios (P < 0,05). La densidad de los sitios S1 y S4 mostró diferencia significativa frente a los S2 y S5, mientras que el S3 obtuvo un valor intermedio (51,20 individuos) (Tabla 2). El valor promedio del DAP de los árboles ribereños del S2 (11,07 cm) fue mayor y diferente con el S1 (5,68), pero sin diferencia con el resto de los sitios. La Ceiba pentandra (L.) Gaerth fue la especie que aportó mayor diámetro en el S2 (179,53 cm) y Piper sp. (1,33 cm) con el menor diámetro. El S1 presentó menor altura de los árboles (4,73 m) con una diferencia significativa con respecto a los S2, S3 y S5, y sin diferencia significativa con el S4 F4 4_ = 9,07, P < 0,05). Para los atributos ecológicos de regeneración natural no se mostraron diferencias significativas entre los sitios (P > 0,05) (Tabla 2).
Correlación entre el índice de QBR y atributos de vegetación ribereña
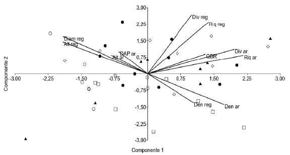
La riqueza (orden 0) y la diversidad de especies (orden 1) se correlacionaron positivamente con el índice de QBR (P < 0,01), es decir, estos atributos podrían aumentar al subir el nivel de calidad del bosque ribereño. El resto de los atributos ecológicos presentaron correlaciones débiles (Tabla 3). Así mismo, el análisis de componentes principales permitió visualizar la asociación entre algunas variables de vegetación ribereña con el índice de calidad del bosque ribereño (QBR). Para ello, se consideraron los primeros tres componentes (valores propios > 1) que en conjunto explican el 65 % de la variación, siendo esta una proporción representativa, y solo se excluye el 35 % de la varianza. La Fig. 3 muestra la disposición espacial de las unidades muestrales sobre un plano cartesiano, siendo estas el 48,97 % de la varianza total de datos. Las variables riqueza, diversidad y densidad para árboles (Div-ar, Riq-ar y Den-ar) y regeneración (Div-reg, Riq-reg y Den-reg), junto con el índice de QBR se correlacionaron positivamente en el componente 1, donde Div-ar y Riq-ar tuvieron valores mayores que el resto (0,39 y 0,43 respectivamente). En el componente 2, el índice de QBR se asoció positivamente con la mayoría de los atributos de vegetación, excepto la densidad de los árboles (Den-ar) y regeneración (Den-reg) ribereños (Fig. 3).
DISCUSIÓN
Índice de Calidad del Bosque Ribereño (QBR)
Las actividades antropogénicas provocan diferentes grados de perturbación en los bosques ribereños (Burton et al. 2005, Pennington et al. 2010, Sunil et al. 2010, Fernández et al. 2016, Díaz-Pascasio et al. 2018). El S2 reafirma este comportamiento al registrar menor promedio de riqueza y diversidad de especies (12,50 y 7,96 respectivamente) (Tabla 3) y mala calidad (48,40 %) (Fig. 2), en comparación con los sitios restantes. Del mismo modo, el índice de QBR disminuye significativamente del S5 (90,10 %) hacia el S2 (48,40 %), siguiendo un patrón de mayor a menor calidad en zonas de menor altitud. Las diferencias significativas que se presentaron entre algunos sitios se deben a un gradiente de perturbación, provocado por las actividades agrícolas, extracción de madera y establecimiento de pastizales para la ganadería en diferentes niveles, formas y superficies, lo cual, influye en la estructura y en la calidad de vegetación ribereña. Esto coincide con el reporte de Palma et al. (2009), Carrasco et al. (2016) y Fernández et al. (2016), quienes registraron variación en los niveles de calidad del bosque ribereño generada por las incidencias antrópicas. Asimismo, otros estudios han reportado que infraestructuras como carreteras y asentamientos humanos cercanos al corredor ribereño causan pérdidas de diversidad de especies vegetales (Moreno-Jiménez et al. 2019), disminuyendo el nivel de calidad de los bosques ribereños (Tüzün y Albayrak 2005).
Vegetación ribereña y regeneración natural
Los valores promedios de densidad, DAP y altura de árboles ribereños mostraron diferencias significativas entre algunos sitios, siendo estas una señal de la dinámica de sucesión vegetal (Tabla 2). Por ejemplo, el S1 registró mayor densidad de árboles (67,90), pero menor en DAP (5,68) y altura (4,73), es decir, se encuentra en una etapa de recuperación temprana que el resto de los sitios. Las especies con mayor densidad fueron Pleuranthodendron lindenii (Turcz) Sleumer, Lonchocarpus hondurenis Benth., Trichilia havanensis Jacq., Hampea nutricia Frixell y Bursera simaruba (L.). Martínez-Ramos y García-Orth (2007) mencionan que estas especies son indicadores de vegetación secundaria. En contraste, el S2 presentó mayor valor promedio del DAP (11,07 cm) que el resto de los sitios, asociado a la incidencia de la ganadería, donde quedan relictos de árboles grandes que fueron dejados como sombra del ganado en las márgenes del río, tal es el caso de la Ceiba pentandra. Los sitios tres, cuatro y cinco registraron valores promedios altos en riqueza y diversidad de especies tanto de árboles como de regeneración, los cuales pueden deberse a las cercanías de los remanentes de vegetación original (Tabla 2). Esto coincide con Araujo Calçada et al. (2013) quienes manifestaron que la cercanía a los remanentes de vegetación original podría favorecer al aumento de especies.
Correlación entre el índice de QBR y atributos de vegetación ribereña
Los valores del índice de QBR mostraron una relación positiva con la riqueza y la diversidad de especies arbóreas (Fig. 2 y Tabla 3), debido a que estos son atributos de vegetación fundamentales para evaluar las condiciones del bosque ribereño. Por lo anterior, se deduce que la riqueza y la diversidad podrían aportar información al índice de QBR en zonas tropicales. Esto coincide con Durigan y Suganuma (2015) quienes argumentaron que la diversidad de especies es uno de los parámetros que permite evaluar las condiciones del bosque. Díaz-Pascasio et al. (2018), también encontraron una relación positiva entre la calidad de la vegetación ribereña y la riqueza y diversidad de especies en un río tropical. La inclusión de estos atributos se asocia con la complejidad en estructura en los bosques ribereños en zonas tropicales frente a las zonas templadas, albergando el 70 % de especies de plantas en el mundo (Cayuela 2006). Por ello, la riqueza y la diversidad de especies como variables complementarias para el índice de QBR, permite conocer con mayor certeza la condición del bosque ribereño, dando mayor soporte y confiabilidad a los resultados para analizar las condiciones ecológicas de estos ambiente en ríos tropicales (Brancalion y Holl 2015, Durigan y Suganuma 2015). En el caso del sitio S5 que tuvo calidad muy buena, de menor DAP y altura que el S2, se debe a que presentó mayor riqueza de especies, diversidad de orden 1 (Tabla 2) y densidad más equitativa (87 %) que el S2 (80 %). Esto sustenta el argumento de Magurran y McGill (2011) quienes mencionaron que la diversidad alta en un sitio está relacionada con un valor alto en el índice de equitatividad de las especies.
Tabla 3 Correlaciones de Pearson entre los valores del Índice de QBR y los atributos estructurales y la diversidad de la vegetación ribereña y regeneración natural.
Riq reg = riqueza de regeneración, Div reg = diversidad de regeneración, Den reg = densidad de individuos de regeneración, Diam reg = diámetro de plantas en regeneración a partir de 15 cm desde la base del suelo, Alt reg = altura de plantas en regeneración. ar = solo para árboles con DAP > 1cm.

Figura 3 Análisis de componentes principales de las variables de vegetación y el índice de QBR en los cinco sitios de muestreo en los márgenes del río Tacotalpa. □ = transectos de S1, ○ = transectos de S2, ◊ = transectos de S3, = transectos de S4, ● = transectos de S5. QBR = índica de calidad del bosque ribereño, Riq reg = riqueza de regeneración, Div reg = diversidad de regeneración, Den reg = densidad de individuos de regeneración, Diam reg = diámetro de plantas en regeneración a partir de 15 cm desde la base del suelo, Alt reg = altura de plantas en regeneración. La terminación ar = corresponde a los árboles con DAP ≥ 1cm.
Con base en los resultados descritos anteriormente se concluye que el índice de QBR demostró que el bosque ribereño está sometido a diferentes presiones de perturbación. Algunos atributos ecológicos de vegetación junto con el índice QBR permiten evaluar el estado de conservación de los bosques ribereños en ríos tropicales. La riqueza y la diversidad de especies podrían dar mayor confiabilidad a los puntajes del índice QBR. Por lo anterior, las correlaciones positivas evidenciaron estas asociaciones. Asimismo, estas interacciones se mostraron en algunos atributos de la vegetación que está en proceso de regeneración natural y de los árboles con DAP > 1 cm (Fig. 3). Por lo tanto, se recomienda que este índice sea utilizado como una herramienta de fácil aplicación en los bosques ribereños, ya que junto con la riqueza y diversidad proporcionan una aproximación al conocimiento del estado de conservación de los bosques ribereños y con ello generar acciones de conservación en sitios de mayor calidad y restauración en sitios de menor calidad para recuperar la estructura y diversidad de especies vegetales a lo largo del corredor ribereño.
















