Services on Demand
Journal
Article
Indicators
-
Cited by SciELO -
Access statistics
Related links
-
Cited by Google -
Similars in
SciELO -
Similars in Google
Share
Revista de la Academia Colombiana de Ciencias Exactas, Físicas y Naturales
Print version ISSN 0370-3908
Rev. acad. colomb. cienc. exact. fis. nat. vol.35 no.137 Bogotá Oct./Dec. 2011
MEDIO AMBIENTE
1 Departamento de Investigaciones, Universidad de La Salle, Carrera 4B No. 59-28. Bogotá, D. C. Colombia.
2 Departamento de Economía, Facultad de Ciencias Económicas y Sociales. Universidad de La Salle, Carrera 4B No. 59-28.
3 Jefe de Mercadeo y Producto, Banco ProCredit, Calle 36 No. 16-20, Bogotá, D. C. Colombia.
4 Dirección postal: Escuela de Ciencias Sociales, Edificio Central, 3er. Piso. Universidad Pedagógica y Tecnológica de Colombia (UPTC).
Avenida Central del Norte, Santiago de Tunja, Boyacá, Colombia. Correo electrónico: jorge.ruiz@uptc.edu.co
Resumen
La Amazonia colombiana cubre 477.375 km2 correspondientes a 41.7% de la plataforma continental colombiana. El bosque amazónico colombiano es, por su área, el más importante del país pues representa más de la mitad de toda su cobertura boscosa. Sin embargo, es poco lo que se sabe sobre su dinámica. Para la Amazonia colombiana, existen considerables diferencias en los estimativos de tasas de deforestación y tasas de sucesión, hecho que tiene enormes repercusiones sobre el balance neto de estos bosques en las cuentas nacionales de CO2. Se llevó a cabo una clasificación supervisada de 29 pares de imágenes LANDSAT TM y ETM+ hacia alrededor de 1986 y 2000 para cinco categorías de coberturas da la tierra: agua, praderas naturales, agroecosistemas, arena y afloramiento rocoso. Los resultados sugieren que a pesar de haber regiones con un proceso de sucesión de 620 km2, el resultado neto es que durante este período se perdieron unos 12.200 km2 de bosque, aproximadamente 852 km2 anuales, y paralelamente el bosque secundario creció anualmente en 43,3 km2 arrojando una tasa anual de deforestación o "r" de 0,23%. En otras palabras, aproximadamente entre 1986 y el 2000, se deforestó el 2,8% de la Amazonia colombiana. Las mayores tasas de deforestación se observaron al occidente de los departamentos de Putumayo y Caquetá y el suroccidente del Meta. No obstante, se evidencia un proceso de sucesión en la parte central de Caquetá, el noroccidente del Amazonas y Vaupés y Guainía oriental. Los resultados obtenidos cuestionan seriamente los reportados anteriormente, siendo el área deforestada anual en km2 un orden de magnitud menor.
Palabras clave: Amazonia, Colombia, deforestación, sucesión, teledetección.
Abstract
The Colombian Amazon covers 477,375 km2 that accounts for 41.7% of the country's continental platform. The Colombian Amazonian forest is, by its area, the most important in the country, accounting for over one half of Colombia's forest cover. However, little is known about its dynamics. There are considerable differences between secondary forest and deforestation estimates for this region. This fact has profound repercussions on the net CO2 national balance. A supervised classification was performed for 29 pairs of LANDSAT TM and ETM+ satellite images between 1986 and 2000 for five land cover types: natural pastures, agro-ecosytems, sand, water and rock outcrops. Results suggest that in spite of regions with a succession process of 620 km2 , about 12.200 km2 were deforested, approximately 852 km2 annually and an annual growth of secondary forest of 43.3 km2 for an annual deforestation rate or "r" of 0.23%. In other words, 2.8% of the Colombian Amazonian forest was lost between 1986 and 2000. The greatest deforestation rates were observed to the west of the territories of Putumayo and Caqueta and to the southwest of Meta. However, succession took place in central Caquetá, northwestern Amazonas, Vaupes and eastern Guainia. Results obtained here seriously question deforestation measured in squared km2 per annum, previously reported, being one order of magnitude lower.
Key words: Amazonia, Colombia, deforestation, succession, remote sensing.
Introducción
La cuenca amazónica no tiene paralelo global por su biodiversidad y los servicios ambientales que ofrece. No obstante, existen considerables diferencias en cuanto a la contabilidad de la dinámica boscosa en América Latina. En efecto, Lambin & Geist (2003) estiman que la deforestación de los bosques húmedos de América Latina para el período comprendido entre 1990 y 1997 fue de 25,000 km2, siendo el rango entre 11,000 a 39,000 km2; para el mismo período el bosque secundario creció 3,000 km2, con un intervalo de 1,000 a 5,000 km2. La evidencia parece sugerir que si bien continua el proceso histórico de deforestación de bosque maduro amazónico (Fearnside & Barbosa, 2004), paralelamente, el bosque secundario ha crecido considerablemente (Coomes et al., 2000).
Es un lamentable hecho que a pesar de contar con la tecnología y los recursos adecuados, no se conoce con exactitud el área de bosques talados ni el crecimiento del bosque secundario en Colombia. Se han manejado estimativos muy generales y con amplios márgenes de error. Existe una urgente necesidad de obtener información veraz sobre la extensión, deforestación, estructura, regeneración y diversidad de los bosques tropicales (Quiñones, 2002). En el caso colombiano, los estimativos de deforestación a nivel nacional, así como de su distribución espacial, varían sustancialmente entre 1,800 km2 y 8,000 km2 por año, dependiendo de los autores y las fuentes de información utilizadas (FAO, 2004). En el año 2004 la FAO estableció la tasa de deforestación para el período entre 1990 y 2000 en 1,905 km2 por año, con base en una regresión lineal en la que se utilizaron datos de algunos departamentos correspondientes a los años 1975, 1980 y 1996. Según Vanegas (1993), sin mencionar de qué forma se llega a estas cifras, entre 1962 y 1987 se sustrajeron de la Reserva Forestal de la Amazonia 59, 000 km2, para un promedio anual de 2,360 km2.
La Amazonia colombiana abriga seis por ciento de toda la cuenca, siendo la cuarta en extensión después de las de Brasil, Perú y Bolivia. El Amazonas colombiano cubre un área de 477.375 y da cuenta de casi la mitad de la plataforma continental colombiana. El bosque amazónico es el más grande del país y representa más de la mitad de la cobertura boscosa colombiana. No obstante, estos ecosistemas se encuentran pobremente estudiados en comparación a sus contrapartidas brasileñas (Armenteras et al., 2006). En contraste con el Amazonas brasileño, el bosque amazónico colombiano no fue sustancialmente transformado como resultado de las bonanzas de la quinina y el caucho (Palacio, 2004). Empero, hay evidencia de profundas transformaciones de la región amazónica, por ejemplo en el norte del Guaviare (Quiñones, 2002, Martínez et al., 1997; Etter, 1991) así como en las zonas occidentales como el Caquetá (Van der Hammen y Andrade, 2003). La Amazonia colombiana sufre deforestación por colonos provenientes del interior, así como de grandes ciudades amazónicas como Iquitos, Florencia y Leticia (Duivenvoorden y Lips, 1995). Es de agregar el impacto por la exploración y extracción de petróleo en la parte occidental, así como la expansión de la frontera agrícola, incluidos los cultivos ilícitos. Según García (1999), el aumento espectacular del crecimiento del área cultivada en coca se debe a la pobreza del campesino colono que no tiene alternativas de cultivos lícitos.
Estudios recientes en la región siguen siendo muy puntuales. Riaño y Gutiérrez (2007) abordaron tan solo la frontera tripartita entre Colombia, Brasil y Perú; mientras que Etter et al. (2006a) y Armenteras et al. (2006) estudiaron cinco zonas muestreadas en el Caquetá y seis en toda la Amazonia respectivamente. Además, surge el problema de imputar las tasas observadas al resto de la Amazonia colombiana, o por el contrario, las pesquisas trabajan con una resolución espacial muy amplia como en el trabajo de Etter et al. (2006b). Cabe subrayar que es notable la ausencia de estudios para el departamento del Putumayo.
El trabajo más importante acerca del la dinámica del bosque amazónico hasta la fecha fue contratado por el IDEAM con la empresa Prosis S. A. En esa ocasión se adelantó una comparación entre 1986 y 1996 mediante una clasificación de las coberturas por fotointerpretación en imágenes satelitales LANDSAT Thematic Mapper (LANDSAT TM). Cabe anotar que algunas de las imágenes utilizadas fueron las mismas para ambos períodos, presumiblemente por no contarse con alguna libre de nubes para un año en particular. Los resultados de ese estudio despertaron controversia en la comunidad ambiental colombiana al sugerir una disminución de la deforestación. Como si lo anterior fuera poco, la tasa de deforestación propuesta por el IDEAM (2002) es sensible al tamaño del área de estudio, como se observa más adelante. El presente estudio se ha realizado como una aproximación que busca solucionar esta falencia.
La evidencia científica sugiere que aún falta una evaluación total más precisa de la dinámica de los bosques en la Amazonia colombiana. El IDEAM (2002) llamó la atención sobre la urgencia de establecer la tasa media anual de deforestación en la Amazonia colombiana como consecuencia de la intervención antrópica, como monitoreo de las zonas de colonización y seguimiento al estado de los ecosistemas y como herramienta de gestión ambiental por parte de las entidades locales y regionales. En efecto, los objetivos de protección ambiental requieren de la documentación de la tasa y extensión de la deforestación (Sánchez-Azofeifa et al. 2003). No obstante, la cuantificación de la deforestación no es un asunto fácil (Laurance et al. 2004; Fearnside & Laurance, 2003; Wood 2002) particularmente en Colombia, debido a la persistente cobertura de nubes en el piedemonte, esto es, la vertiente oriental de la cordillera oriental así como por problemas de orden público, entre otros.
Hay al menos tres asuntos que se deben tomar a consideración cuando se estudia la deforestación y sucesión en la Amazonia. Primero, las altas tasas de abandono de la tierra, segundo la agricultura itinerante y por último, la rápida sucesión de arbustos a árboles (Steininger, 2000).
Considerando que el bosque amazónico colombiano es el más grande del país, las conclusiones sobre la dinámica en su cobertura tienen enormes repercusiones en el balance nacional neto del dióxido de carbono. De los tres componentes principales de dicho balance, Energía, Cambio de Uso de la Tierra y Silvicultura (CUTS) y Agricultura, el segundo es el que más incertidumbre encierra (UNFCCC, 2003). El efecto es tan grande que no importa que tan precisas sean las estimaciones en los módulos de Energía y Agricultura, no son comparables al efecto de incertidumbre que encierra del módulo CUTS, en particular en un país como Colombia por el tamaño de sus bosques. En efecto, existe una diferencia de un orden de magnitud al comparar los resultados obtenidos en relación con el módulo CUTS entre el estudio adelantado por el IDEAM (2001), esto es 11,880 Giga gramos (Gg) de CO2, y los registrados por González (1998), estimados en 111,275 Gg. Las diferencias de los otros dos módulos, Energía y Agricultura, son irrelevantes y no significativas si se tienen en cuenta los respectivos intervalos de confianza. La diferencia en clasificar a Colombia como productor o sumidero de CO2 está íntimamente ligada al estimativo de las tasas de deforestación y sucesión que utilizó cada fuente. El IDEAM (2001) se basó, entre otros, en los resultados del estudio contratado a PROSIS, mientras que González (1998) se apoyó en los estimativos de la Organización de las Naciones Unidas para la Alimentación y la Agricultura (FAO). González (1998) utilizó una cifra de deforestación de 3,670 km2 anuales, endosando el estudio de la FAO (1994) aunque consideró que posiblemente esta cifra era muy alta, pudiendo ser del orden de 1,500 km2. El estudio de la FAO (1994) a su vez estimó la deforestación para el período 1981 - 1990 basándose en datos oficiales de entidades relacionadas con los bosques. El objetivo del presente estudio no es calcular las cuentas nacionales de gases de efecto invernadero, como si lo es, brindar información más precisa sobre las tasas de deforestación y crecimiento del mayor bosque colombiano, como uno de los insumos para reducir la incertidumbre en el módulo CUTS.
El tipo se sensor, óptico versus radar, es motivo de debate entre la comunidad especializada en teledetección. A pesar de los problemas intrínsecos de trabajar con teledetección óptica en comparación a la de radar, los trabajos que utilizan la primera técnica han sido considerablemente más frecuentes que los segundos en el estudio del cambio de la cobertura boscosa en la cuenca amazónica (Asner, 2000). Incluso se han empezado a utilizar sensores de alta resolución como IKONOS. Estos llegan a ofrecer información sin precedentes sobre estructura y composición de los bosques (Souza & Roberts, 2005, Turner et al. 2003).
Numerosos estudios en Ecuador, Brasil, Perú, Bolivia y Colombia han evaluado las tasas de crecimiento del bosque secundario y de deforestación en la cuenca Amazónica utilizando el satélite LANDSAT, a pesar de la problemática surgida por la cobertura de nubes por ejemplo: Alves et al., 1999; Instituto Nacional de Pesquisas Espaciais - INPE, 2005). Alves (2002), en su estudio sobre deforestación de la Amazonia brasileña con base en pares de imágenes LANDSAT TM, entre 1991 y 1996 encontró entre un sexto y un 30% de los estados brasileños objeto de estudio con cobertura de nubes, en tanto que decidió descartar el estado de Amapá por presentar un 60% de cobertura nubosa. No es claro que metodología utilizó para estimar la tasa de deforestación neta no dependiente del efecto de nubes, ya que tanto la tasa obtenida como su ubicación geográfica pueden ser resultado de la diferente cobertura nubosa.
Una vez superado el obstáculo de imágenes ópticas, idealmente sin nubes o con menos del 20% de cobertura con nubes, concurren una gran variedad de metodologías a aplicar para identificar cambios en la cobertura boscosa. Existen dos aproximaciones principales para determinar la deforestación así como el crecimiento del bosque secundario. Por una parte, la aproximación multitemporal en teledetección, y por otra, un par imágenes o en su defecto, una sola imagen en la cual se determina la edad del bosque por sus características reflectivas. Sobre esta última alternativa cabe mencionar que se hace difícil distinguir la edad sucesional del bosque a partir de las firmas espectrales. El clasificar erróneamente el bosque sucesional como en clímax subestima el papel del bosque, ya que éste último se encuentra en balance carbónico, mientras que el bosque sucesional secuestra carbono y actúa como sumidero (Grau et al., 2004; Brown & Lugo, 1990). En efecto, una amplia literatura presenta evidencia que el bosque joven se confunde con el viejo. Mausel et al. (1993) sostienen que, con base en imágenes LANDSAT TM, a los siete años el bosque secundario se confunde con el bosque maduro amazónico. Otros estudios, utilizando el mismo sensor, concluyen que a esta situación se llega solo a los 15 años (Nelson et al., 2000; Foody et al., 1996; Steininger, 2000; Moran et al., 1994, 2000). Es importante subrayar que en ocasiones las imágenes LANDSAT TM y/o Enhanced Thematic Mapper (ETM+) no pueden distinguir las edades sucesionales del bosque húmedo, tal y como lo reportaron Sader et al. (1989) para Puerto Rico y Steininger (2000) para Bolivia. En el caso de bosque seco tropical, Ruiz (2002) asegura que utilizando LANDSAT 7 ETM+ y con base en las pruebas de rango múltiple de Duncan, se puede distinguir el bosque sucesional menor de 6 años con el de más de 56, mientras que las edades intermedias se confunden tanto con las más jóvenes como con las mayores.
El objetivo del presente estudio es determinar las tasas de deforestación y de crecimiento del bosque secundario, así como su distribución espacial mediante el uso de dos ventanas del sensor LANDSAT TM y ETM+ desde mediados de 1986 hasta alrededor del año 2000 aproximadamente; para un período entre las dos de 14.32 años . La pesquisa tiene relevancia tanto global como para Colombia en el sentido de brindar información fundamental para poder estimar eventualmente, y con mayor precisión a lo abordado a la fecha, si el país es emisor o sumidero de CO2, al menos en lo que respecta a la región biogeográfica con mayor extensión boscosa, como lo es la Amazonia.
Descripción del área de estudio
Se tomó el perímetro de la Amazonia definido por el Instituto SINCHI de Investigaciones Amazónicas (2011), según el cual la Amazonia colombiana cubre un área de aproximadamente 477.375 km2, equivalentes al 41.7 por ciento de la plataforma continental del país. Esta área es considerablemente mayor a la reportada por otros autores; por ejemplo, Domínguez y Gómez (1990) la estimaron en tan solo 336,583 km2 mientras que Mejía (1990) la situó en 403,000 km2. Según el perímetro del SINCHI, la divisoria de aguas del costado oriente de la cordillera oriental se considera como borde occidental. Si bien en esta zona se alcanzan alturas superiores a los 3,000 m y por ende no constituye bosque amazónico como tal, desde el punto de vista florístico (Murcia, 2005, comunicación personal), la mayoría de los ríos amazónicos colombianos nacen allí. Según la definición aquí utilizada, el límite norte de la Amazonia colombiana esta dado al noroccidente por el río Ariari, el Río Guaviare en la parte norte central y luego el Río Vichada en el nororiente. Los límites oriental y sur de la Amazonia están dados por la división política internacional que, en ocasiones, sigue los causes de algunos ríos como el Orinoco, Putumayo y Amazonas.
Aproximadamente un 80% de la Amazonia colombiana presenta cobertura boscosa que no se debe considerar como un solo ecosistema, sino como un conjunto que incluye bosques de tierra firme, bosques inundables, bosque maduro y bosque achaparrado, entre otros. El resto lo componen: cuerpos de agua, agro-ecosistemas, arena y afloramientos rocosos. Aproximadamente 9,000 km2 de afloramientos rocosos existen en la Amazonia colombiana, más que todo en el Caquetá medio y una parte menor en la Amazonia oriental. Como se verá más adelante, por su extensión, esta fue una de las coberturas abordadas desde la teledetección. Estos afloramientos son de especial importancia ecosistémica por sus características geomorfológicas, siendo que se caracterizan por ser formaciones calcáreas de las eras Paleozoica y Mesozoica (Arbeláez & Parrado-Rosselli, 2005).
Materiales y métodos
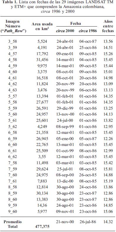
En total 29 imágenes del sensor TM a bordo del satélite LANDSAT cubren la Amazonia colombiana. Algunas de estas imágenes se requieren en su totalidad, otras solo en parte (Tabla 1). Se hizo un análisis del inventario de estas imágenes en el Instituto de Hidrología, Meteorología y Estudios Ambientales (IDEAM). El objetivo era evaluar la disponibilidad de imágenes con el fin de comparar los cambios de la cobertura boscosa en al menos dos momentos o ventanas, siendo uno alrededor del año 2000; el otro pudiendo ser en la década de los 70s, 80s o 90s. En el caso de estas últimas, la década de los 80s resultó ser la más completa, esto es, el mayor número de imágenes LANDSAT 5 TM en los archivos del IDEAM. Para el caso de la década del 2000, se descargaron del portal del Global Land Cover Facility (2008) de la Universidad de Maryland 28 de las 29 imágenes de satélite LANDSAT 7 ETM+.

Las imágenes de la década del 2000 son las más precisas de la serie LANDSAT en cuanto a su ubicación real, debido a que el satélite LANDSAT 7 y el sensor ETM+ entraron en órbita en 1999, dotados de la última tecnología. En ERDAS IMAGINE versión 8.5 se georreferenciaron las 29 imágenes de satélite de la década de los 80s, con base en las imágenes LANDSAT 7 ETM+ ya mencionadas (Tabla 1). Ambas ventanas de teledetección se manejaron en el sistema de coordenadas "Universal Transverse Mercator (UTM)", zona 17 tanto norte como sur; y el datum del "World Geodetic Survey" de 1984 (WGS84). El período promedio transcurrido entre las dos ventanas, de 14.32 años, se logró obteniendo las fechas para cada imagen del metadato, luego substrayéndolas, la más reciente de la más antigua y finalmente calculando el promedio (Tabla 1). El menor rango fue de 12.26 años y el mayor de 15.45 años.
En el proceso de georreferenciación del conjunto de datos de la década de los 80s, para cada imagen se utilizaron al menos 20 puntos de control usando los pocos lugares de asentamientos humanos identificables en ambas imágenes, como por ejemplo las pistas de aterrizaje; en la mayoría de los casos se utilizaron los puntos de encuentro de cuerpos de agua. Aunque la dinámica fluvial es un hecho en la Amazonia y los ríos cambian constantemente de curso, lo cual inevitablemente introduce errores de posicionamiento, no existe otra alternativa.
Se llevó a cabo un trabajo de verificación de campo con visitas al sur de la Amazonia colombiana con geoposicionadores (GPS) para obtener puntos de control, así como para identificar áreas piloto para la identificación de áreas de modelo de la clasificación digital supervisada en el software ERDAS IMAGINE 8.5. Esta última consiste en indicar al programa, mediante la digitación de polígonos, con tono o color similar, las clases discretas de las áreas modelo (NASA, 2011) como por ejemplo, cuerpos de agua, bosque inundado, bosque joven, bosque maduro de tierra firme, etc. Vale la pena anotar que en las áreas modelo escogidas en ERDAS IMAGINE 8.5, se obtuvieron mejores resultados con varias muestras de tamaño pequeño en lugar de las de gran tamaño. Por ejemplo, se obtienen mejores resultados en la clasificación supervisada si se utilizan áreas modelo de ríos pequeños. El caso contrario no produjo buenos resultados, esto es, utilizar grandes áreas en los grandes ríos no clasificó correctamente a los pequeños ríos. La realización de visitas al resto de la Amazonia hubiera sido valiosa; sin embargo, estas visitas no fueron viables a la luz del tamaño de la región, del tiempo disponible, el presupuesto del proyecto y por último pero no menos importante, por los problemas de orden público.
Se desarrolló un procedimiento raso basado en la comparación posterior a las dos clasificaciones. El primer paso fue escoger las mejores imágenes, esto es, con la menor cobertura de nubes, entre las disponibles para completar el juego de las 29 y establecer para cada una su área y el día, mes y año. Esto es muy importante ya que consiste la base de las fechas entre las dos ventanas, además permite calcular el peso de la deforestación o del crecimiento del bosque secundario en el escenario regional (Tabla 1) como se explica más adelante. A la luz de la sobreposición que se presenta entre cada imagen y sus cuatro imágenes contiguas, fue necesario realizar cortes de las mismas. Aquí se siguieron dos criterios, en primer lugar cortar más del área de sobreposición en las imágenes con mayor cobertura de nubes y en segundo lugar, seguir el perímetro propuesto por el SINCHI. Una vez finalizada la etapa de clasificación se corrió un cedazo de tres por tres celdas, cada celda midiendo 30 x 30 m, con el fin de mejorar los resultados y reducir el peso de memoria de la imagen clasificada. En esta forma se obtiene una unidad mínima de mapeo de 90 x 90 metros, equivalentes a 0.81 ha. Este procedimiento tiene un profundo efecto a nivel de ecosistemas. Todos los relictos de bosque o, para ser más exactos, de cualquier tipo de cobertura, menores a esta área son eliminados. Esta área sobrepasa la exigencia de la Organización de las Naciones Unidas para la Alimentación y la Agricultura (FAO, 2004) para lo que es un bosque, según este organismo un bosque debe tener al menos media hectárea. Eso significa que se aumenta la velocidad de procesamiento al reducir la resolución espacial al generalizar las categorías pero se eliminan los parches de todas las categorías, incluido el bosque con pareas inferiores a este umbral. Por tratarse de una aproximación a gran escala de paisaje, el anterior procedimiento no compromete de forma alguna los resultados del estudio.
Hay que considerar que los resultados regionales no son tan fieles como los que se pueden obtener imagen por imagen. Por ejemplo, la vertiente oriental de la cordillera oriental presenta persistentemente cobertura de nubes y es al mismo tiempo una zona con altas tasas de deforestación. El asignarle un promedio de un departamento, por ejemplo Caquetá, sin lugar a dudas introduciría errores. Es por esto que los estimativos de crecimiento del bosque secundario o de deforestación se llevaron a cabo "imagen por imagen" o corte de imagen utilizados y luego se estimó el total para la Amazonia colombiana. Este método adicionalmente permite observar la distribución espacial de la deforestación, zonas sin cambio o crecimiento del bosque secundario.
Se utilizó para la clasificación de las coberturas de la tierra el Nivel I de clasificación CORINE (Coordination of Information on the Environment) Land Cover desarrollado por la Agencia Ambiental Europea, con algunas variantes como se describe a continuación:
Vegetación natural: Es el agrupamiento vegetal con predominio de especies arbóreas, arbustivas y herbáceas, conocidas como autóctonas de la zona, asociadas generalmente a fauna silvestre. Esta categoría se subdividió en dos clases: Bosques y pasturas naturales. En este orden de ideas, se hizo la distinción del pasto natural común en la Orinoquía colombiana, así como en la cercanía de la Sierra de la Macarena, fruto de la intervención humana. A pesar de que ambas clases de pasturas fácilmente se pueden confundir por sus rubricas espectrales, su origen natural o antropogénico reviste vital importancia. El proceso de praderización de la Amazonia, fruto de la quema del bosque, se clasificó como vegetación cultivada o agroecosistemas, mientras que las otras sabanas se dejaron como pradera natural.
Agroecosistemas: Áreas donde la vegetación natural ha sido removida o modificada y reemplazada por diferentes tipos de cobertura vegetal, resultado de actividades antrópicas. Las pasturas no naturales están incluidas en esta categoría.
Cuerpos de agua: Cualquier área que esté cubierta por agua permanentemente o en algunas épocas del año.
No se tuvieron en cuenta las superficies artificiales dadas las características de la zona y la escala de trabajo. Para que tenga sentido esta cobertura en la zona, solo es aplicable a escalas iguales o inferiores a 1:5,000. Sin embargo, se incluyó la categoría Arena dadas las playas que se forman en época seca en las riveras. Tampoco se utilizó la categoría espacios abiertos sin vegetación. Esta, si bien contemplaba áreas que no tienen cobertura artificial, vegetación o sin presencia de vegetación, fue reemplazada por afloramiento rocoso, clase que comprende la roca desnuda así como la vegetación achaparrada que crece sobre esta. Con el fin de dejar el afloramiento rocoso constante, y reducir el error introducido por clasificar esta clase en cada ventana, se produjeron polígonos de esta clase con base en las mejores imágenes de cada ventana y se utilizaron los mismos polígonos en ambas fechas. Lo anterior evita el problema de tener que utilizar esta clase en el momento de clasificar imágenes en zonas donde no existe afloramiento rocoso, por ejemplo en el Trapecio Amazónico.
La anterior metodología, en harmonía con la filosofía de Corine Land Cover, permite construir mapas de uso y cobertura de la tierra que se vuelven más complejos a medida que se obtiene mayor información a menor escala. Algunas zonas, como por ejemplo las sombras de nubes sobre las pasturas, se clasificaban erróneamente como bosque, o las pasturas antropogénicas como pasturas naturales. Por lo tanto, tuvieron que ser recodificadas manualmente.
Como era de esperarse, la cobertura de nubes fue diferente para ambas ventanas ver un ejemplo en la Figura 1. En esta se aprecia una cobertura de nubes para 1986 en la parte superior izquierda particularmente sobre un río Para solucionar este problema, se utilizó el programador "Knowlege Engineer" de ERDAS IMAGINE 8.5 con el fin de programar el retiro de las áreas cubiertas por nubes para cada imagen pero para ambas fechas (Ruiz et al. 2007). Como resultado se obtienen dos clasificaciones de las imágenes satelitales exclusivamente para las coberturas boscosas y netas de las nubes para tanto la primera como para la segunda fecha, es decir, la cobertura boscosa que en ninguna de las dos fechas tuvo nubes, como se explica mediante un ejemplo a continuación. La cobertura boscosa para el año 2000 esto es Bosque 8 59 00 para la imagen Landsat 7 ETM+ path 8 y row 59 se obtiene a partir de la clasificación del año 2000 (Figura 2) programación que guarda aquellas celdas clasificadas como con cobertura boscosa o aquellas con el número dos (Figura 2). Una regla adicional que se debe cumplir para guardar una celda en esta rutina es cada celda en el 2000 de bosque no fuera cubierta por nubes en la imagen de 1987, en el ejemplo, mayor a 12 (Figura 2). Como resultado se obtiene la cobertura boscosa del 2000 excluyendo las celdas que correspondían a nubes en 1987. Se debe llevar a cabo el mismo procedimiento pero al revés, esto es, la cobertura boscosa de 1987 neta de nubes del 2000. En otras palabras, se retira exactamente en cada imagen las celdas que tuvieron cobertura nubsa en ambos períodos y que adicionalmente fueron clasificadas como bosque, de tal forma que se tiene una comparación de las zonas que en ninguno de los dos períodos tuvieron cobertura de nubes pero que además fueron bosque. En detalle se aprecia un aumento de la deforestación en sentido noroccidentesuroriente (Figura 3).
Finalmente, las estadísticas de las celdas de cada clasificación para cada par de imágenes, alrededor de 1986 y 2000, se extraen de ERDAS IMAGINE 8.5 y luego se pasan a EXCEL para su procesamiento. Las zonas que se retiraron por cobertura de nubes alrededor del 2000 se les imputan lo observado en 1986-2000, lo anterior bajo el supuesto que tuvieron el mimo comportamiento de aquellas regiones que se pudieron observar. En otras palabras, se asume que en estas zonas de nubes ocurrió lo mismo que en las zonas que no tuvieron nubes. Como resultado se hace una evaluación más precisa del proceso de deforestación, o sucesión.
El siguiente paso consiste en calcular las tasas de deforestación, una vez se ha imputado lo observado para los dos períodos para las zonas de nubes del último período. Se utilizó un indicador en términos relativos como lo es la tasa media de deforestación propuesta por Dirzo & García (1990), el cual no se ve afectado por el tamaño de las parcelas estudiadas:
Donde:
r es la tasa de deforestación,
A1 es el área de bosque en el primer período,
A2 en el segundo y
t es el número de años entre ambos períodos.
La anterior metodología no es se ve afectada por el tamaño de las parcelas como lo es la propuesta del IDEAM (2002), esta última pudiendo dar una impresión equivocada sobre la dinámica del bosque al comparar dos áreas de distinto tamaño.
La tasa media anual de deforestación en km2 que propone el IDEAM (2002) es la siguiente:
Donde:
TMAD = Tasa Media Anual de Deforestación
AB1 = Área en bosque primera evaluación
AB2 =Área en bosque segunda evaluación
AÑO2 = Año última evaluación
AÑO1 =Año primera evaluación
Resultados
El proceso de georreferenciación del conjunto de imágenes de los años 80s con base en el conjunto del 2000 arrojó buenos resultados, lo cual se pudo apreciar por la buena superposición de los ríos, centros poblados, entre otros, para las imágenes de ambas fechas.. No obstante, el ajuste con el perímetro proporcionado por el SINCHI no fue tan preciso, esto quiere decir que por ejemplo no ajustó bien el curso de los ríos en límite internacional con el perímetro del SINCHI.
En 22 de los 29 pares de imágenes estudiados se observó un proceso de deforestación que varió entre un mínimo de 0,2% en la imagen 7_59, hasta un máximo de 41,2% en la imagen 9_60 (Tabla 2). Este proceso fue particularmente severo en el extremo sur occidental del departamento de Putumayo y Caquetá y el suroccidente del departamento del Meta, durante el período de estudio (promedio de 14,32 años). En contraste, en las siete imágenes restantes se encontró que había crecido el bosque secundario, más que todo en la Amazonia central y oriental, es decir, se evidencia un proceso de sucesión en la parte central de Caquetá, el noroccidente del Amazonas, Vaupés y Guainía, alcanzando un máximo de 4.04 en la imagen 3_58 que corresponde al extremo oriental de la Amazonia colombiana, en el departamento del Guainía (Tabla 1, Fig. 4). El resultado total ponderado para el período de observación entre 1986 y 2000 es de una pérdida de 2,8% del bosque Amazónico colombiano (Tabla 2). Es necesario anotar, sin embargo, que falta contabilizar el área cubierta por nubes para tener claridad sobre la dinámica en términos absolutos.
Como se mencionó con anterioridad, debido a que se trabajó con áreas netas de nubes, a continuación se presentan los resultados expandiendo el efecto observado a aquellas zonas cubiertas por nubes (Tabla 3).
Si se considera el crecimiento de 620 km2 de bosque secundario, lo que se obtiene de sumar las siete imágenes que arrojaron cifras positivas en la columna 9, Tabla 3, y paralelamente la deforestación de 12,200 km2, el resultado neto es que durante este período se perdieron 11,579 km2 de bosque. Los resultados sugieren que, en promedio, anualmente se deforestaron 853 km2, resultado que se obtiene de dividir la deforestación observada de 12,200 km2 por los 14.32 años del período de observación. Paralelamente, el bosque secundario creció anualmente en 43.3 km2. La tasa anual de deforestación con base en las áreas estimadas de bosque para cada ventana, esto es 388,957 para 1986 y 377,378 km2 para el 2000 y considerando un lapso de 14.32 años, se obtuvo un "r"o la tasa media anual de deforestación de 0.21% (Tabla 4).

En resumen, la mayor deforestación en la Amazonia colombiana durante el período en cuestión se encontró en el occidente y noroccidente de la Amazonia colombiana, al occidente de los departamentos de Putumayo y Caquetá y el suroccidente del Meta. No obstante, se evidencia un proceso de sucesión un orden de magnitud inferior y más exactamente aproximadamente casi 18 veces inferior, en la parte central de Caquetá, el noroccidente del Amazonas y Vaupés y Guainía oriental (Fig. 4). Menores tasas de deforestación se observaron en el nororiente, en el área comprendida por parte de los departamentos de Vichada en el sur y Guainía en el norte. Procesos de crecimiento del bosque secundario, presumiblemente por abandono de agro-ecosistemas, se encontraron en el extremo oriental y sur de la Amazonia colombiana, departamentos de Guainía y Amazonas; mientras que la parte occidental del departamento del Guaviare y nororiental del departamento del Amazonas se caracterizan por leve deforestación con tasas de deforestación entre 0.0013 y 0.04 (Fig. 4).
Discusión, conclusiones y recomendaciones
Hay procedimientos más avanzados que el aquí propuesto, para abordar el problema de la remoción de nubes en imágenes ópticas; tal es el caso del árbol de regresión propuesto por Helmer y Ruefenacht (2005). Empero, la bondad del método aquí propuesto es su sencillez. Es relevante subrayar que los resultados arriba citados contradicen los obtenidos por Sánchez et al. (2001) quienes concluyeron que el crecimiento de bosque secundario era superior a la deforestación. Cabe mencionar que tan solo hay una diferencia de cuatro años entre los dos estudios. Esto es, el estudio de estos autores es corresponde al periodo 1986- 1996 mientras que el presente termina en el año 2000.
Si bien la presente investigación documenta un proceso de crecimiento del bosque secundario, este es muy reducido en comparación con la deforestación. No se pueden adelantar otras comparaciones con los resultados aquí registrados, ya que los demás estudios publicados recientemente sobre la cuenca, como se mencionó anteriormente, son muy puntuales, (por ejemplo: Riaño & Gutiérrez, 2007; Armenteras et al., 2006; Etter et al., 2006a; Quiñones, 2002). La alta tasa de deforestación encontrada en el Putumayo en el presente estudio es preocupante, toda vez que ser perdió más del 40% de la cobertura boscosa en un periodo de tan solo 15 años. Esto quiere decir que de continuar la tendencia observada, la cobertura boscosa del departamento del Putumayo podría desaparecer completamente para el año 2021.
En el presente trabajo se utilizaron dos ventanas con base en imágenes LANDSAT, correspondientes a aproximadamente el 2000 y a mediados de la década de los 80s, pudiéndose establecer el área de bosque "maduro" y áreas de bosque secundario entre 10-15 años. Esta aproximación parece ser mejor que aquella derivada de clasificar dos o tres clases de edad en el bosque, con base en un solo mosaico de imágenes LANDSAT. Un problema que surge al trabajar entre dos fechas tan distantes (mediados de los 80 a 2001), es que durante estos 14 o 15 años un bosque pudo ser talado, abandonado y encontrarse otra vez en estado de sucesión sin que se pueda discernir este hecho con la técnica de la teledetección multiespectral. Por consiguiente, se estima que las tasas de crecimiento de bosque secundario aquí propuestas son bastante precisas, mientras que las de deforestación deben ser superiores, en concordancia con lo propuesto por Steininger (2000). Por la anterior razón, se debe procurar adelantar estudios con menores intervalos entre ventanas, así como extender el período de estudio. Es muy conveniente entonces completar otra, o preferiblemente dos ventanas de imágenes LANDSAT de la década de los años 70. En este orden de ideas, se deberían adelantar estudios periódicos, inicialmente por décadas, luego lustros y ojalá anuales sobre este particular. Las regiones que mayor atención merecen son los frentes de colonización al occidente, en particular el Putumayo y Caquetá que exhiben las más altas tasas de deforestación.
En el bosque húmedo tropical, la cobertura de nubes constituye un problema mayor en la teledetección óptica. La metodología aquí utilizada es una opción sencilla para abordar el problema de las regiones que permanecen ocultas, bajo el supuesto que estas tuvieron idéntico comportamiento a las que se pudieron apreciar. Este supuesto no deja de ser cuestionable en zonas con abundante cobertura de nubes, como lo es la vertiente oriental de la cordillera oriental. Cabe subrayar la posibilidad de trabajar con secciones pequeñas de imágenes para el piedemonte, en lugar de calcular una sola tasa para la zona del piedemonte y la zona plana como se efectuó en la presente pesquisa. Otra opción es utilizar la tecnología de radar. Sobre este particular Asner (2000) sugiere que los mejores resultados se obtienen con resolución inferior a 50 metros.
Es importante destacar que se requiere mucho trabajo de campo para lograr el ajuste y corrección de la clasificación digital, así como para la evaluación de la misma. No obstante, en grandes áreas como es el caso de la Amazonia colombiana, la verificación de campo es muy costosa, por lo que se hace necesario trabajar adicionalmente con estudios de vegetación ya adelantados, como los realizados por el Instituto SINCHI. Esta fue la metodología adelantada por Boyd et al. (1999) en Camerún y Foody y Curran (1994) en Ghana. Es evidente que una empresa así sólo es posible con el concurso de otros institutos del SINA, el IGAC, INGEOMINAS, el Proyecto SIMCI 2 del Ministerio del Interior y de Justicia y las corporaciones autónomas con jurisdicción en la cuenca amazónica como la Corporación para el Desarrollo Sostenible del Norte y el Oriente Amazónico (CDA) y la Corporación para el Desarrollo Sostenible del Sur de la Amazonia (CorpoAmazonia).
Uno de los primeros pasos que debe darse en un futuro próximo es precisar los límites de la Amazonia colombiana, ya que a la fecha no hay claridad sobre el asunto. Es recomendable llegar en una forma concertada entre los institutos del Sistema Nacional Ambiental (SINA) como el IDEAM, SINCHI y el Instituto de Investigación de Recursos Biológicos Alexander von Humboldt (IAvH), así como con las Corporación para el Desarrollo Sostenible del Norte y Oriente Amazónico, y CorpoAmazonia y por último el Instituto Geográfico Agustín Codazzi sobre lo que constituye bio-geográficamente la Amazonia. Existen en la actualidad amplios rangos sobre lo que para cada institución es la Amazonia colombiana.
Agradecimientos
Este estudio fue posible gracias al apoyo financiero de la Universidad de La Salle (contrato PINV-012-05) y del Instituto de Hidrología, Meteorología y Estudios Ambientales- IDEAM (contrato 168-04). El apoyo técnico de Omar Jaramillo y Juan Carlos Alarcón fue invaluable. Agradecemos el apoyo logístico brindado por José Alfredo Ruiz, Patricia, Betty y Julio de la Oficina de Informática y Telecomunicaciones del IDEAM. Agradecemos el soporte recibido de Alexander Cotte, así como la confianza depositada en nosotros por la Dra. María de Jesús Restrepo, antigua Directora del Departamento de Investigaciones de la Universidad de La Salle y por el Dr. Gonzalo Arango, antiguo Subdirector de Ecosistemas e Información Ambiental del IDEAM que hicieron este estudio posible. Las correcciones, críticas y comentarios de los jurados anónimos nombrados por la revista de la ACCEFYN fueron muy valiosos. Finalmente reconocemos la ayuda recibida de Uriel Murcia del Instituto SINCHI. Esta es una publicación oficial del grupo Caldas reconocido por COLCIENCIAS bajo el número COL0021613 y avalado por la UPTC.
Literatura citada
Alves, D. S. 2002. Deforestation in the Brazilian Amazon. Pp. 95- 106. En: Deforestation and Land use in the Amazon. Wood, C. H. y R. Porro (Eds.). Boca Ratón: University of Florida Press. [ Links ]
______., Pereira, J. L. G., De Sousa, C. L., Soares, J. V. y F. Yamaguchi. 1999. Characterizing landscape changes in central Rondonia using Landsat TM imagery. International Journal of Remote Sensing 20:2877-2882 [ Links ]
Arbeláez, M. V. y A. Parrado-Rosselli. 2005. Seed Dispersal modes of the Sandstone Plateau Vegetation of the Middle Caquetá River, Colombian Amazonia. Biotrópica 37:64-72. [ Links ]
Armenteras, D., G. Rudas, N. Rodríguez, S. Sua, y M. Romero. 2006. Patterns and causes of deforestation in the Colombian Amazon. Ecological Indicators 6:353-368. [ Links ]
Asner, G. P. 2000. Cloud cover in Landsat observations of the Brazilian Amazon. International Journal of Remote Sensing 22:3855-3862. [ Links ]
Boyd, D. S.; Foody G. M. & P. J. Curran. 1999. The relationship between biomass of Cameroonian tropical forests and radiation reflected in middle infrared wavelength (3.0-5.0 mm). International Journal of Remote Sensing 20:1017-1023. [ Links ]
Brown, S. y A. Lugo. 1990. Tropical secondary forests. Journal of Tropical Ecology, 6:132. [ Links ]
Coomes, O. T., F. Grimard y G. J. Burt. 2000. Tropical forests and shifting cultivation: secondary forest fallow dynamics among traditional farmers of the Peruvian Amazon. Ecological Economics 32:109-124. [ Links ]
Dirzo, R. y M. C. García. 1990. Rates of deforestation in Los Tuxtlas, a Neotropical area in shoutheast Mexico. Conservation Biology 6:84-90. [ Links ]
Domínguez, C. y A. Gómez. 1990. La economía extractiva en la Amazonia colombiana 1850-1930. Bogotá: Tropenbos- Araracuara. [ Links ]
Duivenvoorden, J. F. y J. M. Lips. 1995. A land-ecological study of soils, vegetation and plant diversity in Colombian Amazonia. Tropenbos Series 12, Wageningen: The Tropenbos Foundation. 438 Pp. [ Links ]
Etter, A. 1991. Diversidad Ecosistémica en Colombia Hoy. p. 43-61. En: Memorias del I Seminario Internacional sobre Biodiversidad. Bogotá: CEREC Fundación Alejandro Ángel Escobar, Bogotá [ Links ].
______., C. McAlpine, S. Phinn, D. Pullar y H. Possingham. 2006a. Unplanned land clearing of Colombian rainforests: Spreading like disease? Landsacape and Urban Planning 77:240-254. [ Links ]
______., C. McAlpine, K. Wilson, S. Phinn, D. y H. Possingham. 2006b. Regional patterns of agricultural land use and deforestation in Colombia. Agriculture, Ecosystems and Environment 114:369-386. [ Links ]
FAO. 1994. Forest Resources Assessment 1990. No. 124. Global Synthesis. Roma: FAO. . 2004. <www.fao.org> Se tuvo acceso enero 5, 2005. [ Links ]
Fearnside, P. M. y R. I. Barbosa. 2004. Accelerating deforestation in Brazilian Amazonia: towards anwering open questions. Environmental Conservation 31:7-10. [ Links ]
______ y W. F. Laurance. 2003. Comment on "Determination of Deforestation Rates of the World's Humid Tropical Forests". Science 299: 1015. [ Links ]
Foody, G. M. y P. J. Curran. 1994. Estimation of tropical forest extent and regenerative stage using remotely sensed data. Journal of Biogeography 21:223-244 [ Links ]
______., G. Palubinskas, R. M. Lucas, P. J. Curran y M. Honzak. 1996. Identifying terrestrial carbon sinks: Classification of successional stages in regenerating tropical forests from Landsat TM data. Remote Sensing of Environment 55:205-216. [ Links ]
García, E. 1999. Colonización y medio ambiente. Informe Técnico No. 12, Tibaitatá: CORPOICA y Plan Nacional de Desarrollo Alternativo. [ Links ]
Global Land Cover Facility. 2008. http://glcfapp.umiacs.umd.edu:8080/esdi/index.jsp [ Links ]
González, F. 1998. Inventario preliminar de Gases Efecto Invernadero Fuentes y Sumideros: Colombia 1990. Bogotá: Academia Colombiana de Ciencias Exactas, Físicas y Naturales. [ Links ]
Grau, R. T. M. Aide, J. K. Zimmerman y J. R. Thomlison. 2004. Trends and scenarios of the carbon budget in postagricultural Puerto Rico (1936-2060). Global Change Biology 10:1163-1179. [ Links ]
Helmer, E. H. y B. Ruefenacht. 2005. Cloud-free satellite image mosaics with regression trees and histograma matching. Photogrammetric Engineering y Remote Sensing 71:1079- 1089. [ Links ]
IAVH. 2005. Ecología en la Orinoquía colombiana. Bogotá: Instituto de Investigación de Recursos Biológicos Alexander von Humboldt. [ Links ]
IDEAM. 2001. Primera Comunicación Nacional ante la Convención Marco de las Naciones Unidas sobre el Cambio Climático. Bogotá: IDEAM. [ Links ]
______. 2002. Primera Generación de Indicadores de la Línea Base de la Información Ambiental de Colombia. Tasa media anual de deforestación. Bogotá, D. C.: IDEAM, IAvH, SINCHI, IIAP, INVEMAR. Tomo 2. Pp. 764-769. [ Links ]
INPE. 2005. Relatorio ano 2000-2001: monitoreo da floresta Amazónica Brasileira por satélite. www.inpe.br/informacoes- Eventos/ [ Links ]
Lambin, E. F. y H. J. Geist. 2003. Regional differences in tropical deforestation. Environment 45:22-36. [ Links ]
Laurance, W. F., A. K. M. Albernaz, P. M. Fearnside, H. L. Vasconcelos,y L. V. Ferreira. 2004. Deforestation in Amazonia. Science 304: 1109-1111. [ Links ]
Martínez, L. J., D. E. Vanegas, W. van Wingaarden, M. Quiñones, Buker, W. y D. H. Hoekman. 1997. Sistema de información geográfica para la Amazonia: el caso Guavirare. Estudios en la Amazonia colombiana XIII. Bogotá: Tropenbos Colombia. 460 Pp. [ Links ]
Mausel, P., Y. Wu y Y. Li. 1993. Spectral identification of successional stages following deforestation in the Amazon. Geocarto International 8:61-71. [ Links ]
Mejía, M. 1990. La Amazonia colombiana, introducción a su historia natural. Colombia Amazónica. 56-76. [ Links ]
Moran, E. F.; Brondizio, E.; y P. Mausel. 1994. Integrating Amazonian vegetation, land-use and satellite data. Bioscience 44:1-18. [ Links ]
______ ., Brondizio, E. S., Tucker, J. M., da Silva-Forsberg, M. C., McCracken, S. e I. Falesi. 2000. Effects of soil fertility on forest succession in Amazonia. Forest Ecology and Management 139:93-108. [ Links ]
NASA. 2011. http://rst.gsfc.nasa.gov/Sect1/Sect1_17.html [ Links ]
Nelson R. F.; Kimes D. S.; Salas W. A.; y M. Routhier. 2000. Secondary forest age and tropical biomass estimation using Thematic Mapper imagery. Bioscience 50:419-431. [ Links ]
Palacio, G. 2004. Civilizando la tierra caliente. La supervivencia de los bosques amazónicos 1850-1930. Bogotá: Asociación Colombiana de Universidades. Pp. 131. [ Links ]
Quiñones, M. 2002. Polarimetric data for tropical forest monitoring. Tropenbos Series 21. Wageningen: The Tropenbos Foundation. 184 Pp. [ Links ]
Riaño, E. y F. Gutiérrez. 2007. Aplicación de la metodología Prodes Digital y detalle de su leyenda en la conurbación Leticia y Tabatinga. Perspectiva Geográfica 13:213-225. [ Links ]
Ruiz, J., W. Cárdenas y C. Baquero. 2007. Cambio de la cobertura boscosa como sucedáneo de la dinámica colonizadora en el Departamento del Caquetá, 1986-2000. Revista de Investigación 7:97-104 [ Links ]
______ . 2002. Secondary dry tropical forest succession through a 1944-2000 chronosequence in Providencia Island, Colombia. Storrs, CT, USA: University of Connecticut, tésis doctoral. [ Links ]
Sader, S. A. Waide R. B. Lawrence W. T. y A. T. Joyce. 1989. Tropical forest biomass and successional age class relationships to a vegetation index derived from Landsat TM data. Remote Sensing of Environment 28:143-156. [ Links ]
Sánchez-Azofeifa, A., Castro, K. L. y M. R. Kalascka. 2003. Remote sensing research priorities in tropical dry forest environments. Biotrópica 35:134-142. [ Links ]
Sánchez, J., D. Yanine, G. Mantilla, M. Toro y C. Barbosa. 2001. Usos del territorio en Colombia. Pp. 278-299. En: Leyva, P. (Ed.) El medio ambiente en Colombia. Bogotá, D. C.: IDEAM. [ Links ]
Souza, C. M. y D. Roberts. 2005. Mapping forest degradation in the Amazon with Ikonos images. International Journal of Remote Sensing 26:425-429. [ Links ]
Sinchi. 2011. http://sinchi.org.co [ Links ]
Steininger, M. K. 2000. Satellite estimation of tropical secondary forest above-ground biomass: data from Brazil and Bolivia. International Journal of Remote Sensing 21:1139-1157. [ Links ]
Turner, W, Spector, S., Gardiner, N., Flaleland, M., Sterling, E. y M. Steininger. 2003. Remose sensing for biodiversity science and conservation. Trends in Ecology and Evolution 18:306-314. [ Links ]
UNFCCC. 2003. Methodological issues land use, land-use change and forestry: definitions and modalities for including afforestation and reforestation activities under article 12 of the Kyoto protocol FCCC/SBSTA/2003/L.13. Bonn: UNFCCC. [ Links ]
Van der Hammen, T. y G. Andrade. 2003. Estructura ecológica principal de Colombia. Primera aproximación. Bogotá: IDEAM. [ Links ]
Vanegas, D. E. 1993. Dinámica de la ocupación de la Amazonia colombiana. Colombia Amazónica 6:149-174. [ Links ]
Wood, C. H. 2002. Land use and deforestation in the Amazon. Pp. 1- 38. Wood, C. H. y R. Porro (Eds.). En: Deforestation and Land use in the Amazon. Boca Raton: University of Florida Press. [ Links ]
Recibido: febrero 13 de 2010. Aceptado para su publicación: diciembre 2 de 2011.











