1. Introducción
La estructura temporal de las tasas de interés (ETTI), también conocida como curva de rendimientos, se define como la relación existente entre el rendimiento de títulos públicos con características crediticias similares y sus períodos al vencimiento. La ETTI ha sido modelada y estimada a través de técnicas paramétricas y no paramétricas, utilizando modelos de equilibrio, como Vasicek (1977); Brennan y Schwartz (1979); Cox, Ingersoll y Ross (1985); y Fong y Vasicek (1991); al igual que modelos libres de arbitraje, como Ho y Lee (1986); y Hull y White (1990). Debido a que la ETTI suele revelar información relacionada con las expectativas del mercado sobre el comportamiento futuro de la economía, se ha convertido en una herramienta para la toma de decisiones de las autoridades monetarias y en un instrumento para los agentes de mercados financieros, que utilizan su volatilidad para establecer modelos que apoyan la administración del riesgo en la valoración de activos financieros y el diseño de estrategias de inversión y cobertura.
La volatilidad de la ETTI ha cobrado mayor importancia durante las últimas décadas, tras el desarrollo de los derivados financieros, dado que esta suele establecerse como un input para la implementación de modelos como los desarrollados por Black, Derman y Toy (1990), y Hull y White (1987), los cuales han sido populares entre los profesionales en finanzas, para fines de valoración de activos derivados de renta fija (Díaz, Jareño & Navarro, 2009). Por lo anterior, para los agentes de mercados financieros es una necesidad conocer y entender tanto la volatilidad de las tasas de interés y las variaciones en el rendimiento de los activos financieros, como las causas y las relaciones que este tipo de fenómenos tiene con variables macroeconómicas, con el fin de incorporarlo en el análisis de modelos que permitan reducir el riesgo de mercado en la toma de decisiones financieras en mercados que operan bajo incertidumbre.
Entre los estudios de la estructura de volatilidad de las tasas de interés, se encuentran los desarrollados por Alexander y Chibumba (1997); Alexander (2000; 2001a; 2001b); Heidari y Wu (2003); Ferrer, González y Soto (2008); Novales y Benito (2007); Díaz, Jareño y Navarro (2010); y Jareño y Tolentino (2012); en los cuales se aplican los lineamientos de la metodología de Litterman y Scheinkman (1991) para descomponer la ETTI y representarla a través de tres componentes principales que se interpretan como nivel, pendiente y curvatura.
Por su parte, entre los trabajos que se han llevado a cabo en Colombia están los desarrollados por Botero y Ramírez (2007), quienes estiman la volatilidad de la tasa de interés a corto plazo a través de modelos de Nivel (CKLS), modelos de heterocedasticidad condicionada autorregresiva (GARCH) y modelos Mixtos (BHK); y Cuadros (2015), quien, a pesar de no incluir el análisis de volatilidad, descompone la ETTI para el mercado de Estados Unidos y Colombia utilizando un modelo de cuatro factores, que corresponden al factor de pronóstico de los retornos y los tres componentes principales expuestos por Litterman y Scheinkman (1991).
Los estudios académicos que buscan encontrar el grado de dependencia entre el mercado de deuda pública y las variables macroeconómicas, por su parte, están más orientados a estudiar la relación entre los fundamentales y la ETTI, que en estudiar los fundamentales y la volatilidad. Algunos autores, como Evans y Marshall (1998); Bernanke y Blinder (1992); Estrella y Hardouvelis (1991); Hardouvelis (1994); y McCallum (2005); estudian la relación que tiene la política monetaria en las tasas de interés de mercado. Entre tanto, otros como Ang y Piazzesi (2003); Evans y Marshall (2001); Diebold, Rudebusch y Aruoba (2006); llevan a cabo una descomposición de la ETTI a través de la representación de los factores nivel, pendiente y curvatura, y emplean una gama más amplia de variables macroeconómicas, donde encuentran la relación entre la ETTI y los choques en las variables macroeconómicas, a través de modelos de vectores autorregresivos (VAR) o sus variantes, usando las funciones de impulso-respuesta y la descomposición de varianza.
En Colombia, autores como Bautista, Riascos y Suárez (2007); Mayorga (2007); y Melo y Castro (2010) estiman la ETTI a través del modelo propuesto por Diebold et al. (2006), que no impone restricciones de no arbitraje, y establecen su relación con variables macroeconómicas como la tasa interbancaria, el índice de bonos de mercados emergentes de Colombia (EMBI), el índice de precios al consumidor (IPC), la brecha del producto interno bruto, las expectativas inflacionarias y el índice de producción industrial, empleando para ello un modelo VAR y siguiendo con la metodología de Ang y Piazzesi (2003), y Evans y Marshall (2001). Por su parte, Melo y Becerra (2006) estudian no solo la relación en niveles entre tasa de política monetaria y las tasas de interés de mercado, representadas por la tasa interbancaria y los certificados de depósito a 90 días (DTF), sino que incluyen en sus análisis la relación entre sus volatilidades por medio de los modelos VARX-GARCH; sin embargo, estos autores dentro de sus estudios no incorporan el análisis de la volatilidad de la ETTI.
A diferencia de los anteriores trabajos, la presente investigación tiene como propósito estimar la volatilidad de la estructura temporal de las tasas de interés del mercado colombiano de deuda pública, donde se identifiquen cuáles son los componentes principales que la representan y la relación de estos con variables de tipo macroeconómico. El período de análisis es 2003-2016. Dado que ha sido un tema poco explorado, se pretende aportar, para el mercado colombiano, evidencia empírica que permita a los agentes de mercados financieros no solo comprender el comportamiento de la volatilidad de la ETTI, sino entender los orígenes de las variaciones de los activos financieros asociados a fenómenos macroeconómicos; así pues, esta investigación puede servir de apoyo para la administración del riesgo y la toma de decisiones de inversión.
Adicionalmente, en este estudio se pretende realizar un aporte desde el punto de vista metodológico, al combinar diferentes estrategias que han sido aplicadas separadamente en diversas investigaciones previas: para el estudio de la volatilidad de la ETTI se usan los planteamientos de las investigaciones de Alexander y Chibumba (1997); Alexander (2000; 2001a; 2001b); Ferrer, González y Soto (2008); Novales y Benito (2007); Díaz, Jareño y Navarro (2010); y Jareño y Tolentino (2012); y para el estudio de la relación entre la volatilidad de la ETTI y la macroeconomía, se aplica la estrategia desarrollada en las investigaciones de Ang y Piazzesi (2003), y Evans y Marshall (2001).
Esta investigación se desarrolla en tres etapas: en la primera, se estiman las tasas de interés que representen la ETTI por medio de la metodología paramétrica de libre arbitraje desarrollada por Nelson y Siegel (1987), teniendo en cuenta que este modelo es considerado no solo como uno de los más populares usados por bancos centrales y publicaciones académicas, sino que en Colombia1, después de varios estudios realizados, fue autorizado por el Ministerio de Hacienda y Crédito Público, y por la Superintendencia de Valores (hoy Superintendencia Financiera de Colombia) como el método para calcular la ETTI del mercado de deuda pública colombiano (Chacón, 2004).
En la segunda etapa se estima la volatilidad de las tasas de interés, utilizando los modelos autorregresivos de varianza condicional heterocedástica, dado que, en este sentido, la literatura previa ha llegado al consenso de que este tipo de especificación permite modelar adecuadamente la volatilidad de las series financieras. Finalmente, en la tercera etapa, luego de identificar los componentes principales que representan la estructura de volatilidad de las tasas de interés, se evalúa la relación entre estos y las variables macroeconómicas, a través de los modelos de series de tiempo multivariadas, particularmente los modelos de vectores autorregresivos estructurales (SVAR) y las pruebas de causalidad de Granger.
El resto de este artículo se organiza de la siguiente manera: en la sección dos se aborda la literatura previa relacionada con el objeto de esta investigación; en la sección tres se establecen los resultados esperados; en la sección cuatro se define la metodología y se explica el modelo paramétrico de Nelson y Siegel (1987), que estima la ETTI, los modelos de heterocedasticidad condicionada autorregresiva y sus variantes, y los modelos SVAR; en la sección cinco se presentan los resultados empíricos; y, finalmente, se presentan las conclusiones y la lista de las fuentes consultadas.
2. Estado del arte
2.1. Volatilidad de la ETTI.
Los trabajos empíricos previos a esta investigación han estado más orientados a explicar el comportamiento del valor medio de las tasas de interés que la volatilidad de las mismas. Inicialmente, fueron desarrollados por Litterman y Scheinkman (1991) para el mercado de deuda de Estados Unidos, encontrando que existen tres factores principales que tienen la capacidad de explicar los movimientos de las tasas de interés y el precio histórico de los bonos, los cuales se interpretaron como nivel, pendiente y curvatura. Asimismo, el trabajo estuvo enfocado en explicar cómo el nivel general de las tasas de interés afecta los precios de los bonos a través de la duración.
Los trabajos posteriores han determinado, de manera general, que la dinámica de la ETTI puede ser explicada por tres factores principales. Bliss (1997) mostró que los movimientos de la ETTI del mercado de Estados Unidos, explicados a través de la descomposición de tres factores principales, ha sido consistente desde 1970 y no ha cambiado significativamente; además, discute las implicaciones de los resultados en los modelos de cobertura de tasas de interés y demuestra que las coberturas basadas en los factores de descomposición son superiores a las basadas en métodos tradicionales. De igual manera, Soto (2004) estimó la ETTI para el mercado de deuda pública español y se enfocó no solo en explicar los factores principales que la representan, sino en probar la estabilidad de estos, encontrando que, si bien las tasas de interés pueden caracterizarse por tres factores principales, estos no se mantienen constantes. Finalmente, entre otros trabajos de investigación sobre el comportamiento de la ETTI, se encuentran los de Périgon y Villa (2006); Matzner-løber y Villa (2004); Elton, Gruber y Michaely (1990); y Wu (2003).
Cuadros (2015), por su parte, propuso la descomposición de la ETTI para los mercados de Estados Unidos y Colombia, utilizando un modelo de cuatro factores, que corresponden al factor de pronóstico de los retornos y los tres componentes principales expuestos por Litterman y Scheinkman (1991), con el fin de identificar los efectos que la ETTI del mercado de Estados Unidos pueda tener sobre la estructura a plazos de la economía colombiana.
Si bien las anteriores investigaciones se enfocaron en estudiar la dinámica de las tasas de interés, no incluyeron un análisis específico para la estructura de la volatilidad. En este sentido, los trabajos que tienen una mayor aproximación al objeto de la presente investigación son los desarrollados inicialmente por Alexander y Chibumba (1997), y Alexander (2000; 2001a; 2001b), quienes propusieron un método llamado Ortogonal-GARCH, para generar matrices de covarianzas basadas en factores principales obtenidos a partir para la ETTI del mercado de deuda de Estados Unidos.
La metodología consiste en aplicar los lineamientos de Litterman y Scheinkman (1991), para caracterizar o descomponer la ETTI a través de una muestra representativa de tasas de interés con diferente tiempo al vencimiento y en estimar su volatilidad empleando modelos de heterocedasticidad condicionada autorregresiva (ARCH) y de medias móviles ponderadas exponenciales (EWMA). Posteriormente, para reducir su dimensión y de paso solucionar los problemas de información abundante y redundante, se transforman las variables en un conjunto de nuevas variables que son combinaciones lineales de las originales, representando, de esta manera, la volatilidad de las tasas de interés en un pequeño número de factores -componentes principales- que se interpretan como nivel, pendiente y curvatura.
Heidari y Wu (2003) no solo se enfocaron en estudiar la estructura de las tasas de interés aplicando la técnica de los componentes principales y tomando como referencia la Libor y los swaps principales, sino que incorporaron, dentro de su análisis, la volatilidad implícita de los swaps.
Novales y Benito (2007) estimaron la ETTI a través del modelo de Nelson y Siegel (1987), y mostraron que la volatilidad puede ser explicada también por un número pequeño de factores, pero enfocaron su análisis en dos períodos de estudios, considerando la creación de la Unión Monetaria Europea, en 1999, y el cambio en el manejo de la política monetaria que tuvo lugar a partir de ese entonces.
Ferrer et al. (2008) estimaron la volatilidad de la ETTI para el mercado de deuda pública español adoptando la metodología Ortogonal-GARCH empleada por Alexander y Chibumba (1997), y por Alexander (2000; 2001a; 2001b). Estos investigadores sugirieron una estimación de las tasas de interés con tiempo al vencimiento específico, que sirven como mejor aproximación para representar los factores principales de la estructura de volatilidad.
Díaz et al. (2010), por su parte, estimaron la ETTI utilizando no solo dos modelos, el de Nelson y Siegel (1987), y el de Vasicek y Fong (1982), sino que hicieron sus estimaciones adoptando dos supuestos en cuanto al comportamiento de los errores: OLS (asumiendo que hay homocedasticidad) y GLS (asumiendo que hay heterocedasticidad), y modelos de varianza condicional heterocedástica. La investigación encontró que existen significativas diferencias en la volatilidad de la ETTI dependiendo del modelo y del supuesto en la estimación de los errores. A su vez, Jareño y Tolentino (2012) aplicaron esta metodología al mercado de Estados Unidos, pero modificando el método de estimación para la ETTI. En esta ocasión, emplearon el modelo de Svensson (1994) y las estimaciones obtenidas de Bloomberg, así como las bases de datos del Banco Central (Federal Reserve Board y Department of the Treasury). Otros trabajos en los que se estudió la volatilidad de la ETTI son los de Périgon y Villa (2006); Longstaff y Schwartz (1992); Lekkos (2000); Chirinos y Bolívar (2012); y Strickland (1993).
Para el caso colombiano, Botero y Ramírez (2007) estimaron la volatilidad de la tasa de interés a corto plazo, representada por la tasa de interés interbancaria, a través de modelos de nivel (CKLS), modelos de heterocedasticidad condicionada autorregresiva (GARCH) y modelos mixtos (BHK) que combinan características de las dos especificaciones anteriores. Los autores encontraron que el modelo EGARCH es la mejor especificación para estimar la volatilidad de la tasa de interés interbancaria y que la respuesta de la volatilidad cuando se presentan innovaciones positivas es un 22,3% superior respecto a las innovaciones negativas de la misma magnitud.
2.2. Relación entre macroeconomía y la ETTI.
Existen numerosas investigaciones previas que estudiaron la relación entre la ETTI y sus determinantes macroeconómicos; sin embargo, estas no se enfocaron en analizar los determinantes macroeconómicos de la volatilidad de la ETTI. La estrategia empírica utilizada para identificar los choques exógenos en la ETTI ha sido la metodología de vectores autorregresivos estándar y vectores autorregresivos estructurales, desarrollada inicialmente por Sims (1986). Se cuentan, entre ellas, investigaciones como las de Evans y Marshall (1998); Bernanke y Blinder (1992); McCallum (2005); Haldane y Read (1999; 2000); y Arango, González, León y Melo (2006), en las que se evaluó la relación entre la política monetaria y la ETTI, sustentadas en el argumento de que es el mejor factor que determina sus movimientos.
Evans y Marshall (1998) encontraron que los choques asociados a una política monetaria contractiva en los Estados Unidos producen un aumento transitorio en las tasas de interés de corto plazo que decrece con la madurez, un menor efecto en los rendimientos de la parte media de la ETTI y casi ningún efecto en las variaciones de las tasas de interés de largo plazo (menos del 15%). El principal efecto está en la variación de la pendiente de la ETTI. Las respuestas de la ETTI se pueden explicar más desde las condiciones de liquidez que por el efecto de las expectativas de inflación.
También están aquellas investigaciones en las que se evaluó un conjunto de variables macroeconómicas más amplias sobre la ETTI. Evans y Marshall (2001) utilizaron, para Estados Unidos, la producción industrial, el índice de precios al consumidor, el índice de precios al productor y la tasa de interés de los fondos federales, obteniendo resultados que fueron contrastados con la investigación de Ang y Piazzesi (2003). Los autores encontraron que los impulsos macroeconómicos producen la mayor parte de la variabilidad de las tasas de interés de todos los períodos de madurez y que los choques en el consumo, coherentemente inducen cambios grandes, persistentes y estadísticamente significativos en el nivel de la ETTI. Por el contrario, los choques tecnológicos inducen patrones más débiles y menos sólidos de respuestas en las tasas de interés, ya que mueven las tasas reales y la inflación esperada en direcciones opuestas. Además, no hay evidencia de que los choques de política fiscal induzcan a significativas respuestas en las tasas de interés.
Ang y Piazzesi (2003) describieron la dinámica de la ETTI y las variables macroeconómicas utilizando modelos de no arbitraje. Las variables macroeconómicas seleccionadas las dividieron en dos subgrupos: el primero, compuesto por el índice de precios al consumidor, el índice de precios al productor, los precios de commodities y el desempleo; y el segundo, por la tasa de empleo, el índice de producción industrial y el índice help. Posteriormente, aplicaron componentes principales para extraer un factor en cada subgrupo (inflación y actividad económica), encontrando que los factores macroeconómicos explican hasta un 85% del pronóstico de la varianza de larga, media y corta madurez de la ETTI, aunque su explicación decrece para rendimientos de mayor madurez. En la parte larga de la ETTI, el 60% de la varianza pronosticada es atribuible a factores macro en un horizonte de pronóstico de un mes, mientras que, en horizontes de pronóstico muy largos, más del 60% de la varianza es atribuible a factores inobservables.
Diebold et al. (2006) estudiaron la dinámica entre variables macroeconómicas y la curva de rendimientos, por medio de un modelo no estructural sin restricciones de no arbitraje diferente al propuesto por Diebold y Li (2006), aplicando el Filtro de Kalman para la estimación simultánea de los parámetros de la curva a través del método de máxima verosimilitud, y luego estimaron un SVAR tomando los componentes principales de las tasas de interés, la utilización de la capacidad instalada, la tasa de reserva federal y la inflación anual.
De Goeij y Marquering (2006) estimaron el impacto que tienen los anuncios macroeconómicos sobre la volatilidad del mercado de bonos de los Estados Unidos, encontrando que las volatilidades aumentan en los días de anuncio, pero las altas volatilidades causadas por las noticias inesperadas no persisten al día siguiente. Los autores también analizaron si la volatilidad de los bonos responde asimétricamente a choques negativos y positivos, y encontraron que existe poca evidencia de efectos asimétricos en la volatilidad del rendimiento de los bonos.
Joslin y Konchitchki (2017) estudiaron la relación entre el mercado de renta fija, la macroeconomía y el sector corporativo (a través del desempeño de los ingresos corporativos y la volatilidad de las tasas de interés), para la economía de los Estados Unidos. La investigación encontró que la volatilidad de la ETTI es una herramienta importante para predecir el rendimiento de los bonos a través de las opciones de tasas de interés y que la varianza residual, definida como la porción de la varianza que no está correlacionada con el nivel, pendiente y curvatura de la ETTI, está altamente determinada por el exceso de retorno esperado de los bonos con vencimiento a largo plazo.
Para el caso colombiano, Bautista et al. (2007), Mayorga (2007), y Melo y Castro (2010), empleando la metodología de estimación de la ETTI no estructural sin restricciones de no arbitraje propuesta por Diebold y Li (2006) -versión dinámica de la metodología de Nelson y Siegel (1987) -, obtuvieron evidencia empírica que relaciona la ETTI del mercado de deuda pública con las variables macroeconómicas. Melo y Castro (2010) encontraron una fuerte relación entre las tasas de largo plazo y las expectativas inflacionarias, y que existe una dependencia más fuerte de la ETTI respecto a las variables macroeconómicas, que en el sentido inverso.
Melo y Becerra (2006) estudiaron la relación entre la tasa de política monetaria, la tasa de los certificados de depósito a 90 días (DTF) y la tasa interbancaria para el mercado colombiano, así como la relación entre sus volatilidades a través de los modelos VARX-GARCH multivariados. Los autores encontraron que la tasa de interés interbancaria es la variable con mayor grado de respuesta ante choques en la tasa de intervención; además, la respuesta se hace aún mayor cuando se considera una ventana de tiempo más reciente. Asimismo, con el fin de indagar sobre las respuestas en las volatilidades, los autores seleccionaron, dentro de la muestra, eventos particulares relacionados con cambios en la tasa política monetaria, el período de inestabilidad en el rendimiento de los títulos de tesorería y el de mayor volatilidad de los certificados de depósitos; encontrando que los choques en la tasa de política monetaria generaron una respuesta mayor en la volatilidad de tasa interbancaria, pero de menor persistencia, en comparación a la respuesta de la volatilidad de la DTF; sin embargo, no existen patrones de respuesta claramente diferenciables respecto a los choques presentados en dichos eventos.
3. Macroeconomía y volatilidad de la ETTI
Para estudiar la relación entre la macroeconomía y la volatilidad de la ETTI, esta investigación considera como variables principales la actividad real, las tasas de interés, el nivel de precios y el riesgo país, siguiendo los planteamientos de las investigaciones desarrolladas por Evans y Marshall (2001), Ang y Piazzesi (2003), Diebold et al. (2006), entre otras, en las cuales se contempló un grupo de variables macroeconómicas adicionales a la política monetaria. Como variables de la volatilidad de la ETTI, se espera que estén caracterizadas por los tres componentes principales que podrían ser interpretados como nivel, pendiente y curvatura. La relación esperada para el sistema de ecuaciones de vectores autorregresivos, cuya metodología se explicará en la siguiente sección, es:
donde:
y = PIB
π= Inflación
i = Tasa de interés de política monetaria r = Riesgo país
n = Nivel de la volatilidad de la ETTI
p = Pendiente de la volatilidad de la ETTI c = Curvatura de la volatilidad de la ETTI
A 0 = Matriz de restricciones
En la primera ecuación del sistema (resultado de multiplicar la primera fila de la matriz A 0 por el vector de la parte derecha), se espera que el producto no esté determinando por ninguna de las variables del sistema y que no genere efectos significativos en los componentes principales que representan la volatilidad de la ETTI; hipótesis que se sustenta en la literatura económica, la cual ha llegado al consenso de que si bien la política monetaria podría tener efectos sobre la actividad real, estos resultados serían no permanentes y no tendría efecto alguno en el largo plazo, como sí podrían tenerlo otras variables no incorporadas en esta investigación, como la política fiscal, el capital físico, el capital humano y el progreso tecnológico. Además, como se mencionó antes, Evans y Marshall (2001) encontraron que los choques tecnológicos y de política fiscal no producen respuestas significativas en las tasas de interés del mercado de Estados Unidos (como consecuencia, no generarían volatilidad en la ETTI).
En la segunda ecuación, se supone que la inflación depende únicamente de las fluctuaciones o choques de demanda, por lo que se espera que un choque en el producto genere presiones inflacionarias que llevarían al emisor a incrementar la tasa de política monetaria; hipótesis que se encuentra representada en la tercera ecuación.
Según lo anterior, se espera que el nivel de volatilidad de la ETTI, planteado en la cuarta ecuación, esté determinado por un aumento en el nivel general de precios y por el aumento en la tasa de interés de política monetaria, bajo el supuesto de que la autoridad monetaria puede influir en las tasas de interés de mercado de corto plazo a través de los canales de transmisión, además de sustentar esta hipótesis en los resultados obtenidos en investigaciones como las de Evans y Marshall (1998; 2001), y Ang y Piazzesi (2003). Como consecuencia, se espera que se generen efectos ambiguos en la pendiente y la curvatura de la volatilidad de la ETTI, de acuerdo con la ecuación seis y siete, respectivamente, dado que el cambio en estos parámetros estaría determinado no solo por la volatilidad de los rendimientos de corto plazo, sino también por el largo plazo; sin embargo, si se presenta un incremento en el nivel de volatilidad, se espera que la pendiente y la curvatura disminuyan.
Finalmente, se espera que la curvatura esté determinada por las variables macroeconómicas que dieron origen a los cambios en el nivel y la pendiente de la volatilidad de la ETTI; es decir, el nivel general de precios y la tasa de interés de política monetaria, como por las variaciones en dichos componentes principales.
4. Modelación y base de datos
4.1. Modelación.
4.1.1. Estructura temporal de las tasas de interés y el modelo deNelson y Siegel (1987).
El modelo parte de una ecuación diferencial de segundo orden, y supone que el mercado se encuentra en equilibrio y que no existen oportunidades de arbitraje para generar ganancias entre dos alternativas de inversión.
El modelo puede expresarse de la siguiente forma:
donde:
f t representa la tasa futura o forward al vencimiento en t; t es el tiempo al vencimiento.
Si el
f
t = ß0, el parámetro ß0 está asociado al comportamiento de f
t en el largo plazo, por lo que se debe cumplir que ß0 > 0. Asimismo, este parámetro determina el nivel de la curva, lo que quiere decir que, si el tipo de interés de largo plazo varía, el nivel de la curva también lo hace.
Si el
f
t = (ß0 + ß1), quiere decir que (ß0 + ß1) se relaciona con el comportamiento de f
t en el corto plazo. Si c= (ß0 + ß1), entonces ß1 = c - ß0, y puede interpretarse como la brecha (spread) entre el tipo de interés de corto y largo plazo, y ante variaciones entre estos dos tipos se generan cambios en la pendiente de la curva.
Teniendo en cuenta que al encontrar el tipo de interés de corto y largo plazo los términos ß2 y τ se anulan, estos solo aparecen afectando el tramo medio o los rendimientos de vencimientos intermedios, en donde 0 < t < ∞; por lo tanto, ß2 no se interpreta como tasas de interés de mediano plazo, sino que en conjunto ß2 y τ influyen en que la curvatura se ubique entre los límites ß0 y (ß0 + ß1).
De acuerdo con lo anterior, los parámetros ß0, ß1, ß2 son los parámetros de la ETTI que determinan, respectivamente, el nivel, la pendiente y la curvatura, mientras que τ es considerado como el parámetro que determina la velocidad de convergencia.
Para analizar la volatilidad de las tasas de interés se utilizan los modelos GARCH/EGARCH, ampliamente aceptados y aplicados especialmente en series de tiempo de tipo financiero en las que se cumple que la varianza no condicionada (después de realizar las transformaciones adecuadas) puede ser constante, pero la condicionada es heterocedástica.
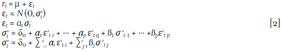
4.1.2. Modelo de heterocedasticidad condicional autorregresiva generalizada (GARCH).
Bollerslev (1986) propuso una nueva formulación de los modelos de heterocedasticidad condicional autorregresiva (ARCH) desarrollados por Engle (1982), con el fin de evitar las restricciones2 y la pérdida de precisión en la estimación de series financieras con un número elevado de retardos, los cuales, generalmente, están correlacionados. La reparametrización denominada heterocedasticidad condicional autorregresiva generalizada (GARCH por sus siglas en inglés Generalized Autoregressive Conditional Heteroskedasticity) depende de un número reducido de parámetros, además del cuadrado de los errores retardados (como en el modelo ARCH) de la varianza condicional retardada.
donde:
δ 0 = Valor medio de la varianza
ɑ i = Efecto de la observación del proceso en t -1,sobre la varianza en t ß j = Efecto de la varianza del proceso en t -1,sobre la varianza en t
A pesar de que el modelo logra solucionar el problema de los retardos, no resuelve las limitaciones de los supuestos en los que debe cumplir con la restricción de los parámetros δ 0 > 0 y ɑ i , ß i ≥ 0; i = 1, 2, ... , q y j = 1, 2, ... , p.
4.1.3. Modelo exponencial GARCH (EGARCH).
Debido a que los modelos ARCH/GARCH establecen restricciones difíciles de lograr, como la no negatividad de los parámetros, además de la inadecuada estimación del efecto apalancamiento, Nelson (1991) determinó una nueva parametrización que contempla, de manera diferenciada, los efectos de noticias positivas y negativas en los rendimientos; es decir, que la respuesta de la volatilidad no suele ser simétrica en la práctica, como lo plantean los modelos ARCH/GARCH, sino que, por el contrario, resulta ser de mayor magnitud ante disminuciones en los precios que ante subidas en estos. Los modelos GARCH exponenciales, o EGARCH, consideran los efectos asimétricos de la volatilidad de los rendimientos y no presentan restricción de no negatividad de los parámetros. La especificación del modelo, de forma general, se puede expresar así:
donde:
δ 0 = Valor medio de la varianza
g (a t) = ɵa t + γ [ | a t | - E | a t |]; Función de respuesta asimétrica
E [ g ( a t )] = 0
Finalmente, el modelo puede escribirse así:
Para representar el efecto magnitud, en el término γ [ | a t | - E | a t |] se asume que ɵ = 0 y que γ = 0. La innovación en ln σ 2 es, entonces: positiva, cuando la magnitud de a es mayor que su valor esperado; y negativa, cuando la magnitud de a t es menor que su valor esperado. Si se asume que ɵ < 0 y que γ = 0, se tiene que la innovación en la varianza condicional es: positiva, cuando la innovación en los retornos es negativa; y negativa, cuando la innovación en los retornos es positiva (Fernández 2009).
4.1.4. Funciones impulso-respuesta: Modelo de vectores autorregresivos estructurales (SVAR).
El modelo de vectores autorregresivos estructurales (SVAR) fue propuesto, inicialmente, por Sims (1986) como una variante de la versión estándar del modelo de vectores autorregresivos (VAR), el cual está conformado por un sistema de ecuaciones simultáneas de variables endógenas. Entre las ventajas de usar un SVAR en lugar de un VAR, está el hecho de que en estos modelos se pueden imponer restricciones económicas de tipo teórico o empírico, ya sean contemporáneas o de largo plazo.
Un VAR(p) está dado por la siguiente especificación:
donde Y t son vectores k x 1 de variables endógenas del sistema, Y t-1 son los vectores de las mismas variables endógenas de forma rezagada en i, A 1 con las matrices k x k de coeficientes y ɛ t es un vector k x 1 homoscedástico y no autocorrelacionado.
Reparametrizando la ecuación 5 y expresándola en términos del operador de rezagos, se tiene que:
Y t - A 1 Y t-1 - A 2 Y t-2 + ∙∙∙ + A p Y p= ɛ t
A(L) Y t = ɛ t
En los modelos SVAR, por su parte, se tienen tres especificaciones (modelo A, B y AB), donde se definen restricciones de corto y largo plazo, dependiendo de los propósitos del investigador.
El modelo SVAR se especifica de la siguiente manera:
donde A 0 denota la matriz de restricciones estructurales de las relaciones contemporáneas entre las variables del sistema.
La forma reducida de la ecuación 6 puede escribirse así:
y t = Ф1 y t-1 + Ф2 y t -2 + ... + Фp y p + e t
donde Ф = A -1 A , para i=1, ... , p y e = A -1 ɛ . y es nx1 y existen pn 2 elementos en (Ф Ф ... , Ф ) y n (n + 1) / 2 elementos en la matriz de covarianzas de las perturbaciones, la cual viene dada por ∑e = A -1 ∑ (A -1). Además, ɛ ~ iidN (0, ∑ ).
4.2. Base de datos.
Para representar la ETTI y estimar su volatilidad se eligen los nodos de uno, tres, seis y diez meses; y uno, tres, cinco, seis, siete, ocho, nueve y diez años. Las tasas de interés fueron calculadas a partir de los parámetros de la ETTI que son estimados diariamente por la Bolsa de Valores de Colombia para la referencia de los TES clase B (los de mayor volumen de negociación), siguiendo la metodología de Nelson y Siegel (1987). La muestra comprende 4769 observaciones diarias, desde diciembre de 2003 hasta diciembre de 2016.
Para estimar el modelo de vectores autorregresivos estructurales (SVAR), la base de datos está integrada por los componentes principales3 de la volatilidad de la ETTI y por las variables macroeconómicas que representan la actividad real, las tasas de interés, el nivel de precios y el riesgo país. La muestra comprende 157 observaciones mensuales, desde diciembre de 2003 hasta diciembre de 2016.
5. Resultados empíricos
5.1. Volatilidad de la ETTI.
En la Figura 1 se ilustra una variedad de formas de la estructura temporal de tasas de interés del mercado colombiano de deuda pública, usando la metodología de Nelson y Siegel (1987), en el último día hábil del mes de diciembre para cada uno de los años que forman parte de la muestra.
La disminución del spread entre los rendimientos de corto y largo plazo, entre 2005 y 2008, generó un aplanamiento de la curva, como consecuencia de un incremento en las tasas de interés de corto plazo, lo que, según la teoría pura de las expectativas,4 refleja la transición a una política monetaria menos expansiva, debido a un aumento en el nivel general de precios que se situó por fuera del rango meta. El incremento de la pendiente en 2009 podría interpretarse como un aumento en las expectativas de inflación y un menor compromiso de la autoridad monetaria para mantener la inflación estable; sin embargo, el cambio de perfil de política monetaria pudo estar incentivado por la crisis financiera internacional y el menor crecimiento económico. Para 2006, la ETTI, nuevamente, mostró una forma más plana, pero esta vez debido a la disminución en las tasas de interés de largo plazo, lo cual podría dar una señal de que el mercado estaría esperando tasas de interés futuras de corto plazo más bajas, probablemente ante la coyuntura de la menor dinámica de crecimiento económico, situación que, efectivamente, se materializó con una serie de recortes a la tasa de intervención que inició en diciembre de 2016 y continuó a lo largo de 2017.
En la Figura 2 se ilustra el sistema, para doce períodos de madurez, de tasas de interés que representan la estructura temporal de tasas de interés estimadas con una frecuencia diaria, desde 2003 hasta 2016, y usadas como inputs para estimar los modelos de volatilidad condicionada y la posterior aplicación del método de componentes principales.
Se puede observar, en la figura anterior, que mientras las tasas de interés de corto plazo (hasta un año) reflejan de manera más acentuada la dinámica de las tasas de interés de la política monetaria y los ciclos económicos, las tasas de interés de largo plazo muestran un ciclo menos marcado.
En la Tabla 1 se encuentra ilustrado el resumen estadístico para cada uno de los rendimientos en primeras diferencias, dado que, según las pruebas de raíz unitaria, las series no presentan un comportamiento estacionario. Los resultados muestran que las tasas de interés, en todos los casos, tienen como característica principal la presencia de colas pesadas, dado que la curtosis es bastante alta y superior a tres, lo que sugiere la existencia de datos atípicos y ausencia de normalidad. Asimismo, según del estadístico skewness, las series no presentan un comportamiento simétrico, puesto que los resultados son lejanos de cero, mostrando que las tasas de interés no presentan una distribución normal y, por el contrario, muestran un sesgo a la derecha.
Tabla 1 Resumen estadístico
| Media | Mediana | Máximo | Mínimo | Desv. St. | 1er Qu. | 3er Qu. | Skewness | Curtosis | |
| 1m | 0,00000 | 0,00000 | 0,01097 | -0,01005 | 0,00142 | -0,00023 | 0,00020 | 0,09820 | 11,12052 |
| 3m | 0,00000 | 0,00000 | 0,01008 | -0,00747 | 0,00122 | -0,00023 | 0,00020 | 0,14067 | 10,91770 |
| 6m | -0,00001 | 0,00000 | 0,00882 | -0,00558 | 0,00100 | -0,00020 | 0,00019 | 0,19630 | 11,24471 |
| 10m | -0,00001 | 0,00000 | 0,00737 | -0,00519 | 0,00082 | -0,00019 | 0,00017 | 0,28634 | 12,34858 |
| 1y | -0,00001 | 0,00000 | 0,00740 | -0,00470 | 0,00076 | -0,00018 | 0,00015 | 0,34390 | 12,90065 |
| 3y | -0,00001 | 0,00000 | 0,00723 | -0,00865 | 0,00069 | -0,00022 | 0,00011 | 0,47588 | 18,65929 |
| 5y | -0,00001 | 0,00000 | 0,00879 | -0,00941 | 0,00076 | -0,00025 | 0,00013 | 0,63194 | 19,47516 |
| 6y | -0,00002 | 0,00000 | 0,00961 | -0,00929 | 0,00078 | -0,00025 | 0,00013 | 0,70688 | 19,52097 |
| 7y | -0,00002 | 0,00000 | 0,01010 | -0,00905 | 0,00079 | -0,00025 | 0,00014 | 0,73266 | 19,32973 |
| 8y | -0,00002 | 0,00000 | 0,01027 | -0,00877 | 0,00080 | -0,00025 | 0,00014 | 0,68721 | 18,86530 |
| 9y | -0,00002 | 0,00000 | 0,01017 | -0,00852 | 0,00081 | -0,00024 | 0,00015 | 0,56612 | 18,20394 |
| 10y | -0,00002 | 0,00000 | 0,00983 | -0,00833 | 0,00083 | -0,00026 | 0,00015 | 0,38783 | 17,54462 |
Nota: Elaboración propia.
Para la estimación de la volatilidad de la ETTI de los diferentes períodos de madurez, se eligieron los modelos EGARCH (especificado según la ecuación 4) en 11 de los 12 casos, dado que los resultados de los diferentes test de simetría sugirieron la presencia de asimetría y teniendo en cuenta que estos son modelos dinámicos más flexibles para la estimación de la ecuación de varianza en comparación con una especificación asimétrica alternativa de un modelo de tipo Threshold ARCH, TARCH (Díaz et al., 2009).
Los modelos ARIMA, estimados para detectar la presencia de efectos ARCH, se eligieron entre diferentes alternativas, de acuerdo con el criterio de información de Akaike (AIC). Los resultados de los modelos para cada uno de los períodos de madurez se encuentran especificados en la Tabla 2, y la estimación de la volatilidad condicionada se encuentra ilustrada en las Figuras 3a y 3b. Se puede observar que existen agrupamientos y una fuerte volatilidad en las tasas de interés de corto plazo (hasta un año de madurez), particularmente en los períodos de 1m, 3m, 6m, 10m y 1y, como consecuencia de la crisis financiera.
Tabla 2 Modelos de heterocedasticidad condicionada
| ARIMA | EGARCH | |||||||||
| φ1 | φ2 | θ1 | θ2 | δ1 | a1 | a2 | ß1 | ß2 | γ1 | |
| 1 m | 0,415 | -0,579 | 0,000 | 0,071 | 0,400 | 0,521 | ||||
| ***(0,079) | ***(0,069) | (1,544) | ***(0,005) | ***(0,012) | ***(0,011) | |||||
| 3 m | 0,382 | -0,547 | -0,077 | 0,040 | -0,047 | 0,993 | 0,299 | |||
| ***(0,032) | ***(0,028) | ***(0,001) | **(0,019) | **(0,020) | ***(1,084) | ***(0,024) | ||||
| 6 m | 0,519 | -0,674 | 0,036 | -0,059 | 0,051 | -0,050 | 0,995 | 0,290 | ||
| ***(0,120) | ***(0,099) | *(0,018) | ***(0,001) | ***(0,019) | **(0,020) | ***(3,493) | ***(0,023) | |||
| 10 m | -0,054 | 0,254 | -0,071 | -0,278 | -0,082 | 0,058 | -0,048 | 0,993 | 0,253 | |
| ***(0,014) | ***(0,041) | ***(0,014) | ***(0,042) | ***(0,001) | ***(0,019) | **(0,019) | ***(4,431) | ***(0,024) | ||
| 1 y | 0,333 | -0,415 | -0,102 | 0,059 | -0,047 | 0,992 | 0,245 | |||
| ***(0,055) | ***(0,051) | ***(0,001) | ***(0,019) | **(0,019) | ***(7,867) | ***(0,023) | ||||
| 3 y | 0,997 | -0,972 | -0,117 | 0,120 | -0,057 | 0,991 | 0,228 | |||
| ***(0,000) | ***(0,000) | ***(0,000) | ***(0,019) | ***(0,020) | ***(7,791) | ***(0,020) | ||||
| 5 y | 0,976 | -0,934 | -0,156 | 0,073 | -0,013 | 0,988 | 0,284 | |||
| ***(0,003) | ***(0,000) | ***(0,001) | ***(0,007) | (0,011) | ***(1,154) | ***(0,022) | ||||
| 6 y | -0,054 | 0,141 | -0,169 | 0,065 | -0,033 | 0,987 | 0,298 | |||
| **(0,026) | ***(0,027) | ***(0,002) | ***(0,016) | **(0,015) | ***(8,639) | ***(0,023) | ||||
| 7 y | -0,082 | 0,181 | -0,144 | 0,066 | -0,033 | 0,988 | 0,301 | |||
| ***(0,017) | ***(0,019) | ***(0,001) | ***(0,019) | *(0,018) | ***(1,388) | ***(0,023) | ||||
| 8 y | -0,180 | 0,277 | -0,123 | 0,073 | -0,039 | 0,990 | 0,296 | |||
| ***(0,015) | ***(0,016) | ***(0,001) | ***(0,016) | **(0,015) | ***(6,252) | ***(0,025) | ||||
| 9 y | -0,285 | 0,385 | -0,110 | 0,079 | -0,042 | 0,991 | 0,290 | |||
| ***(0,029) | ***(0,028) | ***(0,001) | ***(0,012) | **(0,012) | ***(5,766) | ***(0,025) | ||||
| 10 y | 1,065 | -0,072 | -0,971 | -0,073 | 0,083 | -0,017 | 0,994 | 0,286 | ||
| ***(0,003) | ***(0,003) | ***(4,684) | ***(0,000) | ***(0,020) | (0,020) | ***(7,704) | ***(0,000) | |||
Nota: Errores estándar en paréntesis. ***, ** y * indican significancia a 1 %, 5 % y 10 %, respectivamente. Elaboración propia.
La Tabla 3 muestra las correlaciones de la matriz, compuesta por la volatilidad de los diferentes períodos de madurez que representan la ETTI, y sirve como punto de partida para la aplicación de la técnica de componentes principales. En ella se puede observar que la correlación de la volatilidad tiende a disminuir cuando aumenta el spread entre los rendimientos de corto y largo plazo.
Tabla 3 Matriz de correlaciones de la volatilidad de la estructura temporal de tasas de interés
| 1 m | 3 m | 6 m | 10 m | 1 y | 3 y | 5 y | 6 y | 7 y | 8 y | 9 y | 10 y | |
| 1 m | 1,00 | |||||||||||
| 3 m | 0,95 | 1,00 | ||||||||||
| 6 m | 0,89 | 0,97 | 1,00 | |||||||||
| 10 m | 0,80 | 0,89 | 0,96 | 1,00 | ||||||||
| 1 y | 0,76 | 0,84 | 0,92 | 0,99 | 1,00 | |||||||
| 3 y | 0,38 | 0,37 | 0,39 | 0,48 | 0,54 | 1,00 | ||||||
| 5 y | 0,37 | 0,37 | 0,39 | 0,46 | 0,50 | 0,93 | 1,00 | |||||
| 6 y | 0,39 | 0,40 | 0,42 | 0,48 | 0,52 | 0,87 | 0,98 | 1,00 | ||||
| 7 y | 0,39 | 0,41 | 0,42 | 0,48 | 0,51 | 0,83 | 0,96 | 0,99 | 1,00 | |||
| 8 y | 0,38 | 0,39 | 0,41 | 0,46 | 0,49 | 0,80 | 0,93 | 0,97 | 0,99 | 1,00 | ||
| 9 y | 0,35 | 0,37 | 0,38 | 0,43 | 0,47 | 0,79 | 0,90 | 0,94 | 0,97 | 0,99 | 1,00 | |
| 10 y | 0,31 | 0,33 | 0,35 | 0,40 | 0,43 | 0,78 | 0,88 | 0,90 | 0,93 | 0,96 | 0,99 | 1,00 |
Nota: Elaboración propia.
Aplicando la técnica de componentes principales para reducir la dimensión de las doce series de volatilidad condicionada, se obtienen los resultados de la Tabla 4, los cuales sugieren que la variación en el sistema para la volatilidad de la ETTI puede ser explicada, en un 96%, por los primeros tres componentes principales. El primer componente principal (Comp. 1) es capaz de explicar más de un 68% de la volatilidad, mientras que, adicionalmente, el segundo (Comp. 2) y el tercer (Comp. 3) componente principal explican, respectivamente, un 24% y un 3% de la volatilidad de la ETTI.
Tabla 4 Componentes principales
| Component | Eigenvalue | Proportion | Cumulative Proportion |
| Comp. 1 | 8,22 | 68,5% | 68,5% |
| Comp. 2 | 2,92 | 24,4% | 92,9% |
| Comp. 3 | 0,38 | 3,2% | 96,0% |
Nota: Elaboración propia.
En la Tabla 5 se puede observar que todos los coeficientes del primer componente principal (Comp. 1) son positivos a lo largo de todos los períodos de madurez. En general, este componente puede ser interpretado como el nivel de la volatilidad. El segundo componente principal (Comp. 2) muestra que los coeficientes son positivos en el corto plazo, mientras que en el resto de la estructura (mediano y largo plazo) son negativos, por lo que puede ser interpretado como la diferencia entre la parte corta y larga de la curva; es decir, la pendiente. El último componente principal (Comp. 3) muestra un cambio de signo en la mitad de la estructura, por lo que puede ser interpretado como la curvatura.
Estos resultados, así como la interpretación de los mismos, son consistentes con la explicación dada en investigaciones que estudian la ETTI, como las de Litterman y Scheinkman (1991); Bliss (1997), Alexander y Chibumba (1997); y Alexander (2000; 2001a; 2001b), entre otras, y con investigaciones que estudian la volatilidad de la ETTI, como las de Novales y Benito (2005); Ferrer et al. (2008); Díaz et al. (2011); y Jareño y Tolentino (2012).
Tabla 5 Factor loadings
| Maturity | Comp. 1 | Comp. 2 | Comp. 3 |
| 1 m | 0,2316 | 0,3721 | 0,3421 |
| 3 m | 0,2427 | 0,3989 | 0,2540 |
| 6 m | 0,2504 | 0,3999 | 0,0597 |
| 10 m | 0,2642 | 0,3537 | -0,2507 |
| 1 y | 0,2709 | 0,3165 | -0,3731 |
| 3 y | 0,2945 | -0,1601 | -0,5905 |
| 5 y | 0,3142 | -0,2148 | -0,2361 |
| 6 y | 0,3214 | -0,2076 | -0,0392 |
| 7 y | 0,3221 | -0,2080 | 0,1151 |
| 8 y | 0,3185 | -0,2179 | 0,2182 |
| 9 y | 0,3117 | -0,2302 | 0,2735 |
| 10 y | 0,3009 | -0,2420 | 0,2669 |
Nota: Elaboración propia.
Utilizando lametodología aplicada por Ferrer etal. (2008), Alexandery Chibumba (1997), y Alexander (2000; 2001a; 2001b), se estima la volatilidad para cada uno de los componentes principales, a través de un GARCH (1,1), cuyos resultados se encuentran ilustrados en la Tabla 6.
Tabla 6 Modelos de heterocedasticidad condicionada para los componentes principales
| ARIMA | GARCH | ||||
| φ1 | θ1 | δ1 | a1 | ß1 | |
| Comp. 1 | 0,9967 | -0,5543 | 0,0115 | 0,1593 | 0,8397 |
| ***(0,001) | ***(0,019) | ***(0,002) | ***(0,010) | ***(0,015) | |
| Comp. 2 | 1,0000 | -0,6126 | 0,0021 | 0,0907 | 0,9083 |
| ***(0,002) | ***(0,017) | ***(0,000) | ***(0,004) | ***(0,006) | |
| Comp. 3 | 0,9806 | -0,6406 | 0,0008 | 0,0793 | 0,9197 |
| ***(0,004) | ***(0,018) | ***(0,000) | ***(0,005) | ***(0,007) | |
Nota: errores estándar en paréntesis. *** indica significancia a 1 %. Elaboración propia.
De acuerdo con los resultados, la varianza condicional del nivel de la volatilidad de la ETTI, primer componente principal (Comp. 1), es la variable que cuenta con mayor intensidad de reacción (medida por el parámetro a 1) ante un choque en el período previo en t - 1, así como con un mayor valor medio de la varianza (definida por el parámetro δ 1); sin embargo, es el componente principal que cuenta con menor grado de persistencia de volatilidad a través del tiempo (definida por el parámetro ß 1).
Con el fin de identificar las proxys empíricas de la volatilidad de la ETTI, en la Tabla 7 se calcula la correlación entre la varianza condicional estimada para cada uno de los rendimientos y cada componente principal. Los resultados sugieren que la varianza de los rendimientos de 7y es la mejor proxy asociada al comportamiento del nivel de la volatilidad de la ETTI. La diferencia entre la varianza condicionada de los rendimientos de 8y y 6m es la mejor proxy asociada a la pendiente. Mientras que la diferencia entre la varianza condicionada de los rendimientos de 7y y 6y es la mejor proxy para explicar la curvatura de la volatilidad de la ETTI.5
Tabla 7 Correlación entre la varianza condicional y los componentes principales
| Comp. 1. | "Comp. 2. (Spread respecto a 8y.)" | "Comp. 3. (Spread respecto a 7y.)" | |
| 1 m | 66,4% | 84,0% | -20,1% |
| 3 m | 69,6% | 92,9% | -13,6% |
| 6 m | 71,8% | 98,6% | 1,2% |
| 10 m | 75,7% | 93,3% | 21,9% |
| 1 y | 77,7% | 86,9% | 28,3% |
| 3 y | 84,4% | 27,8% | 63,3% |
| 5 y | 90,1% | 13,2% | 68,8% |
| 6 y | 92,1% | 17,7% | 70,8% |
| 7 y | 92,3% | 23,1% | N.A. |
| 8 y | 91,3% | N.A. | -54,0% |
| 9 y | 89,3% | -23,3% | -42,8% |
| 10 y | 86,3% | -26,0% | -28,0% |
Nota: Elaboración propia.
5.2. Funciones impulso-respuesta.
Las variables macroeconómicas utilizadas en el modelo SVAR se encuentran ilustradas en la Tabla 8, luego de la aplicación de los componentes principales.
Tabla 8 Componentes principales para las variables macroeconómicas
| Actividad real | |||
| Component | Comp. 1 | Comp. 2 | Comp. 3 |
| PIB | -0,56 | -0,69 | 0,46 |
| Índice de producción industrial | -0,56 | 0,73 | 0,40 |
| Desempleo | 0,61 | 0,03 | 0,79 |
| Eigenvalue | 1,97 | 0,61 | 0,43 |
| Cumulative Proportion | 65,6% | 85,8% | 100,0% |
| Tasa de interés | |||
| Component | Comp. 1 | Comp. 2 | Comp. 3 |
| Tasa de política monetaria | 0,58 | 0,38 | 0,72 |
| Tasa interbancaria | 0,58 | 0,43 | -0,69 |
| DTF | 0,57 | -0,82 | -0,03 |
| Eigenvalue | 2,95 | 0,05 | 0,00 |
| Cumulative Proportion | 98,3% | 99,9% | 100,0% |
| Precios | |||
| Component | Comp. 1 | Comp. 2 | |
| IPC | 0,71 | -0,71 | |
| IPP | 0,71 | 0,71 | |
| Eigenvalue | 1,69 | 0,31 | |
| Cumulative Proportion | 84,5% | 100,0% | |
Nota: Elaboración propia.
Para las tres primeras variables macroeconómicas, siguiendo la metodología de Ang y Piazzesi (2003), se seleccionan los primeros componentes principales. El primer componente principal, al que se le llama PIB, representa la actividad real y explica el 65,3% de la variación anual del PIB, la variación anual del índice de producción industrial y la variación anual del desempleo. El segundo componente principal, al que se le llama tasa de política monetaria (), explica las tasas de interés y representa el 98,3% de la tasa de política monetaria, la tasa interbancaria y la DTF. El tercer componente principal, al que se le llama inflación (), representa los precios y explica el 84,5% de la variación anual del índice de precios al consumidor (IPC) y la variación anual del índice de precios al productor (IPP). El riesgo país ( está representado por el EMBI (Emerging Markets Bonds Index).
Para estimar las funciones impulso-respuesta, se utilizó el modelo SVAR, según la ecuación 6, y se aplicaron las restricciones contemporáneas, especificadas en la sección tres, a las relaciones entre las variables del sistema compuesto por las variables macroeconómicas y los componentes principales de la volatilidad de la ETTI.
Antes de la estimación del sistema, se aplicaron las diferentes pruebas de raíz unitaria sobre cada una de las variables y se encontró que no todas las series comparten el mismo grado de integración. Los componentes principales que representan la volatilidad de la ETTI son de orden I(0), mientras que las variables macroeconómicas son de orden I(1), razón por la cual no es procedente la aplicación del modelo alternativo de vector de corrección de errores (VEC), dada la inexistencia de cointegración en el largo plazo. Para establecer el número de rezagos en el SVAR se usaron los criterios de información de LR, FPE, AIC, SC y HQ, los cuales sugieren la selección de dos rezagos (FPE, AIC, HQ).6
Los resultados de los coeficientes estimados, de acuerdo con la definición en la sección tres, son acordes a lo esperado (a πy , a iπ , a rπ , a nπ , a pπ , a cπ , a ri , a pi , a ci , a pn , a cp), exceptuando dos casos (a ni , a cn ). Las funciones impulso-respuesta se obtuvieron con un intervalo de confianza del 95%, utilizando la metodología de análisis asintótico, generando un choque (innovación) de una desviación estándar y como respuesta a la metodología ajustada de Cholesky.7 En la Figura 4a se ilustran las respuestas de cada uno de los componentes principales que representan la volatilidad de la ETTI ante choques en ellos mismos, de lo que se puede inferir que el nivel, la pendiente y la curvatura de la volatilidad de la ETTI responden de manera significativa ante un choque en sí misma. La respuesta positiva en la pendiente de la volatilidad sugiere que la volatilidad de los rendimientos de largo plazo aumenta de manera más rápida que la volatilidad de los rendimientos de corto plazo.

Figura 4a Respuesta de los factores de volatilidad ante un choque en ellos mismos. Elaboración propia.
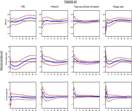
En la Figura 4b se ilustran las respuestas de los componentes principales que representan la volatilidad de la ETTI ante un choque en las variables macroeconómicas. Los resultados sugieren que los componentes principales (nivel, pendiente y curvatura) no tienen una respuesta significativa ante choques en la mayoría de variables macroeconómicas, con excepción de dos casos. En el primer caso, un choque en la tasa de interés de política monetaria aumenta el nivel de la volatilidad de la ETTI en el siguiente mes, pero posteriormente se produce una disminución significativa. El segundo caso, donde se presenta una respuesta significativa, tiene que ver con la reacción de la pendiente ante un choque en el crecimiento económico; además, se puede observar que, cuando existe un choque en esta variable (PIB), el mercado percibe la noticia de buena manera, dado que se genera una disminución en el nivel y la pendiente de la volatilidad de la ETTI, pero posteriormente el proceso se revierte y se produce un aumento en la volatilidad, que posiblemente se puede explicar por un mayor riesgo de inflación y cambios en el perfil de política monetaria ante un mayor crecimiento económico. Estos resultados son diferentes a los obtenidos por Melo y Castro (2010), en los que las variables de la ETTI responden únicamente de manera significativa ante un choque en el EMBI, por lo que se puede decir que la respuesta de la volatilidad de la ETTI no necesariamente cumple con el mismo patrón de comportamiento de estructura de tasas.

Figura 4b Respuesta de los factores de volatilidad ante un choque en variables macroeconómicas. Elaboración propia.
En la Figura 4c se encuentran las respuestas de las variables macroeconómicas ante un choque en los componentes principales de la volatilidad de la ETTI. Las variables macroeconómicas no responden, significativamente, ante un choque en los componentes principales que representan de volatilidad de la ETTI.
5.3. Causalidad de Granger.
La causalidad en sentido Granger del sistema fue estimada de acuerdo con la forma estándar de un VAR(2), según la ecuación 5, y los resultados se encuentran en la Tabla 9a. Los resultados sugieren que la variable macroeconómica que tiene mayor relevancia en la volatilidad de la ETTI es la tasa de interés de política monetaria, al causar el nivel y la curvatura a una significancia del 5%. Asimismo, la otra variable que determina el comportamiento de la volatilidad es el EMBI, al causar la curvatura a un nivel de significancia del 10%.
Tabla 9a Causalidad de Granger. Ho: Variable macroeconómica i no causan la volatilidad de la ETTI
| n | p | c | ||||
| Test. St. | P-Valor | Test. St. | P-Valor | Test. St. | P-Valor | |
| y | 0,293 | 0,86 | 2,406 | 0,3 | 3,118 | 0,21 |
| i | 7,102 | **0,03 | 4,157 | 0,13 | 9,606 | ***0,01 |
| π | 1,638 | 0,44 | 0,881 | 0,64 | 0,767 | 0,68 |
| r | 1,598 | 0,45 | 2,574 | 0,28 | 4,555 | *0,10 |
Nota: ***, ** y * indican significancia a 1 %, 5 % y 10 %, respectivamente. Elaboración propia
De acuerdo con los resultados de la Tabla 9b, el único componente que establece una relación causal con las variables macroeconómicas es la pendiente de la volatilidad de la ETTI, causando al PIB a un nivel de significancia del 5% y a la tasa de interés de política monetaria a una significancia del 10%. El último resultado podría establecer que la autoridad monetaria en Colombia tiene en cuenta, dentro de sus herramientas de análisis, no solo la forma de la estructura de tasas de interés, sino la volatilidad generada en los mercados financieros. Melo y Castro (2010) encuentran, en su investigación, que un choque en la pendiente de la ETTI genera una respuesta positiva en la tasa interbancaria, la cual puede explicarse por la posible anticipación de los participantes del mercado de bonos a las acciones de la autoridad monetaria (Melo y Castro 2010).
Tabla 9b Causalidad de Granger. Ho: La volatilidad de la ETTI no causan las variables macroeconómicas
| y | π | i | r | |||||
| Test. St. | P-Valor | Test. St. | P-Valor | Test. St. | P-Valor | Test. St. | P-Valor | |
| n | 1,894 | 0,39 | 1,112 | 0,57 | 2,916 | 0,23 | 2,483 | 0,29 |
| p | 7,395 | **0,02 | 0,402 | 0,82 | 4,839 | *0,09 | 0,227 | 0,89 |
| c | 3,612 | 0,16 | 2,772 | 0,25 | 3,765 | 0,15 | 3,703 | 0,16 |
Nota: ** y * indican significancia al 5 % y 10 %, respectivamente. Elaboración propia.
6. Conclusiones
En esta investigación se estima la volatilidad de la estructura temporal de las tasas de interés del mercado colombiano de deuda pública para el período 2003-2016, a través de modelos de heterocedasticidad condicionada autorregresiva de la familia ARCH. Se identifica cuáles son los componentes principales que la representan y se evalúa la relación de estos con variables de tipo macroeconómico, a través de modelos de vectores autorregresivos estructurales (SVAR) y de causalidad de Granger.
En términos generales, la volatilidad de la curva de rendimientos del mercado colombiano de deuda pública es asimétrica, y modelada a través de un EGARCH (2,1), y puede ser caracterizada a través de tres componentes principales, que son el nivel, la pendiente y la curvatura, siendo el nivel el responsable de explicar casi el 70% de la volatilidad de toda la estructura y el de mayor intensidad de reacción ante un choque previo de volatilidad. La proxy empírica para cada uno de esos componentes principales son la varianza condicionada de los rendimientos de 8y, para el nivel; el spread entre la varianza condicionada de los rendimientos de 8y y 6m, para la pendiente; y el spread entre los rendimientos de 7y y 6y, para la curvatura.
La evidencia empírica sugiere que existen respuestas significativas de la volatilidad de la ETTI ante choques en las variables macroeconómicas. Particularmente, mientras el nivel de la volatilidad de la ETTI responde de manera significativa ante un choque en la tasa de interés de política monetaria, la pendiente lo hace en mayor medida ante choques en el crecimiento económico. En el sentido inverso, las variables macroeconómicas no responden, significativamente, ante choques en los componentes principales de la volatilidad de la ETTI.
Aunque un choque en el PIB genera una disminución en la volatilidad de la ETTI, esta respuesta no es permanente, dado que, posteriormente, el proceso se revierte y se produce un aumento en la volatilidad que puede ser explicada, posiblemente, por un mayor riesgo de inflación y por cambios en el perfil de política monetaria.
Existe relación causal entre las variables macroeconómicas y la volatilidad de la ETTI. El nivel de la volatilidad de la ETTI del mercado colombiano de deuda pública es causado por la tasa de interés de política monetaria, mientras que la curvatura responde, causalmente, ante la tasa de política monetaria y el riesgo país. En cuanto a las variables de la volatilidad de la ETTI, se evidenció que la pendiente de la volatilidad de la ETTI causa al PIB y a la tasa de interés de política monetaria, situación que podría denotar que la autoridad monetaria tiene en cuenta la volatilidad de los mercados financieros para tomar sus decisiones de política monetaria o que existe una posible anticipación de los agentes de mercados a las acciones de la autoridad monetaria.


























