Services on Demand
Journal
Article
Indicators
-
Cited by SciELO -
Access statistics
Related links
-
Cited by Google -
Similars in
SciELO -
Similars in Google
Share
Ecos de Economía
Print version ISSN 1657-4206
ecos.econ. vol.15 no.33 Medellín July/Dec. 2011
ARTÍCULO DE INVESTIGACIÓN
Impuestos al capital y al trabajo en colombia: un análisis mediante equilibrio general computable
Effect of Taxes on Capital and Labor in Colombia: A Computable General Equilibrium Analysis
Jesús Botero García*
* Economista Universidad de Medellín. Especialización en Pólítica Económica, Universidad de Antioquia. Docente Universidad EAFIT, Colombia. Correo Electronico: jabotero@eafit.edu.co
Fecha de recepción: 09/14/2011 Fecha de aprobación: 12/01/2011
Resumen
Mediante un modelo de equilibrio general computable, calibrado para Colombia, se analiza el impacto de diversas políticas económicas, que afectan el precio relativo de los factores productivos. Se concluye que los estímulos a la inversión, que pueden interpretarse como acciones que disminuyen el precio del capital, propician sin embargo la acumulación de capital, y por esa vía, incrementan la productividad del trabajo, generando efectos positivos netos sobre el empleo. La eliminación de los aportes parafiscales, por su parte, genera una reducción en el costo del trabajo, pero su efecto global sobre el empleo es compensado parcialmente por las acciones fiscales tendientes a generar rentas alternativas que permitan mantener los beneficios asociados a esos aportes. Se sugiere que el esquema ideal sería aquel que establece estímulos a la inversión, focalizados hacia sectores intensivos en empleo, al tiempo que crea redes de protección social adecuadas, para enfrentar los problemas asociados a la pobreza.
Palabras clave Equilibrio general computable; incentivos a la inversión; impuestos al trabajo.
Abstract
Using a computable general equilibrium model, calibrated for Colombia, it is analyze the impact of various economic policies, which affect the relative price of production factors. The results concluded that the incentives for investment, which can be interpreted as actions that decrease the cost of capital, however lead to the accumulation of capital, and thereby increase the productivity of labour, generating net positive effects on employment. The Elimination of the payrol taxes, for its part, generates a reduction in the cost of labour, but their overal effect on employment is partial y offset by the tax measures designed to generate alternative income to keep the benefits associated with these contributions. Final y the suggestion is that the ideal scheme would be one that provides incentives for investment, focused towards employment-intensive sectors, at the time that creates networks of social protection appropriate to deal with the problems associated with poverty.
Key words
Computable General Equilibrium models; investment incentives; payrol taxes.
Introducción
En los últimos años, Colombia ha practicado una política activa de fomento a la inversión, a través de estímulos a la adquisición de bienes de capital. La ley 863 de 2003 estableció una deducción especial sobre la inversión en activos fijos reales productores de renta, que permite descontar el 30% del valor de dicha inversión de la renta gravable del contribuyente, reduciendo así el impuesto de renta en proporción a la inversión realizada. Dicha deducción especial (que fue incrementada transitoriamente hasta el 40% por la ley 1111 de 2006, para el período 2007-2009), junto con una política de tasas de interés reales bajas y una mejora sustancial en las condiciones de seguridad del país, contribuyó a elevar sustancialmente la relación inversión-PIB, que pasó del 15.7% en 2000, al 27.3% en 2008, y que se mantuvo por encima del 25%, incluso en 2009, en medio de la crisis mundial de finales de la década, como lo ilustra el Gráfico 1.
El incremento en la inversión contribuyó decisivamente a un episodio de ''aceleración del crecimiento'', que llevó la tasa de crecimiento del 2.2% al principio de la década al 7.5% en 2007, y que sólo se frenó en 2008 y 2009, con motivo de la crisis internacional, sin que sin embargo, se llegara a tasa negativas, como lo ilustra el Gráfico 2.
La tasa de desempleo (que, a principios de la década se ubicaba en el 15%) se redujo de manera sostenida hasta el 11.2% en 2007 (ver Gráfico 3), pero con la reducción del crecimiento, se ha elevado de nuevo hasta el 12% en 2009, generando grandes temores acerca de la capacidad del país de difundir los beneficios del crecimiento entre toda la población, a través de la generación de empleo.
Paralelamente, existe en el país un sistema de aportes y contribuciones a la nómina que encarece el costo laboral para las empresas, y que se refleja en el hecho de que por cada 100 pesos de salario corriente, el empresario paga 71 pesos de prestaciones sociales, de aportes a la seguridad social y de aportes parafiscales1. Estos últimos aportes (que representan el 9% de la nómina, y que se destinan a educación, a cuidado de la niñez y a beneficios sociales a través de Cajas de Compensación) han sido especialmente cuestionados por su impacto en el costo efectivo del trabajo, y se ha propuesto su eliminación, aduciendo que afectan negativamente la relación de precio de los factores productivos, generando desempleo.
El presente artículo presenta un modelo de equilibrio general computable dinámico- recursivo, que permite evaluar los impactos sobre el crecimiento y el empleo, tanto de la deducción por inversión, como de los aportes parafiscales. La dificultad mayor en la evaluación de las deducciones por inversión, radica en que los modelos habituales de equilibrio general computable son estáticos, y no incorporan un mecanismo específico de determinación de la inversión. Para obviar tal dificultad, el modelo incorpora el costo de uso del capital como variable explicativa de la inversión, mediante una aproximación fundada en la solución, por programación dinámica, del problema de determinación de la inversión óptima. En cuanto a la evaluación del impacto de los aportes parafiscales, el modelo incorpora un cálculo preciso del costo laboral, y cuantifica la incidencia real que tienen esos aportes sobre el precio del trabajo. La sección segunda del presente artículo presenta brevemente el esquema general del modelo. La sección tercera analiza el problema de la inversión; la sección cuarta presenta los ejercicios de simulación realizados; en tanto que la sección quinta se ocupa de las conclusiones.
El Modelo
El modelo utilizado es un modelo de equilibrio general computable, que replica en detal e las Cuentas Nacionales del país en el año 2007. El modelo considera 15 sectores productivos (café; sector agropecuario; minería; petróleo; industria liviana; industria intermedia; industria pesada; electricidad, gas y agua; construcción; comercio; transporte; comunicaciones; finanzas; otros servicios privados; y servicios del gobierno); ocho socios comerciales a los que se destinan las exportaciones o de los que provienen las importaciones (Venezuela, Estados Unidos, Comunidad Andina, Canadá, Mercosur, Unión Europea, México y resto del mundo); y diez instituciones (Hogares, instituciones sin fines de lucro que sirven a los hogares, empresas privadas, empresas públicas, empresas financieras, administradoras de fondos de pensiones y seguros, administración pública central, administración pública local y resto del mundo).
El modelo discrimina dos factores productivos básicos: capital y trabajo. En cuanto al trabajo, lo descompone entre trabajo agropecuario y trabajo no agropecuario, detal ando, al interior del trabajo no agropecuario, el trabajo calificado y el trabajo no calificado. Distingue finalmente en este último el trabajo formal y el trabajo informal. Así, incluye de manera expresa cuatro tipos de trabajo (agropecuario, calificado, formal no calificado e informal no calificado) junto al capital, para modelar las funciones de producción.
En esencia, el modelo define un conjunto de ecuaciones de oferta y demanda de bienes y servicios, factores productivos, exportaciones, importaciones, divisas y ahorro- inversión. La solución del modelo consiste en encontrar un vector de precios de bienes y servicios, precios de factores, precios de exportaciones e importaciones, tasa de cambio y tasa de interés, que hacen que excesos de demanda se igualen a cero. Cuando un precio es rígido (como es el caso del salario del trabajo no calificado, o la tasa de interés, que es fijada por la autoridades monetarias), el modelo calcula la oferta excedente, y la presenta como desempleo (en el caso del trabajo) o como capacidad productiva no utilizada (en el caso del mercado de ahorro-inversión).
A continuación, se describe, de manera genérica, la modelación de las ofertas y demandas, explicitando, en cambio, el análisis del mercado de ahorro-inversión, en el que se introduce un esquema sofisticado de modelación de la inversión, y en el que se propone el ajuste del mercado, a través del uso de la capacidad instalada.
Los sectores agropecuarios se modelan mediante una función CES, incluyendo capital y trabajo agropecuario. Los sectores no agropecuarios, en cambio, presentan en un mayor nivel de detal e, que se ilustra en el Gráfico 4.
La función de producción es una función a cuatro niveles: en el primer nivel, se agregan en una función CES el trabajo formal no calificado y el informal no calificado, determinando el trabajo total no calificado. Éste se agrega en el siguiente nivel (también mediante una función CES) al trabajo calificado, formando el trabajo total. En el tercer nivel, el trabajo total y el capital se relacionan a través de una nueva función CES para producir Valor agregado, que se consolida con insumos intermedios (mediante una función de coeficientes fijos) para generar el producto final en el cuarto nivel de la función de producción2.
La producción así obtenida se desagrega entre producción doméstica y producción exportable, formando una frontera de posibilidades de producción CET para cada sector. La producción exportable atiende la demanda de exportaciones, que se modela mediante funciones de demanda de elasticidad constante para cada uno de los socios comerciales que el modelo considera, en tanto que la producción doméstica se agrega a las importaciones, mediante una función CES3, para atender la demanda interna total de la economía, que proviene del consumo, el gasto público, la demanda intermedia, la inversión y la formación de inventarios4.
El modelo supone, para los sectores agropecuarios, competencia perfecta. Pero en los sectores no agropecuarios, en cambio, se asumen condiciones de competencia monopolística: los precios se determinan, a la manera de Dixit - Stiglitz5, aplicando un margen de ganancia sobre el costo marginal. Dado que el capital sectorial es inmóvil, la función de producción incluye expresamente el índice de uso de la capacidad instalada, que se ajusta, para producir la cantidad demanda al precio fijado. De esta manera, dados los precios del trabajo y de los insumos intermedios, el empresario maximiza su ganancia, aplicando el margen óptimo al costo de la producción; pero al tiempo, minimiza sus costos de producción, determinando la cantidad óptima de trabajo que debe ser empleada, dejando que sea el índice de uso de la capacidad instalada la variable que se ajuste para hacer cero el exceso de demanda del sector.
En lo que respecta a la oferta de trabajo, se asume que es exógena, pero en la medida en que se asumen mercados laborales duales (agropecuario y no agropecuario; formal e informal), se modela la migración entre esos mercados a la manera de Harris -Todaro6. La proporción de oferta agropecuaria y no agropecuaria es función de la remuneración esperada en cada uno de los mercados. El salario en el mercado agropecuario es flexible, e iguala la oferta y la demanda de trabajo. El mercado no agropecuario, en cambio, tiene mayor complejidad: en primer lugar, la oferta total se divide entre trabajo calificado y trabajo no calificado. En el trabajo calificado se asume que hay un proceso de negociación salarial, en el que la tasa de variación del salario depende del nivel de desempleo. El trabajo no calificado se mueve, por su parte, entre el mercado formal y el informal. Los trabajadores migran entre uno y otro, atendiendo señales de precios, en este caso, el salario esperado del sector formal (que depende de un salario fijo, determinado por la regulación sobre salario mínimo y de la probabilidad de emplearse) y el ingreso promedio del sector informal, que es flexible y ajusta la oferta y la demanda de trabajo no calificado informal.
En resumen, pues, el mercado de trabajo calificado es relativamente flexible, aunque por condiciones contractuales esa flexibilidad está condicionada por el nivel de desempleo; el mercado formal no calificado tiene precios rígidos y se ajusta por desempleo; y el mercado informal no calificado se ajusta por precios.
En el mercado externo, la demanda de importaciones se determina minimizando el gasto en la compra del nivel deseado de bienes, dada la restricción CES que agrega bien importado y bien doméstico. En el caso de las importaciones, se asume el supuesto de país pequeño: el precio de las importaciones está dado en moneda extranjera, y una vez determinados los aranceles y el tipo de cambio, se define su precio interno. El precio de los bienes domésticos se fija en el modelo de competencia imperfecta mediante la aplicación del margen óptimo de ganancia, en tanto que se ajusta para igualar oferta y demanda en los sectores competitivos, en los que el precio es igual al costo marginal.
Para la modelación de las exportaciones se distinguen dos tipos de sectores: los que corresponden a las denominadas exportaciones tradicionales del país7, que se determinan exógenamente en el modelo, tanto en su volumen como en su precio en moneda extranjera; y los correspondientes a exportaciones no tradicionales, en los que la oferta depende de la decisión óptima de los empresarios (que maximizan su ingreso, dada su frontera de posibilidades de producción); y la demanda se modela mediante funciones de elasticidad constante. En las exportaciones de estos sectores el precio es endógeno, y se ajusta para igualar la oferta y la demanda total proveniente de los ocho destinos de exportación.
El déficit en cuenta corriente debe cubrirse con flujos de capital y con disminución de reservas internacionales. El modelo distingue dos tipos de flujos de capital: los flujos de inversión extranjera directa, y los demás flujos de capital (endeudamiento de corto y largo plazo, público y privado). Los primeros son sensibles al grado de apertura de la economía, de forma tal que un aumento del grado de apertura (medido como la participación del comercio internacional en el PIB total) induce mayores flujos de inversión extranjera directa. Los flujos de endeudamiento, por su parte, son exógenos, y el mercado se ajusta por variación en el tipo de cambio, dado un plan de acumulación o desacumulación de reservas internacionales. Así, la tasa de cambio varía para permitir que el saldo en cuenta corriente de la economía (es decir, la diferencia entre ingresos por exportaciones de bienes y servicios, por rentas de factores o por transferencias; y egresos por importaciones y por pagos de rentas factoriales) sea cubierto por los flujos de capital o por la desacumulación de reservas internacionales, generando devaluación cuando los flujos de capital y la variación en reservas son insuficiente para cubrir el déficit en cuenta corriente, o revaluación en caso contrario.
Las fuentes de demanda en la economía, además de la demanda de exportaciones, son el consumo, la inversión, las compras intermedias, el gasto público y la variación en inventarios.
El consumo se modela mediante una función de propensión marginal a consumir constante. Los hogares tienen un nivel básico de consumo real fijo, y destinan una proporción constante de su renta disponible (neta de impuestos y de aportes a la seguridad social) al consumo. El plan de consumo se asigna a los sectores mediante un sistema lineal de gasto, dejando que el ingreso remanente del consumidor, después del pago de impuestos y el consumo, se destine al ahorro.
El gasto público es exógeno, y depende del plan de consumo del gobierno. Dado que las rentas del gobierno depende de las tasas impositivas y del ingreso de los sectores grabados, el ahorro público es endógeno: el crecimiento genera mayores rentas tributarias e incrementa el ahorro público, o al contrario, una contracción de la economía disminuye el ahorro público, por la vía de una reducción del recaudo tributario.
Las compras intermedias se determinan a partir de coeficiente fijos; y los inventarios son una proporción fija de la producción sectorial. Las demandas totales son atendidas mediante producción doméstica e importaciones.
En cuanto a la inversión, su nivel se determina endógenamente en función del costo de uso del capital, haciendo explícita su relación con los elementos que determinan dicho costo.
En concreto, el procedimiento adoptado es el siguiente: se evalúa el problema de la inversión como un problema de programación dinámica, en el que el inversionista decide, en cada sector, la cantidad óptima de inversión en el período corriente. El planteamiento permite derivar una ecuación de demanda de inversión para cada sector, que se calibra a partir de la información observada en el año base. Tal planteamiento permite relacionar la inversión con el costo de uso de capital, y evaluar, en consecuencia, el impacto que cambios en las políticas monetarias o fiscales tiene sobre aquel a.
La formulación del problema parte de entender la relación entre capital y ganancia, en un modelo de competencia monopolística a la Dixit-Stiglitz. Dada esta relación, el inversionista determina la cantidad óptima de capital que desea invertir, en función del costo de uso del capital. A continuación se detal a el desarrol o del problema.
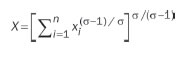
En cada sector, operan n empresas idénticas en competencia monopolística, que producen cada una su propia variedad xi del bien X, que se agrega a los demás mediante la función CES:

Donde σ es la elasticidad de sustitución de Al en entre las diversas variedades del bien8. El consumidor minimiza su gasto, sujeto a alcanzar un nivel determinado de consumo del bien X:

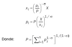
Las condiciones de primer orden determinan las funciones de demanda de cada variedad del bien:

Cada productor dispone de un stock de capital (k) y busca maximizar su renta neta, dada la función de demanda y la función de producción Cobb-Douglas de rendimientos constantes a escala9:

Reemplazando las restricciones en el problema original, éste se convierte en:

La condición de primer orden es:

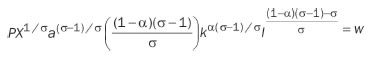
El nivel óptimo de empleo (en función del capital instalado) es:

Donde10: 
Reemplazando en la función de producción:

Y en la función de renta neta:

Así, en competencia monopolística y con rendimientos constantes a escala, la renta
neta de pagos salariales es:
(1) π = ck • kρ
En el largo plazo, el empresario de cada sector, determina la trayectoria óptima del capital11 maximizando el valor presente de sus rentas netas, que dependen del rendimiento marginal del capital, neto de impuestos, y del valor de la inversión realizada, ajustada por los descuentos tributarios a los que tiene derecho:

Donde:
τe : tasa de tributación efectiva aplicable a la renta corriente.
r : tasa de interés.
pk : precio de los bienes de capital.
Descuentos tributarios sobre la inversión (incluyendo deducciones por la depreciación en n períodos y deducciones sobre un porcentaje φ de la inversión).
δt : tasa de depreciación aplicable al stock actual.
τn : tasa de tributación nominal.
Φ : deducción por inversión.
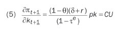
La ecuación de Bel man asociada al problema es la siguiente:

La condición de primer orden, la derivada de la función respecto al capital, y la ecuación
de movimiento del capital se expresan como:

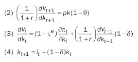
Reemplazando (2) en (3) e iterando un período se tiene:

Reemplazando la anterior expresión en (2):

El costo de uso del capital aumenta con la tasa de interés r, con el precio de los bienes de capital pk, con la tasa impositiva τe; y disminuye con los descuentos tributarios θ.
Pero en competencia monopolística:

Reemplazando en (5) y despejando:

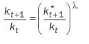
Ahora bien: el empresario no necesariamente puede ajustar su stock de capital efectivo al stock deseado. El proceso de ajuste parcial se describe mediante la ecuación:

Donde: λ < 1: velocidad de ajuste
Reemplazando:

La elasticidad del capital al costo de uso es, en consecuencia,
siendo
la elasticidad de la ganancia al stock de capital y λ la velocidad de ajuste del capital efectivo al capital deseado. En el modelo de competencia imperfecta, el parámetro ρ depende del parámetro de participación en la función de producción y del grado de diferenciación del producto, que determina también el mark-up del sector.
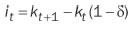
Agregando el capital de todas las empresas, se llega a la ecuación básica del modelo, según la cual la inversión en el sector (it) es:

Donde se ha hecho uso de la ecuación de movimiento:

La ecuación se formula en el modelo como:

Donde
se calibra a partir de la información del año base.

Resumiendo, las ecuaciones del modelo, incluyendo subíndices sectoriales, son:
Dada la inversión, el modelo determina el nivel de uso de la capacidad instalada que genera el ahorro correspondiente, produciendo el equilibrio.
Las ofertas y demandas escritas conforman un sistema implícito de ecuaciones de exceso de demanda de bienes y servicios, factores productivos, exportaciones, importaciones, divisas y ahorro-inversión, que se resuelve para producir excesos de demanda no positivos, mediante el ajuste de precios o la generación de capacidad ociosa en los mercados en los mercados de precios rígidos. La actualización de los acervos de factores productivos y de las condiciones externas, permite generar una secuencia de equilibrios, que proyecta el funcionamiento de la economía en un horizonte de mediano plazo. Las simulaciones consideran diversos escenarios para las variables de política económica, produciendo trayectorias diversas de evolución de la economía, que se analizan a continuación.
Simulaciones
La calibración básica parte de parámetros de elasticidad de sustitución, que se presentan en la Tabla 1:
Los demás parámetros se ajustan para replicar el año base, en este caso, 2007.
El escenario 1 básico se construye mediante el modelo recursivo, y proyecta la econo- mía colombiana para el período 2008-2014, incluyendo los shocks exógenos vividos en el período 2008-2009.
Los escenarios alternativos considerados son los siguientes:
• Escenario 2: La eliminación de las deducciones a la inversión a partir del año 2011.
• Escenario 3: Eliminación de los aportes parafiscales, a partir del 2011, sin eliminar los beneficios sociales correspondientes, es decir, suponiendo que el gobierno asume su costo, con el consiguiente incremento del déficit fiscal. En la matriz de contabilidad social, los aportes parafiscales se han definido como parte del pago salarial, así que su eliminación equivale a una reducción del precio del factor trabajo. En teoría, la reducción de los parafiscales disminuye el precio del trabajo en un 5.3%12. Pero de acuerdo con información disponible de la contaduría nacional y del DANE, los aportes representan efectivamente el 3.9% de la remuneración a los asalariados, por lo que la reducción de precio se limita a esta cifra.
• Escenario 4: Eliminación de los aportes parafiscales, compensado su reducción mediante incrementos en los impuestos directos (incrementado la tarifa del 33% al 40%) y de los impuestos indirectos (pasando del 16% al 18%).
• Escenario 5: Modificación de la deducción por inversión, haciéndola descontable de los aportes parafiscales. Es decir: el valor de la deducción puede ser aplicado por el empresario a sus aportes parafiscales, hasta el monto que éstos representen. En este caso, la deducción se focaliza en sectores generadores de empleo, y su monto se limita al monto de los aportes parafiscales.
Los tablas 2, 3, 4 y 5 presentan los resultados obtenidos:
Como puede apreciarse, la eliminación de las deducciones a la inversión, en la medida en que afecta el costo de uso del capital, disminuye la inversión y reduce en 0.4% el crecimiento del PIB. Pero también reduce el empleo. La razón es la siguiente: el modelo supone que los empresarios, al determinar su inversión, toman una decisión de largo plazo comparando el valor presente neto de sus rentas futuras con el costo de uso del capital que invierten. Una vez el capital está instalado, éste se convierte en un costo hundido, y el problema es ya un problema de optimización de corto plazo, en el que los empresarios buscarán maximizar la ganancia corriente, dado el stock de capital disponible. En la optimización de corto plazo, los empresarios contratan trabajo hasta el punto en el cual el salario real se iguala con su productividad marginal del trabajo, que depende del stock de capital existente. En este sentido, se generan una mayor demanda de trabajo cuando la productividad marginal del trabajo se incrementa, debido al incremento del stock de capital. Así pues, aunque ciertamente habrá un efecto sustitución de trabajo por capital en el largo plazo (que se dará a través de la escogencia de tecnologías intensivas en capital, y que estará limitado por el ritmo de reposición del stock instalado), operará también un efecto tipo ''ingreso'', en la medida en que se desplazará hacia la derecha la función de productividad marginal del trabajo. Por el o, la elasticidad del empleo al capital no será igual o superior a 1, pero no será tampoco negativa.
En cuanto a la eliminación de los aportes parafiscales, generará en promedio 224 mil empleos, reduciendo la tasa de desempleo en 1.6% en el primer año. Pero el o a costo de un incremento del déficit fiscal de 0.7 puntos del PIB, haciendo más complejo el manejo fiscal y generando posibilidades de una desmejora en las calificaciones de riesgo, que puede comprometer el acceso a los mercados financieros internacionales. Si se toman medidas compensatorias para evitar el deterioro fiscal, los efectos se reducen considerablemente, generando apenas 128 mil empleos en promedio. De esta forma, la medida (aunque atractiva desde el punto de vista de la simplificación de los mercados laborales) produce efectos más bien marginales, que distan de representar una gran revolución que transforme el mercado de trabajo en Colombia.
Conclusiones
Los resultados de las simulaciones indican que, si bien los efectos de precio relativo entre trabajo y capital son importantes para entender la economía colombiana, existen otro tipo de efectos que deben ser considerados en el análisis: los estímulos a la inversión propician la acumulación de capital, y por esa vía, incrementan la productividad del trabajo, generando efectos positivos netos sobre el empleo. La eliminación de los aportes parafiscales incrementa el empleo, pero genera problemas fiscales, a menos que la sociedad decidiera eliminar algunos beneficios sociales que la población recibe, afectando en consecuencia su bienestar.
Medidas alternativas, como la focalización de los descuentos a la inversión, en sectores generadores de empleo, produciría mejores resultados. Mantendría el dinamismo de la economía, generando empleos, y preservando el proceso de crecimiento jalonado por la inversión. La continuación de este proceso será sin duda el camino para alcanzar tasas de desempleo inferiores al 8%, acordes con las aspiraciones de un país que todavía mantiene niveles de pobreza superiores al 40%.
Así pues, quizás haya que entender que el problema del país no es que el crecimiento no haya generado suficiente empleo. Más bien, es que no se ha generado suficiente crecimiento, como para alcanzar el empleo necesario. Una buena combinación de políticas agresivas de fomento a la inversión, con redes de protección social adecuadas, deberá permitir un estado de desarrol o superior, que permita enfrentar exitosamente la pobreza.
Notas al pie
1 Por un trabajador de salario mínimo, el empresario debe pagar 4.2% de vacaciones; 35.3% de prestaciones sociales; 22.5% de aportes a la seguridad social, y 9% de aportes parafiscales.
2 Un grupo de cuatro sectores no se modelan mediante funciones CES en cuatro niveles, bien porque son sectores en los que el precio es exógeno o regulado, y en los que están involucrados procesos de inversión de larga maduración (como es el caso de los sectores petróleo, trilla de café y minería); o porque no está definida de manera adecuada la renta de todos los factores en la Cuentas Nacionales (como ocurre con el sector de servicios del gobierno). En ellos se considera que la demanda de trabajo está definida a partir de coeficientes fijos, y el precio se determina aplicando un margen de ganancia sobre los costos, de tal manera que el sector produce cuanto le es demandado al precio fijado.
3 Este esquema fue propuesto originalmente por Armington (1969). Se asume que los bienes importados y los bienes producidos domésticamente no son sustitutos perfectos, y que su agregación puede modelarse mediante una función CES. El comprador minimiza el costo de la compra, asignando la proporción óptima de importaciones y de bienes domésticos.
4 Cabe anotar que los sectores son ''multi-producto'': es decir, reparten su producción entre diversos tipos de bienes, mediante una matriz de producción. Adicionalmente (y siguiendo en ello el esquema de las cuentas nacionales de Colombia), el modelo incorpora expresamente dos sectores que involucran los costos de transacción en la economía: el comercio y el transporte. Ambos se modelan como cargos fijos que se adicionan a la producción de los demás sectores.
5 Ver Dixit and Stiglitz (1977). La idea básica es suponer que en cada sector hay una cantidad grande de productores idénticos, que producen un bien ligeramente diferenciado, que se agrega a los demás bienes mediante una función CES. Así, cada productor enfrenta una función de demanda de pendiente negativa, y determina el precio que maximiza su ganancia. El margen de ganancia es función de la elasticidad de sustitución entre los bienes diferenciados.
6 Ver Harris and Todaro (1970). En el modelo original, los trabajadores se mueven entre mercados duales hasta igualar la remuneración esperada en cada uno de los mercados. En este artículo se adopta una versión restringida del modelo, en la que la relación entre la oferta de los dos mercados, es sensible a la relación entre los valores esperados de la remuneración en cada uno de ellos.
7 Las exportaciones tradicionales en Colombia son el café, el petróleo y las exportaciones mineras, excluidos metales preciosos. En el modelo, las cantidades exportadas y los precios se fijan exógenamente en los mercados internacionales.
8 Se asume que σ > 1.
9 Se omiten los subíndices para simplificar la presentación. Las letras minúsculas corresponden a la empresa. Las mayúsculas a la industria.
10 Se asume que tanto la cantidad agregada como el precio agregado son independientes de la decisión de cada productor. Ver Brakman and Heijdra (2004), p. 15.
11 Se omite el subíndice sectorial para simplificar la presentación.
12 Como se explicó en el nota 1, el empresario paga a un trabajador de salario mínimo el 171% del salario. Eliminando los aportes parafiscales, el pago se reduciría al 162% del salario, lo que corresponde a una reducción del 5.3% en el pago al factor.
Referencias
Armington, Paul. (1969). A Theory of Demand for Products Distinguished by Place of production. IMF Staff Papers, (XVI), 159-78. [ Links ]
Brakman and Heijdra, ed. (2004). The Monopolistic Competition Revolution in Retrospect. England: Cambridge University Press, Cambridge. [ Links ]
Dixit, Avinash & Stiglitz, Joseph. (1977). Monopolistic Competition and Optimum Product Diversity. The American Economic Review, 67, (3). [ Links ]
Harris, J. & M. Todaro. (1970). Migration, Unemployment and Development: A Two Sector Analysis. American Economic Review, 60(1), 126-42. [ Links ]
Hayasi, Fumio. (1982). Tobin's Marginal and Average q: A Neoclassical Interpretation. Econometrica, 50(1). [ Links ]
Lofgren, Lee Harris, Robinson (2002). A Standard Computable General Equilibrium Model in GAMS. Microcomputers in Policy Research. International Food Policy Research. [ Links ]






















