Services on Demand
Journal
Article
Indicators
-
Cited by SciELO -
Access statistics
Related links
-
Cited by Google -
Similars in
SciELO -
Similars in Google
Share
Revista de la Academia Colombiana de Ciencias Exactas, Físicas y Naturales
Print version ISSN 0370-3908
Rev. acad. colomb. cienc. exact. fis. nat. vol.35 no.135 Bogotá Apr./June 2011
FÍSICA
1 Escuela de Física, Universidad Industrial de Santander, Ciudad Universitaria, Bucaramanga 680002, Colombia, Correo electrónico: casierrao@gmail.com
2 Vicerrectoría de Ciencia, Tecnología, e Innovación, Universidad Antonio Nariño, Cra 3 Este # 47A - 15, Bogotá D.C. 110231, Colombia, Correo electrónico: yeinzon.rodriguez@uan.edu.co
3 Escuela de Física, Universidad Industrial de Santander, Ciudad Universitaria, Bucaramanga 680002, Colombia, Correo electrónico: yrodrig@uis.edu.co
Resumen
A escalas cosmológicas el Universo luce homogéneo e isótropo, aun cuando existan estructuras y espacio vacío. Uno de los mecanismos de evolución espaciotemporal del universo (no de creación) es el de inflación, propuesto por Alan Guth, mediante el cual el universo se expandió aceleradamente en fracciones de segundo y permitió que el contenido energético siguiera evolucionando hasta adquirir hoy en día la estructura que se puede observar. Los escenarios que muchos científicos han propuesto, incluyendo a Guth, se basan en un campo escalar primordial llamado inflatón mediante el cual se inicia la inflación primordial del universo y se heredan del campo características como homogeneidad e isotropía. En la naturaleza aún no se han podido observar campos escalares fundamentales, y es ésta la principal motivación para buscar otra alternativa que genere inflación siendo una de ellas los campos vectoriales. En este artículo, se realiza un estudio sobre la inflación del tipo slow-roll utilizando campos vectoriales primordiales, obteniendo así los resultados asociados a la estadística de estructuras a gran escala concernientes a homogeneidad e isotropía, propiedades que han sido confirmadas observacionalmente y predichas por la ley de Hubble. Lo anterior conduce, a su vez, a resolver los problemas clásicos de la cosmología estándar.
Palabras clave: cosmología, inflación, campos vectoriales, gravedad modificada.
Abstract
At cosmological scales the Universe looks isotropic and homogeneous, although there exist structures and empty space. One of the mechanisms for the spacetime evolution of the universe (not for its creation) is the inflation, proposed by Alan Guth, by means of which the universe experienced an accelerated expansion in fractions of a second and let the energetic content continue evolving until acquiring the structure that we may observe today. The scenarios that many scientists have proposed, including Guth, are based on a fundamental scalar field called inflaton that ignites the primordial inflationary engine, maintaining the homogeneity and isotropy inherent to the nature of the field. In nature, those fields have not been observed yet, and this is the main motivation for searching another alternative that generates inflation, being one of them the vector fields. The aim of this work is to study the slow-roll inflation using primordial vector fields that maintain the characteristics of homogeneity and isotropy associated to the statistics of the large-scale structure, properties that have been observationally confirmed and predicted by the Hubble law. This, in turn, leads to solve the classical problems of the standard cosmology.
Key words: Cosmology, Inflation, Vector fields, Modified gravity.
1. Introducción
En el estudio de la cosmología estandar, la inflación es un gran acierto intelectual y hace uso de campos escalares para generar el mecanismo de expansión acelerada (Dodelson, 2003; Lyth & Liddle, 2009; Mukhanov, 2005; Weinberg, 2008). Sin embargo, la existencia de campos escalares fundamentales en la naturaleza es actualmente un tema de investigación que concentra esfuerzos de muchos centros de investigación de física de partículas. Uno de los objetivos principales del Gran Colisionador de Hadrones4 es el de encontrar campos escalares fundamentales, tales como el bosón de Higgs (Kane, 1993). Desafortunadamente no hay evidencia contundente, hasta el día de hoy, que permita asegurar la existencia de tales campos (Nakamura et al., 2010).
La inflación generada por campos escalares posee una rica fenomenología, la cual puede ser comparada con la evidencia observacional adquirida principalmente por los satélites que captan la Radiación Cósmica de Fondo (RCF) (Lyth & Liddle, 2009; Komatsu et al., 2011 ; The Planck Collaboration, 2006), además de dar solución a los problemas de la cosmología estándar: problema de horizonte, de planitud y de reliquias no deseadas (Guth, 1981).
Es necesario que después de inflación el Universo continúe evolucionando mediante el modelo de expansión desacelerada de Friedmann (Dodelson, 2003; Lyth & Liddle, 2009; Mukhanov, 2005; Weinberg, 2008), ya que de otro modo la nucleosíntesis, piedra angular de la cosmología, no tendría lugar.
En cosmología los campos escalares son muy utilizados debido a las propiedades de homogeneidad e isotropía que son la base fundamental del principio cosmológico; sin embargo hay otra posibilidad para generar el mecanismo inflacionario y mantener las tan atractivas características ya mencionadas. La inflación a través de campos vectoriales es la otra posibilidad (Golovnev, Mukhanov & Vanchurin, 2008). Es evidente que un campo vectorial no es homogéneo ni isótropo de forma simultánea pues es direccional, razón por la que no es muy utilizado por los cosmólogos como generador de inflación. Sin embargo, el uso de muchos de ellos aleatóriamente orientados (Golovnev, Mukhanov & Vanchurin, 2008), o sólo tres de igual norma, homogéneos, y ortogonales entre sí (Armendariz-Picon, 2004; Golovnev, Mukhanov & Vanchurin, 2008), permite que se obtenga la homogeneidad e isotropía necesarias para que sean los campos generadores de la inflación primordial.
2. Inflación vectorial
Existe una razón fundamental para elegir campos vectoriales como mecanismo generador de inflación, y es que si bien los modelos de expansión acelerada que son aceptados por la comunidad científica son los que utilizan campos escalares fundamentales, éstos no han sido observados hasta la fecha (Nakamura et. al., 2010). Adicionalmente, la posible evidencia de anisotropía estadística en los datos provenientes de la RCF (Groeneboom, Ackerman, Wehus & Eriksen, 2010) sugiere que los mecanismos inflacionario y de generación de estructuras a gran escala podrían involucrar campos vectoriales fundamentales (Dimopoulos, Karciauskas, Lyth & Rodríguez, 2009).
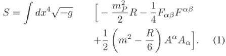
Se habla de acoplamiento no mínimo a la gravedad cuando la acción mediante la cual se calculan las ecuaciones de campo contiene términos que explícitamente relacionan la curvatura espacio-temporal con el contenido energético. En este caso no es posible obtener una igualdad entre términos geométricos y energéticos, al estilo de las ecuaciones de campo de Einstein, debido al término de acoplamiento. A partir de la acción propuesta en las Refs. (Ford, 1989; Golovnev, Mukhanov & Vanchurin, 2008), la cual involucra un acoplamiento no mínimo a la gravedad, se buscará reproducir los resultados obtenidos por la inflación del tipo slow-roll (Dodelson, 2003; Lyth & Liddle, 2009; Mukhanov, 2005; Weinberg, 2008) con campos escalares fundamentales, reemplazando el campo escalar por un campo vectorial fundamental Av masivo o de corto alcalce. Se muestra a continuación la acción mencionada, en donde el término Fαβ es función de las derivadas del campo vectorial: Fαβ = ∂αAβ—∂βAα, g es el determinante de la métrica gµv, mP es la masa reducida de Planck, R es el escalar de Ricci (Weinberg, 1972), y m es la masa del campo vectorial:

La acción presentada va a ser la materia prima de este artículo mediante la cual se van a calcular las condiciones de slow-roll vectorial. Se pueden diferenciar fácilmente tres términos:
.jpg)
El tercér término es la clave para que, mediante campos vectoriales fundamentales, se puedan obtener las condiciones de slow-roll. La razón de este efecto tiene relación directa con la forma del escalar de curvatura R para un espaciotiempo espacialmente plano de Friedmann o en expansión.
Aplicando el principio de acción estacionaria con extremos fijos, se calcularán las ecuaciones de movimiento para el campo Av, y así mismo el tensor de momentum-energía Tµv.
3. Ecuaciones de movimiento y evolucion del campo vectorial
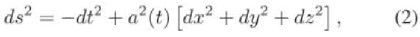
Una condición fundamental para utilizar campos vectoriales como motor generador de la inflación primordial es que reproduzca las características favorables de un campo escalar, principalmente las de homogeneidad e isotropía. El modelo inflacionario se propone dentro de un espaciotiempo plano del tipo Friedmann-Robertson-Walker (FRW) (Dodelson, 2003; Lyth & Liddle, 2009; Mukhanov, 2005; Weinberg, 2008):

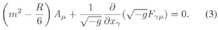
en donde t es el tiempo cósmico, x, y, y z son coordenadas espaciales cartesianas, y a es el parámetro de expansión. Aplicando el principio de acción estacionaria con extremos fijos a la acción (1), con respecto al campo vectorial Aµ, se obtiene la ecuación de movimiento:

Teniendo en cuenta la métrica en la ecuación de movimiento, y manteniendo el campo vectorial altamente homogéneo se obtiene:

Se introduce una nueva variable
que representa el campo vectorial físico escalado por la expansión del universo (el subíndice k denota las componentes espaciales del campo vectorial). A través de la ec.(3), y haciendo uso de la condición A0 = 0, se obtiene una ecuación diferencial que representa la evolución del campo vectorial generador de inflación y que se presenta a continuación (los puntos denotan derivadas con respecto al tiempo cósmico):

Esta ecuación es muy similar a la ecuación de Klein-Gordon para campos escalares (Dodelson, 2003; Lyth & Liddle, 2009; Mukhanov, 2005; Weinberg, 2008), y muestra concordancia entre los resultados que se obtienen mediante lo dos posibles motores del mecanismo inflacionario: el escalar y el vectorial (Zhang, 2009).
4. Cálculo del tensor Tµv
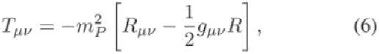
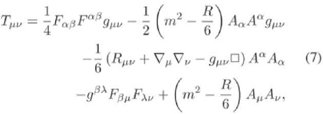
Aplicando el principio de acción estacionaria con extremos fijos a la acción mostrada en la ec.( 1 ), con respecto a la métrica gµv, es posible obtener el tensor momentum-energía Tµv el cual satisface las ecuaciones de campo:

siendo Rµv el tensor de Ricci (Weinberg, 1972). De acuerdo con los resultados obtenidos, Tµv viene dado por:

en donde
representa la derivada covariante y
es el operador DAlambertiano para un espaciotiempo curvo. En ausencia de un acoplamiento directo en la acción entre la geometría y el contenido energético, la cual corresponde al denominado acoplamiento mínimo a la gravedad, la ecuación (6) determina la igualdad preexistente entre el contenido energético y la geometría del espaciotiempo, y es una relación causa-efecto en la que el campo gravitacional es generado y perturbado por la distribución del contenido energético. El tensor Tµv es en este caso diagonal, y su componente temporal representa la densidad de energía mientras que las componentes espaciales son iguales representando isotropía en la presión ejercida por el fluido cósmico.
En contraposición, la ecuación (7) muestra que el tensor Tµv contiene términos que dependen del campo vectorial, de las derivadas del campo vectorial, del tensor y el escalar de Ricci (geometría) y de productos cruzados entre ellos. Estos productos cruzados entre geometría y contenido energético son consecuencia del acoplamiento no mínimo a la gravedad. La relación causa-efecto entre campos gravitacionales generados por contenido energético tendrá una nueva fuente: los términos cruzados presentes en la acción propuesta (1) para campos vectoriales.
A pesar de estar trabajando con campos vectoriales, se deben garantizar la homogeneidad e isorropía. De aquí que se requiera encontrar las condiciones necesarias para representar Tµv de forma diagonal, tal que se mantenga la estructura funcional del tensor canónico momentum-energía para un fluido perfecto en el sistema de referencia comóvil, localmente inercial, y cartesiano (Weinberg, 1972):

Estas condiciones son proveidas por un adecuado número de campos vectoriales que serán empleados como generadores del proceso inflacionario. Así, logrando que el tensor momentum-energía del modelo propuesto tenga la forma mostrada en (8), se obtendrá presión isótropa, la cual es condición necesaria para que inflación evolucione espacialmente de la misma forma que para el caso de campos escalares fundamentales.
5. Ecuación de evolución para el parámetro p
Si el Universo observable es homogéneo e isótropo, se cumple en esta región el principio cosmológico (Dodelson, 2003; Lyth & Liddle, 2009; Mukhanov, 2005; Weinberg, 2008), base experimental de la cosmología estandar. Para una región del universo que cumpla este principio, el cuadrado del parámetro de Hubble, el cual es definido como
viene dado por (Dodelson, 2003; Lyth & Liddle, 2009; Mukhanov, 2005; Weinberg, 2008):

Esta ecuación, que se deriva de la componente 0 — 0 de las ecuaciones de campo de Einstein (ec.(6)), se conoce como la ecuación de Friedmann y permite caracterizar la expansión del universo, explicando las observaciones realizadas por Edwin Hubble sobre las velocidades de recesión de las galaxias. Aplicando la derivada covariante a ambos miembros de las ecuaciones de campo de Einstein (ec.(6)), se obtiene la expresión Tµv;v = 0, cuya componente temporal viene dada por

y cuyo significado físico es la conservación local del cuadrimomentum (Weinberg, 1972). Esta última expresión es la llamada ecuación de continuidad.
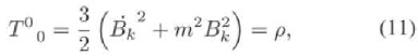
Con el fin de garantizar la homogeneidad e isotropía, se usarán tres campos vectoriales homogéneos, de igual norma, y mutuamente ortogonales (Armendariz-Picon, 2004; Golovnev, Mukhanov & Vanchurin, 2008). La isotropía es obtenida debido a que cada uno de los campos expande el espaciotiempo en su propia dirección con una misma magnitud, lo cual genera una simetría esférica en el proceso. De esta forma, y calculando la parte temporal del tensor Tµv , se obtiene:

en donde se ha empleado una convención de suma para los subíndices espaciales (nótese que
es entonces igual a
). Así, con base en la condición de isotropía y homogeneidad demostrada previamente, ha sido posible generar una ecuación de continuidad para p de la forma especificada en la ec.(10).
Finalmente, reemplazando en la expresión (9) el valor de p obtenido en la ecuación (11), se obtiene

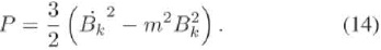
6. Cálculo de la presión P
Considerando que el motor inflacionario propuesto se compone de tres campos vectoriales homogéneos, ortogonales entre sí, y con igual norma, se concluye que la expansión generada por ellos debe ser isótropa y homogénea, razón por la cual la presión ejercida por los campos debe ser isótropa igualmente. La parte espacial del tensor Tµv se muestra a ón:

en donde se observa que la parte espacial del tensor Tµv sí es diagonal para tres campos ortogonales entre sí, homogéneos, y de igual norma, aun cuando no lo es para un único campo vectorial (en este último caso hay términos adicionales en Ti j que no son proporcionales a
(Golovnev, Mukhanov & Vanchurin, 2008)). Este hecho, junto a la expresión para T00 permite expresar a Tµv de la forma mostrada en (8). De este modo, la presión isótropa es:

Aplicando las definiciones de P y p en la ecuación de continuidad presentada en (10), se recupera la ecuación de evolución temporal en (5) para los campos vectoriales que se proponen como motor de inflación.
7. Inflación del tipo Slow-Roll con tres campos vectoriales
La inflación mediante campos escalares requiere que el campo escalar genere un régimen de slow-roll durante el cual la magnitud del campo es casi invariante, lo cual se logra si se imponen las siguientes condiciones:

en donde
y
son conocidos como los parámetros de slow-roll (Dodelson, 2003; Lyth & Liddle, 2009; Mukhanov, 2005; Weinberg, 2008) (una prima denota una derivada del potencial
con respecto al campo escalar
). A partir de las condiciones de slow-roll asociadas a la inflación con campos escalares, es posible hacer una generalización de las mismas para el caso vectorial (Golovnev, Mukhanov & Vanchurin, 2008; Zhang, 2009) la cual se muestra en la tabla 1:

Si se reemplaza en el parámetro de slow-roll
(15) el parámetro de Hubble (12) asociado al modelo con tres campos vectoriales, se obtiene:

Si a la expresión anterior se le aplican las condiciones de slow-roll vectoriales presentadas en la tabla 1, el valor del parámetro
viene dado por:

en donde se observa que desaparece la dependencia con la masa del campo vectorial para el parámetro mencionado. Si ahora se aplica la condicion
(Zhang, 2009), se reescribe la condición de slow-roll en términos de la magnitud del campo vectorial:

Esta condición se impone sobre la magnitud de los tres campos vectoriales simultáneamente para que la inflación sea del tipo slow-roll. La razón más importante para que sea tan deseable que el modelo inflacionario sea de este tipo es lograr consistencia con los resultados observacionales, específicamente los relacionados con el origen de las estructuras a gran escala y más concretamente aquéllos concernientes al índice espectral del espectro de la perturbación en la curvatura (Dodelson, 2003; Lyth & Liddle, 2009; Mukhanov, 2005; Weinberg, 2008). Inflación sólo permite explicar el origen de las estructuras a gran escala con base en la preexistencia de anisotropías en la distribución del contenido energético. Para más detalles respecto al mecanismo de formación y evolucion de las mencionadas estructuras véase las referencias (Dodelson, 2003; Lyth & Liddle, 2009; Mukhanov, 2005; Weinberg, 2008).
Con respecto al parámetro
, definido en la ec.(l6), su posible extensión al caso de campos vectoriales, para el tipo de acción presentada en la ec.(1), está dada por (Zhang, 2009):

en donde ahora una prima denota una derivada con respecto a la norma del campo vectorial, y
para el modelo en discusión es
. Teniendo en cuenta la expresión (12) y las condiciones de slow-roll vectoriales presentadas en la tabla l, se obtiene

con lo cual se observa que
y, por lo tanto, la condición
es satisfecha gracias a la ec.(19).
8. Monto de inllación vectorial
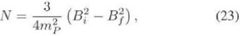
El número de efolds N, llamado también monto de inflación, es una medida que determina qué tanto se ha expandido el espacio debido al mecanismo de inflación. La cantidad de efolds que se obtienen mediante el mecanismo de inflación vectorial propuesto se obtiene a partir de la definición presentada a continuación:

en donde ai y af representan el parámetro de expansión al inicio y al final de inflación respectivamente. Introduciendo la expresión para H, dada en la ecuación (12), en la definición de N se obtiene:

en donde Bi y Bf son las magnitudes de los campos vectoriales al inicio y al final de inflación respectivamente. Encontrando el valor de N, el cual debe satisfacer
para resolver los problemas clásicos de la cosmología estándar (Lyth & Liddle, 2009), es posible cuantificar la expansión generada por los tres campos vectoriales homogéneos, ortogonales entre sí, y de igual norma. Utilizando la condición de slow-roll encontrada en (19), la anterior expresión se puede reescribir de la siguiente forma:

en donde la magnitud del campo al final de inflación se ha ignorado debido a que su valor es despreciable en comparación con su valor al inicio.
9. Solución a los problemas clasicos de la cosmología estandar
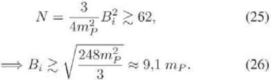
Conociendo el monto de inflación en términos de la magnitud inicial de cada uno de los tres campos vectoriales, es posible encontrar un valor específico para dicha magnitud aplicando la condición
e-folds tal que se solucionen los problemas de horizonte, planitud, y reliquias no deseadas (Lyth & Liddle, 2009).

El valor encontrado en la expresión anterior, en términos de la masa reducida de Planck, es la magnitud mínima que cada uno de los tres campos vectoriales debe tener al inicio de inflación para que el mecanismo de expansión acelerada solucione los problemas clásicos de la cosmología estandar.
Es importante notar que la condición encontrada en esta sección mantiene el modelo de inflación vectorial propuesto en el régimen de slow-roll tal como puede confirmarse al comparar con la ec.(19). También es de anotar que la expresión (26) comparada con la magnitud de los campos vectoriales al final de inflación,
(relación obtenida a partir de la ec.(19) identificando el final de inflación con la violación de las condiciones de slow-roll), da cuenta del por qué, hacia el final de la sección anterior, se despreció Bf con Bi.
10. Conclusiones
l. El mecanismo de inflación es un proceso físico que permite explicar la evolución del contenido energético de la región correspondiente al universo observable para nosotros hoy en día. Aun cuando su duración puede ser ínfima, con una cota miníma de 10-36 s (Rodríguez, 2009), su efecto es dramático ya que aumenta la distancia coordenada entre dos puntos inicialmente separados
por un factor mínimo de 8,4 x 1026
(Mukhanov, 2005; Weinberg, 2008).
2. Es muy importante tener presente que el proceso inflacionario sólo es aplicable a grandes escalas, lo que implica que a escalas del sistema solar y del planeta tierra esta expansión es imperceptible. Si el Universo se estuviese expandiendo en todas las escalas espaciales, no habría forma de detectar dicha expansión pues alteraría incluso los sistemas de medición que se diseñaran para detectarla.
3. Una limitante importante para defender propuestas inflacionarias basadas en el uso de campos escalares fundamentales es la no observación de este tipo de campos en la naturaleza (Nakamura et al., 2010). Una alternativa a la propuesta escalar es dar arranque al motor inflacionario mediante campos vectoriales fundamentales. Estos campos son comunes en el universo, como ejemplo se pueden citar el campo vectorial asociado al fotón o a los bosones W+, W- y Z0.
4. El motor inflacionario vectorial genera una dificultad natural: la anisotropía inherente a la dirección en la que evoluciona el campo vectorial fundamental, impidiendo que se cumpla el principio cosmológico. Esta dificultad, como se mostró en el presente artículo, puede eliminarse si se toman tres campos vectoriales homogéneos, de igual norma, y ortogonales entre sí (Armendariz-Picon, 2004; Golovnev, Mukhanov & Vanchurin, 2008), de modo que el proceso de expansión ocurra de la misma forma en todas las direcciones, emulando así el mismo proceso de expansión inflacionaria con campos escalares.
5. Es necesario que inflación vectorial solucione los problemas de la cosmología estandar para considerar el modelo como una opción viable, específicamente hablando los problemas de horizonte, de planitud, y de reliquias no deseadas. Una forma para determinar si el modelo inflacionario soluciona estos problemas es a través del monto de inflación. La cota mínima para solucionar estos problemas es 62 e-folds de inflación (Lyth & Liddle, 2009), y esto se asegura para el modelo inflacionario propuesto si cada campo vectorial posee una magnitud inicial bien definida de aproximadamente nueve veces la masa reducida de Planck.
6. Entre los modelos inflacionarios, los que más aceptación han tenido en la comunidad científica son los de tipo slow-roll en donde el campo rueda lentamente a lo largo de la pendiente impuesta por el potencial (Dodelson, 2003; Lyth & Liddle, 2009; Mukhanov, 2005; Weinberg, 2008). Son los modelos más aceptados porque este tipo de mecanismos permiten obtener al final del período inflacionario las condiciones necesarias para que el universo observable continúe evolucionando hacia las estructuras a gran escala que observamos hoy en día (Lyth & Liddle, 2009; Rodríguez, 2009). El modelo de inflación estudiado en este artículo logra cumplir las condiciones necesarias para ser catalogado como un modelo inflacionario del tipo slowroll.
______________
4 CERN's LHC homepage: http://lhc.web.cern.ch/lhc/.
Agradecimientos
Y.R. cuenta con el apoyo financiero de COLCIENCIAS mediante proyecto de investigación número 1102-487-25992 CT-460-2009, y de la DTEF (VIS) mediante proyecto de investigación número 5177.
Referencias
Armendariz-Picon, C., 2004. Could dark energy be vector-like?, JCAP 0407, 007. [ Links ]
Dimopoulos K., Karciauskas M., Lyth D. H. & Rodríguez Y., 2009. Statistical anisotropy of the curvature perturbation from vector field perturbations, JCAP 0905,013. [ Links ]
Dodelson S., 2003. Modern cosmology, Elsevier Academic Press, London - UK. [ Links ]
Ford H., 1989. Inflation driven by a vector field, Phys. Rev. D 40, 967. [ Links ]
Golovnev A., Mukhanov V. & Vanchurin V., 2008. Vector inflation, JCAP 0806, 009. [ Links ]
Groeneboom N. E., Ackerman L., Wehus I. K. & Eriksen H. K., 2010, Bayesian analysis of an anisotropic universe model: systematics and polarization, Astrophys. J. 722, 452. [ Links ]
Guth A. H., 1981. The inflationary Universe: a possible solution to the horizon and flatness problems, Phys. Rev. D 23, 347. [ Links ]
Kane G., 1993. Modern elementary particle physics, Addison Wesley, Redwood City - USA. [ Links ]
Komatsu E. et al., 2011. Seven-year Wilkinson Microwave Anisotropy Probe (WMAP) observations: cosmological interpretation, Astrophys. J. Suppl. Ser. 192, 18. [ Links ]
Lyth D. H. & Liddle A. R., 2009. The primordial density perturbation: cosmology, inflation and the origin of structure, Cambridge University Press, Cambridge- UK. [ Links ]
Mukhanov V. F., 2005. Physical foundations of cosmology, Cambridge University Press, Cambridge - UK. [ Links ]
Nakamura K. et al., 2010. Review of particle physics, J. Phys. G 37, 075021. [ Links ]
The PLANCK Collaboration, 2006. The scientific programme of PLANCK, arXiv:astro-ph/0604069. [ Links ]
Rodríguez Y., 2009. The origin of the large-scale structure in the Universe: theoretical and statistical aspects, LAP - Lamben Academic Publishing, Saarbrücken — Germany. También disponible como PhD Thesis, Lancaster University, Lancaster - UK, 2005. arXiv:astro-ph/050770 l . [ Links ]
Weinberg S., 1972. Gravitation and Cosmology, John Wiley & Sons, New York - USA. [ Links ]
Weinberg S., 2008. Cosmology, Oxford University Press, Oxford - UK. [ Links ]
Zhang Y., 2009. The slow-roll and rapid-roll conditions in the space-like vector field scenario, Phys. Rev. D 80,043519. [ Links ]
Recibido: abril 1 de 2011. Aceptado para su publicación: junio 15 de 2011.











