Services on Demand
Journal
Article
Indicators
-
Cited by SciELO -
Access statistics
Related links
-
Cited by Google -
Similars in
SciELO -
Similars in Google
Share
Revista de la Academia Colombiana de Ciencias Exactas, Físicas y Naturales
Print version ISSN 0370-3908
Rev. acad. colomb. cienc. exact. fis. nat. vol.35 no.137 Bogotá Oct./Dec. 2011
MATEMÁTICAS
1 Departamento de Matemáticas, Campus de Rabanales, Universidad de Córdoba, 14071 Córdoba, Spain. Correos electrónicos: ma1rimoa@uco.es, rmrubio@uco.es. AMS Classification 2010: 15A04, 15A21.
Resumen
Es bien conocido que todo automorfismo unimodular de un espacio vectorial puede descomponerse como un producto de transvecciones. En este trabajo depuramos la cantidad mínima de transvecciones que permiten tal descomposición.
Palabras clave: espacio vectorial, automorfismo, transvección.
Abstract
It is well-known that every unimodular automorphim of a vector space can be expressed as a product of transvections. In this work, we deal with the necessary minimal number of transvections for to give this product.
Key words: vector space, automorphim, transvection.
1. Introducción
Todo automorfismo de un espacio vectorial V de dimensión finita n ≥ 2 puede descomponerse en una cantidad finita de homologías automorfismos con un hiperplano de vectores dobles). Si su determinante es igual a μ, se descompone en una deformación de razon μ, seguida de una transformación unimodular (automorfismo de determinante unidad) (ver [1]). En lo que sigue trataremos un método geométrico que nos permitirá establecer la cantidad mínima de transvecciones necesaria en la descomposición de todo automorfismo unimodular.
Para las definiciones básicas de los conceptos que aparecen en este trabajo se puede consultar la referencia [1].
2. Descomposición de un autonlorfismo
Proposición 2.1. Sea f un automorfismo con determinante µ. Entonces f se descompone en una transformación unimodular seguida de un deslizamiento oblícuo de razón µ.
Demostración. Sea g = κ o f donde κ es un deslizamiento de razón µ-1 y sea h = κ -1. Entonces, g = κ o f, donde g es unimodular porque det(g) = det(κ) det(f) = µ-1µ = 1, mientras h es un delizamiento de razón (µ-1)-1 = µ. Si µ = 1, directamente f es unimodular. En general, la descomposición de f se reduce a la descomposición de automorfismos unimodulares. Éstos, lo harán en deslizamientos de razón 1, es decir, en transvecciones.

3. Composición de transvecciones
Proposición 3.1. Sea V d dimensión n ≥ 2. Sea f una transformación unimodular descompuesta en m transvecciones. Si D es el subespacio de vectores fijo de f , se cumple que dim(D) ≥ n - m.
Obsérvese que esta fórmula tiene dos lecturas:
a) Si el dato m, da el número n - m como valor mínimo para la dimensión de D. Por ejemplo, al componer n - 1 transvecciones, sale una transformación que tiene al menos una recta de vectores fijos.
b) Pero, si dim(D) es conocida, nos dice que n - dim(D) es la cantidad mínima de trasvecciones necesarias para poder descomponer f .
Por ejemplo, si f carece de vectores dobles no nulos, harán falta al menos n transvecciones. Este es el caso de las homotecias unimodulares de razón λ ≠ 1. Para ellas, podemos matizar más aún:
Proposición 3.2. Una homotecia unimodular no idéntica se descompone como mínimo en n + 1 transvecciones.
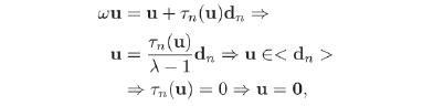
Demostración. Como f carece de vectores dobles no nulos, se descompone como mínimo en n transvecciones.Supongamos ahora que f = tno tn - 1o … o t2 o t1 donde cada tj es una transvección. Puesto que el subespacio de vectores dobles de tn - 1o … o t2 o t1 es al menos unidimensional, siempre podernos tomar un vector u ≠ 0 en él. Cumplirá que 
Si f fuese una homotecia de razón λ ≠ 1, se tendría
lo que contradice la elección de u. Por tanto, es imposible que f se descomponga en n transvecciones, siendo precisas al menos n + 1.

4. Descomposición en dimensión 2
Proposición 4.1. Si f es una transformación de determinante 1 en un plano vectorial V, f se descompone a lo sumo en dos transvecciones salvo que f sea una homotecia do razón λ ≠ 1, en cuyo caso hacen falta tres posibilidades:
Demostración. Sea D = Ker(f - Ι ) el subespacio de vectores dobles. Según su dimensión, se presentan tres posibilidades:
a) dim(D) = 2. En este caso, f = Ι que siempre se descompone en dos transvecciones: una arbitraria y su inversa.
b) dim(D) = 1. Como D es un hiperplano, la propia f es ya una transvección.
c) dim(D) = 0. Distingamos dos opciones:
1) f no es una homotecia. Entonces, existe al menos una recta que no es f -invariante, es decir, existe al menos un vetor u ≠ 0 tal que u y v = f (u) son línealmente independientes: Al formar una base de V, podemos determinar una forma lineal σ tal que σ(u) = σ(v) = 1, y con ella construir la transvección
(x) = x + σ(x)(u v), en la cual
(v) = u ⇒ (
o f )(u) = u. De aquí se concluye que la recta < u > es de vetores dobles para la transformación t1 =
o f , con lo que t1 es una transvección. Siendo, finalmente, t2 =
-1, queda f = t2 o t1, es decir, f se descompone en dos transvecciones.
2) f es una homotecia (no idéntica). Tratándose de un plano vectorial, la única opción que queda es la de f= Ι ⇔ f(x, y) = (x, y), se cumple que (
o f )(x,y) (x, y, y) es un transformación unimodular no homotética, donde por ejemplo

que no es proporcional a (0,1). Por otro lado, el sistema de vectores dobles es

Aplicamos el caso anterior, existen dos transvecciones t1, t2 tales que
o f = t1o t2 . Poniendo t3 =
-1, quedará finalmente f= t3o t2o t1 . Que esta transformación no puede obtenerse con dos transvecciones se sigue de la proposición 3.2.

Después de este resultado, en lo sucesivo, supondremos que n ≥ 3.
5. Teorema de Dieudonné
Proposición 5.1. Sea V de dimensión n ≥ 3. Sea f un automorfismo no homotético. Se afirma que existen dos vectores u y w tales que u, v = f (u), w, son linealmente independientes y, además 
Demostración. Por ser no homotético, existe al menos un u ≠ 0 tal que f(u)
<u>. Tomando v = f (u), la pareja u, v será libre, Puesto que dim(V) ≥ 3, siempre existirán vectores x fuera de < u, v>. En el caso en que f (x)
< v,x > tomamos w = x y el lema queda demostrado. Por el contrario, si f (x) = av + bx ∈ < v,x >, tomamos w = u + x, que sigue siendo independiente con u y v, y para el cual se cumple
Si b = 0, tendremos que
lo que contradice la eleción de x. Siendo, pues, b ≠ 0, es claro que f (w)
< v,x >.

Proposición 5.2. Sea V de dimensión n ≥ 3. Sea, f un automorfismo unimodular no homotético. Entonces, f se descompone en otro automorfismo unirnodular no homotético g, con al menos una recta de vectores dobles, seguido de una transvección t.
Demostración. Tornando dos vectores u, w como los del teorema anterior, por ser independientes u, v, w, puede determinarse una forma τ tal que τ(u) = τ(v) = 1, τ(w) = 0 y con ella construir la transvección t de ley = t (x) = + τ(x)(u v), la cual cumple t(v) = u, t (w) = w. Entences, g = t o f vuelve a ser unimodular y tiene una recta de vectores dobles porque g(u) = u. Además, no puede ser g (w) = λw, pues entonces
contradice la elección de w. Por tanto, g no es uma homotecia.

Proposición 5.3. Con las hipótesis del resultado previo se concluye que los vectores u, w, y g(w) son independientes.
Demostración. Como u y w lo son, basta ver que g(w) no es combinación lineal de estos vectores. En efecto,
en contra de la elección de w.

Proposición 5.4. Sea V de dimensión n ≥ 3. Si f es una trasvección unimodular no homotética de V, siempre es posible descomponerla en una cantidad de transvecciones igual a n.
Demostración. Tomando tres vectores independientes u1, v1, u2 tales que
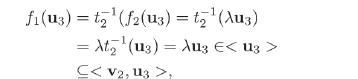
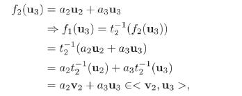
v1 = f(u1), f(u2)
< v1, u2 >, construímos una transvección t1 y un automorfismo unimodular no homotético f1 de manera que f = t 1 o f 1, f 1(u1) = u1.
Abrimos dos alternativas:
a) Si n 1 = 2(n = 3), determinamos una forma τ2 tal que τ2(u1) = 0, τ2(u2) = τ2( f 1(u2)) = 1, y construimos la transvección t 2(x) + τ2(x)(u2 f 1(u2)) en la cual se cumple que t 2(u1) = u1, t 2( f 1(u2)) = u2. A continuación, consideramos f 2 = t 2o f 1 = t 2o t 1o f , y se observa que f2(u1) = u1, f(u2) = u2· De aquí se sigue que el plano < u1, u2 > es de vectores doble para f2, luego f2 es una transvección. Así, f se despeja como composición de tres trasveciones y el teorema queda probado.
b) n 1 ≥ 3. Tomaremos, ahora, un complemento V1 de la recta < u1 >, que incluya a los vectores u2 y v2 = f1(u2). Como en la proposición 5.1, en V1 hay un vector u3 tal que u2, v2, u3 sean independientes y, además, f1 (u3)
< V2, u3 >. Determinemos, entonces, una forma τ2 tal que τ2 (ul) = τ2 (u3) = 0, τ2 (u2) = τ2 (v2) = 1, y con ella la transvección t2(x) = x + τ2(x)(u2 v2) y el nuevo automorfismo f2 = t2 o f1, en el cual f2(u1) = ul, f2(u2) = u2. Como en la proposición 06, f2 no es homotético, pues al menos u3 es independiente de su imagen. En efecto, si fuese f2(u3) = λu3 se tendría

lo que contradice la elección de u3. Además, como en la proposición 5.3, los vectores u2, u3 y f2(u3) son independientes: como u2 y u3 lo son, basta ver que f2(u3) no es combinación lineal de estos vectores. En efecto,

en contra de la elección de u3. Abrimos de nuevo dos alternativas:
i) si n 2 = 2(n = 4), determinamos una forma σ3 tal que σ3(u1) = σ3(u2) = 0, σ3(u3) = σ3(f2(u3) = 1 y construimos la transvección t3(x) = x+σ3(x)(u3 f2(u3)) en la cual se cumple t3(u1) = (u1), t3(u2) = u2, t3(f2(u3) = u3. A continuación, consideramos f3 = t3 o f2 = t3 o t2 o f1 = t3 o t2 o t1 o f, y se observa que f3(u1) = u1, f3(u2) = u2, f3(u3) = u3. De aquí se sigue que el subespacio < u1, u2, u3 > es de vectores dobles para f3, luego f3 es una transección. Así, f se despeja como composición de cuatro transvecciones y el teorema queda probado.
ii) Si n 2 ≥ 3, tomamos un complemento V2 del plano < u1, u2 > que icluya a los vectores u3 y v3 = f2(u3) y reiteramos el procedimiento. Esto es: se busca u4 ∈ V2 tal que u3, v3, u4 sean independientes y, además, f2(u4)
< v3, u4 >; se contruye una forma τ3 tal que τ3(u1) = τ3(u2) = τ3(u4) = 0,τ3(u3) = τ2(v3) = 1, y las transformaciones t3(x) = x + τ3(x)(u3 v3), f3(x) = t3 o f2, resultando que f3 es unimodular no homotética con el espacio tridimensional < u1, u2, u3 > de vectores dobles, etcétera, etcétera.
Se comprende que en n pasos, la proposición concluye.

Este resultado puede mejorarse en el sentido descomponer, según cada caso, f en menos de n transveccioones. hay un caso en que no:
Proposición 5.5. Sea V de dimensión n ≥ 3. Una transformación unimodular f no homotética y carente de vectores dobles, se descompone en n transvecciones y no es posible descomponerla en menos.
demostración. Es consecuencia direscta de las proposiones 5.4 y 3.1.

Proposición 5.6. Una homotecia f = λI, con λ ≠ 1, se descompone en n + 1 transvecciones y no es posible descomponerla en menos.
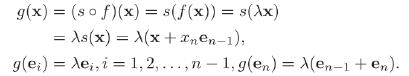
Demostración. Considerando la transvecció
(x) =
sea g =
o f. Entonces, g sigue siendo unimodular. Además,

El último vector no es proporcional a sí mismo, luego g no es una homotecia. el único autovalor de g sigue siendo λ, luego g carece de vectores dobles no nulos. Como g se descompone en n transvecciones, f lo hará en n + 1.
Que no es posible en menos se probó en 3.2.

6. Transformaciones con la unidad como único autovalor
Proposición 6.1. Sea V = U⊕W una descomposicín donde U y W sean propios. si s es una transvección de U, se extiende a otra t de V, de manera que su restricció a W sea la idéntidad.
Demostración. Sean n = dim(V), τ = dim(U). Tomamos una base {ui; wj} de V uniendo una de cada sumando directo. Si B es la matriz de
en la base {ui}, basta construir t mediante la matriz

en la base unión. Si
fijaba a r 1 vectores independientes de U, es claro que t fija a esos mismos más los n r de la base de W, es decir, fija n 1 vectores independientes de V. Por ello, y porque det(t) = det(
) = 1, t es una transvección.

Proposición 6.2. Sea V de dimensión n ≥ 3 y supóngase V = U⊕W, donde U y W son f-invariantes y dim(U) ≥ 2. Sea t una transvección cuyo espejo incluya a W. Entonces, la restricción de t o f a W coincide con f.
Demostración. En efecto, si w ∈ W, también f(w) ∈ W porque W es f- ivariante. Como W está en el espejo de t, se tiene t(f(w)) = f(w). En particular, si t procede por extensión de una transvección en uno de los sumandos directos, al componerla con f, los vectores del otro sumando directo se siguen transformando como f.

En particular, si t procede por extensión de una transvecció en uno de los sumandos drectos, al componerla con f, los vectores del otro sumando directo se siguen transformando como en f.
Proposición 6.3. Sea f una transformación unimodular tal que

Entonces, f se descompone en n 1 transvecciones.
Demostración. Bajo estas hipótesis sabemos que la matriz canónica de Jordan consta de un único bloque (celular). Si Β = {v1, v2,…,vn} es la base en que f alcanza dicha matriz, consideramos las n 1 transvecciones

Proposición 6.4.Sea f una transformación unimodular tal que

Entonces, f se descompone en n r transvecciones.
Demostración. Sea Β = {v1, v2,…,vn} la base en que f alcanza su matriz canónica de Jorfan, la cual estará formada por r bloques celulares de dimensiones d1, d2,…,dr. En cada uno aplicamos el teorema anterior y obtendremos

transvecciones. Como en la proposición 6.1, cada una de ellas se extiende a todo V. Teniendo en cuenta la proposición 6.2, la composición de ellas conduce a f.

Como resumen de nuestros resultados podemos observar:
Sea f una transformación unimodular de un espacio V de dimensión finita n ≥ 3. Supongamos que

Hay dos casos extremos:
a)
. En este caso f se descompone en n r transvecciones y no es posible descomponerla en menos (proposiciones 6.4 y 3.1).
= 0. ahora f se descompone en n transvecciones si f no es una homotecia y en n + 1 si es una homotecia no idéntica (proposiciones 5.5 y 5.6). Exceptuados tales casos (es decir, asumiendo que 0 <
< n), tendremos la descomposición directa

La restricción de f a Ker (f I)
se descompone en
r tansvecciones de V según el modelo de la propsición 6.1. Su consideración no afecta a los vectores del otro sumando directo (proposición 6.2) por que sus espejos lo incluyen. En cuanto a este segundo sumando directo, la restricción de f carace de vectores dobles no nulos, luego se decompone en n
, o bien en n
+ 1, transvecciones según sea homotecia o no. También estas se extienden a todo V según la proposición 6.1 y se recuerda que no afecta al primer sumando de acuerdo con la proposición 6.2. Así, f se descompone en

donde ∈ =0,1 según el caso.
Las proposiciones 3.1 y 3.2 no permiten descompones en menores cantidades. Esta fórmila abarca los casos extremos ya comentados. Por tanto, llegamos a nuestro teorema final:
Theorema 6.5. Sea f una transformación unimodular de un espacio V de dimensión finita n ≥ 3. Supongamos que

Entonces, f se decompone en n r + ∈ transvecciones, donde ∈ = 0 si la restricción de f a Ker(D(f)) no es homotecia y ∈ = 1 si lo fuese. En cada caso, la descomposición no puede serlo en una cantidad menor que la dicha.
Referencias
[1] M. Suzuki, Group Theory, Springer-Verlag (1982). [ Links ]
Recibido el 5 de julio de 2011. Aceptado para su publicación el 24 de noviembre de 2011












