Services on Demand
Journal
Article
Indicators
-
Cited by SciELO -
Access statistics
Related links
-
Cited by Google -
Similars in
SciELO -
Similars in Google
Share
Revista de la Academia Colombiana de Ciencias Exactas, Físicas y Naturales
Print version ISSN 0370-3908
Rev. acad. colomb. cienc. exact. fis. nat. vol.35 no.135 Bogotá Apr./June 2011
ZOOLOGÍA
1 Laboratorio de anfibios, Universidad Nacional, Instituto de Ciencias Naturales. Correo electrónico:pedrozabanda@gmail.com
2 Yoluka ONG Fundación de investigación en biodiversidad y conservación. Correo electrónico:teddy.angarita@yoluka.org
Resumen
Durante marzo y junio del año 2010 se caracterizaron los ensambles de anfibios y reptiles de los humedales Charco de Oro y La Bolsa ubicados en el municipio de Andalucía (Valle del Cauca, Colombia). Se registradas nueve especies de anfibios y siete de reptiles, otras dos especies más fueron registradas en los alrededores. La riqueza de especies de anfibios fue mayor en la época seca mientras que la de reptiles se mantuvo igual durante las dos épocas de muestreo pero variando su composición.
Palabras clave: anfibios, reptiles, conservación, humedal, Valle del Cauca.
Abstract
In march and june of 2010 a characterization the amphibian and reptile faunas was carried out in the wetlands of Charco de Oro and La Bolsa in the municipality of Andalucía, Department of Valle del Cauca, Colombia. In the study were recorded nine species of amphibians and seven of reptiles. In addition were recorded two other reptiles species in vicinities near to the wetlands. The richness of amphibians was higher during the dry season and the reptiles were equal but its composition changed.
Key words: amphibians, reptiles, conservation, wetland, Valle del Cauca.
Introducción
En Colombia, los humedales son uno de los ecosistemas que han sufrido mayor reducción en su extensión, resultado del modelo de explotación, extracción e invasión destructiva en los últimos cincuenta años. Este modelo de desarrollo se ha alimentado con la expansión agresiva de la ganadería extensiva sobre los bosques, sabanas y valles aluviales, y con la presión y fragmentación de los ecosistemas por los monocultivos de caña de azúcar y palma de aceite entre otros (Mora-Fernández & Angarita- Sierra 2010). Las políticas gubernamentales de regulación de ríos y adecuación de tierras, y particularmente las dirigidas al mejoramiento de terrenos mediante drenaje y canalización para facilitar el establecimiento de cultivos, han propiciado e incentivado el deterioro, fragmentación y pérdida de los ecosistemas de humedales en Colombia. (Ministerio del Medio Ambiente-Instituto de Investigaciones de Recursos Biológicos Alexander von Humboldt 1999).
En el valle del Cauca es particularmente notorio este fenómeno, como lo describen Restrepo & Naranjo (1987) quienes presentan un recuento histórico de los humedales en este departamento, registrando la desaparición del 87,7% de estos en el periodo 1950 a 1987.
Dentro de los estudios relevantes de la herpetofauna del Valle del Cauca se cuentan los de Katan (1984), Castro & Katan (1991) para los anfibios y Castro (1991) para los reptiles y más recientemente el de Castro-Herrera & Vargas-Salinas (2008) y el de Bolivar-García & Castro- Herrera (2009) para los humedales dentro de lo que es denominado por ellos como el valle interandino del Río Cauca. Estos registros parten de la recopilación de información de museos que poseen registros de hace más de cuarenta años y podrían no reflejar la riqueza actual de especies, y menos aún, las especies que se han visto afectadas en las últimas décadas por el rápido crecimiento del sector agroindustrial, especialmente el cañero.
El presente trabajo hace referencia a los resultados obtenidos en la caracterización de la herpetofauna de los humedales Charco de Oro y La Bolsa hechos durante los periodos seco y húmedos del año con el objetivo de determinar la representatividad de la fauna de anfibios y reptiles de estos humedales a nivel regional y cómo esta fauna hace uso del hábitat.
Área de estudio
El estudio se adelantó en los humedales Charco de Oro y La Bolsa, ubicados en el corregimiento Campo Alegre en el municipio de Andalucía, departamento del Valle del Cauca (Figura 1), el primero con un área de 2,5 Ha y el segundo con 30 Ha aproximadamente. La zona se ubica dentro del ecosistema bosque seco tropical (Bs-T) (Espinal & Montenegro 1963), con precipitación promedio de 1300 mm anuales, temperaturas superiores a los 24°C (Sandoval & Ramírez 2007) y 950 m de altitud promedio.
Ambos humedales se encuentran inmersos en una matriz de cultivos de caña de azúcar y la cobertura vegetal está dominada por pastos, sin embargo, en el humedal La Bolsa aún existen parches dominados por caña brava (Gynerium sagittatum, Poaceae), guadua (Guadua angustifolia, Poaceae) y algunos árboles dispersos haciendo que este sea más heterogéneo.
Adicionalmente se examinaron dos pequeños parches de bosques, nombrados como Sitio 1 y Sitio 2. El Sitio 1 se encuentra ubicado en la zona más rural del corregimiento Campo Alegre y el Sitio 2 en la cabecera del mismo corregimiento.
Materiales y métodos
Los muestreos se realizaron en los meses de marzo (época seca) y junio (época húmeda) empleando tres técnicas principales, búsqueda libre sin restricciones, trampas de caída y búsqueda selectiva en hábitats (Rueda, et al. 2006), completando en total un esfuerzo de muestreo de 22 días hombre. Además de estas también se usaron las artes de pesca nasa y palangre dirigidos a la captura de las especies acuáticas.
Las colectas se hicieron de forma manual o con ayuda de gancho herpetológico. Los ejemplares adultos y juveniles fueron fijados en formol 10% y preservados en alcohol 70%. En el caso de las larvas, fueron fijadas y preservadas en formol 10%. La identificación de los ejemplares fue hecha basándose en las descripciones originales y comparación de ejemplares de referencia depositados en las colecciones de anfibios y reptiles del Instituto de Ciencias Naturales, Universidad Nacional de Colombia. El sistema de clasificación siguió a Frost (2010) para anuros, Exbrayat (2006) para cecilias, Wüster (2001) y Lehr (2002) para serpientes, Ayala & Castro (Inédito) para lagartos y Rueda-Almoacid, et al. (2007) para tortugas. Los ejemplares de anfibios y reptiles fueron depositados en las colecciones correspondientes del Instituto de Ciencias Naturales (ICN) de la Universidad Nacional de Colombia, sede Bogotá.
Análisis de datos
La representatividad de la diversidad total de especies registradas en el conjunto de humedales y para cada uno individualmente se midió como la riqueza específica obtenida por medio de los estimadores de riqueza no paramétricos (Cáceres-Andrade & Urbina-Cardona 2009, Colwell & Coddington 1994, Magurran 2004) haciendo uso del programa Estimates (Colwell, 2006). Para el conjunto de humedales se utilizó el estimador Jacknife de primer y segundo orden, lo mismo que para el humedal La Bolsa, ya que suponen heterogeneidad entre las muestras siendo idóneas para estimar la riqueza en ambientes que están compuestos por varios hábitats como espejo de agua, vegetación acuática, potreros y relictos de bosque que conforman el área de los humedales (Cáceres-Andrade & Urbina-Cardona 2009, Colwell & Coddington 1994, Magurran 2004). Para el caso del humedal Charco de Oro se utilizó el estimador Chao de primer y segundo orden, ya que asumen homogeneidad de hábitat en las muestras, caso que se presenta en el humedal donde la cobertura vegetal dominante son pastizales.
Con base al cálculo de la abundancia relativa se construyó una jerarquía ordinal a partir de rangos artificiales creados según la dispersión de los datos (Tabla 1). A partir de estas categorías se hicieron comparaciones entre los humedales, las temporadas y por humedal y época de muestreo.

Se analizó la diversidad beta empleando el índice de complementariedad (C) propuesto por Colwell & Coddington (1994) entre el humedal Charco de Oro y el humedal La Bolsa.
Resultados
Diversidad taxonómica
En el estudio fueron detectadas en total 19 especies pertenecientes a 17 géneros y 15 familias (Tabla 2), de las cuales dos registros fueron obtenidos en las áreas urbanas del municipio Andalucía y el corregimiento Campo Alegre correspondientes a los reptiles Hemidactylus frenatus y la tortuga Chelydra acutirostris respectivamente. Además se registra por primera vez Leptodactylus insularum para el departamento del Valle del Cauca. De estas, nueve corresponden a especies de anfibios pertenecientes a siete géneros de igual número de familias y diez especies de reptiles pertenecientes a igual número de géneros de ocho familias.
En el humedal Charco de Oro se detectaron diez especies en total. Siete especies corresponden a anfibios pertenecientes a los órdenes Gymnophiona (Typhlonectes natans) y Anura que corresponden a seis géneros y cinco familias. En cuanto a reptiles fueron detectadas tres especies pertenecientes a igual cantidad de géneros y familias (Tabla 2). También fueron colectados renacuajos de Lithobates catesbeianus, Hypsiboas pugnax y Rhinella marina. A su vez en el humedal La Bolsa fueron detectadas 16 especies pertenecientes a 14 géneros y 13 familias (Tabla 2). Nueve especies corresponden a anfibios, una al orden Gymnophiona (T. natans) y ocho al orden Anura que corresponden a siete géneros y cinco familias. Las especies restantes corresponden a una tortuga (Kinosternon leucostomum), una serpiente (Dendrophidion bivittatus), un geko (Gonatodes albogularis), una iguana y tres lagartijas, para un total de siete especies de reptiles pertenecientes a igual número de géneros y familias. También fueron colectados renacuajos de Hypsiboas pugnax y Colostethus fraterdanieli en las dos épocas.
Diversidad
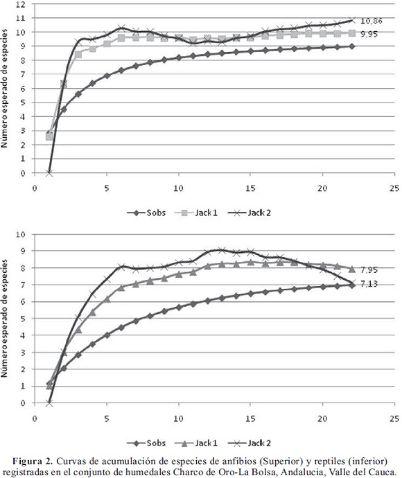
Los estimadores empleados indican que para el conjunto de humedales Charco de Oro-La Bolsa el número de especies de anfibios está en el rango de 9,95 a 10,86 especies esperadas lo que corresponde al 90,45% de representatividad del muestreo según el estimador Jacknife de primer orden y un 82% según el estimador Jacknife de segundo orden. En el caso de los reptiles se estima que la riqueza se encuentra en el rango de 7,13 (98,18% de representatividad) a 7,95 especies (88,05% de representatividad). Las curvas de acumulación de especies sugieren que el ensamble herpetofaunístico de los humedales como conjunto están bien representados en el muestreo (Figura 2).

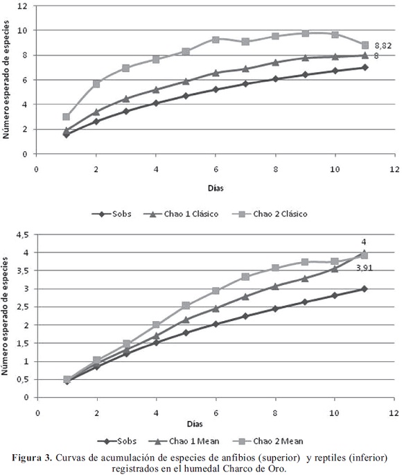
Según los estimadores empleados, en el humedal Charco de Oro debe haber presente entre ocho (87,5% de representatividad) y 8,82 (79,37% de representatividad) especies de anfibios y de 3,91 (76,7% de representatividad) a 4 (75% de representatividad) especies de reptiles. De acuerdo a esto, el inventario de anfibios y reptiles aún no se encuentra tan bien representado como lo muestra la Figura 3, aunque se observa una tendencia a alcanzar la asíntota según el estimador Chao de segundo orden.

Según los estimadores empleados se espera que en el humedal La Bolsa haya de 9,95 (90.45% de representatividad) a diez (90% de representatividad) especies de anfibios y de 7,95 (97,9% de representatividad) a 7,15 (88% de representatividad) especies de reptiles (Figura 4), cifras muy cercanas a las especies registradas durante el trabajo de campo. Esto se hace evidente con la forma asintótica que toman las curvas de acumulación de especies generadas con los estimadores Jacknife de primero y segundo orden, indicando que el muestreo del ensamble herpetofaunístico en este humedal se encuentra bien representado.

Para el Sitio 1 se registraron cinco especies, cuatro de anfibios del orden Anura pertenecientes a cuatro géneros e igual número de familias y una especie de reptil perteneciente a la familia Gekkonidae (Tabla 2). En el Sitio 2 fueron detectadas tres especies, una especie de anfibio del orden Anura y dos especies de reptiles, el geko G. albogularis y la serpiente Drymarcon melanurus (Tabla 2).
La estimación de la diversidad beta con el índice de complementariedad entre los dos humedales arrojó un valor de 41,18.
Variación temporal de la riqueza y abundancia
En general la riqueza de especies de anfibios en el humedal Charco de Oro aumentó durante la época húmeda, pasando de cuatro especies a seis, detectando tres nuevas especies para esta localidad, Leptodactylus colombiensis, Rhinella marina y Dendropsophus columbianus.
En la época seca solo Lithobates catesbeianus fue abundante, las especies restantes (L. fragilis, T. natans e Hypsiboas pugnax) fueron frecuentes. En la época húmeda nuevamente Li. catesbeianus fue abundante, D. colombianus, R. marina y T. natans fueron frecuentes, L. colombiensis e H. pugnax fueron no comunes y L. fragilis no fue detectada (Figura 5).

La riqueza de especies de reptiles en el humedal Charco de Oro se mantuvo a través de las épocas de muestreo aunque hay que anotar que Gonatodes albogularis no fue detectada en la época seca y Cnemidophorus lemniscatus no se detectó en la época húmeda. Anolis auratus fue la única especie registrada durante los dos periodos conservando su categoría de abundante aunque presentó un ligero declive en su abundancia absoluta en el periodo húmedo (Figura 6).

En el humedal La Bolsa la riqueza de anfibios disminuyó de nueve especies durante la época seca a siete en la época húmeda. En la época seca D. columbianus y T. natans fueron abundantes, Li. catesbeianus, L. colombiensis y L. fragilis, fueron frecuentes, C. fraterdanieli, L. insularum, R. marina e H. pugnax fueron no comunes. En la época húmeda D. columbianus y C. fraterdanieli fueron abundantes, Li. catesbeianus e H. pugnax fueron frecuentes, L. colombiensis, L. fragilis y R. marina fueron no comunes, mientras que L. insularum y T. natans no estuvieron presentes en este periodo (Figura 7).

La riqueza de reptiles fue de seis especies en ambas épocas, pero su composición fue diferente. En la época seca G. albogularis, A. auratus, Iguana iguana y K. leucostomum fueron comunes en tanto que Cn. lemniscatus y Mabuya unimarginata fueron frecuentes. En la época húmeda a diferencia de la anterior no se detectó K. leucostomum pero se encontró D. bivittatus que fue una especie relativamente común. Las abundancias relativas de todas las especies disminuyeron, excepto G. albogularis que conservó su categoría de abundante durante los dos periodos de muestreo pero esta abundancia se triplicó durante las lluvias, del 25% en la época seca al 75% en la época de lluvias (Figura 8), además se obtuvo registro de huevos.

Comparación entre humedales
En términos generales el humedal La Bolsa fue el más rico en todas las categorías taxonómicas excepto a nivel de familia en anfibios, donde el índice de riqueza fue igual al del humedal Charco de Oro. La diferencia más notable fue en el ensamble de reptiles, para el que el índice de riqueza de especies, géneros y familias en el humedal La Bolsa fue de siete respecto a tres en el humedal Charco de Oro en todas las categorías taxonómicas (Figura 9). En cuanto a anfibios las diferencias a nivel de especie fue de 2 unidades del índice de riqueza y una unidad a nivel de género.

Al hacer comparaciones entre los dos humedales en la época seca se pueden observar diferencias claras en las abundancias relativas de especies en cada uno. Mientras en Charco de Oro Li. catesbeianus es claramente la especie con mayor abundancia (13 veces más abundante que en La Bolsa) seguida por H. pugnax (común), L. fragilis y T. natans, estas dos últimas con abundancias iguales categorizadas como frecuentes; en La Bolsa la especie más abundante fue T. natans seguida por D. columbianus (abundante), L. colombiensis y L. fragilis, estas dos últimas tan abundantes como Li. catesbeianus categorizadas como frecuentes (Figura 10).

Durante esta época los reptiles en Charco de Oro solo fueron representados por dos especies, A. auratus la especie dominante con el 90% de abundancia y Cn. lemniscatus con categoría de frecuente. En La Bolsa la única especie con categoría de abundante fue G. albogularis, seguida de especies comunes (A. auratus, I. iguana y K. leucostomum) y frecuentes (Cn. lemniscatus y M. unimarginata). Es de resaltar que de las dos especies de reptiles compartidas por los humedales (Cn. lemniscatus y A. auratus) muestran abundancias similares a pesar de la notoria diferencia en disponibilidad de hábitats y coberturas vegetales entre estos (Figura 11).

Al igual que en el anterior periodo, durante la época de lluvias la especie que abundó en el humedal Charco de Oro fue Li. catesbeianus, ocho veces más que en el humedal La Bolsa, seguida de especies frecuentes como T. natans, R. marina y D. columbianus y las especies no comunes L. colombiensis e H. pugnax. En contraste en el humedal La Bolsa, C. fraterdanieli y D. columbianus fueron abundantes seguidas de Li. catesbeianus e H. pugnax un par de especies frecuentes y R. marina, L. colombiensis y L. fragilis especies no comunes (Figura 12). Ninguna de las especies de anfibios tuvo representatividad similar en ambos humedales.

En el humedal Charco de Oro la especie abundante dentro de la muestra obtenida del ensamble de reptiles en la época de lluvias fue A. auratus seguida por G. albogularis categorizada como frecuente. Para el ensamble de reptiles del humedal La Bolsa, la muestra obtenida presenta una mayor heterogeneidad en la que G. albogularis fue abundante, seguida por Dendrophidion bivittatus y Anolis auratus como especies frecuentes e I. iguana, Cn. lemniscatus y M. unimarginata como especies no comunes (Figura 13).

Discusión
Humedal Charco de Oro
Se puede considerar que el estimador Chao 2 está sobreestimando la riqueza de este humedal tal vez por el aumento constante e incesante de las especies "únicas" (especies que aparecen en una sola muestra) como L. fragilis, L. colombiensis, R. marina y G. albogularis y duplicadas (especies que aparecen en dos unidades muestrales). En cambio el número de especies "sencillas" (especies representadas por un solo individuo) es menor respecto a número de especies "únicas" y no hay especies "dobles" (especies representadas por dos individuos). En ese orden de ideas, podría considerarse bien representado el ensamble herpetofaunístico dentro del muestreo tomando como referencia el estimador Chao 1. En cualquier caso se podría considerar que las especies no detectadas en este humedal corresponden a especies que se detectaron en el humedal La bolsa, si tenemos en cuenta que a nivel de paisaje las curvas de acumulación de especies muestran una buena representación del ensamble herpetofaunístico en el muestreo (Figura 2).
El aumento en la diversidad de especies durante la época húmeda era de esperarse, ya que los ambientes acuáticos son hábitats ideales para la reproducción de los anfibios que componen este ensamble. La alta humedad del ambiente provista por las lluvias puede ser necesaria para las migraciones desde los hábitats terrestres a los sitios de apareamiento (Palis 1997, Semlitsch, 1985) y a menudo los desplazamientos desde y hacia los sitios de apareamiento son afectados por las lluvias (Marsh, 2000). Por lo tanto las lluvias brindan las condiciones necesarias para que las especies que no fueron registradas durante la época seca se pudieran desplazar hasta este o las que habitaban el lugar variaran su abundancia y distribución local, ya que aun a escalas pequeñas, la humedad del suelo y la disponibilidad de sitios de refugio húmedos pueden ser importantes determinantes para ello (Wells 2007).
La dominancia de Li. catesbeianus evidencia el alto grado de intervención al que está sometido el humedal. La sustitución de los bosques naturales por el monocultivo de caña de azúcar han producido márgenes con áreas abiertas y libres de vegetación arbórea con abundante vegetación herbácea, hábitats preferidos por esta rana (Rueda- Almonacid, 1999). Estas condiciones favorecen la proliferación de Li. catesbeianus provocando la alta abundancia registrada en este humedal. La relativa estabilidad en su abundancia a través del tiempo en condiciones ambientales tan diferentes demuestra que es una población que se encuentra muy bien establecida en esta localidad y su tamaño no está siendo controlado o afectado por ningún factor biótico o abiótico.
La relativa estabilidad en la abundancia de A. auratus en las dos épocas del año se debe a la gran plasticidad y tolerancia ecológica que presenta esta especie ante la perturbación antrópica, mostrando que sus requerimientos de hábitat no son exigentes. Anolis auratus es abundante en áreas abiertas y principalmente perchan sobre la vegetación herbácea (Ortleb & Heatwole 1965), que para el caso del humedal Charco de Oro es la cobertura vegetal predominante, dando lugar a una gran disponibilidad de hábitat para esta especie.
La ausencia de Cn. lemniscatus en la muestra de la época húmeda probablemente es debida a su gran capacidad de mimetismo con la vegetación y a los métodos de muestreos empleados en esta época, por lo que no fue posible detectar más individuos.
Humedal La Bolsa
La composición de anfibios encontrada en estos humedales concuerda con la de ensambles de tierras bajas colombianas, particularmente ensambles de bosques secos. Dentro de estos ensambles L. insularum (Lynch, 2006) es un elemento típico y en Colombia se ha reportado en los departamentos Antioquia, Arauca, Atlántico, Bolívar, Caldas, Cesar, Córdoba, Cundinamarca, Huila, Magdalena, Meta, Norte de Santander, San Andrés, Santander, Sucre y Tolima (Acosta-Galvis, 2000, Armesto, et al. 2009, Barriga-Bonilla, et al. 1969, Lynch 2006, Ruiz-Carranza, et al. 1996) y adicionalmente en La Guajira. El registro de esta especie en el humedal La bolsa es el primero documentado para el departamento del Valle del Cauca constituyéndose en el registro más sureño en la Región Pacífica y de esta manera se reporta la extensión de su rango de distribución.
La disminución de la riqueza específica en la época húmeda es algo inesperado. Se podría asociar la ausencia de T. natans en esta época al aumento en la degradación de su hábitat debido al incremento en las descargas de aguas negras dentro del humedal, diezmando su población a pesar de que al parecer las especies de Typhlonectes no tienen altos requerimientos en la calidad del agua (Hofer, 2000) y en especial esta especie que parece prosperar en aguas eutroficadas y hábitats urbanizados (Gower & Wilkinson, 2005). No se considera la colecta como una causa de la falta de registro en el segundo periodo de muestreo de esta especie, ya que además de ser una especie muy común se ha documentado ampliamente que la colecta científica a largo o corto plazo no es una amenaza para las poblaciones de cecilias (Gower & Wilkinson, 2005).
Dos de las tres especies que no variaron su abundancia relativa son Li. catesbeianus y R. marina, siéndola Li. catesbeianus una especie invasora, esta estabilidad nos hace pensar que esta especie presenta poblaciones bien establecidas, característica típica de especies foráneas en nuevos hábitats, debido a la carencia de predadores, fuertes competidores y limitantes ambientales extremas que alteren su dinámica poblacional. Por su parte D. columbianus no compite por espacio con alguna otra especie de anfibio del humedal por lo que su población es de gran tamaño, conspicua y siempre ocupa la vegetación flotante donde forma grandes coros. Sin embargo, sus abundancias se podrían ver afectadas en el futuro cercano, debido al incremento de la potrerización y desecación de los humedales para el cultivo de caña, al reducir de forma dramática su hábitat.
El aumento de la abundancia relativa de C. fraterdanieli en la época húmeda se interpreta como un artefacto del método de muestreo durante la época húmeda, ya que durante el periodo seco estos habitaban entre la hojarasca de la caña brava que era de difícil acceso para el muestreo con métodos activos. Por lo tanto durante el segundo periodo se emplearon métodos pasivos como las trampas de caída que resultaron muy efectivos en la colecta de ejemplares de esta especie.
Las tortugas no son especies de fácil detección, sin embargo K. leucostomum fue detectada entre la hojarasca de cañabrava, un ambiente difícil de muestrear. De acuerdo con los pobladores del área, desde el incremento en las descargas de aguas residuales en el humedal durante las lluvias, las tortugas han migrado aguas arriba por los canales que alimentan el humedal. Estas emigraciones provocan que la densidad de las poblaciones de esta especie disminuya aumentado la dificultad en su detección.
Los principales factores que afectan la probabilidad de detección de serpientes son el tamaño de la población y la temporada del año, ya que en esta varían factores como la radiación, temperatura, humedad en el aire y humedad del suelo (Kéry, 2002). La detección de D. bivittatus solo en la época húmeda indica que esta especie tiene actividad estacional por las limitaciones que impone la temporada seca. Más que migrar o entrar en aletargamiento, como lo hacen muchas aves o mamíferos, las serpientes, como otros ectotermos, usualmente permanecen inactivas durante periodos en que la presa es escasa, las temperaturas son extremas o las condiciones son áridas (Green, 1997). Este sería el caso de D. bivittatus, variando sus actividades estacionalmente, al igual que otras serpientes tropicales que inician su periodo de cacería cuando las lluvias fuertes incitan densas agregaciones de ranas u otros organismo que hace parte de su dieta (Green, 1997). Sin embargo los escasos registros de serpientes para las dos épocas muestreadas, son observaciones peculiares cuando al parecer están presentes las condiciones ambientales necesarias para soportar taxones de serpientes de tierras bajas, con requerimientos de hábitat no exigentes. Esto siguiere que se deben realizar estudios más detallados que fijen su atención en la detección de serpientes y en los factores que están afectando su detección o presencia en estos humedales.
Diversidad beta
La complejidad de la estructura del humedal La Bolsa hace que ofrezca mayor cantidad de nichos que pueden ser ocupados por distintas especies, esto explica su mayor diversidad genérica y específica. Es decir, esta diversidad no refleja historias separadas de las dos áreas, sino el efecto de las actividades humanas sobre ellas, siendo el humedal Charco de Oro el más afectado. Evidencia de ello es la dominancia de Li. catesbeianus en ambas épocas del año y la ausencia total de especies que habitan vegetación arbórea y arbustiva en el humedal Charco de Oro, como C. fraterdanieli que se confina al piso del bosque entre la hojarasca (Grant & Castro, 1998), I. iguana que la mayor parte del tiempo habita el dosel del bosque, M. unimarginata también es habitante de la hojarasca y D. bivitattus con hábitos semi-arborícolas (Savage, 2002). Otra evidencia de ello son las especies que solo habitan el humedal Charco de Oro durante la época húmeda, ya que solo en esta temporada se dan las condiciones adecuadas para su desarrollo y supervivencia, caso de las especies G. albogularis y D. columbianus.
Si tenemos en cuenta que estos dos humedales conformaban un solo sistema donde el humedal Charco de Oro tenia conexión directa con el Rio Cauca y estaba físicamente unido al humedal La Bolsa (Núñez & Madero, 2009), es evidente que el índice de complementariedad debería ser bajo, más aun que el resultado obtenido, ya que al pertenecer al mismo sistema y ser tan cercanos el uno al otro sus ensambles herpetofaunísticos deberían complementarse menos. Pero este resultado muy probablemente está influenciado por el hecho de que las especies más sensibles (a pesar ser resistentes a la alteración del hábitat) a la presión antrópica ya han desaparecido del humedal Charco de Oro.
Representatividad a nivel regional
Según Castro-Herrera & Vargas-Salinas (2008) para la región denominada por ellos como el valle interandino del Río Cauca se encuentran reportadas 50 especies de anfibios y reptiles de las cuales once son especies introducidas . En un estudio más reciente, hecho específicamente para los ecosistema de humedal del departamento del Valle del Cauca se adicionan once especies nativas más (Bolívar-García & Castro-Herrera 2009) y por último este estudio registra una especie nativa más. Esto en total correspondería a 54 especies de anfibios y reptiles nativos registrados para el valle interandino del Rio Cauca y 40 para los humedales en este valle. Por lo tanto, a nivel de paisaje los humedales Charco de Oro y La Bolsa representan el 31,5% de la riqueza herpetofaunística del valle interandino del Río Cauca y el 42,5% de la riqueza de los humedales del departamento. Es decir, poco más de dos quintos de esta herpetofauna se refugia en los dos humedales y como se mencionó anteriormente, las listas de anfibios y reptiles reportadas representan un recuento histórico de la herpetofauna de la región que distan de representar su situación actual. Estos resultados quizá se acercan más a la situación real de la herpetofauna de los humedales Valle del Cauca y revelan la importancia que estos dos tienen a nivel paisajístico como reservorio.
Para el valle interandino del río Cauca del depa nrtamento del Valle del Cauca se encuentran registradas 9 especies de anuros nativos (Bolívar-García & Castro- Herrera 2009, Castro & Vargas-Salinas 2008) más L. insularum registrado en este estudio resultando un total de 10 anfibios nativos. De estos se registró el 70%, siendo notable la ausencia de los Strabomantidos Pristimantis achatinus y P. w-nigrum en los humedales muestreados ya que estos taxones por su modo reproductivo (desarrollo directo) son altamente sensibles a la humedad, variable de tiempo con bajos valores debido principalmente a la falta de cobertura boscosa en el área de estudio.
Los resultados obtenidos respecto a la diversidad de cecilias del ensamble de anfibios del valle interandino de río Cauca coinciden con Bolívar-García & Castro- Herrera (2009) y Castro & Vargas-Salinas (2008) donde reportan a T. natans como la única especie en esta área natural. Sin embargo, teniendo en cuenta la difícil detección de estas formas de anfibios, debido a los hábitos fosoriales de las especies terrestre introduciendo sesgos en los resultados y los registros reportados por Lynch (1999) para el valle del cauca, se estima que en el área y por lo tanto en el valle interandino del río Cauca pueden habitar las especies de altitudes intermedias Cecilia occidentalis y Ce. subdermalis.
De las 42 especies de reptiles nativas registradas para esta área natural y específicamente 31 para los humedales dentro de esta, 21 corresponden a serpientes asociadas a los humedales en el departamento (Bolívar-García & Castro- Herrera 2009, Castro & Vargas-Salinas 2008). De acuerdo con estos índices y como se mencionó anteriormente, es peculiar que solo se haya detectado una especie de serpiente después de 22 días de muestreo y se encuentren ausentes especies como Oxyrhophus petola que no exhibe mucha fidelidad a las zonas boscosas y es común en áreas que alguna vez estuvieron cubiertas por bosques secos (Lynch 2009), Sibon nebulata, Spilotes pullatus y Bothrops asper que toleran la intervención humana (Vargas-Salinas & Bolaños-L 1999) y los climas secos o Micrurus mipartitus que también puede habitar en zonas muy secas y se asocia a asentamientos humanos (Campbell & Lamar 2004) lo que indica su tolerancia a la intervención de los ambientes naturales.
Uso de hábitat
En general los ensambles de anfibios y reptiles están compuestos por especies que soportan altos niveles de perturbación antrópica y su presencia o ausencia en uno y otro humedal está sujeta al tipo de cobertura vegetal del área. Existe una marcada diferenciación entre la composición y abundancias de las especies presentes en los humedales La Bolsa y Charco de Oro, lo que refleja el contraste de hábitats disponibles para la fauna de anuros y su grado de homogeneidad. Mientras en La Bolsa encontramos especies frecuentes y/o abundantes en hábitats de vegetación del cuerpo de agua (Dendropsophus colombianus), de vegetación sumergida y fondos lodosos (Typhlonectes natans), de vegetación sobre la orilla de los cuerpos de agua (Rhinella marina, Leptodactylus colombiensis), de vegetación arbustiva y/o vegetación arbórea (Colostethus freterdanieli, Hypsiboas pugnax), y de potreros y vegetación herbácea (Leptodactylus fragilis y L. insularum), en el humedal Charco de Oro la dominancia está marcada por una única especie Li. catesbeianus, que refleja la homogeneidad del hábitat dominado exclusivamente por potreros y vegetación herbácea cerca del cuerpo de agua pero sobre todo el impacto de una especie invasora.
Otra característica que comparten estos dos humedales es que los ensambles de anfibios encontrados son característicos de ecosistemas en que hay una marcada estación seca, ejemplo de esto son los leptodactylidos encontrados que han desarrollado adaptaciones como los nidos de espuma que pueden soportar periodos de estrés hídrico (Heyer, 1969). De esto y del hecho que en el ensamble fueron encontradas especies colombianas que habitan tierras bajas como H. pugnax, D. columbianus, A. auratus, Cn. lemniscatus, G. albogularis y D. bivittatus puede inferirse que la fauna anfibia y de reptiles nativa de la zona pertenecen a ecosistemas que presentan condiciones climáticas de bosque seco tropical, ecosistemas que alguna vez existieron sobre la cuenca del Rio Cauca (Peck, 2009).
La detección de larvas de H. pugnax, C. fraterdanieli y R. marina en ambas épocas del año indican que la estrategia adoptada por estas especies es la reproducción continua a lo largo de año. De acuerdo con Rueda-Almonacid (1999) esta misma estrategia es adoptada por Li. catesbeianus, de la cual no fueron colectados renacuajos en la época húmeda, pero sí muchos juveniles representando la clase etaria con mayor proporción dentro de la muestra en esta época. Lo anterior puede interpretarse como una estrategia en la que la reproducción ocurre antes del periodo de las lluvias de manera que se aseguraría que hubiera suficiente alimento para los juveniles en desarrollo. De los demás anfibios no se obtuvieron indicios de actividad reproductiva. Sin embargo, el aumento de capturas de hembras adultas de D. columbianus en la época húmeda respecto a la seca indica que la actividad reproductiva de esta especie ocurre en la época húmeda.
Del único reptil del que se obtuvo evidencia de actividad reproductiva fue G. albogularis. La presencia de esta especie solo en la época húmeda en el humedal Charco de Oro pueda ser debida a un desplazamiento hasta el único sitio disponible en este humedal para efectos de reproducción y postura de huevos. Si esto se cumple y sumado a la detección de huevos en el humedal La Bolsa en la época húmeda, se podría proponer que hay una estacionalidad en la reproducción de esta especie al igual que lo documentado para una población panameña (Sexton & Turner,1971) contrario a lo reportado por Serrano-Cardozo, et al. (2007) para una población de Santander, Colombia, apuntando a que la disponibilidad de recursos para su reproducción no es continua. A esta misma suposición se le puede atribuir su aumento en la abundancia relativa en el humedal La Bolsa durante la estación de lluvias.
Especies introducidas
De las especies introducidas Hemidactylus frenatus es una especie asociada a ambientes peridomésticos que generalmente no habita en ambientes naturales y no fue encontrada en los humedales, por lo tanto no se identifica como un amenaza para la biota nativa de los humedales.
La rana toro Lithobates catesbeianus mostró una alta representatividad en los muestreos realizados demostrando su gran capacidad de colonización y establecimiento de poblaciones en el tiempo. Esta evidencia soporta la hipótesis de Daza-Vaca & Castro-Herrera (1999) de que eventualmente las poblaciones de anuros nativas y en especial de Rhinella marina, podrían verse reducidas por un posible solapamiento de nichos con Li. catesbeianus; provocando una disminución en la cantidad de algunos de los recursos explotados por Rhinella marina, que antes de la introducción de la rana toro eran más abundantes. Esto conllevaría a la competencia interespecífica entre las dos especies que según las evidencias observadas, provocaría fuertemente el detrimento de las poblaciones de Rhinella marina.
Aparentemente la amenaza representada por la rana toro para los dos humedales es mayor para el humedal Charco de Oro que para La Bolsa, ya que por la mayor complejidad estructural de la vegetación acuática y arbustiva, el humedal La Bolsa se hace menos "atractivo" para esta rana según lo expuesto por Rueda-Almonacid (1999), lo que explicaria las bajas abundancias en este humedal. La rana toro representa la principal amenaza para las primeras etapas de desarrollo para la fauna invertebrada y en etapas posteriores para la ictiofauna y sobre todo para la propia fauna de anuros (Daza-Vaca & Castro-Herrera 1999).
Conclusiones
El hecho de que en estos humedales se refugie poco más de dos quintos de la fauna de anfibios y reptiles en los humedales del Valle del Cauca demuestra la importancia que estos ecosistemas tienen en esta región de la cuenca del Rio Cauca. El humedal La Bolsa es el que presenta mayor diversidad con la totalidad de las especies representadas en su ensamble, mayor extensión y comunicación directa con el Río Cauca, de manera que no solo funcionaria como refugio de anfibios y reptiles sino también de otra fauna como los peces que necesitan de ambiente lenticos para el desarrollo de sus larvas. Por lo tanto, en caso de que se contemple la protección de alguno de estos dos humedales bajo cualquier figura de protección de áreas, se recomienda dirigir estos esfuerzos a la conservación del humedal La Bolsa.
En la época seca del año Li. catesbeianus usa estos humedales para su reproducción mientras en la época de lluvias lo hace G. albogularis y tal vez D. columbianus. Las serpientes son un elemento muy escaso en estos lugares y hay una clara estacionalidad de la única especie del ensamble, cuya actividad aparentemente se restringe a la época de lluvias.
En términos generales se puede afirmar que no hay cambios en la composición de los ensambles en estos dos humedales y que uno de los factores que claramente influencia este fenómeno es el gran deterioro al que han sido sometidos estos cuerpos de agua causados por la introducción de especies invasoras hasta la total reducción de los bosques que alguna vez cubrieron esta área.
Por lo anterior se recomienda que se concerte con la población una línea de acción encaminada a la recuperación de la vegetación boscosa nativa y tomar medidas para controlar la proliferación de la rana toro (L. catesbeianus), ya que al involucrar comunidad de Andalucía, se logrará que las estrategias de control que se adopten lleguen a buen término. Aunque en el pasado se han adelantado acciones para la introducción de esta especie en la dieta del colombiano sin alcanzar grandes logros, es hora de mirar esta especie invasora como una fuente de materia prima de proteínas para la elaboración de alimentos para animales de cría.
Agradecimientos
Este manuscrito hace parte de los resultados obtenidos en el proyecto Formulación del Plan de Manejo y Monitoreo del Humedal Charco de Oro, Municipio de Andalucía- Valle del Cauca, realizado por Yoluka ONG, Fundación de Investigación en biodiverdidad y conservación y contó con el apoyo de Ecopetrol S.A. y 2C Ingenieros S.A. A su vez agradecemos el apoyo de Jhon Infante Betancour, Arlensiu Tiboche, César Mora, John J. Mueses-Cisneros y a las instituciones Universidad Nacional de Colombia, Instituto de Ciencias Naturales (ICN) y Alcaldía Municipal de Andalucía, Valle del Cauca. A Sandy Arroyo por sus observaciones y sugerencias sobre el manuscrito, John D. Lynch, Ramsés Caicedo, John Jairo y Herón Romero por su ayuda en la confirmación de las especies identificadas.
Literatura citada
Acosta-Galvis, A. R. 2000. Ranas, Salamandras y Caecilias (Tetrapoda: Anphibia) de Colombia. Biota Colombiana. 1(3):289-319. [ Links ]
Armesto, O., Esteban J. B. & Torrado R. 2009. Fauna de anfibios del municipio de Cúcuta, Norte de Santander, Colombia. Herpetotropicos. 5(1):57-63. [ Links ]
Ayala, S. C. & Castro F. No publicado. Saurios de Colombia-Lizards of Colombia. [ Links ]
Barriga-Bonilla, E., Hernández-Camacho J., Jaramillo-T. I., Jaramillo-Mejia R., Mora-Osejo L. E., Pinto-Escobar P. & Ruiz-Carranza P. M. 1969. La Isla de San Andrés: Contribuciones al conocimiento de su ecología, Flora, Fauna y pesca. Instituto de Ciencias Naturales - Facultad de Ciencias, Universidad Nacional, Dirección de Dibulgación Cultural. Bogotá, Colombia. [ Links ]
Bolívar-García, W. & Castro-Herrera F. 2009. Los anfibios y los reptiles. 107-115, en Corporación Autónoma Regional del Valle de Cauca, C. V. C., Humedales del valle geográfico del río Cauca: génesis, biodiversidad y conservación, Colombia. [ Links ]
Cáceres-Andrade, S. P. & Urbina-Cardona J. N. 2009. Ensamblajes de anuros de sistemas productivos y bosques en el piedemonte llanero, departamento del Meta, Colombia. Caldasia. 31(1):175-194. [ Links ]
Campbell, J. A. & Lamar W. W. 2004. The venenomous reptiles of the western hemisphere. Comstock Publishing Associates. New York. [ Links ]
Castro, F. 1991. Observaciones a la diversidad de los reptiles del Valle del Cauca y áreas de interés en su distribución. 324-334, En Memorias Primer Simposio Nacional de Fauna del Valle del Cauca, CVC, Gobernación del Valle del Cauca, INCIVA, Cali. [ Links ]
_____ & Katan G. 1991. Estado del conocimiento y conservación de los anfibios de Valle del Cauca. 310-323, en Memorias Primer Simposio Nacional de Fauna del Valle del Cauca, Cali. [ Links ]
_____ & Vargas-Salinas F. 2008. Anfibios y reptiles en el departamento del Valle del Cauca, Colombia. Biota Colombiana. 9(2):251-277. [ Links ]
Colwell, R. K. & Coddington J. A. 1994. Estimating terrestrial biodiversity through extrapolation. Philosophical Transactions of the Royal Society of London. Series B. 345:101-118. [ Links ]
Daza-Vaca, J. D. & Castro-Herrera F. 1999. Habitos alimenticios de la rana toro (Rana catesbeiana) Anura: Ranidae, en el Valle del Cauca, Colombia Rev. Acad. Colomb. Cienc. Ex. Fis. Nat. 23 (Suplemento especial):265-274. [ Links ]
Espinal, L. S. & Montenegro E. 1963. Formaciones vegetales de Colmbia. Memoria explicativa sobre el mapa ecológico. Instituto Geográfico "Agustín Codazzi", Editorial Canal Ramírez. Bogotá [ Links ].
Gower, D. J. & Wilkinson M. 2005. Conservation biology of caecilian amphibians. Conservation Biology. 19(1):45-55. [ Links ]
Grant, T. & Castro F. 1998. The cloud forest Colostethus (Anura, Dendrobatidae) of a region of the Cordillera Occidental of Colombia. Journal of Herpetology. 32(3):378-392. [ Links ]
Green, H. W. 1997. Snakes: The evolution of mistery in nature. University of California Press. Berkeley & Los Angeles, California. [ Links ]
Heyer, W. R. 1969. The adaptive ecology of the species groups of the genus Leptodactylus (Amphibia, Leptodactylidae). Evolution. 23(3):421-428. [ Links ]
Hofer, D. 2000. A short note about the status and abundance of caecilian populations. Froglog. 42:1. [ Links ]
Katan, G. 1984. Ranas del Valle del Cauca. Cespedecia. 13:40-50. [ Links ]
Kéry, M. 2002. Inferring the absence of a species - A case study of snakes. J. Wildl. Manage. 66(2):330-338. [ Links ]
Lehr, E. 2002. Amphibien und Reptilien in Peru : die Herpetofauna entlang des 10. Breitengrades von Peru: Arterfassung, Taxonomie, ökologische Bemerkungen und biogeographische Beziehungen. Natur und Tierverlag. Münster, Germany. [ Links ]
Lynch, J. D. 1999. Una aproximación a las culebras ciegas de Colombia (Amphibia: Gymnophiona). Rev. Acad. Colomb. Cienc. Ex. Fis. Nat. 23(Suplemento especial):317-337. [ Links ]
_____. 2006. The amphibian fauna in the Villavicencio region of eastern Colombia. Caldasia. 28(1):135-155. [ Links ]
_____. 2009. Snakes of the genus Oxyrhopus (Colubridae: Squamata) in Colombia: Taxonomy and geographic variation. Papéis Avulsos de Zoologia. 49(25):319-337. [ Links ]
Magurran, A. E. 2004. Measuring biological diversity. Blackwell Publishing. Oxford. [ Links ]
Marsh, D. M. 2000. Variable responses to rainfall by breeding tungara frogs. Copeia. 4:1104-1108. [ Links ]
Ministerio del Medio Ambiente-Instituto de Investigaciones de Recursos Biológicos Alexander von Humboldt. 1999. Humedales interiores de Colombia: Bases técnicas para su conservación y uso sostenible. Colombia. [ Links ]
Mora-Fernández, C. & Angarita-Sierra T. 2010. Una unión exitosa, Latinoamérica sostenible, especial Colombia. Edición 01. Junio-agosto 80-81. [ Links ]
Nuñez, C. A. & Madero E. E. 2009. Cambios en coberturas de áreas y usos del suelo en tres humedales en el Valle del Cauca. Acta Agronómica. 58(4):308-315. [ Links ]
Ortleb, E. & Heatwole H. 1965. Comments on some panamanian lizards with a key to the species from Barro Colorado island, C. Z. and vicinity. Caribbean Journal of Science. 5(3-4):141-147. [ Links ]
Palis, J. G. 1997. Breeding migration of Ambystoma cingulatum in Florida. Journal of Herpetology. 31(1):71-78. [ Links ]
Peck, R. B. 2009. La vegetación de los humedales en el tiempo. 71- 76, en Corporación Autónoma Regional del Valle del Cauca, C., Humedales del valle geográfico de rio Cauca: génesis, biodiversidad y conservación, Corporación Autónoma Regional del Valle del Cauca, Cali, Valle del Cauca. [ Links ]
Restrepo, C. & Naranjo L. G. 1987. Recuento historico de la disminución de humedales y la desaparición de aves acuáticas en el valle geográfico del rio Cauca. 34-51, En Memorias III Congreso de Ornitología Neotropical, Cali, Colombia. [ Links ]
Rueda-Almonacid, J. V. 1999. Situación actual y problemática generada por la introducción de "rana toro" a Colombia. Rev. Acad. Colomb. Cienc. Ex. Fis. Nat. 23(Suplemento especial): 367-393. [ Links ]
_____., Carr L. L., Mittermeier R. A., Rodríguez-Mahecha J. V., Mast R. B., Vogt R. C., Rhodin A. G. J., Ossa- Velásquez J., Rueda J. N. & Mittermeier G. 2007. Las tortugas y los cocodrilianos de los paises andinos del trópico. Serie de guías tropicales de campo N° 6. Conservación Internacional, Editorial panamericana, Formas e Impresos. Bogotá, Colombia. [ Links ]
Rueda, J. V., Castro F. & Cortez C. 2006. Técnicas para el inventario y muestreo de anfibios: Una Compilación. 135-172, En Angulo, A., J. V. Rueda-Almonacid, J. V. Rodríguez- Maecha & E. La Marca, Técnicas de inventario y monitoreo para los anfibios de la región tropical andina Conservación Internacional. Serie Manuales de Campo Nº 2, Panamericana Formas e Impresos S.A., Bogotá, Colombia. [ Links ]
Ruiz-Carranza, P. M., Ardila-Robayo M. C. & Lynch J. D. 1996. Lista actualizada de la fauna Amphibia de Colombia. Rev. Acad. Colomb. Cienc. Ex. Fis. Nat. 20(77):365-415. [ Links ]
Sandoval, M. C. & Ramírez C. 2007. El río Cauca en su valle alto. Un aporte al conocimiento de uno de los ríos más importantes de Colombia. Universidad del Valle - Programa Editorial Corporación Autónoma Regional del Valle del Cauca. Santiago de Cali. [ Links ]
Savage, J. M. 2002. The amphibians and reptiles of Costa Rica: A herpetofauna between two seas. Primera edición. The University Chicago Press. Chicago. [ Links ]
Semlitsch, R. D. 1985. Analysis of climatic factors influencing migrations of the salamander Ambystoma talpoideum. Copeia. 477-489. [ Links ]
Serrano-Cardozo, V. H., Ramírez-Pinilla M. P., Ortega J. E. & Cortés L. A. 2007. Annual reproductive activity of Gonatodes Albogularis (Squamata: Gekkonidae) living in an anthropicarea in Santander, Colombia. South American Journal of Herpetology. 2(1):31-38. [ Links ]
Sexton, O. J. & Turner O. 1971. The reproductive cycle of a neotropical lizard. Ecology. 52(1):159-164. [ Links ]
Vargas-Salinas, F. & Bolaños-L M. E. 1999. Anfibios y reptiles presentes en habitats perturbados de selva lluviosa tropical en el Bajo Anchicayá, Pacífico colombiano. Rev. Acad. Colomb. Cienc. Ex. Fis. Nat. 23(Suplemento especial):499-511. [ Links ]
Wells, K. D. 2007. The ecology and behavior of amphibians. The University of Chicago Press. Chicago, USA. [ Links ]
Wüster, W., Yrausquin J. L. & Mijares-Urrutia. 2001. A new species of indigo snake from North-Western Venezuela (Serpentes: Colubridae: Drymarchon). Herpetological Journal. 11:157-165. [ Links ]
Recibido: noviembre 10 de 2010. Aceptado para su publicación: mayo 11 de 2011.











