Services on Demand
Journal
Article
Indicators
-
Cited by SciELO -
Access statistics
Related links
-
Cited by Google -
Similars in
SciELO -
Similars in Google
Share
Ecos de Economía
Print version ISSN 1657-4206
ecos.econ. vol.15 no.33 Medellín July/Dec. 2011
ARTÍCULO DE INVESTIGACIÓN
La eficiencia de los Hospitales Colombianos en el contexto Latinoamericano. Una aplicación de Análisis Envolvente de Datos (DEA) en un grupo de hospitales de alta complejidad, 2009
The efficiency of Colombian hospitals in the Latin American context. An application of Data Envelopment Analysis (DEA) in a group of complex surgeries hospitals, 2009
Jorge L. Navarro España*, Francisco Maza Ávila**
* Economista de la Universidad de Cartagena; Magíster en Gestión y Políticas Públicas de la Universidad de Chile. Director de la Escuela de Economía y Administración de la Universidad Industrial de Santander, Colombia. Correo de contacto: jnavarro@uis.edu.co
** Administrador Industrial de la Universidad de Cartagena; Especialista en gestión gerencial de la misma Universidad. Profesional adscrito a Vicerrectoría de Investigaciones de la Universidad de Cartagena, Colombia. Correo de contacto: fmazaa@unicartagena.edu.co
*** Economista de la Universidad del Magdalena; Magíster en Ciencias Económicas de la Universidad Nacional, sede Bogotá. Docente de la Escuela de Economía y Administración de la Universidad Industrial de Santander, Colombia. Correo de contacto: ranviana@uis.edu.co
Fecha de recepción: 09/26/2011 Fecha de aprobación: 11/22/2011
Resumen
Los servicios médicos de alta complejidad constituyen un sector con alto potencial de generación de divisas y buen desempeño competitivo por el acceso a altos desarrollos tecnológicos. La medición de la eficiencia en este sector en el país es un aspecto importante si se quiere ser competitivo. Con una muestra de 20 hospitales y clínicas latinoamericanos en el año 2009, utilizando la información suministrada por América Economía, se midió la eficiencia de 5 entidades colombianas incluidas allí. La medición se hizo mediante la metodología DEA. Los resultados arrojaron que 4 de las entidades colombianas se encuentran sobre la frontera de eficiencia y la restante solo debe hacer ajustes en el uso del espacio físico, en aquellos campos en los que esto sea posible. La conjunción de eficiencia, precios competitivos y calidad del servicio le auguran un buen futuro a los servicios médicos de alta complejidad en el país.
Palabras clave Economía de la salud, servicios médicos de alta complejidad, eficiencia, Metodología DEA.
Abstract
The medical services of complex surgeries is a sector with high potential for generating foreign exchange and it owns a good competitive performance due the access to high technology developments. The measurement of efficiency in this sector in the country is an important aspect, if we want to be competitive. In a sample of 20 Latin American hospitals, was measured the efficiency of the group of 5 Colombian entities included there. The measurement was made by the DEA methodology. The results showed that 4 of the Colombian institutions are on the efficient frontier and the remaining one must make adjustments in the use of physical space in those areas where this is possible. The combination of efficiency, competitive prices and quality service, augur a good future for medical services of complex surgeries in Colombia.
Key words Health economics, high-risk medical services, efficiency, DEA Methodology.
Introducción
Colombia es uno de los países receptores del turismo médico a nivel latinoamericano. Esta actividad se ha constituido en una fuente creciente de divisas y para prestarse debe contarse con una tecnología altamente desarrollada y un equipo humano calificado. Estos son los llamados hospitales y clínicas de alta complejidad. En distintos escenarios el Ministerio de Comercio, Industria y Turismo ha dejado sentada la importancia del sector. En el reciente Congreso Internacional de Turismo de Salud realizado en Medellín, Medesalud 2011, Juan C. Garavito Pinzón, gerente general del Programa de Transformación Productiva de este Ministerio afirmaba que para 2014 se esperaba que el sector produjese exportaciones por U$ 300 millones de dólares.
La productividad y eficiencia de estas entidades es un aspecto que se debe analizar si se quiere que este sector de la economía sea competitivo. Por ello, el propósito de este documento es analizar los niveles de eficiencia de un grupo de hospitales y clínicas de alta complejidad de Colombia y otros países latinoamericanos para establecer qué tan eficientes son los primeros respecto de los segundos. Ello no es óbice para aclarar que este tipo de ejercicio, en el caso de los servicios de salud, debe hacerse con cuidado por las particularidades de esta actividad. Dos pacientes con la misma enfermedad puede que no tengan el mismo tiempo de afección, convalecencia y recuperación debido a factores genéticos, historia previa, entre otros factores. Los datos usados provienen de la encuesta anual de hospitales y clínicas que realiza la revista América Economía, específicamente la de 2009.
Para el propósito buscado, el documento se divide como se describe a continuación. Esta primera sección, en la cual se introduce el tema. Una segunda sección en que se define lo que se entiende por servicios médicos de alta complejidad. La tercera despliega la revisión de la literatura consultada para este trabajo. La cuarta presenta la metodología y objetivos. En la quinta están contenidos los resultados y se finaliza con las conclusiones.
Los servicios médicos (o de salud) de alta complejidad
Un hospital de alta complejidad se puede definir como aquellos en los que se practican cirugías de alta complejidad o se atienden pacientes de alto riesgo. Los servicios de salud de alta complejidad son caracterizados según Rangel (2004) como aquel os que tienen mejor acceso a recursos humanos, tecnológicos y financieros; esto ha permitido que puedan mejorar sus procesos y estructuras para ampliar sus productos y mercados, lo que les ha llevado a definir portafolios de servicios muy específicos; ya que han logrado conciliar los esquemas médicos tradicionales con las nuevas tendencias económicas (que ven en el mercadeo y comercialización de los servicios de salud un complemento funcional de esta, así como una fuente de ingresos) son unos de los sectores con mayor potencial de desarrol o, competitivos y generadores de servicios exportables.
Según Csendes y González (2005) se puede considerar una cirugía de alta complejidad como aquel a en la que el tiempo de operación es mayor o igual a 4 horas, se requiere de un equipo médico complejo (2 o más cirujanos) que tenga una especialización quirúrgica derivada de la cirugía general, operando con una infraestructura, servicios y recursos altamente especializados, y que implica para el paciente un riesgo quirúrgico de mortalidad operatoria 1 y una estadía posoperatoria en una unidad crítica.
Boyd y Jackson (2005) identifican los pacientes de alto riesgo como aquel os que están en situación de riesgo tan alto de morbilidad y mortalidad que podrían beneficiarse de disfrutar de cuidado perioperatorio en una unidad de cuidados intensivos (UCI) o en una unidad de alta dependencia. Para Gomersal (2006), el término ''paciente de alto riesgo quirúrgico'' no está bien definido y se puede usar para referirse al grupo de pacientes que se consideran de alto riesgo de muerte después de la operación y se incluyen en los estudios pre-operatorios para ''optimizar'' el aporte pre-determinado de oxígeno. No obstante, desde la perspectiva de este documento se reconoce que, en el papel de observador, es común ver que algunas veces este tipo de instituciones puede dedicarse a operaciones de tipo estético o reconstructivo, en los que no necesariamente la vida del paciente se encuentra en alto riesgo.
La importancia de este tipo de unidades empresariales o institucionales para la economía radica en que los servicios complejos de salud son considerados en América Latina como sectores de punta con un alto perfil de competitividad. En este sentido, su potencial exportador de servicios y por tanto de generación de divisas ha llamado la atención de los gobiernos y analistas. De igual forma, el hecho que utilicen tecnología de punta, así como combinaciones de insumos mayoritariamente tecnológicos los hace ver atractivos a la vista de los analistas académicos. Pero también los hacer ver
sospechosos de potencial ejercicio de poder de mercado por la razón que el acceso a estas tecnologías en sí constituye una barrera de entrada a estas actividades. La sola pregunta de si las combinaciones de insumos que utilizan son eficientes es un motivo por sí solo atractivo.
De esta manera, en América Latina existen países como Brasil, Colombia, Chile y México entre otros que han apostado a favor de este tipo de servicios como puntales de desarrollo y fuente de divisas. En este sentido, han podido competir ventajosamente contra los países que otrora eran los receptores de este tipo de servicios a nivel mundial, no solo vía calidad del servicio, sino por los menores precios comparativos como se puede deducir de Portas (2011).
Revisión de alguna literatura de aplicación de la metodología DEA en servicios hospitalarios
El propósito de esta sección y este trabajo no es hacer una exposición del modelo DEA, suficientemente documentado y explicado en los trabajos que se citan aquí. Por ello, dentro del cuerpo del trabajo no se incluirá la explicación metodológica (que puede ser consultada en el anexo 1 donde se brinda una explicación breve), sino revisar la aplicación de la metodología en distintos contextos2.
Sodani y Madnani (2008) conceptúan que a pesar que la metodología DEA es superior a las medidas tradicionales para medir el desempeño de los servicios médicos, no es de uso común entre los investigadores y profesionales del área de salud. A juicio de estos autores esta situación se da por el fondo matemático de la técnica que algunas veces hacer parecer incomprensible lo que está detrás de los cálculos y naturaleza de la medición. No obstante, resaltan la fortaleza de la técnica como instrumento analítico y decisional.
Linna, Häkkinen y Magnussen (2006), realizaron un trabajo sobre la eficiencia en costos en 98 hospitales de Finlandia y Noruega utilizando la metodología de análisis envolvente de datos3. La muestra de hospitales contempló 47 observaciones para el primer país y 51 para el segundo. Los datos usados fueron de 1999 y provinieron de las estadísticas de la National Discharge Registries.; los costos de netos de operación (sin costos de capital) se usaron como elemento de insumo y diferentes mediciones de producción (consultas externas, días de atención y días de hospitalización entre otros); los autores compararon los resultados para hospitales en ambos países en los niveles regional, central y local4. Estos datos no incluyeron hospitales militares, privados y siquiátricos. Los resultados del estudio indicaron que los hospitales finlandeses tienen mayor variabilidad en la eficiencia de costos, pero así mismo tienen mejor desempeño que sus pares de Noruega. En promedio la eficiencia en costos de los hospitales noruegos es entre 17-25% más bajo que los finlandeses.
Reba y Rizzi (2006), aplican el método DEA a un grupo de 85 hospitales públicos y privados en la región de Venetto (Italia) para medir la eficiencia de estos. Los autores concluyen que el peso o ponderación otorgada a los insumos y salidas, de acuerdo a las preferencias de los tomadores de decisiones de política pública en temas de salud terminan afectando la medición de la eficiencia. Encuentran que los bajos niveles de eficiencia en algunos casos son atribuibles a decisiones que se toman en el sistema político y por fuera de las instituciones. Esto se cumple específicamente para los hospitales públicos en cuanto a las decisiones de política que afectan el tamaño de los hospitales. Aconsejan que la eficiencia de las instituciones sea medida por las preferencias expresadas por las comunidades a través de sus representantes elegidos, ya sea en el orden local o nacional. De igual manera identifican que muchas de la ineficiencia de las entidades se deben a decisiones de política que determinan un exceso de capacidad productiva en relación a la demanda.
Nayar y Ozcan (2008), aplican la técnica DEA relacionando la calidad y la eficiencia técnica a un grupo de 117 hospitales públicos en el Estado de Virginia (USA). Los cálculos mostraron que los hospitales que son eficientes desde el punto de vista técnico también tuvieron un buen desempeño en términos de calidad. Incluso algunos de los hospitales técnicamente ineficientes mostraban un buen desempeño en términos de calidad de sus servicios. Los resultados sugieren que enfocar decisiones administrativas en mejorar la eficiencia técnica probablemente no compromete los indicadores de calidad. Las implicaciones gerenciales y de política son que, por un lado se puede maximizar la cantidad y la calidad. Por otro, la eficiencia no necesariamente se puede alcanzar a costa de la calidad.
García Fariña et. al. (2007), estudian los niveles de eficiencia de las cuarenta (40) policlínicas de la Provincia de Matanzas en Cuba mediante la metodología DEA. Los autores encontraron una eficiencia relativa alta en la mayoría de las policlínicas estudiadas, pero el 27% presentó muestras de ineficiencia. En estas unidades ineficientes los autores encontraron evidencia de holgura en el uso de recursos, lo que indica que efectivamente se necesita revisar el proceso de asignación de recursos para evitar el exceso de recursos ociosos. Como medidas de mejoramiento de la ineficiencia se identificaron el mejoramiento de la detección de casos de tuberculosis, reducción de la mortalidad infantil y ampliación de la cobertura de inmunización.
Nupia y Sánchez (2001) estudian los niveles de eficiencia en hospitales públicos en Bogotá usando la metodología DEA. Analizan un total de 31 hospitales estatales, encontrando que del total de hospitales, 15 (algo menos de la mitad) presentan ineficiencias de tipo técnico y 25 presentan ineficiencia de tipo asignativa. Aún, los que son eficientes en sentido asignativo no lo son necesariamente en sentido técnico. Asimismo concluyen que todos los hospitales estudiados deberían disminuir su contratación de horas de personal administrativo; en tanto que los de nivel I deben disminuir su contratación de tiempo de médicos generales y auxiliares y los de nivel I y I I, la de médicos especialistas. Para encontrar los determinantes de dicha eficiencia usaron estimaciones econométricas que les permitieron establecer que factores como la estructuras sindical y de contratación (porcentaje de contratistas) y dependencia de los recursos de la Secretaría de Salud de Bogotá. Finalmente, encontraron que la estructura de ingresos afecta notoriamente los resultados de la eficiencia. Los resultados de esta breve revisión se pueden observar en el Cuadro 1.
Los principales aspectos que se pueden destacar de esta revisión es que la metodología se usa tanto para hacer comparaciones internacionales de nivel general, como para hacer comparaciones de tipo regional al interior de los países. En algunos casos se combina la comparación internacional pero a nivel de regiones. Asimismo se usa para comparar desempeño entre sectores (público y privado). Un hecho llamativo es que aun cuando dos estudios tengan inicialmente el mismo ámbito de acción, los resultados difieren en las causas de la ineficiencia. Las causas de un uso no óptimo de recursos van desde factores externos a los mismos entes (influencia política y brotes repentinos) hasta decisiones internas ineficientes. Pero también el hecho que la calidad no tiene por qué reñir con búsqueda de reducción de costos.
Metodología, datos y objetivos
El objetivo del presente documento es medir la eficiencia de un grupo de hospitales de alta complejidad de Colombia respecto a instituciones similares de América Latina. La base de datos usada proviene de la encuesta que anualmente realiza la revista América Economía. Para este estudio se emplearon datos de 2009, que contiene información de 20 hospitales latinoamericanos. De este total, Colombia y Brasil participan con 5 hospitales cada uno y Chile tiene una participación de 3; Argentina, Costa Rica y México participan con dos instituciones por cada país; finalmente Uruguay, Venezuela y México participan con una entidad por país. La encuesta de América Economía se denomina ''Los mejores Hospitales de América Latina'' y lleva dos versiones. La encuesta recoge datos que tienen naturaleza objetiva y subjetiva. Para el caso del este estudio se seleccionaron solo los datos que son de carácter objetivo y que son reportados por las propias instituciones. En el anexo 3 puede verse la metodología empleada para recoger los datos.
Debido a que la encuesta presenta solo los resultados de un ranking que al final publica la revista, los datos son una muestra limitada del universo de hospitales y clínicas de alta complejidad. Debido a el o, se decidió utilizar la metodología DEA para medir la eficiencia. Esta metodología no paramétrica posee la ventaja que permite establecer órdenes dentro del grupo objetivo de medición y por tanto se adecúa a la naturaleza y disponibilidad de los datos de este trabajo. De las variables que fueron reportadas dentro del ranking final, se escogieron como variables insumo el número de médicos y camas, la superficie construida y los años de funcionamiento. Esta última variable se calculó a partir del año de fundación reportado en la encuesta. Con el o se pretende recoger el conocimiento acumulado o la experiencia a través de los años. No obstante se reconoce que la tecnología médica puede ser adquirida o comprada en forma de capital físico o contratando recurso humano que puede pasar de una institución a otra. De igual manera es preciso aclarar que lo óptimo es contar con la información de recurso humano (médicos) por horas de trabajo. Pero la encuesta utilizada no reporta dicha información. Como variables de resultado se utilizaron el porcentaje de ocupación de camas y el número de egresos. La información de las variables se sintetiza en el Cuadro 2:
Si bien se reconoce que la naturaleza de los hospitales y clínicas incluidas en la muestra es disímil, en varios trabajos consultados (Linna, Häkkinen y Magnussen, 2006; Reba y Rizzi, 2006 y Nupia y Sánchez 2001) se midió la eficiencia de hospitales de distinta naturaleza y nivel, por lo que realizar ejercicios de este tipo ha sido una práctica aceptada. Ahora, la justificación no va por el hecho de lo tradicional de la práctica sino porque como afirman Albi et al (2000) y Jacobs (2000), el análisis DEA permite hacer este tipo de generalizaciones, lo cual le otorga a esta metodología una ventaja respecto a los métodos econométricos, pero al mismo tiempo constituye una limitación ya que como el os mismos afirman, la metodología puede no distinguir la ineficiencia de lo que pueden ser errores estadísticos o la presencia de variables no controladas. Asimismo, las conclusiones y derivaciones se limitan a los resultados y no se puede generalizar ni inferir más al á del grupo de datos estudiados. Pero por la misma razón, el título de este trabajo hace referencia a ''un grupo de hospitales'', y no pretende absolutizar los hallazgos. De igual manera, no es el propósito del trabajo describir las realidades de la salud ni de los sistemas hospitalarios de los países en los que tienen asiento las instituciones incluidas en la muestra.
Para la estimación de la eficiencia técnica de las 20 clínicas y hospitales de alta complejidad en América latina para el año 2009, se empleó el software Frontier Analisyst. Dado que no existe la certeza sobre el tipo de retorno que exhibe la función de producción del proceso aquí tratado, para la estimación de la eficiencia se acude al modelo de retornos variables a escala con orientación al output. De otra parte, las DMU clínicas y hospitales responsables del proceso considerado, no tienen la discrecionalidad en cuanto a la determinación del monto de los insumos que aplicarán al proceso productivo, por tanto su preocupación radica en la maximización del output a partir de los inputs que les son asignados. Esta premisa resulta adecuada cuando los directivos están interesados en un aumento de la productividad sin que necesariamente esto conlleve a la reducción de los recursos en uso (García Fariñas et. al, 2007). La tabla 1 recoge el resumen estadístico de los datos de las variables a incluir en la función de producción clínicas y hospitales de alta complejidad en América Latina.
Resultados del estudio y su análisis
El cálculo de la eficiencia según el análisis envolvente de datos se puede ver en la tabla 2. Las dos primeras columnas de la tabla son auto contenidas. La columna 4 muestra el porcentaje de eficiencia que alcanzaron las instituciones hospitalarias, considerados los outputs e insumos definidos. La quinta muestra el tipo de rendimiento a escala encontrado en estas instituciones. Los resultados arrojan que de los 20 hospitales y clínicas evaluados, 13 de el os son más eficientes que sus pares como se hace el pareo; de ellos, 9 se encuentran ubicados en países suramericanos (Argentina, Brasil, Chile, Colombia y Venezuela), y el resto en Centroamérica (Costa Rica y México). Cabe anotar que el 11 de las 13 clínicas y hospitales son de naturaleza privada.
Con 4 centros hospitalarios, Colombia se destaca por el ser el país de América Latina con el mayor número de hospitales y clínicas con mayores niveles de eficiencia. Le sigue Brasil con 3 centros y Costa Rica con 2. El resto se distribuyen entre Argentina, Chile, México y Venezuela. Aunque podría existir una relación entre la eficiencia hospitalaria de los países objeto de estudio y el incremento en su turismo en salud, al momento de realizar esta investigación no se hallaron estudios que permitieran corroborarlo. Sin embargo se destaca el informe publicado por el Ministerio de Industria, Comercio y Turismo de Colombia (2010), en el cual se afirma que las actuales potencialidades del país en el turismo de salud radican en los niveles de calidad de sus centros asistenciales (con acreditaciones Internacionales), y en el mejoramiento de la infraestructura destinada a la prestación de servicios de salud/bienestar, sumado a los bajos costos de los procedimientos, entre 25% y 40% más baratos que los de Estados Unidos.
Por otra parte, las 7 clínicas y hospitales relativamente ineficientes en ese mismo año (aquel as que ante los insumos asignados, no lograron potencializar completamente sus productos), se encuentran distribuidos entre Argentina, Brasil, Chile, Colombia y Uruguay. Sin embargo, sus niveles de eficiencia se encuentran por encima del 80%, a excepción de Sanatorio Americano de Uruguay, cuya eficiencia no supera ese porcentaje. Aún más, 4 de estos hospitales muestran un rendimiento insumo-producto por encima de 90%. Es decir, aún con los niveles de eficiencia alcanzados, sus rendimientos son altos. Ello es así ya que la naturaleza y propósito de estas entidades las obliga a tener prácticas soportadas en las tecnologías a las que tienen acceso.
En resumen, los resultados arrojados de la medición de la eficiencia de las clínicas y hospitales de alta complejidad en América Latina establecen que el 65% de las clínicas y hospitales evaluados realizan un uso eficiente de los insumos (infraestructura, personal médico disponible y experiencia medida en años de funcionamiento) para prestar sus servicios de salud. El resto de clínicas y hospitales, si bien no se ubicaron en la frontera de eficiencia, podrían lograrlo a largo plazo, dado los rendimientos crecientes a escala reportados por cada uno de ellos.
Pautas para la reasignación de recursos
En este aparte, y conociendo las clínicas y hospitales (DMU) eficientes que sirven de referencia a los no eficientes, se puede calcular la mejora potencial individual que podría alcanzar a partir de una mejor combinación de sus insumos y productos, con el fin de alcanzar la frontera de eficiencia.
La tabla 3 muestra los ajuste en insumos que habría que lograr para un uso más eficiente de estos. La columna dos muestra el Porcentaje de eficiencia calculada (E), que es el mismo que viene de la tabla 2. En las columnas 3 y 4 se muestra el valor reportado (A) del insumo y el valor que debería tener para un uso óptimo (B). Finalmente, la última columna muestra el porcentaje de incremento o disminución porcentual para alcanzar el uso óptimo (C). En la última fila de la tabla se muestra el valor promedio de todas las reducciones.
Puede observarse que en relación a los inputs, se podría incrementar la eficiencia de los centros hospitalarios evaluados reduciendo, en un 40,28% el número de médicos disponibles, seguido por los Mts2 construidos (32,47%) y los años de funcionamiento (23,85%) y el número de camas (8,9%). Los anteriores resultados, en principio contradictorios, indican que existía un exceso de recursos en cada una de esas unidades, tal con puede observarse en los valores óptimos. No obstante debe advertirse que los recursos desaprovechados pudiesen ser consecuencia de que el acceso a este tipo de servicios es costoso, en países como los latinoamericanos, caracterizados por coeficientes altos de concentración del ingreso y de desigualdad económica. Aunque se reconoce que en algunos países, al menos en el caso colombiano, los hospitales y clínicas tienen la obligación legal de recibir a pacientes independientemente de la capacidad de pago.
La interpretación de la reducción de los años de funcionamiento no es en sentido literal, ya que esto es lógicamente imposible. Lo que indica el o es que los resultados de hospitales también pudieron ser obtenidos por un centro hospitalario con una trayectoria 23,85% menor a los actuales. Es decir, por una institución con menos años de funcionamiento. Por ejemplo, el caso del Hospital Alemán de Argentina que existe desde el Siglo XIX. Hay dos hechos que influyen en este suceso. Los grandes adelantos tecnológicos en medicina (investigación de punta, conocimiento humano y equipo tecnológico) se dieron en el Siglo XX, y estos desarrollos eran incipientes en las primeras décadas de la centuria. El segundo hecho es que este tipo de hospitales requiere una inversión financiera alta. Por tanto, quienes los montan, si tienen el músculo financiero necesario, pueden obtener la tecnología de punta y ''robar'' a otros hospitales el capital humano necesario para funcionar (aplicar la grúa, lo llaman en Chile). Por ello aparece que los hospitales más antiguos tienen ‘demasiado tiempo' funcionando en relación a los resultados obtenidos.
Dado que el único hospital colombiano incluido en los relativamente menos eficientes es el Pablo Tobón Uribe, este párrafo se dedica a esta unidad de análisis. Lo resaltable de este hospital es que el único insumo en el que muestra un desempeño menos eficiente en al área construida. Según los cálculos, en los otros insumos considerados, el uso es óptimo. No obstante, debe hacerse la consideración de que en el caso de los centros médicos, el espacio puede ser una variable decisiva en la atención óptima de los pacientes. Por ejemplo, puede ser que un paciente necesite mantenerse aislado de otros, y un espacio aireado amplio. De hecho, una de las desventajas del modelo DEA es que no se considera este tipo de especificidades. En últimas, lo que se quiere hacer notar es que el Pablo Tobón Uribe, estando en el grupo de los menos eficientes, la variable en la que necesita hacer ajustes es aprovechar mejor su área, con la salvedad de que se haga, solo en los casos en los que desde el punto de vista médico, ello sea posible. Es decir, aún el Tobón Uribe es un hospital con alto desempeño en este grupo.
Con respecto a la mejora en los outputs o resultados obtenidos, para mejorar la eficiencia sería necesario incrementar en promedio 27,77% el número de pacientes dados de alta e incremento en la tasa de ocupación de las camas en 17,14%, como se aprecia en la Tabla 4. La interpretación de las columnas de la tabla es la misma que la de la Tabla 3.
(E)= Porcentaje de eficiencia calculada. (A)= Valor actual del Insumo. (B)= Valor de uso óptimo del insumo. (C)= Porcentaje óptimo de incremento o disminución porcentual del insumo.
Los resultados muestran que en este aspecto los hospitales pudiesen obtener mejores resultados mejorando la rotación de las camas, así como incrementando el número de egresos. No obstante, en este aspecto se debe aclarar nuevamente que dada la naturaleza y especificidades de los tratamientos médicos (función de producción médica) un paciente ocupa una cama y es dado de alta dependiendo de las necesidades, complicaciones y complejidades de su tratamiento. A pesar de el o, el Pablo Tobón Uribe es uno de los que menos debe mejorar en ocupación (3,41%), pero es el que debe tener la mayor mejora en egresos.
Conclusiones
El propósito de este documento era realizar una medición de la eficiencia de un grupo de hospitales de alta complejidad de Colombia respecto a otros de Latinoamérica en el año 2009. La principal conclusión es que los hospitales y clínicas de Colombia mostraron un alto desempeño respecto a otros del continente, ubicándose entre los que mejor usa sus insumos (personal, área y experiencia) respecto a la ocupación de camas y egresos de pacientes. Aún el Pablo Tobón Uribe que fue el único hospital colombiano en el grupo de los menos eficientes, tiene indicadores de eficiencia buenos. Respecto a este hospital específicamente, debe optimizar el uso del espacio físico por paciente para acercarse a la frontera eficiente. Obviamente, en aquel os campos y casos donde sea medicamente eficiente y aconsejable.
Dado que en este documento se toca el tema de la competitividad de la industria colombiana de servicios médicos de alta complejidad, se puede dejar sentado que los hospitales colombianos tienen una ventaja en términos de que usan sus recursos de manera eficiente, y los costos comparativos de los tratamientos son más bajos que en otros países, según la revisión de literatura efectuada (Ministerio de Industria, Comercio y Turismo de Colombia, ibíd. y Portas, ibíd.). En este sentido, hay tres aspectos clave que se conjugan: eficiencia, precios competitivos y calidad de los tratamientos. Por ejemplo, Portas realiza una comparación internacional a precios de dólares de julio de 2009; se puede ver que las operaciones en Colombia son más asequibles en promedio. Los valores de los tratamientos en países como USA, México, Costa Rica, India, Singapur, Tailandia y corea eran en promedio 2,3 veces más costosos, según los cálculos realizados para este documentos con los datos aportados por Portas. Posiblemente, los precios competitivos del país sean consecuencia de la mejor eficiencia. Otras posibles explicaciones para los aumentos de la eficiencia, como los efectos de las curvas de aprendizajes, aunque pudiesen ocurrir, los resultados de este trabajo han mostrado que los hospitales con menos tiempo de existencia tienen similares o mejores niveles de eficiencia orientados a output que los que poseen más tiempo de antigüedad.
Aún con esto, en este documento no se tienen elementos para establecer esta conjetura con total contundencia. La abundancia de recurso humano incluso podría tener incidencia en estos menores costos. Finalmente, no en vano el Ministerio de Industria, Comercio y Turismo de Colombia ha identificado esta área de los servicios como un fuerte generador de divisas hacia el futuro.
Notas al pie
1 En el caso de Chile, los autores definieron una tasa de mortalidad superior a 1%.
2 Una revisión de los métodos para analizar eficiencia hospitalaria puede ser consultada en García (1997).
3 Comúnmente conocida por sus siglas en inglés como DEA (Data Envelopment Analysis).
4 De acuerdo al documento, los hospitales brindan servicios en áreas geográficas limitadas, los hospitales centrales tienen cobertura a nivel de condados y los hospitales de enseñanza regional que proveen servicios altamente especializados.
5 Se asume que la unidad productiva tiene la capacidad de decidir acerca de la cantidad de recursos que utiliza y/o los resultados que produce, por eso se le da el calificativo de decisoria (Decision Making Unit, en la literatura anglosajona)
Referencias
Albi, E., González- Páramo, J. y Zubiri, I. (2000). Economía pública I. Barcelona: Ariel Economía. [ Links ]
Banker, R. D., Charnes, A., & Cooper, W. (1984). Models for Estimation of Technical and Scale Inefficiencies in Data Envelopment Analysis. Management Science, 30, 1078- 1092. [ Links ]
Boyd, O. & Jackson, N. (2005), How is risk defined in high-risk surgical patient management? Critical Care, 9(4), 390–396. [ Links ]
Charnes, Abrahan; Cooper, William; & Rhodes, Edwardo. (1978). Measuring Efficiency of Decision Making Units. European Journal of Operational Research, (3), 62-74. [ Links ]
Csendes, A. y González, G. (2005). Operaciones de alta complejidad. Definiciones, técnicas y estadísticas. Revista Chilena de Cirugía, 57(2), 178-183. [ Links ]
García B. (1997). Análisis de eficiencia del sector hospitalario: una revisión de métodos. Cuadernos de Estudios empresariales, (7), 151-176. [ Links ]
García Fariñas A. Sánchez, Z., Chaviano, M. y Muñiz, M. (2007). Niveles de eficiencia de las policlínicas de Matanzas, Cuba, según el método de análisis envolvente de datos. Revista Panamericana de Salud Pública, 22(2), 100–109. [ Links ]
Gomersall, Ch. (2006). 'High risk' surgical patients, Asian Intensive Care, International Intensive Care Conference. Recuperado de: http://www.aic.cuhk.edu.hk/web8/High%20risk%20surgical%20patients.htm [ Links ] Arial, Helvetica, sans-serif">
Jacobs, R. (2000). Alternative methods to examine hospital efficiency: data envelopment analysis and stochastic frontier analysis. Recuperado de: http://www.york.ac.uk/media/che/documents/papers/discussionpapers/CHE%20Discussion%20Paper%20177.pdf [ Links ]
Linna, M., Häkkinen U. & Magnussen, J. (2006). Comparing hospital cost efficiency between Norway and Finland. Health Policy, (77), 268–278. [ Links ]
Ministerio de Industria, Comercio y Turismo de Colombia. (2010), Turismo en salud. Colombia Compite. Recuperado de: http://www.transformacionproductiva.gov.co/Library/News/Files/TS%20-%20TURSALUD%20Colombia%20Compite357.PDF [ Links ]
Nayar, P. y Yasar, Ozcan. (2008). Data Envelopment Analysis Comparison of Hospital Efficiency and Quality. Journal of Medical Systems, (32), 193–199. [ Links ]
Nupia, O. y Sánchez, F. (2001). Eficiencia de los hospitales públicos de Bogotá. Desarrollo y Sociedad, (48), 101-136. [ Links ]
Portas, E. (2011). El comercio internacional de servicios de salud en México: fortalezas, oportunidades, debilidades y amenazas. México: CEPAL. [ Links ]
Quesada, V.M., Blanco, I., Maza, F.J. (2010). Análisis envolvente de datos aplicado a la cobertura educativa en el departamento de Bolívar - Colombia (2007-2008). Revista OMNIA, 16 (3), 77-100. [ Links ]
Rangel, A. (2004). Restricciones al comercio de servicios de salud, Departamento Nacional de Planeación. Recuperado de: http://www.dnp.gov.co/PortalWeb/Portals/0/archivos/documentos/DEE/Archivos_Economia/267.pdf [ Links ]
Sodani, P.R. & Madnani, G.M.K. (2008). Measuring Hospital Performance through Data Envelopment Analysis: Understanding Basic Concepts to Help Novice Researchers. Journal of Health Management, 10(1), 129-142. [ Links ]
Vincenzo R. & Rizzi, D. (2006). Measuring Hospital Efficiency through Data Envelopment Analysis when Policy-makers' references Matter. An Application to a sample of Italian NHS hospitals. University of Venice. Recuperado de: www.dse.unive.it/pubblicazioni [ Links ]
Metodologia de Análisis envolvente de Datos- DEA
El análisis por envoltura de datos (DEA) es una técnica de programación matemática introducida inicialmente por Charnes, Cooper y Rhodes (1978), que permite calcular el índice de eficiencia técnica relativa, resolviendo un problema matemático de optimización. DEA propone resolver un programa lineal para cada unidad productiva (DMU5) observada. Se asume que la unidad productiva tiene la capacidad de decidir acerca de la cantidad de recursos que utiliza y/o los resultados que produce, por eso se le da el calificativo de decisoria. El concepto de DEA se desarrolla alrededor de la idea básica de que la eficiencia de una DMU se determina por su habilidad para transformar los inputs en unos outputs deseados.
A diferencia de la mayoría de métodos paramétricos (excepto los que utilizan datos de panel), DEA ofrece una información singularizada a nivel de cada productor de la eficiencia, con el propósito de construir un conjunto frontera determinado por las DMU Pareto-eficientes (aquel as en una posición tal que les es imposible mejorar su salida sin deteriorar la cantidad de input utilizado o viceversa). La eficiencia se mide en relación con otras DMU, por lo tanto no es posible establecer si las DMU evaluadas están optimizando el uso de sus recursos aplicados en la producción de sus outputs (Quesada, Blanco y Maza, 2010). El DEA se ha implementado en muchos países para determinar la eficiencia en sectores como la educación, salud e infraestructura, a partir de la destinación de recursos por parte del gobierno como la principal variable de entrada o input en el modelo.
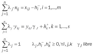
Cuando no es procedente asumir una tecnología con retornos a escala constante, por la naturaleza misma del problema o porque se tenga duda respecto a cuál tecnología asumir como supuesto, es recomendable trabajar con retornos a escala variable -VRS o BCC, por las iniciales de los autores del modelo - (Banker, Charnes y Cooper, 1984). El modelo más utilizado se denomina BCC-OUTPUT, que en su forma dual se representa como:

Sujeto a:

Donde:
Υj : Amplificación radial que se produce de todas las salidas. Puede identificarse con la eficiencia de J si J se compara con un punto perteneciente a la frontera eficiente.
: Reducción rectangular de la entrada i.
: Amplificación rectangular de la salida k.
λj: Coeficientes de la combinación lineal de entradas y salidas a los que se está refiriendo el punto de proyección de DMUjsobre la frontera eficiente. Puede interpretarse como la proximidad del punto de proyección de DMUjsobre la frontera eficiente a las unidades eficientes reales.
Metodología Encuesta América Economía (Adaptado de www.americaeconomia.com)
La Revista América Economía hizo una primera consulta a los ministerios de Salud de los nueve países en estudio (Argentina, Brasil, Colombia, Costa Rica, Cuba, Chile, México, Perú y Venezuela), acerca de las organizaciones que por características de calidad, prestigio local y variedad de sus servicios médicos, pudiesen considerarse como las mejores por país. La lista obtenida se contrastó con fuentes de información calificadas, como la Joint Commission International, y los sistemas de acreditación o estudios nacionales de calidad en Argentina, Brasil, Colombia y Chile.
Esto arrojó una muestra de más de 180 entidades a las cuales se les envió un cuestionario base, solicitando datos específicos para establecer comparaciones. Se recibió respuesta de 31 hospitales y clínicas, a los cuales se les envió un segundo cuestionario, con preguntas más específicas para establecer diferencias. Consultando sitios web y memorias institucionales se amplió la muestra a 33 hospitales, de los cuales quedaron los primeros 20 cuya información aparece publicada en la página de la revista.
Hubo adicionalmente un componente subjetivo en el que votaron cerca de 700 profesionales acerca del prestigio de los hospitales y clínicas de sus países y la región. Se preguntó también por el prestigio de los sistemas de salud de los nueve países considerados, así como los factores que más inciden en la calidad hospitalaria. Se contó con un panel internacional de expertos en gestión hospitalaria, quienes ayudaron en la confección del marco conceptual, el diseño metodológico y la estrategia de análisis de resultados.


















