Services on Demand
Journal
Article
Indicators
-
Cited by SciELO -
Access statistics
Related links
-
Cited by Google -
Similars in
SciELO -
Similars in Google
Share
Revista de la Academia Colombiana de Ciencias Exactas, Físicas y Naturales
Print version ISSN 0370-3908
Rev. acad. colomb. cienc. exact. fis. nat. vol.37 no.142 Bogotá Jan./Mar. 2013
FÍSICA
* Disertación para la posesión como miembro correspondiente de la Academia Colombiana de Ciencias Exactas, Físicas y Naturales
** Escuela de Física, Universidad Nacional de Colombia Sede Medellín, A.A. 3840, Medellín - Colombia rcastane@unal.edu.co
RESUMEN
La representación de espacio-fase de campos ópticos en estados de coherencia espacial arbitrarios es una herramienta poderosa para determinar su propagación no-paraxial, sin restricción en distancia de propagación, tamaño de la fuente y área iluminada en el plano del detector. Este procedimiento tiene implicaciones fenomenológicas novedosas, siendo la más importante la modelación del campo óptico en términos de conjuntos discretos de fuentes puntuales radiantes y virtuales, donde el primero es obligatoriamente discreto, y el segundo representa el estado de coherencia espacial del campo. Además, sugiere un acercamiento novedoso entre las formulaciones clásica y cuántica de la óptica, conducente a nuevas áreas de estudio, al mostrar posibles correlatos clásicos de comportamientos que se han caracterizado como exclusivamente cuánticos.
Palabras clave: espectro de potencia marginal, difracción no-paraxial, representación de espacio fase.
ABSTRACT
The phase-space representation of optical fields in any state of spatial coherence is a powerful tool for determining their non-paraxial propagation, without restrictions on propagation distance, source size and illuminated area at the detector plane. This procedure deals to novel phenomenological implications, the most important of which is the optical field modelling in terms of sets of radiant and virtual point sources. The set of radiant point sources must be discrete and the set of virtual point sources represents the spatial coherence state of the field. Furthermore, it suggests a novel approach between the classical optics and the quantum optics, dealing to new research subjects. For instance, it points out potential classical counterparts of light behaviours, usually characterised as exclusively quantum phenomena.
Key words: marginal power spectrum, non-paraxial diffraction, phase-space representation.
Introducción
Dijo Dios: «Haya luz», y hubo luz. Génesis 1:3.
A pesar de los esfuerzos por comprender la naturaleza de la luz, realizados a lo largo de la historia de la humanidad, y de los logros tecnológicos alcanzados en ese constante ejercicio, este fenómeno físico continúa siendo un misterio, al menos en sus aspectos fundamentales. Hoy en día no se requiere ser especialista para afirmar con la naturalidad que la luz es una onda electromagnética. Sin embargo, para muchos es motivo de sorpresa percatarse de que tal afirmación fue construida, por partes y enteramente, apenas en el siglo IX.
En 1801, Thomas Young sorprendió con los resultados de un experimento planteado hacia 1650 por el jesuita Francesco María Grimaldi para "obtener oscuridad sumando luz" (1, 2), poniendo en tela de juicio la convicción, arraigada desde tiempos de Demócrito de Abdera (∼S. IV A.C.), que conce- bía la luz como un efluvio continuo de partículas materiales inconmensurables, y con base en la cual fueron formuladas las leyes más antiguas de la óptica (y quizá de las ciencias naturales en su conjunto) y sus principios fenomenológicos: la ley de reflexión, reportada en Los Elementos de Euclides (∼300 A.C.), el principio de la menor distancia, formulado por Herón de Alejandría (∼50), la ley de refracción, sintetizada por Willebrod Snellius (1620) y el principio del menor tiempo, formulado por Pierre de Fermat (1657) (3). Mucho antes de la promulgación de la ley de Snellius, Abu Ali Hasan ibn al-Hasan ibn al-Haitam (latinizado Alhazen) convenció al mundo, hacia el año 1000, de que el mecanismo propuesto por Demócrito para explicar por qué podemos ver y que había permanecido sin alteraciones hasta esa época, era incorrecto: la luz no es emitida sino sólo detectada por los ojos; además, nombró las componentes oculares con los términos que usamos actualmente. Al demostrar que era un fenómeno externo al ser humano, Alhazen indicó también que la luz producida por cuerpos incandescentes, como las estrellas, las velas y las brasas, tenía la misma naturaleza, al igual que la luz reflejada por las superficies pulidas o la que atravesaba los cuerpos translúcidos. Su obra cumbre la constituyen los siete volúmenes titulados Kitab-al-Manazirn (Libro de Óptica), escritos entre el 1015 y el 1021, traducidos al latín hacia el 1270 como Opticae thesaurus Alhazenis y considerados como el tratado de óptica más importante de la edad media, que consagró a Alhazen como el padre de la óptica moderna (4).
En 1266, el Doctor Miravilis Roger Bacon reportó el método para fabricar lentes esféricas como las usadas en la actualidad, en su Opus Majus, y hacia 1590, el holandés Zacharias Janssen patentó un juguete óptico, consistente en un tubo con dos lentes, cada una fijada a uno de los extremos de un tubo, con la propiedad de hacer ver con claridad objetos que, por la distancia a la que estaban o por el tamaño que tenían, no podían apreciarse cabalmente a simple vista. Ese instrumento fue decisivo para el desarrollo de la revolución científica del siglo XVII, y constituyó el prototipo de los instrumentos ópticos de uso visual, desarrollados hasta la actualidad. A inicios de 1610, Galileo Galilei bautizó con los nombres de amantes del dios Júpiter (Europa, Calixto, Ganímedes e Io) cuatro de los cuerpos celestes que orbitan alrededor del planeta Júpiter; una observación que, si bien no brindó soporte directo a la teoría heliocéntrica de Nicolás Copérnico, minó el piso de la concepción geocéntrica resguardada por la Santa Inquisición: la tierra no era el centro único del universo. Años después, Sir Robert Hooke reprodujo en su Micrographia (1665) la primera imagen observada de la estructura regular de una delgada lámina de corcho, cuyos elementos bautizó células, término indispensable hoy en día para referirse a los atributos estructurales de los tejidos biológicos. Tanto Galileo como Hooke emplearon tubos de Janssen apropiados para la observación de objetos distantes (telescopio) y de objetos pequeños (microscopio) respectivamente (5).
No obstante, tal eficacia no le impidió a Grimaldi reconocer el profundo misterio de la naturaleza de la luz: "Seamos honestos, nosotros no sabemos realmente nada sobre la naturaleza de la luz y es deshonesto emplear palabras rimbombantes carentes de sentido" escribió en su única obra, publicada dos años después de su muerte (2). Tal sentencia, lejos de ser un reproche altanero, fue una humilde advertencia motivada por un descubrimiento que llamó diffractum, al cual llegó buscando aislar un rayo de luz. La difracción le demostró que su intento no era posible, le mostró que la luz podía cambiar de dirección por causas diferentes a la reflexión y a la refracción, y lo llevó a intuir que la luz "saltem aliquando etiam undulatim" (a veces incluso también ondula). Experimentando con dos aberturas practicadas sobre una pantalla, Grimaldi concluyó que un cuerpo iluminado por dos haces de luz podía lucir más oscuro que cuando se iluminaba con un único haz. Pero su experimento debió ser refinado por Young, siglo y medio después, para mostrar que efectivamente era posible obtener oscuridad sumando luz, comportamiento que Young denominó principio de interferencia (1).
Las reacciones frente al descubrimiento de la interferencia luminosa por Young fueron disímiles, en buena parte porque los arraigados efluvios de partículas contaban con el respaldo del genio de Sir Isaac Newton (Opticks, 1704). Fue necesario que la Academia Ciencias de Francia convocara un concurso para "resolver de una vez por todas la cuestión sobre la naturaleza de la luz" y, en 1818, declarara Mémoire Courronné al trabajo presentado por Augustin-Jean Fresnel, que formalizaba las ideas de Grimaldi y de Young: la luz dejó de ser un efluvio de partículas y pasó a ser una onda emparentada con las ondas mecánicas transversales. Mucho antes, René Descartes lo había intuido (La Dioptrique, 1637): "... recordando la naturaleza que yo he atribuido a la luz, cuando dije que no es otra cosa que un cierto movimiento o una acción concebida en una materia muy sutil, la cual llena los poros de todos los cuerpos...", aceptando la hipótesis del éter, el 5° elemento del cosmos aristotélico.
Los indicios experimentales recogidos en los años posteriores a 1818, particularmente la medición de la velocidad de la luz (Fizeau y Foucault, 1849) y el efecto Faraday (Michel Faraday, 1845), que reveló la susceptibilidad de su polarización a campos magnéticos intensos, indujeron a James Clerck Maxwell a postular que las ondas electromagnéticas, predichas por las cuatro leyes de la electrodinámica que él había sintetizado y mejorado (1865), no eran otra cosa que ondas de luz. Hubo que esperar hasta 1887 para que Heinrich Hertz mostrara experimentalmente la existencia física de tales ondas. Así, el XIX fue el siglo de oro de la novedosa concepción ondulatoria de la luz, "una ondulación transversal del mismo medio que produce la electricidad y el magnetismo" en palabras de Maxwell, que hacen referencia directa a la versión luminífera del éter. En su carácter de fenómeno ondulatorio, la luz deja de ser considerada como una composición de partículas de materia.
Es llamativo que la hegemonía lograda por tal concepción en el siglo XIX, cediera apenas comenzado el siglo XX. En efecto, la Teoría de Relatividad Especial de Albert Einstein (1905) (6) erradica al éter de la física, y adopta una implicación del célebre experimento interferométrico, realizado por Albert Abraham Michelson y Edward William Morley (1887), como principio de la naturaleza: la velocidad de la luz es una constante universal, independiente del estado de movimiento de su fuente y de los observadores que la registran. Ese mismo año (1905), Einstein restituye la concepción corpuscular de la luz en su explicación del efecto fotoeléctrico (7), pero desde una perspectiva diferente: la luz está efectivamente compuesta por quanta de energía electromagnética, un término que introdujo Max Planck en 1900, como parte de su estrategia para el cálculo correcto de la distribución espectral de la energía emitida por un cuerpo negro (8).
Es importante tener en cuenta que estos avances no descalificaron a la teoría electromagnética de la luz, cuya vigencia actual se manifiesta en la idea generalizada, citada al comienzo de esta sección, de que la luz es una onda electromagnética; como tampoco la descalificaron avances posteriores, como el de la Teoría General de la relatividad que predijo la "caída libre" de la luz en campos gravitacionales intensos en virtud de su masa relativística (comprobada por Sir Arthur Stanley Eddington en la observación de un eclipse solar, en 1919); y como el efecto Compton, prueba experimental, aportada por Arthur Holy Compton (1922), de la capacidad de los quanta de colisionar con partículas elementales como los electrones, predicha por Einstein (8).
El recorrido anterior muestra las dimensiones del misterio que rodea a la naturaleza más íntima de la luz, indicando además que los claros avances en su conocimiento, lejos de disminuirlo parecen haberlo aumentado. Más aún, el contexto conformado por la Electrodinámica, la Mecánica Cuántica y la Teoría de Relatividad no es el único que señala comportamientos misteriosos de la luz. Esta disertación se desarrolla en el marco de la Teoría de Coherencia Óptica (9), la cual, desde una concepción ondulatoria clásica, aborda el estudio de las condiciones que aseguran la interferencia de frentes de onda superpuestos, ya que esto no siempre ocurre. Dilucidarlas tomó algo más de la primera mitad del Siglo XX. Max von Laue dio el primer paso claro en esta dirección (10), al comprender que tales condiciones, a las que se refirió con el término kohärenz (coherencia), están íntimamente relacionadas con las propiedades de correlación de las perturbaciones que componen el campo óptico. Sugirió además definir un grado de coherencia como descriptor de la capacidad de interferir de las ondas luminosas superpuestas. En la década de 1930, estas ideas condujeron a P. H. Van Cittert y Frits Zernike a un célebre teorema, según el cual el campo óptico puede ganar coherencia sólo con propagarse (11, 12).
El teorema de Van Cittert - Zernike constituyó la piedra angular de la Teoría de Coherencia de Segundo Orden, conso- lidada por Emil Wolf hacia 1955 (9). A pesar de la eficacia predictiva y explicativa de esta teoría, relacionada con las propiedades de correlación del campo óptico, su generalidad fue restringida, casi desde su nacimiento, por los resultados experimentales conocidos actualmente como efecto HBT. En 1956, los astrónomos Robert Hanbury-Brown y Richard Twiss llevaron a cabo una observación astronómica con un curioso esquema de detección: las señales provenientes de estrellas lejanas eran registradas por dos radio-telescopios independientes, y las foto-corrientes generadas eran luego correlacionadas mediante un sistema electrónico (13). Dicha operación es equivalente a realizar una correlación entre las intensidades registradas por los telescopios, cuyo resultado es una cantidad de cuarto orden (intensidad al cuadrado), que presenta una modulación cosenoidal similar a franjas de interferencia. Esta modulación indica la existencia de corre- laciones de orden superior al segundo (al menos de cuarto orden) en el campo óptico, cuya descripción superó la capacidad de la teoría de Wolf. A esto se sumó, pocos años después, el advenimiento del láser, cuyas emisiones también tienen propiedades de coherencia de orden superior.
Tanto el efecto HBT como el láser fueron entonces caracterizados como fenómenos no-clásicos, a pesar de los modelos semi-clásicos que se habían desarrollado para explicarlos (14, 15); y con tal fin se propuso una Teoría Cuántica de la Coherencia Óptica (16). Sin embargo, la frontera entre el comportamiento clásico y el no-clásico de la coherencia óptica no está claramente definida, y se continúa examinando en la actualidad desde novedosas perspectivas, aportadas por la representación no-paraxial de espacio-fase paras el campo óptico (17).
El principio de Huygens-Fresnel, que rige el comportamiento difractivo de la luz, fue formalizado en la Teoría de Difracción de Kirchhoff (18) en términos de una integral no lineal, cuya solución exacta sólo se ha calculado para casos muy simples, pues en la mayoría de situaciones de interés, sus soluciones analíticas o bien no existen o bien son inaccesibles. En contraste, su aproximación paraxial, útil cuando la distancia de propagación de la luz es significativamente mayor que las dimensiones de las fuentes y de los sensores, es muy popular y es la base de una teoría lineal, llamada Óptica de Fourier (19), soporte principal de la ingeniería óptica. Estas restricciones han sido impuestas también a la Teoría de Coherencia de Segundo Orden. En efecto, el núcleo de esta teoría es una ecuación integral, que llamaremos integral de Wolf, la cual describe la propagación de la densidad espectral cruzada (9) (cantidad que representa las propiedades de correlación del campo óptico en un plano dado) de ma- nera íntimamente relacionada con la integral de difracción Kirchhoff-Fresnel; de hecho, la integral de Wolf es no-lineal, de segundo orden, y tiene cuatro dimensiones cuando se refiere a campos emitidos por fuentes planas y registrados por detectores planos (9). Su aproximación paraxial es la versión lineal que se ha empleado en las múltiples aplicaciones en las que esta integral se ha empleado.
A pesar de su utilidad, las aproximaciones paraxiales, tanto de la integral de difracción de Kirchhoff-Fresnel como de la integral de Wolf, han restringido significativamente el conocimiento del comportamiento de la luz cuando se propaga, con amplias aperturas numéricas, a distancias comparables con su longitud de onda. En este contexto, hemos realizado un aporte que permite superar tales restricciones en el caso de la integral de Wolf (20), hoy en día quizá más importante que la integral de difracción de Kirchhoff-Fresnel. El primer paso consiste en expresar la integral de Wolf en el espacio fase (21) e introducir el novedoso concepto de soporte estructurado de coherencia espacial (22), muy diferente al concepto convencional de área de coherencia. Esto permite dar el segundo paso: separar la integral de Wolf en dos términos, uno de ellos independiente del soporte estructurado y el otro enteramente referido a él.
Estos términos tienen un significado físico muy importante: El primero se refiere a la distribución de energía radiante emitida por la fuente, independientemente del estado de coherencia espacial del campo. En consecuencia es una cantidad positiva y registrable por detectores convencionales de módulo cuadrado.
⢠En contraste, el segundo se refiere a la energía moduladora debida precisamente al estado de coherencia espacial del campo, la cual toma valores positivos y negativos. Esta energía no es registrable de manera individual por los detectores convencionales, no sólo a causa de sus valores negativos sino también porque su valor neto es nulo, lo cual garantiza el cumplimiento de la ley de conservación de la energía radiante total del campo. Se identifica su presencia porque, al adicionarla a la energía radiante del campo en el plano de observación, produce zonas de mayor y de menor intensidad que la distribución de energía radiante, esto es, patrones de interferencia.
⢠En las siguientes secciones se muestra que esta estrate- gia conduce a un procedimiento de cálculo no-paraxial de la integral de Wolf altamente eficiente, reportado por primera vez en (20), el cual además revela, o al menos predice, comportamientos novedosos de la luz cuando se propaga, con amplia apertura numérica, una distancia arbitraria desde la fuente. Quizá la predicción de mayor impacto es la que indica que, a pesar del origen ondulatorio de la densidad espectral cruzada, su estructura se compone de dos conjuntos de fuentes puntuales de diferente naturaleza, de los cuales, el de las fuentes radiantes es necesariamente discreto (23). Estos descubrimientos recientes, de los que nos ocuparemos en detalle a continuación, subrayan el profundo misterio que rodea la naturaleza íntima de la luz, luego de al menos 24 siglos de reflexión sobre ella.
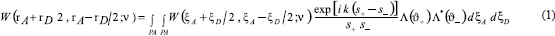
1. Integral de Wolf en la representación de espacio-fase
La Figura 1 ilustra el esquema conceptual de la propagación en espacio libre de un campo óptico, de número de onda k=2p/l, longitud de onda l y frecuencia n, en un estado arbitrario de coherencia espacial, desde su emisión en el plano de apertura (PA) hasta su registro en el plano de observación (PO), separados una distancia z entre ellos. Las coordenadas centro-diferencia (17)
identifican unívocamente parejas de puntos con vector de separación
, contenidas en el soporte estructurado de coherencia espacial centrado en
, en el PA. Tal soporte estructurado es la región alrededor de la posición
, que contiene pares de radiadores elementales correlacionados, simétricamente dispuestos con respecto
, en las posiciones
(esto es, con vector de separación
). Similarmente, las coordenadas (rA , rD ) identifican unívocamente parejas de puntos en el PO, con vector de separación rD, contenidas en el soporte estructurado centrado en rA ; dichos puntos se ubican simétricamente con respecto al centro del soporte, en las posiciones r A ±Â r D /2.

La integral de Wolf (una deducción completa de esta fórmula se encuentra en (9))

describe tal propagación, donde
y
representan las densidades espectrales cruzadas de dicho campo óptico, referidas a los soportes estructurados centrados en
en el PA y en rA en el PO respectivamente. Estas funciones determinan las propiedades de correlación del campo en los respectivos soportes estructurados. Así, la integral de Wolf indica que la densidad espectral cruzada en cada soporte estructurado del PO resulta de la superposición de contribuciones de las densidades espectrales cruzadas en todos los soportes estructurados del PA, propagadas a lo largo de caminos ópticos
por onditas secundarias esféricas no isotrópicas, es decir, afectadas por los factores de inclinación L(J±), donde J± son los ángulos tomados con respecto a la normal n a cada punto del PA (Figura 1a). Por simplicidad matemática y sin pérdida de generalidad, supongamos que el PA es iluminado con una onda plana, de manera que

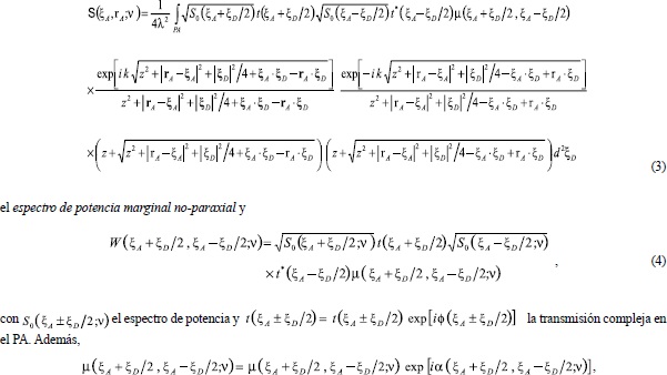
Reemplazando las expresiones anteriores en la ecuación (1) y evaluándola para rD = 0, se obtiene la potencia espectral del campo en el PO, la cual puede ser registrada mediante un detector de módulo cuadrado, instalado en dicho plano. Esta cantidad puede expresarse como (Figura 1b) (20)

con

con
la fase de la densidad espectral cruzada, es el grado complejo de coherencia espacial (9) determinado por la correlación entre las perturbaciones del campo en las posiciones
, dentro del soporte estructurado de coherencia espacial centrado en
. Este descriptor presenta las siguientes propiedades generales:
•
, simetría hermítica que implica simetría par para su magnitud e impar para su
•
• Considerando que el soporte estructurado de coherencia espacial centrado en
se inscribe en una circunferencia de radio RD, la magnitud del grado complejo de coherencia espacial será nula o tomará valores despreciables para 
El espectro de potencia marginal no-paraxial tiene unidades de irradiancia/área y representa el aporte en irradiancia del soporte estructurado centrado en la posición
del PA al espectro de potencia del campo en cada punto rA del PO. De esta manera, las definiciones de soporte estructurado de coherencia espacial y de espectro de potencia marginal aseguran el acceso a soportes específicos tanto en el PA como en el PO, lo cual no es posible en la formulación convencional de la Teoría de Coherencia se Segundo Orden. Así,
constituye la representación de espacio-fase para la propagación del campo óptico del PA al PO, y en aproximación paraxial se reduce a una función de distribución de Wigner (WDF) (17).
Aunque la ecuación (3) no determina una trayectoria específica para la propagación deÂ
, las direcciones de sus puntos de emisión y de registro son específicas, lo cual hace compatible al espectro de potencia marginal con la noción de rayo. En otras palabras, resulta razonable pensar que tal aporte energético es transportado a lo largo del segmento
(Figura 1b), lo cual convierte al espectro de potencia marginal no-paraxial en un mapa de rayos en el espacio-fase, cada uno de los cuales propaga una contribución energética dada entre puntos específicos del PA y del PO. Es importante anotar que, como la ecuación (3) se obtiene directamente de la ecuación (1), no presenta restricciones en los tamaños de las áreas iluminadas en tales planos, ni en las longitudes de los rayos que unen sus puntos, ni en sus ángulos de inclinación.
2. Capas de fuentes puntuales
La densidad espectral cruzada definida en la ecuación (4) contiene la información de la potencia radiante, emitida en el centro de cada soporte estructurado de coherencia espacial en el PA,
, así como de la correlación del campo en la región delimitada por dichos soportes, determinada por
para
. Por motivos algorítmicos, resulta útil separar estos dos tipos de información en la ecuación (3), lo cual puede realizarse insertando la función
en el integrando de dicha ecuación, con
la función delta de Dirac (17) (en este procedimiento no se tiene en cuenta las unidades de la función delta de Dirac, de manera que la función 1 es adimensional). Como resultado de ello, el espectro de potencia marginal no-paraxial puede expresarse como
, con

la contribución debida a la potencia radiante emitida en
, determinada por el término
, y

la contribución determinada por el término
, debida a las parejas correlacionadas pertenecientes al soporte estructurado centrado en
. En las ecuaciones (5) es evidente que:
•
, es independiente del estado de coherencia espacial del campo y tiene una envolvente de tipo Lorentziano, que se esparce a medida que la luz se propaga, aumentando su ancho y disminuyendo su valor máximo como 1 z2 . Dicha envolvente se ha denominado envolvente de difracción de espacio libre (20).
•
toma valores positivos y negativos a causa de la función coseno de su integrando, la cual se obtiene al asociar los factores exponenciales que resultan de considerar los dos grados de libertad en orientación para cada vector de separación
. Esta cantidad está íntimamente relacionada con el estado de coherencia espacial del campo; en efecto, se anula si el campo es espacialmente incoherente. Debe tenerse en cuenta que
y
.
De acuerdo con la ecuación (2), el espectro de potencia del campo en el PO puede expresarse como
la potencia radiante y la potencia moduladora (20) en cada posición rA. En efecto, S(rA;n) > Srad (rA;n) en aquellas posiciones del PO donde Svir(rA;n) > 0 , mientras que S (rA;n) < Srad (rA;n) donde Svir (rA;n) < 0 . En este último caso, Srad (rA;n) ≥ lSvir (rA;n)l debe cumplirse, dado que S (rA;n) ≥ 0 . Las variaciones del espectro de potencia en el PO causadas por la potencia moduladora generan, por lo tanto, los patrones de interferencia.
Por otra parte, la ley de conservación de la energía total del campo toma la forma de la invariante de propagación


es decir, i) el área bajo la envolvente de difracción de espacio libre permanece normalizada a lo largo de la propagación, lo que explica su esparcimiento simultáneo con la ley de decaimiento 1/ z 2 o ley del inverso cuadrado (18) y ii) la energía moduladora total es nula, lo cual significa que su única función es redistribuir la energía radiante en el patrón de interferencia; en consecuencia,
constituye la componente virtual del espectro de potencia marginal, ya que, por sus propiedades, no es registrable independientemente por detectores de módulo cuadrado: su presencia se manifiesta en el patrón de interferencia detectado, S(rA;n).
De acuerdo con los resultados anteriores, resulta razonable postular que tanto
como
son emitidas por fuentes puntuales situadas en
, pero de naturaleza física muy diferente: mientras la fuente de
es radiante, la fuente de
es virtual. En este punto es importante aclarar que (23):
⢠En las posiciones
alrededor de las cuales no es posible disponer un soporte estructurado de coherencia espacial, ya por razones geométricas áuna fuente puntual radiante pura, de modo que
.
⢠El punto medio entre parejas de fuentes puntuales radiantes consecutivas, correlacionadas en algún grado, es el centro
del soporte estructurado al que pertenece tal pareja. En virtud de su correlación, la pareja activará una fuente puntual virtual pura en tal punto, por lo que
.
⢠Fuentes puntuales radiantes y virtuales que coinciden en las mismas posiciones
constituyen fuentes puntuales duales, para las cuales
.
Como el análisis anterior es aplicable a todos los soportes estructurados de coherencia espacial que llenan el PA, se concluye que las fuentes puntuales radiantes y virtuales pueden disponerse en capas independientes, que se intercalan apropiadamente para caracterizar el campo óptico (específicamente la densidad espectral cruzada) en el PA. La Figura 2 ilustra estas ideas en el caso unidimensional más sencillo: tres fuentes puntuales radiantes idénticas, espacialmente coherentes, colineales y equidistantes en el PA, que activan tres fuentes puntuales virtuales. De manera que la distribución final consiste de cinco fuentes puntuales: dos radiantes puras (r) en los extremos del arreglo, dos virtuales puras (v) en los puntos medios entre radiantes consecutivas y una dual (d) en el punto medio del arreglo. Las fuentes radiantes consecutivas están separadas 3l , con l = 0.632 m m la longitud de onda del campo emitido, el cual se propaga una distancia de 10cm. Los cuadros a) y b) describen las contribuciones separadas de las capas radiante y virtual, y en cada una de ellas, las contribuciones de las respectivas fuentes puntuales. El perfil de la contribución de cada fuente puntual radiante es la envolvente (Lorentziana) de difracción de espacio libre. Las dos capas se intercalan apropiadamente para determinar el espectro de potencia marginal en el cuadro c). En el cuadro f) se muestran los perfiles de las potencias radiante y moduladora que llegan al PO y, al superponerse, conforman el patrón de interferencia en e), que constituye el espectro de potencia registrado en dicho plano. Tal patrón de interferencia consta de máximos principales, separados por máximos secundarios de mucha menos potencia, como corresponde a la interferencia de tres fuentes puntuales. Sin embargo, a pesar de que el patrón es simétrico con respecto al máximo central, los máximos principales difieren tanto en altura como en ancho, lo cual se debe a los efectos de filtración y modulación de frecuencia espacial (frequency chirping) propio de la difracción no-paraxial (20).

3. Implicaciones físicas novedosas
Micro-difracción
La representación de espacio-fase del campo óptico, basada en el espectro de potencia marginal, abre por primera vez un campo de estudio importante, denominado microdifracción, que atañe a la propagación de la luz producida por fuentes de tamaño comparable con la longitud de onda, a distancias en esta misma escala. La micro-difracción es una herramienta promisoria para el diseño y desarrollo de sistemas ópticos miniaturizados y compactos. Las Figuras 3, 4 y 5 muestran los perfiles de las energías radiante (emitida por la capa de 10 fuentes puntuales radiantes, separadas consecutivamente b = 0.3 m m) y moduladora (emitida por la capa de fuentes puntuales virtuales), así como los del espectro de potencia de un campo óptico uniforme y espacialmente coherente, de l = 0.632 mm, difractado por una rendija de ancho L=2.7 mm y que se propaga a lo largo de las distancias 0.1 mm ≤ z ≤ 0.5 mm < l < L (Figura 3), b < 0.5 mm ≤ z ≤ 3.5 mm (Figura 4) y b < l < L << 11.5 mm ≤ z ≤ 25.5 mm (Figura 5). Estos perfiles, calculados con las expresiones (2), (5a) y (5b), revelan aspectos interesantes de la micro-difracción del campo óptico. La Figura 3 indica que:



i) El modelo predice las distribuciones de potencia del campo en POs a distancias de propagación menores que la longitud de onda, lo cual supera las restricciones o limitaciones de los procedimientos convencionales para tales distancias (18). De hecho, las envolventes (Lorentzianas) de difracción de espacio libre, proporcionadas por cada fuente puntual radiante en z = 0.1, 0.2, 0.3 mm (Figura 3a), permiten individualizar las fuentes radiantes (sus máximos indican las posiciones de tales fuentes). Estos perfiles sólo toman valores positivos, cuyo decaimiento obedece la ley 1/z2.
ii) La existencia de energía moduladora a estas distancias de propagación indica que las interacciones del campo, que dan lugar a los fenómenos de interferencia y difracción, comienzan antes de que de que el campo se propague en la región de superposición. Es importante notar que los valores positivos y negativos de la potencia moduladora no decaen de acuerdo con la ley 1/z2 (Figura 9b) al menos en estas distancias de propagación.
iii) Debido a la energía moduladora, el espectro de potencia difiere de la distribución de energía radiante en cada perfil. No obstante, el perfil para z = 0.1 mm (Figura 9c) permite individualizar el conjunto discreto de fuentes radiantes en la rendija. Además, los perfiles sólo toman valores positivos y decaen de acuerdo con la ley 1/z2, como era de esperar. Esto confirma la afirmación de que la energía moduladora sólo redistribuye la energía radiante sin cambiarle sus atributos físicos.
Debido a su superposición, las envolventes de difracción de espacio libre individuales ya no son resolubles en los perfiles de la Figura 4a, de manera que el perfil total evoluciona hacia la forma de una Lorentziana individual a lo largo de la propagación del campo. Los valores positivos de dicho perfil decaen siguiendo la ley 1/z2 . Las oscilaciones de la energía moduladora disminuyen con la propagación y sus valores tienden a concentrarse en la región central del patrón (Figura 4b). El efecto de redistribución de la energía radiante por la energía moduladora es significativo en el espectro de potencia de la Figura 4c, cuyos perfiles toman valores positivos que decaen según la ley 1/z2 .
Los perfiles de energía radiante total de la Figura 5a son ya invariantes de propagación y presentan la forma de una envolvente de difracción de espacio libre individual, debido a que los perfiles aportados por cada fuente radiante a una distancia de propagación específica son idénticos entre si y prácticamente coinciden. Tal envolvente, que caracteriza la propagación del campo en dominio de Fraunhofer-Fresnel (18), toma sólo valores positivos que decaen siguiendo la ley 1/z2.
Aunque los perfiles de la energía moduladora en la Figura 5b se esparcen sobre todo el PO, sus valores significativos se concentran alrededor del máximo principal, y decaen con la propagación. Estos perfiles determinan la distribución del espectro de potencia en el PO, la cual se aproxima a la forma de la función seno-circular al cuadrado, que caracteriza al patrón de difracción de Fraunhofer de un frente de onda plano, uniforme y espacialmente coherente por una rendija, a medida que la distancia de propagación aumenta, como se ilustra en la Figura 5c. Es importante subrayar que este resultado se obtuvo considerando un conjunto de sólo 10 fuentes puntuales radiantes idénticas uniformemente distribuidas dentro de la rendija, y 17 fuentes puntuales virtuales, en lugar de un frente de onda continuo.
Surgen entonces dos preguntas fundamentales, a saber: i) ¿es la discontinuidad del conjunto de fuentes puntuales radiantes una característica física del campo óptico? y si este es el caso, ii) ¿cuál es el criterio que permite predecir si una distribución dada de fuentes puntuales radiantes conduce a un patrón de interferencia o a uno de difracción, particularmente en el dominio de Fraunhofer-Fresnel?
En el contexto de la primera pregunta debe tenerse en cuenta que, un frente de onda continuo se caracteriza porque la distancia entre cualquier pareja de fuentes puntuales radiantes consecutivas puede ser arbitrariamente pequeña. Así, la selección de un conjunto discreto de fuentes radiantes resulta exclusivamente del procedimiento de muestreo aplicado al frente de onda. Por su parte, la representación de espacio-fase no-paraxial debe cumplir el requisito de que haya fuentes puntuales virtuales puras intercaladas entre las fuentes puntuales radiantes consecutivas. En consecuencia, la distancia entre parejas de fuentes radiantes consecutivas no puede ser arbitrariamente pequeña. Tal exigencia implica, por lo tanto, la discontinuidad del conjunto de fuentes radiantes como un atributo estructural del campo óptico, independiente y previo al procedimiento de muestreo aplicado al conjunto. En otras palabras, cualquier procedimiento de muestreo tiene que dar cuenta de la discontinuidad del conjunto de fuentes puntuales radiantes y de la presencia de fuentes puntuales virtuales puras, intercaladas entre las fuentes radiantes en el PA. Para comprobarlo, se comparan los patrones de Fraunhofer predichos por la representación de espacio-fase no-paraxial con y sin fuentes virtuales puras. Esta comparación se ilustra en la Figura 6 para una rendija de 10 mm, que contiene 20 fuentes radiantes idénticas y uniformemente distribuidas con un paso de 0.5263mm, las cuales emiten luz espacialmente coherente de l = 0.632m m que se difracta a lo largo de la distancia de propagación 0.055 mm≤ z ≤ 103 mm.

En la fila superior, el frente de onda de segundo orden difractado por la rendija consta de 39 fuentes puntuales, de las cuales 2, ubicadas respectivamente en los bordes de la rendija, son radiantes puras, 19 son virtuales puras y 18 son duales. En esta configuración, el conjunto de fuentes puntuales de la capa radiante es discreto. En la fila inferior, el frente de onda de segundo orden consta de 20 fuentes puntuales, puesto que se han suprimido las 19 fuentes virtuales puras presentes en la fila superior. Así, el conjunto de fuentes puntuales radiantes considerado resulta de muestrear el continuo de la capa radiante. Los espectros de potencia marginal correspondientes se presentan en la columna a) y los espectros de potencia en POs en el dominio de Fraunhofer, en la columna b). Las contribuciones de las fuentes radiantes y virtuales a estos espectros de potencia se desglosan en la columna c). Los perfiles radiante (azul) y virtual proporcionados por las fuentes duales (verde) son los mismos en ambas figuras, pero el perfil aportado por las fuentes radiantes puras (rojo) en la fila superior no aparece en la inferior.
Bajo las mismas condiciones, la aproximación paraxial para difracción de Fraunhofer a distancia de propagación z=103mm predice un patrón de perfil seno-circular al cuadrado, muy aproximado al perfil exacto presentado en la fila superior columna b) de la Figura 6, pero difiere significativamente del perfil en la fila inferior de la misma columna. Teniendo en cuenta que ambos perfiles fueron calculados a partir del mismo modelo matemático, se concluye el perfil de la fila superior columna b) no sólo es la mejor predicción sino la predicción exacta. En consecuencia, los perfiles de espectro de potencia que involucran fuentes virtuales puras se toman como figuras de mérito para determinar el error cuadrático medio que cuantifica su comparación con los per- files de espectro de potencia en los que se han suprimido dichas fuentes. Las curvas de error cuadrático medio se mues- tran en la Figura 7 para a) z ≤ 102 mm y b) z ≤ 103 mm.

En adición a las claras diferencia morfológicas entre los perfiles de espectro de potencia comparados, las curvas de la Figura 7 muestran que el error cuadrático medio de la comparación fluctúa entre el 15% y el 35% para z ≤ 103 mm y se estabiliza alrededor del 10% para 102 ≤ z ≤ 103 mm, magnitudes significativas si se tiene en cuenta que las tolerancias experimentales usuales en difracción no superan el 1%. Se concluye por lo tanto que el modelo sin fuentes virtuales puras no puede predecir acertadamente los patrones de espectro de potencia. En contraste, el modelo que incluye las fuentes virtuales puras parece ser el correcto y, por ende, el conjunto de fuentes puntuales de la capa radiante debe ser necesariamente discreto, independiente y previamente al procedimiento de muestreo empleado.
En otras palabras, la discontinuidad del conjunto de fuentes puntuales radiantes debe interpretarse como característica física del campo óptico, conclusión original y novedosa que, no obstante ser obtenida de una representación de espaciofase clásica sin apelar a los conceptos cuánticos usuales, contrasta con el modelo convencional de difracción basado en frentes de onda continuos.
El mismo análisis es válido para los patrones de interferencia que se producen si la separación entre las fuentes puntuales radiantes se incrementa apropiadamente, como se muestra en la Figura 8. En este caso, 10 fuentes radiantes idénticas se distribuyen uniformemente dentro de la rendija de 10 mm, configurando una rejilla de paso 1.11mm. La luz que emerge de la rejilla es espacialmente coherente, de l = 0.632 mm y se propaga una distancia 0.55mm ≤ z ≤ 103 mm.

La representación de espacio-fase en la fila superior incluye las fuentes virtuales puras, mientras que en la fila inferior se han suprimido, como se advierte en los perfiles de las figuras en la columna c). En el primer caso, la rejilla selecciona las fuentes puntuales radiantes de un conjunto discreto, mientras que en el segundo lo hace de un continuo. Es importante notar que los espectros de potencia en la columna b) no sólo difieren en el número de máximos principales sino también en el de máximos secundarios entre máximos principales consecutivos. Se ha comprobado experimentalmente la regla de que el número de máximos secundarios es N-2, con N el número de rendijas de la rejilla (18). Así, en el caso considerado deben aparecer 8 máximos secundarios entre máximos principales consecutivos, como ocurre en el perfil de la fila superior, columna b). En el perfil de la fila inferior de la misma columna sólo aparecen 3.
Las curvas de error cuadrático medio en la Figura 9 cuantifican la comparación entre los perfiles de espectro de potencia en las filas superior (figura de mérito) e inferior de la columna b) de la Figura 8. Para distancias de propagación 102 ≤ z ≤ 103 mm, dicho error se estabiliza alrededor del 13%, pero fluctúa entre el 8% y el 32% para z ≤ 102 mm, confirmando las afirmaciones concluidas en el caso de difracción.

Tales resultados justifican la pertinencia de la segunda pregunta anteriormente formulada: ¿cuál es el criterio que permite predecir si una distribución dada de fuentes puntuales radiantes conduce a un patrón de interferencia o a uno de difracción, particularmente en el dominio de FraunhoferFresnel? Partamos de un ejemplo representativo de comparación entre un patrón tomado como figura de mérito y patrones problema. La figura de mérito está constituida por el patrón de difracción no-paraxial en dominio de Fraunhofer-Fresnel, producido por una rendija de 100mm de ancho, que confina 11 fuentes puntuales radiantes uniformemente distribuidas, emisoras de luz de l ≥ 10m, y 19 fuentes puntuales virtuales. El perfil de este patrón es muy similar al de la función seno-circular al cuadrado predicho por la aproximación paraxial.
Los patrones problema son producidos por arreglos de diferente número N de fuentes puntuales radiantes, uniformemente distribuidas en la rendija, con una distancia b = 100mm (N - 1) entre fuentes consecutivas, las cuales emiten luz de la misma longitud de onda que la de la figura de mérito. La comparación se realiza calculando el error cuadrático medio entre los patrones considerados vs la razón b/l para cada valor de N, como se ilustra en la Figura 10, en la que la longitud de onda varía para barrer todo el dominio de la gráfica. Los siguientes aspectos son evidentes en esta gráfica:

i) Los perfiles de la Figura 10a presentan inflexiones o cambios bruscos de crecimiento cuando la razón Esto se debe a la filtración realizada por la envolvente de difracción de espacio libre (20) a medida que b/ll tiende a 1, la cual suprime un máximo principal del patrón cada vez que b/l toma un valor entero. El número de máximos principales del patrón entre dos valores enteros de b/l es el del entero mayor. Así, para (b/l) ≤ 1 el patrón tendrá un único máximo principal, correspondiente al máximo central de difracción. Esto significa que (b/l) = 1 es el límite que separa los comportamientos del arreglo de fuentes puntuales como rendija y como rejilla, es decir, para (b/l) ≤ 1 el arreglo se comporta como una rendija de difracción, mientras que para (b/l) > 1 lo hará como rejilla de interferencia. Este comportamiento se mantiene por fuera del dominio de Fraunhofer-Fresnel.
ii) Dichos perfiles crecen monotónicamente para (b/l)>1. Su valor para (b/l)Â =Â 2 no es inferior a 3.5%, pero decae bruscamente a valores menores que 0.3% cuando (b/l) = 1, manteniéndose prácticamente invariantes para (b/l) < 1, como se observa en mayor detalle en la Figura 10b. Estos porcentajes de error no sólo confirman lo dicho en i) sino que también revelan la estabilidad del comportamiento cuando se cambian los parámetros físicos del arreglo (longitud de onda y distribución de fuentes). Por lo tanto, es razonable tomar la expresión (b/l)≤1 como criterio general para identificar el comportamiento de un arreglo discreto de fuentes radiantes puntuales como una rendija de difracción.
iii) El error cuadrático medio se reduce de manera no lineal con el incremento en el número de fuentes puntuales radiantes, conservando sin embargo la morfología de las curvas. En la región (b/l)≤1 la reducción del error es menor, lo que significa que la ganancia de precisión en el modelo de difracción con el aumento del número fuentes radiantes no es significativa, como si podría serlo para el modelo de interferencia. Esta conclusión confirma la afirmación de que pocas fuentes puntuales radiantes son suficientes en una representación apropiada de espacio-fase para la difracción.
Sólo resta establecer el número de fuentes del arreglo con paso b = l que reproducen el patrón de difracción con precisión adecuada. La Figura 11 muestra la curva de error cuadrático medio que cuantifica la comparación entre el perfil paraxial de difracción por rendija, seno-circular al cuadrado para z = 105 mm y l = 632 mm, empleado como figura de mérito, y los perfiles no-paraxiales de espectro de potencia para la misma distancia de propagación y longitud de onda, en función del número de fuentes puntuales radiantes. La aproximación monotónica de los perfiles no-paraxiales a la figura de mérito cuando el número de fuentes aumenta es evidente. La línea punteada indica que el error es menor que 0.2% para N > 30.

Por lo tanto, el criterio general para caracterizar un arreglo uniforme de N fuentes puntuales radiantes, de paso b y longitud a = (N - 1)b , como rendija de difracción puede formalizarse así: b ≤ l y a > l. Para a > 15l el patrón no-paraxial difiere de la figura de mérito por menos del 1%. Es oportuno anotar que el arreglo se comportará como una rejilla de interferencia para b > l y como una fuente radiante puntual aislada para a < l.
Límite entre la óptica clásica y la óptica cuántica
La representación no-paraxial de espacio-fase del campo óptico, basada en el espectro de potencia marginal, sugiere una revisión del límite entre la óptica clásica y la óptica cuántica, en el sentido de que dicha representación revela i) atributos físicos discretos de la luz, no referenciados anteriormente en la literatura especializada, y ii) correlatos clásicos de algunos comportamientos de la luz que se habían establecido como exclusivamente cuánticos. La discretización del conjunto de fuentes de la capa radiante es quizá el atributo físico de mayor interés. Dicho atributo amerita un estudio futuro de mayor detalle, con el fin de establecer si corresponde a una cuantización espacial del campo, es decir, una cuantización en dominio diferente a la cuantización convencional.
Por otra parte, las analogías entre ciertas predicciones clásicas del modelo propuesto y las predicciones de la óptica cuántica en relación con interacciones no-locales, los estados gato de Schrödinger y comprimidos (squeezed) y la correlación de orden superior, en particular, la de cuarto orden que se manifiesta en el efecto Hanbury-Brown y Twiss (HBT), han sido recientemente referenciadas (24, 25). Con el fin de ilustrar el alcance del modelo, se comentan algunas de estas analogías a continuación, retomando para ello el experimento de Young con una pareja de fuentes radiantes espacialmente coherentes. Específicamente, se considera un experimento de Young cuya capa radiante contiene dos fuente puntuales separadas b =Â 5 mm , emitiendo un campo óptico de l = 0.632 mm , mientras que su capa virtual contiene sólo una fuente puntual (virtual pura), ubicada en el punto medio entre las fuentes radiantes. Su representación de espacio fase se calcula a partir de las ecuaciones (2), (5a) y (5b).
La Figura 12 muestra los perfiles de energía moduladora emitida por la fuente puntual virtual en z = 0, esto es, en el mismo PA. Todos ellos constan de dos picos principales separados b = 5 m m unidos por un vínculo oscilante de menor energía; además, ambos decaen monotónicamernte a cero para lxAl> 2.5m m . Los picos principales están ubicados justamente en las posiciones de las fuentes puntuales radiantes, y su orientación relativa está asociada a la diferencia de fase a entre las emisiones de las fuentes radiantes, de modo que ambos picos de valor positivo en a) corresponden a a = 0, 2p, el izquierdo positivo y el derecho negativo en b) indican que a = p/2, ambos negativos en c) se debe a a = p , y finalmente, el izquierdo negativo y el derecho positivo corresponden a, a = 3p/2 . Esta energía moduladora describe la correlación existente entre las fuentes puntuales radiantes justo en el PA, la cual disminuye cuando el grado complejo de coherencia del campo disminuye, desapareciendo cuando eventualmente su módulo se anula, esto es, cuando las fuentes radiantes son espacialmente incoherentes.

Es destacable que ello ocurra en el PA, es decir, mucho antes de que las emisiones de las fuentes radiantes entren en la zona de superposición, donde se produce la interferencia. Tal comportamiento sugiere que la interacción entre dichas emisiones debida al estado de coherencia espacial del campo comienza en el PA y, al parecer, es de tipo no-local (téngase en cuenta que, dependiendo del grado de coherencia del campo emitido, la separación entre las fuentes podría ser de muchas longitudes de onda). Para analizarlo en mayor profundidad, se adelanta un estudio basado en la realización de experimentos de Young no-locales (por ejemplo, disponiendo el par de fuentes en planos físicamente diferentes pero ópticamente equivalentes), que a su vez podría acercar la formulación clásica al problema cuántico de desigualdades de Bell desde una perspectiva novedosa.
Ahora bien, consideremos su espectro de potencia marginal y las distribuciones de potencia tanto en el PA como en el PO, descritos en la Figura 13. El espectro de potencia marginal en a) consta de tres lóbulos: dos laterales que corresponden las envolventes (Lorentzianas) de difracción de espacio libre, asociadas a la energía radiante emitida por las dos fuentes puntuales radiantes, y uno central (en el eje medio entre los laterales) que oscila entre valores positivos y negativos bajo una envolvente también de tipo Lorentziano, el cual corresponde a la energía moduladora emitida por la fuente puntual de la capa virtual, ubicada en el punto medio entre las fuentes radiantes. El perfil en b) es la distribución de potencia en el PA, obtenida integrando el espectro de potencia marginal en a) a lo largo del eje xA; esta cantidad tiene el perfil de dos picos, tipo delta de Dirac, de valor positivo, ubicados en las posiciones de las fuentes puntuales radiantes, los cuales describen la potencia radiante emitida por dichas fuentes. El perfil en c) es el espectro de potencia en el PO, que muestra un sistema de franjas cosenoidales afectadas por modulación de frecuencia espacial y bajo una envolvente Lorentziana; su frecuencia espacial en la zona media del patrón está íntimamente relacionada con la distancia entre las fuentes puntuales en el PA; dichas oscilaciones (que dan lugar al patrón de franjas) constituyen la potencia moduladora emitida por la fuente puntual virtual, cuyo perfil se muestra en d), de manera separada del de las envolventes de difracción de espacio libre.

Por su parte, la Figura 14 ilustra la superposición cuántica de dos estados coherentes unidimensionales, de coordenada y momento generalizados q y p respectivamente. Estos estados están referidos a las posiciones generalizadas ± q0 en el espacio-fase, de suerte que su superposición es descrita por la función de distribución de Wigner (WDF) (no-normalizada (26)


esquematizada en a), los perfiles de cuyas marginales
y se muestran en b) y c) respectivamente. Estas determinan las densidades de probabilidad de la coordenada y del momentum generalizados de la superposición cuántica. En d) se muestran separadamente los perfiles de las densidades de probabilidad de los estados individuales y de pseudo-probabilidad de su super- posición cuántica, que componen la densidad de probabilidad del momentum generalizado en c).
En los diagramas de espacio-fase de las Figuras 13a y 14a:
⢠Los ejes de las variables espaciales xA y q, así comolos de las variables de fase xAy p (estrictamente, las coordenadas de fase son
) son correspondientes.
⢠Los lóbulos asociados a las fuentes puntuales radiantes del experimento de Young son correspondientes a los lóbulos asociados a los estados coherentes, y el lóbulo asociado a la fuente puntual virtual en el experimento de Young es correspondiente al lóbulo asociado a la interacción entre los estados coherentes superpuestos. En consecuencia, las distribuciones de energía radiante normalizadas son correspondientes a las densidades de probabilidad de los estados cuánticos superpuestos, mientras que la distribución de energía moduladora es correspondiente a la densidad de pseudo-probabilidad asociada a la interacción entre los estados cuánticos.
⢠La frecuencia de oscilación de los módulos centrales depende esencialmente de la proximidad, esto es, de la separación de las fuentes radiantes y de la distancia 2q0 entre las posiciones generalizadas de los estados cuánticos coherentes.
⢠La principal diferencia morfológica entre dichos módulos correspondientes radica en sus envolventes: mientras los lóbulos del experimento de Young tienen envolventes Lorentzianas a lo largo del eje de la variable de fase y son arbitrariamente estrechos a lo largo de la variable espacial, los de la superposición cuántica de estados coherentes presentan envolventes Gaussianas a lo largo de ambos ejes, debidas al principio de incertidumbre (26).
Los perfiles de distribución de potencia en el PA para el experimento de Young y de densidad de probabilidad para la coordenada generalizada de la superposición cuántica, mos- trados en las Figuras 13b y 14b, exhiben ambos dos picos, ubicados en las posiciones de las fuentes puntuales radiantes y de los estados superpuestos respectivamente. Es evidente que, mientras la envolvente Lorentziana del perfil clásico es arbitrariamente estrecha, la envolvente Gaussiana del perfil cuántico tiene un ancho determinado por el principio de incertidumbre. Estos atributos establecen la diferencia principal entre tales perfiles.
Los perfiles de espectro de potencia en el PO para el experimento de Young y de densidad de probabilidad para el momentum generalizado de la superposición cuántica, mostrados en las Figuras 13c y 14d, son patrones de franjas definidos en regiones finitas de su correspondiente variable de fase, los cuales difieren esencialmente en la forma de su envolvente y en su frecuencia de oscilación. Para el experimento de Young, la envolvente es Lorentziana y la frecuencia espacial está modulada, mientras que para la superposición cuántica la envolvente es Gaussiana y la frecuencia es única. Sin embargo, la proximidad, mencionada anteriormente, es un atributo definitivo en la determinación de la estructura de franjas de ambos patrones. Adicionalmente, los patrones resultan de la adición de dos componentes correspondientes: el espectro de potencia en el PO, aportado por las dos fuentes radiantes, y la potencia moduladora aportada por la fuente puntual virtual, en el experimento de Young; y las densidades de probabilidad para el momentum generalizado, asociadas a los estados cuánticos individuales, así como la densidad de pseudo-probabilidad para dicha variable, asociada a su superposición, respectivamente.
Debe resaltarse que el origen tanto de la potencia moduladora como de la pseudo-probabilidad para el momentum generalizado son las correlaciones de las fuentes radiantes y de los estados cuánticos, respectivamente, las cuales constituyen el fundamento de sus estados de coherencia. Además, estas cantidades presentan un comportamiento oscilatorio similar, que define el patrón de franjas del espectro de po- tencia en el PO para el experimento de Young y la densidad de probabilidad para el momentum generalizado de la superposición cuántica respectivamente. Los valores positivos y negativos de tales oscilaciones les confiere, además, atributos correspondientes de virtualidad. En efecto, la potencia moduladora no puede ser registrada de manera individual mediante detectores convencionales de módulo cuadrado, como si ocurre con la potencia radiante; y no es posible obtener el perfil de pseudo-probabilidad de la superposición cuántica, de manera independiente, a partir de un histograma de frecuencias experimental. Estas cantidades se manifiestan en la redistribución de la energía radiante emitida por las fuentes radiantes puntuales en el experimento de Young, y de la densidad de probabilidad para el momentum generalizado de los estados cuánticos en su superposición, cantidades que son determinables experimentalmente por detección convencional y por levantamiento experimental de histogramas de frecuencia respectivamente.
Teniendo en cuenta que la amplitud de cuadratura (26) de la superposición cuántica de los dos estados coherentes es tanto + q0 como también - q0 (es decir, simultáneamente las coordenadas generalizadas que determinan las posiciones de ambos estados en el espacio-fase), dicha superposición cuántica queda caracterizada como un estado gato de Schrödinger (26). Se ha considerado que tal estado no tiene correlato clásico, específicamente que no tiene relación alguna con interferencia óptica, debido a que la interferencia destructiva aniquila la amplitud del campo óptico, mientras que la superposición cuántica mantiene las amplitudes coherentes relativas a las coordenadas generalizadas ±Â q0.
No obstante, las representaciones de espacio-fase analizadas proporcionan una nueva visión de este asunto: la descomposición del espectro de potencia del experimento de Young, en términos de las energías radiantes y moduladora para z ≥ 0, indica que no sólo es posible sino también necesario determinar la energía radiante a cualquier distancia de propagación, particularmente en la zona de superposición donde ocurre la interferencia. De hecho, no es posible determinar el patrón de interferencia sin contar explícitamente con la potencia radiante, la cual además se manifestará sin modulaciones con sólo reducir la coherencia espacial apropiadamente. Desde esta perspectiva, la interferencia se interpreta como una redistribución de energía radiante debida a la adición, punto a punto, de energías radiante y moduladora: la energía moduladora negativa causa un decremento local de la energía radiante (franja oscura), que va necesariamente acompañada de un incremento de la energía radiante por el mismo valor (franja brillante), en otro lugar del patrón, lo cual satisface además la ley de conservación de energía total del campo (18). Esta nueva visión aproxima conceptualmente la interferencia de Young al estado gato de una manera que no es posible lograr, considerando la interferencia destructiva como aniquilación del campo.
Por supuesto que las analogías anteriores no significan en modo alguno que el espectro de potencia marginal del experimento de Young sea equivalente a la WDF de la superposición cuántica de estados coherentes y, por lo tanto, que una de ellas pueda deducirse u obtenerse de la otra. Pero sugiere, por ejemplo, que el espectro de potencia marginal del experimento de Young si podría considerarse como contraparte clásica del estado gato de Schrödinger.
Conclusiones y perspectivas
La representación de espacio-fase de campos ópticos en estados de coherencia espacial arbitrarios permite describir su propagación no-paraxial sin restricciones en distancia de propagación, apertura numérica y tamaño de áreas iluminadas tanto en el plano de apertura como en el plano de observación. Este resultado constituye un paso novedoso e importante en modelación de campos ópticos, ya que hasta ahora, esto había sido posible sólo de manera aproximada, en particular paraxialmente, debido a que las integrales de propagación son no-lineales y, usualmente, no presentan solución analítica. En general, dichas aproximaciones linearizan las integrales y conducen, en muchos casos, a soluciones analíticas, válidas particularmente en el dominio de Fraunhofer-Fresnel, denominado también "campo lejano", es decir, a distancias de propagación significativamente mayores que la longitud de onda empleada. En contraste, el procedimiento propuesto en este trabajo abre una nueva perspectiva de estudio, que denominamos micro-difracción, al permitir la descripción de la propagación emitida por fuentes extendidas de tamaño comparable con la longitud de onda a distancias también comparables con la longitud de onda. Dicho estudio es potencialmente útil como soporte para el desarrollo de dispositivos a escalas micro- y meso-métricas.
Tal procedimiento tiene implicaciones fenomenológicas aún más importantes. Modela el campo óptico en términos de conjuntos discretos e independientes de fuentes puntuales radiantes y virtuales, distribuidas en capas separadas. Muestra que el conjunto de fuentes de la capa radiante es necesariamente discreto, pero que el frente de onda de segundo-orden, asociado a la propagación de la densidad espectral cruzada del campo, puede configurarse como un continuo sólo si las fuentes virtuales se intercalan en el conjunto de fuentes radiantes. Dicha estructura del campo óptico no se había reportado en la literatura especializada. Más aún, la misma descripción predice que una distribución de fuentes puntuales radiantes se comportará como una abertura de difracción si la separación entre fuentes consecutivas es menor que la longitud de onda; de lo contrario, se comportará como una rejilla de interferencia; criterio que también se reporta por primera vez.
Estos resultados sugieren la revisión del límite entre la óptica clásica y la óptica cuántica, puesto que revela contrapar- tes clásicas de atributos que se caracterizaron como exclusivamente cuánticos, como el estado gato de Schrödinger. Además, plantean nuevas preguntas sobre la estructura del campo óptico, como por ejemplo, si el carácter discreto del conjunto de fuentes puntuales de la capa radiante constituye un tipo de cuantización espacial del campo.
Agradecimientos
Sinceros agradecimientos a los profesores Jorge García (Universidad Nacional de Colombia Sede Medellín) y Herbert Vinck (Universidad Nacional de Colombia Sede Bogotá), y a mis estudiantes Gustavo Cañas, Hernán Muñoz, Juan González, David Vargas y Esteban Franco, por sus inspiradoras discusiones y apoyo en los cálculos presentados.
Referencias
Young, T., The Bakerian lecture. Experiments and calculations relative to physical optics, Philosophical Transactions of the Royal Society of London 94 (1804) 1-16. [ Links ]
Grimaldo, F. M., Physico-Mathesis de Lumine Coloribus et Iride, Bononiae: Ex Typographia Haeredi Victorij Benatij, 1665. [ Links ]
Iizuka, K., Engineering Optics, Springer Verlag, Berlin, 1985. [ Links ]
Sabra, A. I., The optics of ibn al-Haytham (2 Vols.), London, 1989. [ Links ]
Castañeda, R., Un faro en la oscuridad, Cátedra abierta de Filosofía: Luces y Sombras en la Edad Media. Universidad de Antioquia, Abril de 2007. [ Links ]
Einstein, A., Zur Elektrodynamik bewegter Körper, Ann. Physik 17 (1905) 31. [ Links ]
Einstein, A., Über einen die Erzeugung und Verwandlung des Lichtes betreffenden heuristischen Gesichtspunkt, Ann. Physik 17 (1905) 17. [ Links ]
Eisberg, R y R. Resnick, Física Cuántica, Editorial Limusa, México, 1978 [ Links ]
Mandel, L. and E. Wolf, Optical Coherence and Quantum Optics, Cambridge University Press, Oxford, 1995. [ Links ]
von Laue, M., Die Entropie von partiell kohärenten Strahlenbündeln, Ann. Physik 23 (1907) 1-43. [ Links ]
Van Cittert, P.H., Die wahrscheinliche Schwingungsverteilung in einer von einer Lichtquelle direkt oder mittels einer Linse beleuchteten Ebene, Physica 1 (1934) 201-210. [ Links ]
Zernike, F., The concept of Degree of Coherence and its application to optical problems. Physica 5 (1938) 785-795. [ Links ]
Hanbury-Brown R. and R. Twiss, Correlation between photons in two coherent beams of light, Nature 177 (1956) 27-29. [ Links ]
Svelto, O. and D.C. Hanna, Principles of lasers, Heyden, London, 1976. [ Links ]
Padula, S., HBT interferometry: historical perspective, Braz. J. Phys. 35 (2005) 70-99. [ Links ]
Glauber, R. J., The quantum theory of Optical Coherence, Phys. Rev. 130 (1963) 2529-2539. [ Links ]
Castañeda, R., The Optics of Spatial Coherence Wavelets. In Peter W. Hawkes, editor: Advances in Imaging and Electron Physics, Vol. 164, Burlington: Academic Press (2010) 29-255. [ Links ]
Born, M. and E. Wolf, Principles of Optics 6th ed, Pergamon Press, Oxford, 1993. [ Links ]
Goodman, J. W., Introduction to Fourier Optics, McGraw-Hill, New York, 1968. [ Links ]
Castañeda, R. and J. Garcia-Sucerquia, Non-approximated numerical modelling of propagation of light in any state of spatial coherence, Opt. Express 19 (2011) 25022-25034. [ Links ]
Torre, A., Linear ray and wave optics in the phase-space, Elsevier, Amsterdam, 2005. [ Links ]
Castañeda, R., H. Muñoz-Ossa and G. Cañas-Cardona, The structured spatial coherence support, J. Mod. Opt. 58 (2011) 962-972. [ Links ]
Castañeda, R., G. Cañas-Cardona and J. Garcia-Sucerquia, Radiant, virtual, and dual sources of optical fields in any state of spatial coherence, J. Opt. Soc. Am. A 27 (2010) 1322-1330. [ Links ]
Castañeda, R., G. Cañas, and H. Vinck-Posada. Analogies between classical scalar wave fields in any state of spatial coherence and some quantum states of light. J. Opt. Soc. Am. A 29 (2012) 463-472. [ Links ]
Castañeda, R., G. Cañas-Cardona, J. González-Toro, H. Vinck-Posada. Classical modelling of the fourth-order spatial coherence state of scalar wave-fields. 22nd Congress of the International Commission for Optics: Light for the Development of the World, edited by Ramón Rodríguez-Vera, Rufino Díaz-Uribe, Proc. of SPIE Vol. 8011 (2011) 80116F-1, 80116F-10. [ Links ]
Leonhardt, U., Measuring the quantum state of light, Cambridge University Press, 1997. [ Links ]
Recibido: 6 de agosto de 2012
Aceptado para publicación: 28 de febrero de 2013












