INTRODUCCIÓN
En los bosques tropicales estacionalmente secos (BTES) las plantas están expuestas a cambios en la calidad y abundancia de los recursos que participan en la activación de sus cambios fenológicos (Lieberman 1982, Springate y Kover 2014). Aun cuando la información disponible sugiere que ningún factor ambiental único es responsable del tipo o el momento de los eventos fenológicos en las especies tropicales, el estrés hídrico es citado con mayor frecuencia como un componente primario (Murphy y Lugo 1986, Bordiert 1996, Borchert et al. 2004, Singh y Kushwaha 2006, Enquist y Leffler 2013, Wolkovich et al. 2014, Lasky et al. 2016). Al respecto, se ha sugerido que los cambios estacionales en el estado del agua y capacidad de almacenamiento de agua de las especies arbóreas y la fenología están altamente correlacionados (Borchert 1994) y que existe un vínculo entre las variaciones en la fenología de las especies y la variación interanual en la precipitación (Reich y Borchert 1984, Borchert et al. 2004); sin embargo, el rol de la estacionalidad de las lluvias como mediador de la fenología aún no se aclara (Lasky et al. 2016).
La variación en la mayoría de los eventos fenológicos es grande entre especies y entre individuos de la misma especie (Murphy y Lugo 1986). Las especies de árboles tropicales responden individualmente a los cambios en el clima local y regional (Enquist y Enquist 2011). Algunos estudios en bosques secos sugieren una relación positiva entre la fenología y la temperatura (Martos et al. 2009), mientras que en otros ella se da con la precipitación (Lieberman 1982, Reich y Borchert 1984, Borchert 1994) o casos donde es poco probable que las variaciones en las temperaturas afecten el desarrollo de los árboles (Borchert 1994). Pese a que se ha explorado la influencia de los factores abióticos sobre la fenología en los bosques secos a nivel de las comunidades (Lasky et al. 2016, Cortés-Flores et al. 2017); la influencia de estos dos factores abióticos con la fenología aún no es clara para muchas especies de los BTES.
Una de las especies más abundante y frecuente en los BTES es Colicodendron scabridum (Kunth) Seem. (Linares-Palomino 2006) y se la ha considerado como especie indicadora de la comunidad semi-desierto en el bosque seco, donde las variables edáficas son más importantes que el promedio anual de lluvia en influir la distribución de especies de árboles (Muenchow et al. 2013). Esta especie, conocida como "sapote" se distribuye en el Norte del Perú y Sur del Ecuador entre los cero y 2500 m de altitud (Linares-Palomino 2006, Rodríguez-Rodríguez et al. 2007). En el Perú su área de dispersión natural ocupa los Departamentos de Tumbes, Piura, Lambayeque, La Libertad y Ancash (Brako y Zarucchi 1993, Rodríguez-Rodríguez et al. 2007). La densidad de individuos es variable; particularmente, en la zona de Batán Grande (Bosque seco Denso de Llanura), se han registrado entre 30-40 árboles por hectárea (Proyecto Algarrobo 2003). De hábito arbustivo, mata postrada o árbol, puede presentar más de un tallo. La floración ha sido reportada entre los meses de mayo y octubre, y la fructificación, entre setiembre y febrero (Galindo et al. 2015).
En Perú la especie se encuentra bajo la categoría "en peligro" (EN) (Decreto Supremo N° 043-2006-AG) debido al deterioro de su hábitat y al uso insostenible de su madera para artesanía, leña y carbón. Además de contribuir con la economía local por la variedad de usos que presenta (Gutierrez Miranda 2019), recientemente se han realizado estudios que documentan su uso alternativo mediante el aprovechamiento de la goma, polisacárido de cadena larga que brota de heridas o cortes del tallo del árbol, como emulsionante, espesante y estabilizante (Rodríguez et al. 1996, Herz y Gonzáles 2015). El estado de conservación de las poblaciones de C. scabridum tiene que ver además con las poblaciones del oso andino (Tremarctos ornatus (F.G. Cuvier, 1825)), para quien representan un recurso alimenticio importante (Appleton et al. 2018).
El presente estudio tiene por objetivo contribuir al conocimiento de la fenología reproductiva de Colicodendron scabridum, sapote, mediante el estudio de su relación con la temperatura y precipitación; y la exploración de la relación entre la floración y fructificación y el diámetro de los árboles. Aspectos que tienen implicancias en la conservación de la especie.
MATERIALES Y MÉTODOS
Ámbito de estudio
El área de estudio se ubica aproximadamente a 50 km al noreste de la ciudad de Chiclayo, cerca al Centro Poblado Batán Grande en la Provincia de Ferreñafe, Departamento de Lambayeque y abarca aproximadamente 100 km2 de colinas entre 200 a 1400 m de altitud (6°26'30" Sur 79°34'0" Oeste; Fig. 1). Esta serie de colinas comprende tres picos conectados, Cerro del Venado, Cerro Calabozo, y Cerro Motupillo ubicados en la cuenca hidrográfica del río La Leche. Los valles son profundos y contienen cantos rodados y angostos lechos de arroyo secos. Algunos contienen pequeños manantiales durante todo el año. Predomina vegetación típica de los BTES, en donde son comunes Acacia macracantha Willd., Bursera graveo lens (Kunth) Triana & Planch., Libidibia glabrata (Kunth) C. Castellanos & G.P. Lewis, Colicodendron scabridum (Kunth) Seem., Beautempsia avicenniifolia (Kunth) Gaudich., Cordia lutea Lam., Eriotheca ruizii (K. Schum.) A. Robyns, Loxopterygium huasango Spruce ex Engl. y Parkinsonia praecox (Ruiz & Pav. ex Hook.) Hawkins.

Figura 1 Ubicación de los transectos en el área de estudio. D= Dibujos, V= Virgen, Mo= Motupillo, P= Papayo Desaguadero, Pt= Playa Traposa, Ta= Traposa y My= Mayascón.
La duración del día en Cerro Venado varía solo 45 minutos en todo el año, con un cambio diario máximo de dos minutos. En 238 de los días del año (65,2 %) la duración de la luz del sol cambia menos de un minuto en relación al día anterior. Debido a esto, no se consideró la variación en la luz del día como un factor importante en la fenología de C. scabridum en Cerro Venado.
La temperatura media anual es 19 °C y la precipitación media anual de 279 mm (SENAMHI c2018). Una pequeña cantidad de fuentes, como arroyos y pequeños manantiales, proporcionan agua durante todo el año (Appleton et al. 2018).
La zona es hábitat del oso andino (Tremarctos ornatus), especie vulnerable, quien se desplaza entre las pendientes, crestas pronunciadas y las zonas de baja elevación en donde encuentra los frutos del C. scabridum estacionalmente disponibles (Appleton et al. 2018).
Muestreo
Se instalaron siete transectos de 2 m x 300 m en lugares con presencia suficientemente importante de la planta para ubicar quince individuos por transecto, con una distancia mínima de 25 m entre ellos para asegure la separación de las copas, que pueden superar los 10 m de diámetro. Los transectos fueron distribuidos en siete zonas de muestreo conocidas localmente como Dibujos (D), Virgen (V), Motupillo (Mo), Papayo Desaguadero (P), Playa Traposa (Pt), Traposa (Ta) y Mayascón (My), ubicadas entre 257 y 353 m de altitud (Fig. 1). Las áreas son de superficie ligeramente ondulada, y cercanas a cursos de agua temporales. La vegetación es principalmente arbustiva y menos densa en los transectos de Dibujos, Virgen y Motupillo.
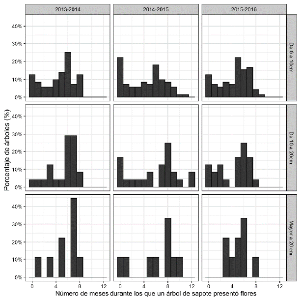
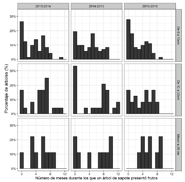
Se midió el diámetro a la altura de pecho (DAP=1,3 cm desde la superficie del suelo) de cada individuo. Se establecieron clases diamétricas de 10 cm para mostrar el comportamiento de la floración y la fructificación por frecuencia de árboles y duración. Se registró la presencia de floración y fructificación. El registro fue mensual durante 36 meses entre abril de 2013 y marzo de 2016. También se registró la presencia de flores y frutos caídos para verificar la ocurrencia de ambas fases.
Los registros de precipitación (milímetros) y la temperatura máxima y mínima (grados centígrados) fueron descargados de la plataforma del Servicio Nacional de Meteorología e Hidrología del Perú - SENAMHI (c2016, c2018) para la Estación Puchaca a 11 - 19 km al noreste del área de estudio (6°21'1" Sur, 79°28'1" Oeste). Se comparó el comportamiento de la floración y fructificación entre tres períodos de doce meses, cada uno entre abril y marzo del año siguiente. La relación entre la temperatura promedio mensual y la precipitación mensual con los eventos de floración y fructificación se evaluó mediante una prueba de correlación cruzada. Previamente se corroboró la estacionalidad de las variables mediante la prueba de Dickey Fuller Aumentada (AFD) (Guevara Diaz 2014). Todos los análisis estadísticos se realizaron con el ambiente de programación R (R Core Team c2020).
RESULTADOS
Floración y fructificación
La floración en Cerro Venado se prolonga hasta por doce meses durante el año. No obstante, en la mayoría de casos el número de árboles que mantiene flores por más de seis meses no supera el 20 %. Este comportamiento es similar en los siete sitios evaluados. Los promedios anuales de meses que un árbol presenta flores son de 4,73 (2013 - 2014), 4,78 (2014 - 2015) y 4,48 (2015 - 2016); sin embargo, la duración de la floración por árbol es muy variable, el coeficiente de variación (CV) es mayor a 50 %. Al mismo tiempo, el número de meses que un árbol presentó flores por sitio fue distinto en los tres períodos evaluados (Fig. 2).

Figura 2 Comportamiento de la floración del sapote por sitio. D= Dibujos, Mo= Motupillo, My= Mayascón, P= Papayo Desaguadero, Pt= Playa Traposa, Ta= Traposa y V= Virgen.
Los períodos de fructificación por árbol son más cortos que los de floración. El promedio de meses que un árbol presentó frutos es de 3,9 (2013 - 2014), 4,4 (2014 - 2015) y 3,24 (2015 - 2016); sin embargo, la duración de la fructificación por árbol es extremadamente variable, el CV es mayor al 70 % en los tres casos. El número de meses que un árbol fructifica por sitio es distinto entre los tres períodos. En 2013 -2014 se presentaron los períodos de fructificación más cortos, cuando sólo en dos sitios menos del 10 % de los árboles presentaron frutos por más de ocho meses (Fig. 3).

Figura 3 Comportamiento de fructificación del sapote por sitio. D= Dibujos, Mo= Motupillo, My= Mayascón, P= Papayo Desaguadero, Pt= Playa Traposa, Ta= Traposa y V= Virgen.
Floración y fructificación en relación con la temperatura
De 2006 a 2016 la temperatura promedio desciende entre abril y mayo y se incrementa a partir de noviembre, con un intervalo de variación de 6 °C (Fig. 4). Las temperaturas máximas oscilan entre 27 °C y 30 °C, con cierta uniformidad en el periodo de estudio; esta misma tendencia se observa en las temperaturas mínimas, que estuvieron entre 14 °C y 21 °C.

Figura 4 Promedio ± ee (error estándar; °C) de la temperatura mínima, la temperatura máxima, la temperatura promedio, y precipitación promedio (mm) de abril 2006 a marzo 2016 en la zona de estudio.
La frecuencia de árboles con flores es mayor cuando la temperatura es menor y viceversa. Existe una correlación inversa entre la temperatura y la floración. El mayor coeficiente de correlación es -0,82 y se da en el lag o desfase mensual 0, sobrepasando el límite de confianza del 95 %. El segundo coeficiente más alto ocurre en el lag positivo 1 con un valor de -0,7, lo que indica una alta correlación entre la precipitación y la floración registrada después de un mes (Fig. 5). Por el contrario, la frecuencia de árboles con frutos es mayor conforme la temperatura se incrementa y viceversa (Fig. 5). La producción de frutos ocurre, en promedio, tres meses después de la floración. Más del 50 % de los árboles produce frutos (Fig. 6).

Figura 5 Desfase mensual (lags) entre la floración y fructificación del sapote con la temperatura y precipitación.

Figura 6 Floración (%), fructificación (%) y temperatura (ºC) del sapote entre abril 2013-marzo 2016.
Floración y fructificación en relación con la precipitación
La precipitación tiene un marcado comportamiento estacional. Los datos promedio muestran que los meses de mayor precipitación son febrero y marzo (Fig. 4); sin embargo, hay variaciones importantes en cada período. Durante los meses de mayor precipitación en 2014 y 2016 los valores no superaron los 50 mm por mes. Un caso excepcional ocurrió en 2015 registrándose 245 mm en el mes de febrero.
Durante los meses de mayor precipitación florecieron menos del 23 % de los árboles (0 - 24 individuos). Mientras que durante los meses de menor precipitación la floración alcanza mayor frecuencia entre julio y setiembre en 2013, julio y agosto de 2014 y de junio a octubre de 2015, cuando florecen entre el 42 % y 62 % de los árboles (Fig. 7).

Figura 7 Floración (%), fructificación (%) y precipitación (mm) del sapote entre abril 2013-marzo 2016.
Desde los meses de menor precipitación (junio y octubre) la frecuencia de árboles con frutos se incrementó paulatinamente hasta alcanzar los meses de mayor precipitación (febrero-mayo) (Fig. 7); no obstante, el análisis del coeficiente de correlación cruzada no se evidencia relación entre la precipitación y la floración, ni con la fructificación (Fig. 5).
Floración y fructificación por clases diamétricas (CD)
Los 105 árboles evaluados presentan diámetros (DAP) entre 2,5 y 87 cm. El número de árboles disminuye conforme el diámetro se incrementa (CD1: 52; CD2: 35; CD3: 18). El número promedio de meses que un árbol presenta flores por clase diamétrica es de 4,35 (CD1), 5,17(CD2) y 5,59 (CD3); con un bajo porcentaje (12 %) de aquellos que muestran floración por más de ocho meses en las tres clases diamétricas (Fig. 8). No obstante, la duración de la floración por árbol es muy variable en las tres clases diamétricas (CV: 63,5 (CD1); 57,8 (CD2); 45,3 (CD3)). La duración promedio de la fructificación es mayor en los árboles con mayor diámetro (CD1: 3,3; CD2: 4,86; CD3: 5,52 meses) y hay mayor variabilidad en las clases 1 y 2 (CV: 84,6 (CD1), 72,4 (CD2), 56,5(CD3)). En tres casos los árboles mantienen frutos por más de nueve meses. La variación es menor que para la floración (CV : 39-60 %) (Fig. 9).
DISCUSIÓN
Floración, fructificación y temperatura
Se ha sugerido que las plantas en los bosques tropicales secos requieren temperaturas óptimas para lograr tiempos de floración constantes (Stan y Sanchez-Azofeia 2019); sin embargo, en un estudio sobre la influencia de factores filo-genéticos y abióticos, se encontró que factores bióticos relacionados con la filogenia de las especies son más relevantes en los tiempos de duración de la floración y los factores bióticos son más importantes en la variación del tiempo de floración (Cortéz-Flores et al. 2017). En diecisiete de las especies del bosque seco peruano de Chaparrí, Lambayeque, se observó una correlación positiva entre la fluctuación de la temperatura media mensual con el número mensual de especies que mostraron desarrollo vegetativo, floración y fructificación (Martos et al. 2009). Nuestros resultados coinciden. La floración en C. scabridum presenta una fuerte relación indirecta con la temperatura y tal como ocurre en el 63 % de las especies en los bosques secos (Cortés-Flores et al. 2017), donde se registró un incremento de la floración en los meses previos a la temporada de lluvias. En Cerro Venado, la fructificación presenta una correlación directa con la temperatura, con un mes de desplazamiento, alcanzando el valor más alto al segundo mes (Fig. 7).
El uso de señales ambientales para florecer en el momento adecuado es fundamental para aprovechar las mejores condiciones para producir frutos (Springate y Kover 2014); y en el tiempo de maduración de los frutos, la es-tacionalidad anual es un factor importante; no obstante, la respuesta fenológica al ambiente en las especies leñosassas muestra que existen diversos factores relacionados a la fructificación como la dispersión de las semillas y la germinación (Cortés-Flores et al. 2019). En el caso de C. scabridum, se ha reportado que la fructificación sucede de julio a abril y alcanza entre el 25 % y 50 % (Martos et al. 2009, Galindo et al. 2015), tal como ocurre en Cerro Venado, en donde si bien hay frutos casi todo el año, el porcentaje de fructificación es mayor cuando la temperatura media anual es mayor.
Floración, fructificación y precipitación
Nuestros resultados coinciden con estudios previos en los BTES acerca del patrón de precipitación (Linares-Palomino 2006, García-Villacorta 2009, Martos et al. 2009). La mayor precipitación ocurre entre los meses de enero y marzo. En Cerro Venado, se registraron valores que difícilmente alcanzan 60 mm por mes; con excepción de marzo de 2015 donde la precipitación fue de 245 mm, el valor más alto registrado en los últimos diez años. Este evento está relacionado con el evento climático denominado Fenómeno del Niño, que para el período 2015 - 2016 se manifestó como uno de los más fuertes desde 1950 (Martínez et al. 2017). Los meses de mayor precipitación coinciden con los de mayor temperatura media, que para el período de evaluación no superaron los 22 °C (Fig. 4).
En otros bosques secos del Norte del Perú la especie presenta floración de marzo a enero, con predominio entre marzo y abril (30 %) y entre julio y septiembre (50 - 75 %) (Martos et al. 2009, Galindo et al. 2015). El período y los meses con mayor frecuencia de floración de esos trabajos son consistentes con los resultados de este estudio; sin embargo, la frecuencia alcanzada es ligeramente mayor (50 - 80 %). En otras especies de bosques secos, la frecuencia de la floración también aumenta abruptamente durante el inicio de la temporada seca.
Se ha postulado que las especies con frutos carnosos dan frutos en el 66 % de los episodios de floración (Lieberman 1982). Para C. scabridum el porcentaje de éxito es notoriamente más alto pues fructificaron entre 85 y el 97 % del total de árboles que presentaron flores. Aun cuando no se registró la productividad por episodio floral, los resultados sugieren un alto porcentaje.
En el período de floración entre junio a agosto 2014 la frecuencia de árboles con flores fue la menor (50 %). Esto podría tener relación con el hecho que el período de mayor precipitación previo (enero a marzo) no superó los 15 mm mensuales, un valor inusual para los últimos diez años. Por otro lado, en 2015 se registró la precipitación más alta para el período de evaluación (245 mm) y la frecuencia de floración seguida, no superó el valor registrado en 2013 (75 %) cuando la precipitación fue mucho menor (50 mm). Si bien se ha encontrado relación entre las variaciones de la fenología y la precipitación (Lieberman 1982, Reich y Borchert 1984), es posible que esta tenga un límite máximo, sobre el cual, su influencia no revela mayores beneficios, posiblemente debido a los límites fisiológicos propios de la especie.
En los bosques secos tropicales la duración de los períodos de mayor precipitación parece favorecer la dispersión de semillas por animales (Griz y Machado 2001). Los árboles y arbustos del bosque seco tienden a florecer y dar frutos durante períodos relativamente cortos (1 - 4 meses) y bien definidos durante la estación húmeda. No obstante, algunas de las especies con frutos carnosos pueden florecer todo el año incrementando su producción durante la época húmeda (Lieberman 1982). Para C. scabridum en Cerro Venado, la floración no se correlaciona con la precipitación y el ligero incremento de árboles con frutos hacia la época de lluvias no es consistente para mostrar una correlación con la precipitación. En los bosques secos, las especies conservadoras son más tolerantes a los períodos secos (Sterck et al. 2011). Otros factores no evaluados en el presente estudio, como la provisión de agua de la capa freática, podrían tener mayor influencia (Enquist y Enquist 2011).
Relación entre la fenología y las clases diamétricas
Pese a que en las tres clases diamétricas el número de árboles con flores es muy variable, es posible evidenciar que, en los árboles de menor diámetro, la frecuencia de estos es menor y que, hay un incremento en la frecuencia de árboles con flores y en el número de meses que florean en los árboles de mayor diámetro.
En Cerro Venado el período de fructificación pocas veces alcanza los doce meses, el número de árboles que se mantiene con frutos por más de ocho meses es menor a 10 % y ocurre sólo en los árboles de mayor diámetro. En general, en las tres clases diamétricas el número de árboles con frutos muestra un comportamiento irregular en relación con los meses de fructificación. Es decir, no es posible concluir que exista un patrón claro en la duración de la fructificación en relación con las clases diamétricas.
El incremento de los diámetros en bosques secos es muy lento, con valores anuales son menores a 0,3 cm por año (Murphy y Lugo 1986, Carvajal-Vanegas y Calvo-Alvara-do 2013, Mendoza et al. 2016). Se han realizado estudios dendrocronológicos en especies de bosques secos tropicales que exploran la edad y el diámetro de las especies (Barbosa et al. 2018, Marcelo-Peña et al. 2019); sin embargo, C. scabridum es una especie que no reúne las características anatómicas para su estudio a través de la dendrocronología, si bien presenta anillos de crecimiento, éstos no son anuales (Rodríguez et al. 1993, Rosero Alvarado 2011), y no podrían relacionarse con el tiempo para calcular la edad de los árboles. Por consiguiente, no sería posible conocer la edad de los árboles en las diferentes etapas de su fenología reproductiva. Si bien se ha conocido que, en plantaciones, a los diez años la especie presenta una altura de 3 m en promedio y solamente hay floración en el 60 % de individuos (Rodríguez Rodríguez et al. 2007), son datos insuficientes. En consecuencia, es muy difícil conocer la edad de los árboles en su estado natural y relacionarlo con su diámetro. Se han registrado flores en árboles desde 2,5 cm de DAP; sin embargo, proponer la edad de madurez sexual con base en los datos registrados en este estudio no es posible.
La floración y fructificación de C. scabridum son prolongadas y están más relacionadas con la temperatura que con la precipitación; en una correlación que evidencia un desfase en el tiempo. Esta condición requiere ser evaluada en términos de intensidad de ambas fases fenológicas a largo plazo. Ello podría mostrar aspectos de la madurez sexual que no pudieron ser aclarados en este estudio.
Importancia para la conservación
Colicodendron scabridum es una de las especies arbóreas con mayor abundancia y frecuencia en los BTES (Linares-Palomino 2006). También es considerada como controlador de erosión por su desarrollo radicular, el cual puede alcanzar los 80 cm de profundidad (Brack 1999, Mostacero León et al. 2002). Presenta un vigoroso desarrollo vegetativo durante todo el año (Martos et al. 2009) que le permite contribuir al mantenimiento de la cobertura en estos bosques. Su fruto es importante para la nutrición animal por su alto valor energético y nutricional (Galindo et al. 2015). Particularmente, ha sido reportada como una de las especies que ofrece alimento a la Pava aliblanca (Penelope albipennis Taczanowski, 1878), quien aprovecha los brotes, botones florales y flores todo el año (Martos et al. 2009), sus frutos son comidos por diversas especies de mamíferos incluyendo el zorro de desierto (Lycalopex sechurae (Thomas, 1900)) (Rodríguez Rodríguez et al. 2007). Para la comunidad de osos andinos (Tremarctos ornatus) que habita en Cerro Venado, los frutos de C. scabridum parecen ser un recurso alimenticio temporal importante (Figueroa 2013, Appleton et al. 2018). Los resultados de este estudio muestran que hay variaciones en la floración y fructificación entre sitios y años. En los tres años observados el número de meses que florece o fructifica un árbol, en general, fue distinto cada año (Figs. 5 y 6). Estas observaciones evidencian la importancia de conocer los cambios en la fenología de las plantas en relación con los cambios en el clima y la necesidad de documentar la relación entre la producción de frutos y el aporte de éstos al régimen alimenticio de la fauna.
De otro lado, la especie presenta escasas poblaciones a pesar de distribuirse en Perú y Ecuador. Dichas poblaciones estarían en riesgo de extinción debido a la continua explotación a la que están expuestas por los múltiples usos que ofrece a la población local (Brack 1999, Mostacero León et al. 2002, Inocencio et al. 2006, Rodríguez Rodríguez et al. 2007, Gutierrez Miranda 2019). En ese contexto, las poblaciones de C. scabridum ubicadas en Cerro Venado representan un recurso importante para la conservación de la especie.
















