INTRODUCCIÓN
Perú se considera un país megadiverso por la variedad de ecosistemas, de especies de flora y fauna y por sus recursos genéticos y culturales (Córdova y Moquillaza 2001, Fajardo et al. 2014). En el país se destaca la presencia de plantas de importancia alimenticia y medicinal (De-la-Cruz et al. 2007, Oblitas et al. 2013). Tal es el caso de los árboles del género Cinchona como C. calisaya Wedd., C. officinalis L., C. pubescens Vahl y C. micrantha Ruiz y Pav., cuya corteza contiene alcaloides de quinina, especialmente: quinina, quinidina, cinconina y cinchonidina, los cuales se utilizaron por más de tres siglos como único tratamiento efectivo contra la malaria, igualmente para las arritmias cardiacas, resfriados, fibrilación auricular, tónico eupéptico, catarros y como tónico capilar (García-Barriga 1975, Kaufman y Rúveda 2005, Loayza-O et al. 2010).
Cinchona micrantha fue utilizada durante siglos y sus cortezas fueron exportadas a muchas partes del mundo, pero no se tiene información detallada sobre el impacto que trajo la extracción de corteza de los árboles en las poblaciones de esta especie (Zevallos y Percy 1989). Al igual que otras regiones neotropicales, los bosques andinos con especies de Cinchona han estado sujetos a una enorme presión antropogénica en los últimos 350 años (López 2016), en concreto, los árboles que quedan de C. micrantha fueron dejados después de la conversión del bosque en tierras agrícolas (Zevallos y Percy 1989). Por lo que, es importante conocer aspectos de la biología de esta especie, como su fenología, para poder generar planes de manejo y conservación.
Conocer el comportamiento fenológico de las plantas permite monitorear, comprender y predecir el momento de los eventos biológicos recurrentes relacionados con el clima, como la presencia de hojas, flores, frutos y semillas (Rosenzweig et al. 2008, Veit et al. 2019); lo que resulta de gran importancia en el manejo de los bosques (Cifuentes Gómez et al. 2013) y restauración ecológica, particularmente para recolección de semillas (Morellato et al. 2016). Además, es la base para planear una adecuada época de reproducción y propagación de especies, contribuyendo con ello al mejoramiento y conservación del germoplasma (Cornelius y Ugarte 2010), sumado a esto, los estudios fenológicos permiten una mejor gestión y conservación de los sistemas naturales (Polgar y Primack 2011), asimismo, proporcionan conocimientos clave que pueden incorporarse en modelos predictivos que pronostican escenarios de cambio climático (Morissette et al. 2009, Rosemartin et al. 2014, Mendoza et al. 2017).
Hasta donde sabemos, no existen estudios recientes que describan el comportamiento fenológico de C. micrantha: sin embargo, se han desarrollado otro tipo de estudios botánicos y ecológicos de esta especie (Zevallos y Percy 1989, Aymard et al. 1990, Taylor et al. 2004, Aymard 2019). Esta investigación tuvo como objetivo estudiar la fenología vegetativa, expresada como número de hojas nuevas, hojas maduras, y tiempo de abscisión foliar y reproductiva caracterizada por tiempos de floración, fruto inmaduro, fruto maduro y fruto dehiscente de C. micrantha y correlacionarlas con la temperatura, precipitación y el fotoperiodo en bosques húmedos de la provincia de Jaén, Perú. Como hipótesis nos planteamos que la fenología vegetativa de C. micrantha no presenta un patrón estacional debido a que la especie es perennifolia y que la fenología reproductiva se vea influenciada por los patrones climáticos de la zona de estudio (Villar et al. c2018).
MATERIALES Y MÉTODOS
Área de estudio
La población estudiada de C. micrantha se encuentra en una plantación forestal ubicada en la comunidad de La Cascarilla (5°40'ló,5" Norte y 78°53'11,6" Oeste), provincia de Jaén, Perú. El área tiene una elevación promedio de 1 810 m y corresponde a bosque húmedo premontano (bh-P) (Holdridge 1987), con diversas zonas de cultivo de café y alta vegetación arbórea, como; Cedrela odorata L., Myrsine oligophylla Zahlbr., Retrophyllum rospigliosii Pilg., Myrcianthes rhopaloides (Kunth) McVaugh y Ochroma pyramidale Urb. La precipitación anual es de 1 730 mm, la temperatura mínima de 13 °C y la máxima de 20,5 °C.
Especie de estudio
Cinchona micrantha es una especie anemocórica, de 6 a 10 m de altura con fuste cilíndrico o cilíndrico irregular, de 20 a 35 cm de diámetro; presenta una ramificación simpodial, copa globosa, sus hojas son simples y opuestas, de 7 a 14 cm de longitud y 4 a 10 cm de ancho. Flores en forma de panículas grandes y muy abundantes de hasta 40 cm de longitud, hermafroditas, actinomorfas de hasta 3 cm de longitud; cáliz gamopétalo pequeño de hasta 0,4 cm de largo, con 5 lóbulos, corola gamopétala de color rosada con pubescencia tomentosa de color blanco. La forma del fruto es cápsula oblonga u oblongolanceolada, con dehiscencia acropétala y semillas diminutas aladas (Zevallos y Percy 1989).
Selección de árboles
Mediante un muestreo aleatorio simple se seleccionaron 35 individuos adultos de C. micrantha (diámetro: 4,24 ± 0,58 cm, altura: 5,47 ± 0,74 m), sanos, de fuste recto y en edad reproductiva, esto se determinó mediante la observación de frutos o flores en el árbol (Fournier-O y Charpantier 1975). Estos fueron monitoreados mensualmente de enero a diciembre de 2018. En cada visita se observaron y registraron los cambios en las estructuras vegetativas y reproductivas de los árboles.
Fenología vegetativa y reproductiva
Se consideraron tres fenofases vegetativas: (1) hojas nuevas, desde la aparición de las estípulas hasta que la nervadura central de la hoja adquiere un tonalidad rojiza, (2) hojas maduras, desde que la nervadura central de la hoja adquiere un tonalidad rojiza hasta que toda la hoja se vuelve rojiza y (3) abscisión foliar, desde que toda la hoja se vuelve rojiza hasta que cae; y cuatro fenofases reproductivas: (1) floración, desde la aparición de la estructura reproductiva hasta que las flores hayan caído, (2) fruto inmaduro, desde el comienzo del desarrollo del fruto hasta que los frutos adquieren una tonalidad rojiza, (3) fruto maduro, desde el momento en que los frutos se vuelven rojizos hasta que adquieren un color marrón, y (4) fruto dehiscente, desde que los frutos adquieren un color marrón hasta que se realiza la apertura de los frutos y dispersión de las semillas. El registro de las fenofases fue desarrollado por un único observador, quien se encargó de caracterizar la copa de cada uno de los árboles, determinando la presencia y la intensidad del fenómeno. Para cada mes se estimó el porcentaje de individuos en cada fenofase (número de individuos en fenofase/total de individuos X100); la intensidad de los eventos fenológicos se determinó individualmente mediante una escala semicuantitativa de cinco categorías (cero a cuatro), con intervalo del 25 % entre ellos, donde: cero indica ausencia total del evento, uno de 1 a 25 %, dos de 26 a 50 %, tres de 51 a 75 % y cuatro de 76 a 100 % (Fournier 1976, García y Di Stefano 2005, Pineda-Herrera et al. 2012b). El resultado mensual de las observaciones a los árboles se promedió para cada característica en toda la muestra. Estos valores definen la presencia y la intensidad de las variables vegetativas y reproductivas del estudio, denominándose Unidades de Fournier (UF).

Figura 1 Precipitación (mm) y temperatura media anual (ºC) de la zona durante el periodo de enero a diciembre de 2018.
Adicionalmente, se determinó el Índice de Solapamiento de Fenofases (ISF) mediante la ecuación de solapamiento de nicho de Pianka (1986):
donde p = proporción de individuos mostrando una fenofase dada en el episodio i de monitoreo respecto a la suma de individuos mostrando dicha fenofase en n episodios de monitoreo, con j y k como subscritos del par de fenofases comparadas. Valores de ISF cercanos a uno indican total solapamiento de fenofases y valores de ISF cercanos a cero indican escaso solapamiento.
Fenología y factores abióticos
Para relacionar las fenofases de C. micrantha con algunos factores abióticos se utilizaron datos de fotoperiodo extraídos de la Administración Nacional Oceánica y Atmosférica (NOAA, por sus siglas en inglés) y de precipitación (mm) y temperatura máxima, mínima y media (°C) extraídos de la estación meteorológica La Cascarilla (5°40'18,3'' Norte y 78°53'51,6'' Oeste) que pertenece al Servicio Nacional de Meteorología e Hidrología (SENAMHI) del Perú, ubicada a 2 km al oeste en línea recta del área de estudio.
Análisis de datos
Para relacionar las variables fenológicas con la temperatura, precipitación y el fotoperiodo se usó la prueba de correlación de Spearman debido a que los datos fenológicos no cumplen con una distribución normal. Se utilizó la media de cada fenofase con la media de la temperatura mínima, máxima, precipitación mensual y fotoperiodo para los meses de estudio, con ayuda del software StatGraphics Centurion XVI (StatPoint Technologies Inc, Warrenton, VA, EE. UU.), además, se realizó un dendrofenograma según lo propuesto por Fournier (1976).
RESULTADOS
Descripción climática
La temperatura mensual promedio fue de 16,6 °C y la precipitación mensual promedio fue de 160,7 mm. La mayor precipitación ocurrió en noviembre, y los niveles más bajos de lluvia ocurrieron de junio a septiembre, los meses más cálidos fueron septiembre, octubre y noviembre y el más frío fue diciembre (Fig. 1).
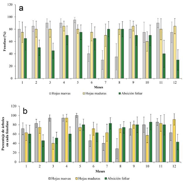
Fenología vegetativa y reproductiva
Se produjeron hojas nuevas durante todo el año con un mínimo entre junio y agosto. La fenofase de hojas maduras tiene una tendencia de producción relativamente uniforme a lo largo del año, mientras que la fenofase de absci-sión foliar registra sus valores más altos en julio y agosto (Fig. 2). Variación temporal de caracteres reproductivos en C. micrantha registradas entre enero y diciembre de 2018 en la comunidad de La Cascarilla, Jaén, Perú. a. Distribución porcentual de fenofases reproductivas, b. manifestación de variables biológicas reproductivas.
Se encontró una correlación positiva entre la precipitación y la temperatura mínima y la fenofase hojas nuevas (rs= 0,72, P= 0,02 y rs= 0,75, P= 0,01 respectivamente). Se apreció una correlación negativa entre la defoliación, floración y fruto inmaduro con el fotoperiodo (r s = -0,71, P= 0,01; r s = -0,85, P= 0,004 y r s = -0,91, P= 0,002 respectivamente) (Tabla 1).
Tabla 1 Coeficientes de correlación entre las variables climáticas y las fenofases de C. micrantha. * Significancia con un P<0,05.
El ciclo productivo, desde la aparición de botones florales hasta la dehiscencia de las semillas, duró doce meses. El periodo de floración comprende de febrero a agosto, con un pico en junio, los frutos maduros aparecieron cuatro meses después de que brotaron las flores, con un pico de producción en agosto, esta etapa duró aproximadamente seis meses, mientras que la dehiscencia de los frutos duró cinco meses después del inicio de la fructificación (fruto inmaduro), periodo comprendido entre agosto y diciembre (Fig. 3). Variación temporal de caracteres reproductivos en C. micrantha registradas entre enero y diciembre de 2018 en la comunidad de La Cascarilla, Jaén, Perú. a. Distribución porcentual de fenofases reproductivas, b. manifestación de variables biológicas reproductivas.

Figura 3 Variación temporal de caracteres reproductivos en C. micrantha registradas entre enero y diciembre de 2018 en la comunidad de La Cascarilla, Jaén, Perú. a. Distribución porcentual de fenofases reproductivas, b. Manifestación de variables biológicas reproductivas.
Hubo una correlación negativa entre la precipitación y temperatura mínima con la fenofase de fruto maduro (rs= -0,61, P=0,04 y rs= -0,60, P=0,05 respectivamente) (Tabla 1).
Se apreció una elevada sincronía entre las fenofases vegetativas (ISF = 0,93 y 0,96) y entre la abscisión foliar con las fenofases reproductivas (ISF = 0,70 a 0,75), además de la fenofase fruto maduro con las fenofase de fruto dehiscente (ISF = 0,74). Mientras que se observó baja sincronía entre la fenofase de hojas nuevas y hojas maduras con las fenofases reproductivas (ISF = 0,48 a 0,64) excepto entre la fenofase de hojas maduras y la floración (ISF = 0,70). Se observó también una baja sincronía entre la floración y las fenofases de fruto maduro y fruto dehiscente (ISF = 0,09 y 0,41) (Tabla 2).
DISCUSIÓN
Los resultados muestran una correlación positiva entre la producción de hojas nuevas con la precipitación, esto nos sugiere que la cantidad de follaje podría incrementarse en función de la cantidad de agua que las plantas absorban (Wright 1991, Eamus y Prior 2001, Schenk y Jackson 2002), además, se observó una correlación positiva entre la fenofase de hojas nuevas con la temperatura mínima, la cual se relaciona con la intensificación de la actividad foto-sintética por debajo de un umbral de demanda evaporativa (Prieto et al. 2009, Seghieri et al. 2012) esto es consistente con nuestros resultados sobre la probabilidad de aparición de hojas nuevas debido a que la demanda de evaporación depende de la temperatura del aire, en tal sentido, a menor evaporación la probabilidad de aparición de hojas nuevas es mayor (Seghieri et al. 2012).
Se observaron hojas maduras en la época húmeda y seca, lo que la clasifica como una fenofase continua (Newstrom et al. 1994). Las hojas producidas en la época seca tienen mayores concentraciones de N y P lo que resulta en un incremento en la eficiencia de carboxilación de las hojas y consecuentemente una mayor eficiencia en el uso del agua por las plantas (Franco et al. 2005). Cinchona micrantha presentó caída de hojas durante todo el año, con picos de defoliación durante la estación seca, esto se debe a que la defoliación representa una adaptación contra la pérdida de agua lo que asegura la supervivencia de la especie en periodos desfavorables, ya que se reduce la superficie de absorción, se mantiene el agua de reserva (Taiz y Zeiger 2002, López et al. 2005) y se maximiza la eficiencia de la adquisición de nutrientes por parte de la planta (Reich y Borchert 1988, Franco et al. 2005).
La floración mostró una relación negativa con el fotoperíodo, esto puede resultar en un detonante de la actividad reproductiva, ya que pueden utilizar agua previamente almacenada o absorber el agua del suelo mediante un sistema de raíces profundas (Rivera et al. 2002, Borchert et al. 2004). Esta fenofase se manifestó desde febrero hasta agosto, periodo que abarca una época lluviosa (enero a mayo) y una época seca (junio a septiembre), cuyo pico de floración fue en junio, la coincidencia entre la floración y la variación ambiental estacional puede estar asociada con el aumento de la actividad de los polinizadores, especialmente de los insectos, lo que nos sugiere que el clima es tanto una señal inmediata como una causa última de los patrones de floración (Boulter et al. 2006); además, la abundancia de insectos durante la estación húmeda en un sitio de tierras altas dentro de los trópicos húmedos se ha correlacionado con aumentos estacionales en recursos como flores, hojas nuevas y frutos (Frith y Frith 1985).
Los resultados de este estudio sugieren que el inicio de la fructificación (fruto inmaduro) se da en un periodo con abundantes precipitaciones, este patrón permite comprender la influencia de la humedad del sitio sobre la cantidad y tamaño de las estructuras reproductivas, ya que es vital en el transporte de nutrientes para la formación de frutos (Kramer y Boyer 1995), la máxima producción de fruto inmaduro y fruto maduro se produjeron en la época seca (junio a septiembre), este resultado se relaciona con lo reportado por Knowles et al. (1995) quienes descubrieron que muchas de las especies anemocóricas, como C. micrantha, dan fruto en la estación seca, asimismo la fenofase fruto dehiscente se inició en esta época y coincide con el periodo de mayor abscisión foliar, lo que resulta ventajoso para esta especie ya que la dispersión de las semillas se favorece durante períodos más secos, debido a que la baja humedad del aire, el aumento de la velocidad del viento y la reducción de la cobertura foliar facilitan la apertura de los frutos y dispersión de las semillas (Frankie et al. 1974, Oliveira y Moreira 1992). Según Newstrom et al. (1994) las fenofases reproductivas se clasifican como anuales, ya que la presencia de estas ocurre durante algunos meses seguidos por un periodo de ausencia.
En conclusión, nuestro estudio sugiere que C. micrantha no presenta un patrón fenológico estacional para las fenofases vegetativas debido a que es una especie perennifolia mientras que las fenofases reproductivas si se asocian con el comportamiento de la temperatura y la precipitación y se ve influenciada por el fotoperiodo. No obstante, los factores bióticos, como los polinizadores, también podrían tener influencia sobre la fenofase reproductiva de floración. Mediciones similares en otras poblaciones de la especie podrían mostrar la generalidad del patrón detectado o sus variantes geográficas.

















