Services on Demand
Journal
Article
Indicators
-
Cited by SciELO -
Access statistics
Related links
-
Cited by Google -
Similars in
SciELO -
Similars in Google
Share
Perfil de Coyuntura Económica
On-line version ISSN 1657-4214
Perf. de Coyunt. Econ. no.12 Medellín Dec. 2008
ANÁLISIS DE COYUNTURA ECONÓMICA
Dinámica y sostenibilidad de la deuda pública colombiana: ¿Existe margen para una política fiscal contra-cíclica?*
Dynamics and sustainability of Colombian public debt: is there a margin for a countercyclical fisical policy?
Remberto Rhenals M.**; Diana Galvis G.***; Bayron Quintero S.****
** Profesor de la Facultad de Ciencias Económicas de la Universidad de Antioquia y miembro del Grupo de Macroeconomía Aplicada. Dirección electrónica: rrhenals@economicas.udea.edu.co.
*** Estudiante del programa de Economía de la Universidad de Antioquia. Dirección electrónica: dmgalvis@gmail.com.
**** Estudiante del programa de Economía de la Universidad de Antioquia. Dirección electrónica: be.quintero@gmail.com.
–Introducción. –I. La eficacia de la política fiscal: un breve sumario. –II. Evolución reciente de las cuentas fiscales: América Latina y Colombia. –III. La dinámica de la deuda pública: un ejercicio para Colombia. –IV. El problema de la sostenibilidad de la deuda pública. –V. Conclusiones.–Referencias bibliográficas. –Anexos.
RESUMEN
Este artículo muestra la evolución de la deuda pública colombiana en el período 1980-2008. Como en América Latina, la relación deuda-PIB en Colombia se redujo en los últimos cinco o seis años. Esta reducción, por lo menos, en el caso colombiano se explica más como resultado de condiciones macroeconómicas internas y un contexto internacional favorable, que como consecuencia de la política fiscal propiamente dicha. En un escenario relativamente optimista, la conclusión principal es que debido al nivel relativamente alto de deuda pública del Gobierno Nacional Central que tiene el país, en relación con el existente a finales de la década de los noventa, el margen para una política fiscal contra-cíclica en la actual coyuntura de crisis internacional es muy estrecho, si se desea preservar la sostenibilidad de la deuda pública. Las políticas fiscales contra-cíclicas tienen límites, puesto que no pueden comprometer la estabilidad macroeconómica en el mediano o largo plazo
Palabras clave: deuda pública, balance primario, sostenibilidad, política fiscal contra-cíclica.
ABSTRACT
This paper shows the evolution of the Colombian public debt in the 1980-2008 period. As in Latin America, the debt-GDP ratio in Colombia shrank in the last five or six years. This reduction, at least in the Colombian case, can be explained as the result of internal macroeconomic conditions and a favorable international context, rather than as a result of fiscal policy. In a relatively optimistic scenario, the main conclusion is that, due to the relatively high level of public debt of the current central government, in relation to the government of the 1990s, the margin for a fiscal counter-cyclical policy in the current juncture of international crisis is very narrow, if we wish to preserve the sustainability of public debt. Counter-cyclical fiscal policies have limits, given that they cannot compromise the macroeconomic stability in the long run. Moreover, as it is known, a sharp increase of public spending in the current juncture, for instance, faces important political pressure when economic conditions change and will be necessary to reduce it.
Key words: public debt, primary balance, sustainability, countercyclical fiscal policy.
RÉSUMÉ
Cet article montre l'évolution de la dette publique colombienne pour la période comprise entre 1980 et 2008. Nous montrons que le rapport dette-PIB en Colombie est en train de se réduire depuis cinq ou six ans, ce qui a été également le cas pour les pays d'Amérique latine. Pour la Colombie, cette réduction est expliquée par les conditions macro-économiques internes et un contexte international favorables et, dans une moindre mesure, par la mise en place d'une politique fiscale. Dans un scénario relativement optimiste, la conclusion principale du papier est la suivante : étant donné le niveau relativement élevé de la dette publique de l'Etat colombien par rapport aux niveaux constatés à la fin des années quatre-vingt-dix, la marge de manoeuvre pour une politique fiscale contre-cyclique dans l'actuelle crise économique mondiale est très étroite, encore plus si l'Etat colombien souhaite préserver la soutenabilité de sa dette. Les politiques fiscales contre-cycliques ont des limites puisqu'elles ne peuvent pas remettre en cause la stabilité macro-économique dans le moyen ou long terme.
Most clef: dette publique, bilan primaire, soutenabilité, politique fiscale contrecyclique.
Clasificación JEL: E32, E62, H62, H68.
Introducción
La deuda pública colombiana, como proporción del PIB, registró un fuerte aumento entre mediados de los noventa y los primeros tres años de la década actual. Desde entonces empezó a reducirse: entre 10 y 11 puntos porcentuales del PIB en el quinquenio comprendido entre 2003 y 2008. Esta caída se observa también en la mayoría de los países de la región, aunque en diferentes magnitudes. Se trata, en consecuencia, de un fenómeno generalizado que tiene causas comunes.
En primer lugar, una bonanza económica como resultado de dos factores externos que no se presentaban simultáneamente desde la década de 1970: buenos precios de materias primas y condiciones de financiamiento externo excepcionales, además de las cuantiosas remesas de los migrantes de la región a sus países de origen (Ocampo, 2007). Las bajas tasas de interés internacionales, la caída en las primas de riesgo de la deuda soberana y un abundante flujo de recursos externos son la manifestación de las buenas condiciones crediticias mundiales. Esta abundancia de financiamiento internacional explica también los procesos de apreciación de las monedas nacionales en un gran número de países latinoamericanos.
En segundo lugar, estos factores externos favorables coinciden con una fase de recuperación del ciclo económico, después del mediocre desempeño de la economía latinoamericana conocido como ''la media década perdida'' (1998-2002). En tercer lugar, aunque las situaciones nacionales varían, todos los países de la región impulsaron, en la coyuntura de auge reciente, políticas monetarias y crediticias ligera o pronunciadamente expansivas y, en consecuencia, bajas tasas de interés internas. Y, por último, una mejora en el manejo de la política fiscal debido a los esfuerzos tendientes a corregir su naturaleza pro-cíclica característica de períodos anteriores, aunque los avances en este frente se concentran todavía en unos pocos países (Ocampo, 2007).
Este artículo busca, de un lado, identificar los factores explicativos de los cambios en la relación deuda pública-PIB colombiana durante el período 1980-2008, descomponiendo la dinámica de la deuda pública con base en sus principales determinantes: balance primario, tasas de interés interna y externa, devaluación y crecimiento del producto. De otro lado, presentar algunas conjeturas sobre la sostenibilidad de la deuda pública colombiana y la posibilidad de una política fiscal contra-cíclica en la actual coyuntura de crisis internacional. Con este propósito, el artículo se organiza en seis secciones, incluyendo esta introducción. En la segunda sección se presenta un breve sumario del debate acerca de la eficacia de la política fiscal. La tercera está dedicada a mostrar, en forma rápida, la evolución reciente de las cuentas fiscales en América Latina y en Colombia. La cuarta se centra en cuantificar la importancia de los factores que determinan la dinámica de la deuda pública colombiana. En la quinta se presentan algunos indicadores de sostenibilidad y, en la última sección, se esbozan los principales resultados.
Los resultados que se presentan en este artículo son dos. De un lado, el fuerte crecimiento promedio de la economía colombiana en los últimos cinco o seis años es el factor más importante en la reducción de la deuda, como proporción del PIB, seguido por los impactos combinados favorables de las menores tasas reales de interés externas y la apreciación de la moneda nacional. La política fiscal propiamente dicha tuvo, por su parte, un efecto prácticamente despreciable en la disminución de la relación deuda-PIB en estos años. Y, de otro lado, las perpectivas de mediano plazo, en términos de sostenibilidad, de la deuda pública colombiana parecen complicadas. Bajo un escenario relativamente optimista, la dinámica de la deuda pública retornará a niveles insostenibles, pese a que se suponen déficits primarios moderados para el GNC. La deuda pública, como porcentaje del PIB, pasaría de 35,3% en 2008 a 41,5% en 2012, retornando a niveles superiores al considerado como límite crítico (FMI, 2002). En otras palabras, esto significa que el posible margen para una política fiscal contracíclica es bastante estrecho.
I. La eficacia de la política fiscal: un breve sumario
La crisis financiera internacional y la recesión esperada en las economías desarrolladas han puesto de nuevo en primer plano la importancia de la política fiscal como instrumento de estabilización. Los paquetes fiscales están siendo propiciados con mucha fuerza hasta por autoridades y expertos del Fondo Monetario Internacional por primera vez. Según esta institución deberían ser oportunos, de montos significativos, duraderos, diversificados, contingentes y globales (CEPAL, 2009a). Pero, no solamente los países desarrollados están respondiendo a la situación actual de sus economías con fuertes medidas de estímulo fiscal. En particular, también la mayoría de los países de América Latina están adoptando políticas fiscales expansivas para enfrentar la inestabilidad de los mercados financieros y la contracción económica internacional (CEPAL, 2009b). Al parecer, la posición dominante entre los economistas sobre el pobre papel de la política fiscal como instrumento contra-cíclico está siendo abandonada, por lo menos, en la actual coyuntura.
Como se sabe, aunque el debate sobre la eficacia de la política fiscal macroeconómica es de larga tradición, adquirirá una mayor fuerza desde la década de 1930, cuando fue utilizada en forma intensa para salir de la Gran Depresión. En el marco del modelo IS-LM, este debate quedó prácticamente en tablas. Posteriormente, su extensión a una economía abierta (el modelo Mudell- Fleming) mostró también su eficacia bajo ciertas condiciones. La síntesis neoclásica incorporaría este modelo como la demanda agregada de una economía abierta y los efectos de las políticas monetaria y fiscal sobre precios y producción dependerán de las características de la oferta agregada. Pero, independientemente de los supuestos sobre flexibilidad o rigidez de los precios y salarios (neoclásicos y neokeynesianos, respectivamente), la potencia de la política fiscal es más limitada. Finalmente, los nuevos modelos clásicos (Barro, 1981, por ejemplo) intentarán recuperar la eficacia de la política fiscal, pero no a través de los multiplicadores keynesianos de la demanda, sino mediante los efectos del gasto sobre el consumo, la inversión y la producción, vía oferta. No obstante, según esta escuela la política fiscal debe elaborarse teniendo en cuenta consideraciones de eficiencia o, en otras palabras, la consecución de un crecimiento económico elevado a largo plazo mediante el uso eficiente de los recursos, y no con base en propósitos estabilizadores de corto plazo, para los cuales la política fiscal no es idónea. Puede afirmarse entonces, que este debate acerca de la eficacia de la política fiscal osciló entre el optimismo keynesiano de los cincuenta y el pesimismo neoricardiano (generalización de los supuestos neoclásicos a agentes privados racionales que cuidan del bienestar de sus herederos) de los setenta y ochenta (Argandoña, Gámez y Mochón, 1998). En todo caso, los modelos clásicos o neoclásicos obligaron a morigerar considerablemente el optimismo acerca de la eficacia de la política fiscal.
Las razones de la poca eficacia de la política fiscal, especialmente en economías pequeñas y abiertas, son varias: regímenes cambiarios más flexibles; alta movilidad de capitales; problemas de rezagos en su diseño, aprobación e implementación que, en el caso de los países de América Latina particularmente, se agrandan debido a la complejidad organizativa del sector público; y los impactos negativos que sobre la confianza de los inversionistas genera el deterioro de las finanzas públicas y las perspectivas de la economía. En particular, esta confianza afecta tanto las decisiones de inversión, como el costo y la facilidad de acceso a los mercados internacionales de capitales. El deterioro fiscal incide negativamente, por ejemplo, en la percepción de los inversionistas, con efectos contractivos en la inversión y presiones alcistas sobre las tasas de interés que terminan por anular los potenciales impactos expansivos de aumentos en el gasto público (Corbo, 2002). Otros argumentos tradicionales se refieren al relativamente poco tamaño del sector público en la mayoría de los países de la región y a las dificultades de reversar los impulsos fiscales transitorios en virtud de presiones y decisiones políticas (CEPAL, 2009a). En estas condiciones, la política fiscal debería principalmente asegurar una posición fiscal sólida, que sirva como base para el uso de una política monetaria de estabilización y para fomentar el crecimiento económico de largo plazo, y proveer bienes públicos y, en las economías en desarrollo, proveer gasto social (Corbo, 2002 y De Gregorio, 2007).
El debate sobre la poca eficacia de la política fiscal permanece, no obstante, abierto1. Las explicaciones tradicionales son objeto de crítica (CEPAL, 2009a). De hecho, como se señaló, tanto países desarrollados como en desarrollo están adoptando intensivamente paquetes de estimulo fiscal para enfrentar la coyuntura actual. Desde el punto de vista teórico, algunos ''nuevos'' enfoques llegan a conclusiones distintas. Por ejemplo, Marfán (2005) muestra que en Chile, durante la década de 1990, una política fiscal disciplinada y un banco central autónomo exitoso en el logro de metas de inflación no fueron suficientes para contrarrestar el exceso de gasto agregado, el desalineamiento del tipo de cambio y, en general, la vulnerabilidad externa2.
El modelo macroeconómico desarrollado por Marfán (2005) es de corto plazo, donde la inflación es endógena y explicada por presiones de costos y factores de demanda. Todo lo demás replica un modelo a la Mundell-Fleming. Otros supuestos son los siguientes: una ley de presupuesto, conocida anticipadamente por los agentes, determina la magnitud del gasto público; el banco central maneja sus instrumentos de política con el objetivo de minimizar una función de pérdida, conocida también por los agentes, cuyos argumentos son sus metas de política; el banco central y el régimen de políticas subyacente determinan la oferta nominal de dinero; tanto los agentes privados como el gobierno fijan sus expectativas racionalmente, pero los primeros están sujetos a sorpresas y son más lentos (es decir, sus expectativas son fijadas conociendo la política fiscal prevaleciente); el sector privado gasta de acuerdo a un plan intertemporal (esperado), donde los cambios en su déficit dependen, entre otros factores, en forma positiva de la confianza o de las perspectivas de mediano plazo, que puede ser afectada en el corto plazo por inconsistencias macroeconómicas, y el ingreso imprevisto es totalmente ahorrado; la tasa de interés sigue una regla de arbitraje convencional e incorpora una prima de riesgo, específica para cada país; el banco central reacciona frente a cambios imprevistos y, finalmente, cuando el gobierno persigue una meta macroeconómica, optimiza el valor esperado de la variable objetivo.
El artículo se concentra en analizar los dilemas de política que enfrentan las economías emergentes exitosas en un contexto de flujos financieros voluntarios. Concluye que si los bancos centrales tienen metas de inflación, la política fiscal es siempre eficaz, independientemente del régimen cambiario. Aún más, la potencia de la política fiscal de corto plazo sería significativamente mayor en un contexto de una cuenta de capitales abierta que en uno sin presencia de flujos financieros voluntarios. Por su parte, los bancos centrales, al manejar instrumentos nominales, sólo pueden alcanzar metas nominales, pero no metas reales de manera sistemática. Cuando lo intentan, el equilibrio resultante es inflacionario3. En consecuencia, el papel de la política monetaria convencional y de los bancos centrales sería establecer un ancla nominal que determine la inflación (Marfán, 2001).
Otras conclusiones importantes son, de un lado, que en presencia de flujos voluntarios, los instrumentos tradicionales de política macroeconómica no pueden controlar los déficit financieros del sector privado y, especialmente, en economías percibidas como exitosas, el sector privado invierte más y ahorra menos, generando una brecha financiera que afecta la vulnerabilidad externa y una especie de ''enfermedad holandesa'' de origen financiero. El sobrecalentamiento de la economía puede no reflejarse en una aceleración inflacionaria, sino en una mayor vulnerabilidad externa y atraso cambiario. Para enfrentar esta mayor vulnerabilidad, la política fiscal debe compensar el déficit privado con superávit públicos que no están acotados. En palabras de Marfán (2005), ''[...] a mayor exuberancia privada, mayor la necesidad de austeridad fiscal''. Y, de otro lado, si la obligatoriedad de compensar los excesos de gasto privado no forma parte del rol institucional de la política fiscal, existen alternativas de política prudencial que pueden contribuir a mantener bajo control la mayor vulnerabilidad externa asociada con los déficit privados.
En estas condiciones, puede afirmarse que el único instrumento de que disponen en forma realmente autónoma las autoridades económicas es la política fiscal. La apertura de la cuenta de capital ha reducido los márgenes para manejar la política monetaria y cambiaria en forma autónoma. Esta apertura y la liberalización financiera interna han acentuado el funcionamiento del acelerador financiero, que tiende a aumentar el crédito, la inflación de activos y el gasto privado en los períodos de bonanza, pero también sus correspondientes efectos opuestos durante las crisis. Además, debido a las mayores elasticidades-ingreso de la demanda de importaciones de corto plazo, la cuenta corriente se ha hecho más sensible al ciclo económico: la conjunción del acentuado crecimiento de la demanda y la apreciación real se traduce en un deterioro rápido de la cuenta corriente durante los auges, pero este fenómeno se corrige también más rápidamente durante las crisis. Solamente este último mecanismo podría tener algún efecto anticíclico, en la medida en que permite suavizar los efectos internos del comportamiento pro-cíclico del gasto privado, pero lo hace contribuyendo también a la vulnerabilidad externa de las economías durante los auges. Un corolario interesante del comportamiento cíclico de las economías sujetas a entradas pro-cíclicas de financiamiento externo es que el principal ''déficit gemelo'' de los cambios en la cuenta corriente es el balance del sector privado, no el del sector público (Ocampo, 2007).
Pero, aún suponiendo que la política fiscal sea eficaz, las posibilidades de implementar medidas fiscales expansivas en una situación de fuerte desaceleración o crisis económicas pueden verse limitadas, en el corto plazo, por la inexistencia de espacios para políticas fiscales ''autónomas'', en la medida en que su ejecución rompería el principio de responsabilidad fiscal intertemporal o de solvencia del sector público4. Este principio permite que la política fiscal genere superávit o excedentes en situaciones de altos niveles de actividad económica y empleo y pueda incurrirse en déficit en recesiones o bajos niveles de producto. Aún más, políticas fiscales contra-cíclicas podrían producir ganancias de bienestar5. Por tanto, en términos prácticos, la pregunta relevante sería si en los países de la región y, particularmente, en Colombia existe actualmente este espacio o, en otras palabras, ¿puede aumentarse la magnitud absoluta y relativa de la deuda pública sin que ello comprometa su sostenibilidad en el mediano y largo plazo?6 Sin embargo, un análisis más completo de las capacidades de los países debe tener en cuenta otros aspectos como el grado de monetización, la profundidad del mercado financiero, la cantidad de activos externos (principalmente, las reservas internacionales) y el saldo de la cuenta corriente. En casos en que el espacio fiscal disponible no constituya un impedimento, la disponibilidad de recursos en moneda extranjera puede ser de gran importancia, en la medida en que incrementos del gasto público, además de lo que significa en términos fiscales, puede profundizar la brecha externa más allá de la capacidad para financiarla (CEPAL, 2009b).
Existe prácticamente un consenso de que los fundamentos macroeconómicos en la mayoría de los países de la región son más sólidos en la coyuntura actual que en otras épocas. De hecho, en el quinquenio comprendido entre 2003 y 2008, América Latina (19 países) registró un crecimiento del PIB de 5,4% anual. Las tasas de crecimiento promedio anuales para los diferentes países fluctuaron entre 3,3% (El Salvador) y 10,3% (Venezuela). Solamente México y el Salvador registraron tasas inferiores a 4,0% anual y en 12 países fueron de 5,0% o más. Sin duda, estos ritmos de crecimiento permitieron aumentar en forma significativa el ingreso per cápita. Este ''ciclo de oro'' estuvo acompañado, en el conjunto de la región, de una recuperación del saldo público, importantes reducciones y cambios en el perfil de la deuda pública, una acumulación sin precedentes de reservas internacionales, un aumento en los términos de intercambio y una mejora sensible del saldo de la cuenta corriente.
No obstante, este comportamiento global esconde diferencias importantes entre países. En primer lugar, un grupo importante de países registraron déficits significativos de la cuenta corriente (los países centroamericanos pequeños y Colombia en los tres o cuatro últimos años) o moderados (México y Uruguay), mientras que otros experimentaron superávits de gran magnitud (Bolivia, Chile, Ecuador y Venezuela) o reducidos (Argentina, Brasil, Paraguay y Perú). Grosso modo, los países con superávit o déficit importantes enfrentaron términos de intercambio favorables y desfavorables, respectivamente, exceptuando Colombia cuyos términos de intercambio registraron una evolución positiva. En los tres últimos años (2006-2008), en la mayoría de los países de la región, se presentó un mayor déficit en cuenta corriente, con excepción tanto de Argentina, Bolivia, Ecuador y Venezuela que continuaron teniendo superávit significativos; como Brasil, Chile, Paraguay y Perú cuyos déficits son recientes. En segundo lugar, aproximadamente la mitad de los países experimentaron apreciaciones reales importantes y en unos pocos fue leve; mientras que en otros sus monedas se depreciaron en cierta magnitud (Argentina, Bolivia, Ecuador, El Salvador, Panamá y Perú). En cambio, todos los países acumularon activos financieros en magnitudes sin antecedentes.
II. Evolución reciente de las cuentas fiscales: América Latina y Colombia7
El auge económico de la región en los últimos cinco años estuvo acompañado de una mejoría en las cuentas públicas. Como 7 Las cifras corresponden al Gobierno Nacional Central dada su característica homogénea. puede observarse en el gráfico 1, en este quinquenio (2004-2008) el balance global del Gobierno Nacional Central, como porcentaje del PIB, pasó de un déficit de 3,3% en 2003 a un superávit de 0,4% y a un leve déficit en 2008 (0,3%). Por su parte, el balance primario registró un superávit creciente en el período, aunque cayó un poco en 2008. Puesto que la diferencia entre los dos está constituida por los intereses de la deuda, se observa que, como porcentaje del PIB, se redujeron.
Esta evolución favorable fue generalizada y muchos países alcanzaron un saldo global equilibrado o positivo en varios años o al final de este quinquenio. En cambio, Brasil, Colombia, Guatemala, Honduras, República Dominicana y Uruguay registraron déficits persistentes, moderados o altos, en medio de una coyuntura económica favorable. El balance primario en el quinquenio fue positivo en forma importante en la mayoría de países, con excepción de Colombia (apenas una situación de equilibrio o leve superávit en los dos o tres últimos años) y Guatemala y Honduras que registraron un continuo déficit.
Por su parte, la deuda pública, como porcentaje del PIB, disminuyó significativamente (gráfico 2). En el agregado de los países, pasó de 57,7% en 2003 a 26,1% en 2008. Con excepción de Guatemala (aumentó) y México (estable), pero con magnitudes relativas bajas, en los otros países registraron una disminución. Cabe señalar que en, Costa Rica, Ecuador, Honduras y Nicaragua esta reducción, prácticamente sostenida, data de mediados o finales de la década de 1990. Estos tres últimos países partieron de valores elevados. A juzgar por esta evolución, el desempeño fiscal de la región fue sobresaliente. Sin embargo, es necesario descomponer la dinámica de la deuda, como se realizará para Colombia, con el fin de disponer de un mejor juicio8. De todas formas, a diferencia de períodos anteriores donde la naturaleza de la política fiscal fue pro-cíclica, según la CEPAL (2009), en los últimos años la respuesta promedio de la política fiscal ante variaciones en la brecha del PIB ha sido débil, lo que muestra que ya nos es posible sacar conclusiones generales con respecto a la orientación de la política fiscal en América Latina. Pese a esta indefinición, representa un avance en materia de manejo fiscal en la región.
En materia fiscal, Colombia no se destaca en la región por su buen desempeño. De hecho, según cifras de la CEPAL (2008), en el quinquenio 2004-2008, el saldo primario promedio anual fue de – 0,4% del PIB, el tercero más pobre en la región, solamente superado por Haití y Honduras; mientras que el déficit global del GNC fue el más alto (3,8% del PIB), pese a que su ritmo de crecimiento fue, en promedio, uno de los más altos de la región.
Como puede observarse en el gráfico 3, después del fuerte aumento entre 1994 y 2003, la relación deuda pública/PIB disminuyó en los años posteriores. Sin embargo, cabe señalar que, en los tres últimos años (2006-2008), esta relación en Colombia se situó por encima de la de América Latina, como resultado de su menor desempeño fiscal en relación con el conjunto de la región.
El gráfico 4 muestra la evolución del saldo global y primario del GNC en Colombia. Como puede observarse, desde mediados de los noventa, solamente en los tres últimos años, se alcanzó una situación de equilibrio o de superávit moderado en el saldo primario, mientras que el balance global continuó siendo negativo (entre 1,0% y 5,0% del PIB en el período 2003-2008).
III. La dinámica de la deuda pública: un ejercicio para Colombia
Como se sabe, el déficit público puede financiarse mediante deuda adquirida por el sector privado (familias, empresas y entidades financieras) doméstico e internacional o con base monetaria emitida por el banco central. Aunque los impactos macroeconómicos del déficit y de su forma de financiación son objeto de un intenso debate, alrededor de esta financiación ha surgido también un amplio conjunto de cuestiones relevantes. Una de estos aspectos se refiere a la sostenibilidad de la deuda pública.
La sostenibilidad de la deuda hace referencia a la posibilidad de que el volumen de deuda crezca indefinidamente o, en otras palabras, a la solvencia de largo plazo del gobierno. Por ejemplo, en una economía que no crece, un déficit primario (excluye los intereses de la deuda) constante financiado con deuda no resulta viable en el largo plazo, porque cada nueva emisión de deuda genera una mayor carga intereses que aumenta el déficit total (primario más intereses) y exige mayores emisiones de deuda y, así sucesivamente. En consecuencia, la deuda total, como porcentaje del PIB, aumentaría en forma incesante. Este crecimiento indefinido no es posible porque violaría la restricción presupuestaria intertemporal del gobierno, lo que haría que nadie quisiese suscribir dicha deuda9. En cambio, en una economía que crece esto no necesariamente se presentaría.
Con el fin de examinar la dinámica de la deuda pública colombiana y sus determinantes, se utiliza la metodología presentada en Martner y Tromben (2004), Alberola y Montero (2006) y Lozano, Ramírez y Guarín (2007). La diferencia entre estos tres trabajos es el grado de desagregación de los factores determinantes de los cambios en la deuda pública.
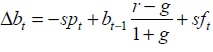
Sea:
spt: Balance primario como proporción del PIB.
bt: Deuda pública como porcentaje del PIB.
r: Tasa de interés real (implícita).
g: Crecimiento del PIB real.
En el primer estudio, la dinámica de la deuda se separa en tres componentes: el saldo primario, el efecto ''bola de nieve'' (es decir, los efectos de la carga de intereses en el saldo acumulado de la deuda) y el ajuste saldo-flujo, como se muestra a continuación:

Donde:

Este factor de ajuste asegura la consistencia entre el endeudamiento neto y la variación del saldo de la deuda pública. Incluye múltiples variables como las variaciones de la deuda pública atribuibles a fluctuaciones cambiarias de la moneda local y entre las monedas en que están denominadas las deudas, el reconocimiento por parte del gobierno de deudas del resto de la economía y otras discrepancias estadísticas.
Por su parte, Alberola y Montero (2006) desagregan la deuda total en interna y externa, con el fin de examinar tanto los efectos de los cambios en las tasas reales de interés doméstica y externa, como de la devaluación sobre la dinámica de la deuda..

Donde:
rtD : Tasa de interés real interna (implícita).
rt* : Tasa de interés real externa (implícita).
et: Tasa de devaluación nominal.
α : Deuda interna como proporción de la deuda total.
Finalmente, la metodología de Lozano, Ramírez y Guarín (2007) permite analizar la contribución de las tasas de interés, de la tasa de devaluación y del crecimiento de la economía a la dinámica de la deuda, denominado ''Factor de ajuste dinámico''.

Sustituyendo rt, rtD, y rt* en
reagrupando términos:

Como puede observarse, la diferencia entre los tres trabajos está en la desagregación del componente
que, conjuntamente, con el balance primario determinan la evolución de la relación deuda pública-PIB. Además, el segundo término es un agregado de la contribución de la devaluación y de la tasa de interés externa, mientras que el primero captura principalmente los efectos de la tasa de interés interna.
A. La importancia del balance primario10
Aunque un conjunto importante de estudios muestra que la política fiscal en América Latina se ha caracterizado por un claro sesgo pro-cíclico, resulta muy difícil generalizar. En muchas ocasiones, los países de América Latina se han visto forzados a hacer políticas pro-cíclicas, dadas las presiones de ajuste fiscal en los períodos de escasez de financiamiento y la necesidad posterior de recuperar el gasto en períodos de mayor acceso a los mercados de capitales. En algunos países las políticas fueron pro-cíclicas en tiempos de bonanza en la década de 1990, que no fueron compensadas por ajustes de la misma magnitud en el período de escasez (1998- 2002), dando lugar a fuertes aumentos de la deuda pública; mientras que en otros han sido claramente contra-cíclicas, con caídas de deuda en bonanza y aumentos en escasez (Martner, 2007). La reducción de la relación deuda pública-PIB, durante la muy favorable coyuntura económica de los últimos cinco años, parece sugerir que la mayoría de los países de la región implementaron una política fiscal con una orientación más bien contracíclica, lo que representaría una ruptura respecto del pasado (CEPAL, 2009).
La política fiscal colombiana comparte las mismas características de las aplicadas en la región. Sin embargo, los estudios realizados muestran que ha sido dominantemente pro-cíclica. Por ejemplo, Lozano y Aristizábal (2003) y Martner (2007) encuentran evidencia al respecto entre 1990 y primeros años de la década actual. Lozano y Toro (2007) muestran también este perfil en el período 1960-2005: por cada punto porcentual de aumento en la brecha del producto, el superávit primario (como proporción del PIB) ha caído aproximadamente en una quinta parte. Además, aunque en medio de mejoras transitorias, el deterioro de las finanzas públicas del GNC colombiano en las tres últimas décadas, es principalmente de naturaleza estructural (Prada y Salazar, 2003; Berthel, Gómez y Rincón, 2003; Lozano y Aristizábal, 2003 y Gómez y Rhenals, 2007, entre otros)11.
En el gráfico 5 se presenta la evolución tanto de la dinámica de la deuda, como del balance primario del Gobierno Nacional Central colombiano. Como es de esperar, se observa una relación negativa entre la variación de la deuda y el balance primario. Sin embargo, una regresión simple muestra que este último solamente explica la primera en un poco menos de 50% en el período 1980-2008.
La contribución del balance primario a la variación de la deuda ha cambiado a lo largo de este período. En el cuadro 1 se presentan los promedios de variación Gráfico 5 Colombia: variación en la relación deuda-PIB y balance primario. Como puede observarse, la contribución del déficit primario al aumento de la deuda es mayor que la del superávit en su reducción. Se destaca la escasa contribución del superávit primario a la caída de la relación deuda-PIB en los últimos seis años.
B. Efecto ''bola de nieve'' y ajuste saldoflujo
La dinámica de la deuda depende también de otros factores como las tasas de interés interna y externa, la devaluación y el crecimiento de la economía. Estos factores suelen agruparse bajo el nombre de efecto ''bola de nieve'' o ''factor de ajuste dinámico''. El efecto ''bola de nieve'' el impacto conjunto de estos factores y, en particular, de la carga de intereses en el saldo acumulado de la deuda, mientras que el último permite separar, de un lado, factores externos e internos y, de otro lado, las contribuciones de la tasa de interés, de la devaluación y del crecimiento sobre la dinámica de la relación deuda-PIB.
En el gráfico 6 se muestra la importancia tanto del efecto ''bola de nieve'', como del ajuste saldo-flujo. En la mayor parte de la primera fase de alza de la relación deuda- PIB (1980-1986) se destaca la importancia del déficit primario (gráfico 5), mientras que el efecto ''bola de nieve'' tuvo poca importancia en la dinámica de la deuda hasta mediados de la década de 1990 (gráfico 6). Por su parte, el ajuste saldoflujo impidió una mayor alza de la relación deuda-PIB, exceptuando especialmente 1985 en virtud de la fuerte devaluación real en dicho año. La fase de caída de la relación deuda-PIB entre 1986 y 1994 se debe, de un lado, por balances primarios negativos bajos y, en algunos años, por superávits moderados (inferiores en ambos casos a 1,0% del PIB)12. Y, de otro lado, a que el factor de ajuste saldo-flujo reforzó los impactos favorables de las mejoras en el balance primario.
El período comprendido entre 1994 y 2008 es, sin duda, de deuda pública alta, por lo menos en términos históricos: como proporción del PIB, pasó de 11,0% en 1994 a 46,9% en 2002 y se situó en 35,4% en 2008. En la fase de fuerte ascenso, el déficit primario, como proporción del PIB, aumentó de 0,2% en 1994 a 2,3% en 1999 y cayó a 1,0% en 2002, para un promedio de 1,5%, un poco inferior al de la fase de ascenso de los ochenta. Este déficit combinado con un efecto ''bola de nieve'' adverso y de gran magnitud, explican el extraordinario aumento de la deuda pública colombiana13. Como puede observarse también, el factor saldo-flujo desfavorable fue importante en los tres últimos años de esta fase.
Los importantes balances primarios negativos, las altas tasas de interés real y de devaluación14, así como el bajo crecimiento, explican el fuerte aumento de la relación deuda-PIB en Colombia desde mediados de la década de los noventa hasta los primeros años del decenio actual. En consecuencia, la combinación de un escaso crecimiento económico, altas tasas de interés y elevadas devaluaciones, en el marco de pasivos dolarizados, genera un efecto ''bola de nieve'' de gran magnitud, debida en buena parte al denominado ''pecado original'': la imposibilidad para un país emergente de endeudarse externamente en su propia moneda (Martner y Tromben, 2004).
La tendencia explosiva de la deuda colombiana se revirtió en los años posteriores. En los últimos seis años siguientes se reducirá en casi 11 puntos porcentuales del PIB, como resultado de una combinación de mejores balances primarios, así como un efecto ''bola de nieve'' y de ajuste saldo-flujo favorables (gráficos 5 y 6). Sin embargo, fue este último el de mayor importancia: entre 2002 y 2007, contribuyó con el 53,8% a la reducción de la relación deuda-PIB, seguido por el efecto ''bola de nieve'' favorable (27,2%) y, finalmente, por la mejora del balance primario (19,0%).
En consecuencia, puede afirmarse que la caída de la relación deuda pública-PIB colombiana en los últimos cinco o seis años fue más bien resultado de factores asociados con la política monetaria expansiva y una coyuntura internacional extraordinariamente favorable que caracterizaron este período, que a una política fiscal (discrecional) sana. Puesto que la mejora del balance primario global se debió, en parte importante, a su componente cíclico, cabría esperar que, en el mejor de los casos, el efecto de la política fiscal sobre la disminución de la deuda haya sido poco importante en estos años. Es claro que, pese a la presencia de factores exógenos, los esfuerzos por controlar la dinámica de la deuda son principalmente de orden interno: eliminar el sesgo deficitario y pro-cíclico de la política fiscal, aunque los efectos ''bola de nieve'' y ajuste saldo-flujo operen favorablemente, también, en los períodos de reducción de la relación deuda pública-PIB, como sucedió en los últimos años.
C. Factores internos y externos en la dinámica de la deuda
La desagregación del ''factor de ajuste dinámico'' en sus componentes interno y externo (Alberola y Montero, 2006) se presenta en el gráfico 7. Se observa que, en primer lugar, el componente externo tuvo un impacto positivo en la relación deuda-PIB hasta los primeros años de la década actual, aunque su contribución a mediados de los noventa fue baja; mientras que el componente interno ha contribuido a frenar el aumento de la deuda, exceptuando los años de rápido aumento 1995-2002 (gráfico 7). En segundo lugar, las fases de aumento y disminución de la deuda, como proporción del PIB, están un poco más asociadas con el componente externo. En consecuencia, los impactos pequeños del efecto ''bola de nieve'' en la mayor parte de estas casi tres décadas están asociados con tasas de interés reales internas (implícitas) negativas o bajas de la deuda pública doméstica (Gómez y Rhenals, 2007). En tercer lugar, desde mediados de los noventa, la contribución de los dos componentes a la variación de la deuda actúa en la misma dirección. Y, en cuarto lugar, los menores intereses externos constituyen el factor de mayor importancia en la reducción anual del pago de intereses, ambos como proporción del PIB, en los últimos seis años.
Examinando, en su conjunto, el período reciente de reducción de la deuda, la mejora del balance primario aportó, en promedio, el 8,8%, mientras que los componentes externo e interno lo hicieron con el 42,4% y 35,4%, respectivamente15. La gran importancia de los menores pagos de intereses externos en la reducción de la relación deuda-PIB se explica por las bajas tasas de interés reales externas, el proceso de apreciación de la moneda nacional y la política de sustitución de deuda externa por interna16.
D. Los efectos de las tasas de interés, la devaluación y el crecimiento
La metodología utilizada por Lozano, Ramírez y Guarín (2007) permite una mayor desagregación de los determinantes de la dinámica de la deuda. El gráfico 8 muestra la importancia de los componentes del denominado por estos autores ''factor de ajuste dinámico'': devaluación, tasa de interés y crecimiento. Puede observarse que, en el período 1980-2002, el agregado de la devaluación y la tasa de interés externa impulsaron al alza la relación deuda-PIB, exceptuando unos pocos años donde fue despreciable. Se destaca también su aporte favorable a la reducción de la deuda en el último período (2003-2008), como resultado de la menor importancia en la deuda externa en la deuda pública total, las menores tasas de interés reales externas y la apreciación de la moneda nacional.
Por su parte, las tasas de interés internas contribuyeron a la reducción de la deuda hasta mediados de los noventa y después a su aumento (gráfico 8). Las tasas de interés reales internas, negativas inicialmente y positivas después, implícitas en la deuda pública doméstica, conjuntamente con la mayor importancia de esta última en la deuda pública total, explican este resultado. Esta contribución positiva en el período 2003-2008 contrasta con el aporte negativo del componente interno que se observa en el gráfico 7. La explicación de esta diferencia radica en que las dos metodologías no son estrictamente comparables. Finalmente, el crecimiento económico ha impulsado la caída en relación deuda-PIB en casi todo el período 1980-2008, aunque en forma sobresaliente en los últimos seis años.
En el cuadro 2 se presentan las contribuciones promedio de los determinantes de la dinámica de la deuda en el período 1980-2008. Puede observarse que el fuerte crecimiento promedio de la economía en los seis últimos años es el factor más importante en la reducción de la deuda, como proporción del PIB, seguido de los impactos combinados favorables de las menores tasas reales de interés externas y la apreciación de la moneda nacional. La política fiscal, por su parte, tuvo un efecto prácticamente despreciable en la disminución de la relación deuda-PIB durante este último periodo.
IV. El problema de la sostenibilidad de la deuda pública
La sostenibilidad de la deuda responde a la pregunta de si existe un limíte al endeudamiento público, puesto que la duración del Estado es infinita, por lo menos potencialmente, y dispone de una fuente de ingresos regular y coactiva durante un período igualmente indefinido (Argandoña, Gámez y Mochón, 1998). Las finanzas públicas modernas muestran que este límite existe y las crisis fiscales son su manifestación más visible. Sin embargo, la sostenibilidad es por naturaleza probabilística, puesto que la dinámica de la deuda pública depende de eventos macroeconómicos y fiscales inciertos. Los modelos pueden indicar los límites superiores probables de la evolución de la deuda, pero no pueden indicar qué nivel de deuda es demasiado alto o cual es su tamaño ideal (Martner y Tromben, 2004)17.
Los indicadores de sostenibilidad fiscal pueden clasificarse en dos grandes grupos. De un lado, aquellos construidos a partir de la restricción presupuestaria intertemporal. Básicamente muestran el balance primario requerido para estabilizar la deuda (relación deuda-PIB) en determinada magnitud. Este saldo primario depende del nivel de deuda previo y de otros factores como las tasas de interés interna y externa, el crecimiento de la economía, la inflación y los movimientos del tipo de cambio. De otro lado, la sostenibilidad puede evaluarse estimando la probabilidad de una economía de entrar en una crisis fiscal, con base en un conjunto de variables económicas (Martner y Tromben, 2004).
En el primer conjunto de indicadores se encuentra el denominado indicador ''verdadero'' de la sostenibilidad fiscal (Talvi y Vegh, 2000): una política fiscal es sostenible, si el superávit primario permanente es igual a los pagos reales efectivos de intereses sobre el monto de la deuda inicial del gobierno. Es decir:

Donde:
It*: Indicador ''verdadero'' de sostenibilidad fiscal.
r: Tasa de interés real.
g:Tasa de crecimiento del PIB.
St*: Balance primario permanente, como porcentaje del PIB.
bt−1: Deuda pública inicial, como porcentaje del PIB.
Si It* = 0, la política fiscal del período t es sostenible. En cambio, si It*> 0, entonces la trayectoria planeada viola la restrcción presupuestal intertemporal y si < 0, la trayectoria ex-ante no viola esta restricción, pero el gobierno está sub-utilizando los recursos dado que está gastando muy poco o cobrando muchos impuestos (Talvi y Vegh, 2000)18.
Debido a los requerimientos de información de este indicador (las trayectorias futuras de gastos e ingresos para calcular St*), se ha aproximado en la literatura el balance primario permanente por el denominado ''indicador de brecha primaria de corto plazo'' o ''indicador de sostenibilidad de Blanchard'' (Blanchard, 1990)19, por el ''balance primario macro-ajustado'' o por el balance primario actual (Talvi y Végh, 2000)20.
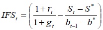
Por su parte, Croce y Hugo (2003) proponen un indicador de sostenibilidad fiscal, calculado con un simple algoritmo operativo recursivo derivado de la relación deuda-PIB, pero sujeta a una función de reacción del gobierno. Los autores suponen que el gobierno tiene la capacidad de reaccionar cuando esta relación supera la tasa objetivo, mediante la generación de un superávit primario compatible con la tasa objetivo (Martner y Tromben, 2004). El indicador de sostenibilidad fiscal es el siguiente:

Donde: b* es la meta de la relación deuda-PIB, S* = (β* −1)b* es el balance primario que prevalece una vez alcanzada la meta de deuda y
. Si IFSt < 1, la política fiscal es sostenible, mientras que en cualquier otro caso sería insostenible. Croce y Hugo (2003) estiman el valor de β * en 1.03 para las economías emergentes. Por su parte, en los cálculos para Colombia suponemos que b* = 32,5% del PIB21. El valor de β* es sensible a las condiciones de la actividad económica y tiende a aumentar en las épocas de recesión o bajo crecimiento económico.
Puesto que, en los próximos años (2009-2012), posiblemente el crecimiento de la economía colombiana se desacelerará, suponemos un β* = 1,092 con el fín de ilustrar otro escenario sobre los problemas de sostenibilidad de la deuda colombiana. En el gráfico 8 se presenta el IFS para cada año con los datos observados (1995-2008) y los proyectados en el período 2009-2012 (anexo 3).
Puede observarse que, de acuerdo con estas estimaciones, la deuda colombiana fue sostenible entre 1995 y 200022. Los bajos montos relativos de deuda pública existentes en los peores años de este período explican este resultado. De hecho, la deuda pública solamente alcanzó el 26,4% del PIB en 1999. Despúes del alto nivel registrado por el indicador de sostenibilidad fiscal (IFS) en 2001, las finanzas públicas del Gobierno Nacional Central empiezan a mejorar en términos de su sostenibilidad: en el quinquenio 2004-2008, el IFS1 se situó cercano o por debajo de uno. No obstante, como se señaló, esta mejora se debió más a una combinación de tasas de interés reales bajas, buen comportamiento de la economía y el proceso de apreciación de la moneda nacional, que a la política fiscal propiamente dicha.
Las perpectivas de mediano plazo, en términos de sostenibilidad de la deuda pública, parecen complicadas. En efecto, bajo un escenario relativamente optimista (anexo 3), la dinámica de la deuda pública retornará a niveles insostenibles (gráfico 8), pese a que se suponen déficits primarios moderados para el GNC23. La deuda pública, como porcentaje del PIB, pasaría de 35,3% en 2008 a 41,5% en 2012, retornando a niveles superiores al considerado como límite crítico (FMI, 2002). En otras palabras, esto significa que el posible margen para una política fiscal contracíclica es bastante estrecho. La fuerte desaceleración prevista de la economía colombiana y el deterioro cada vez mayor de las condiciones externas se presentan en medio de una relación deuda pública-PIB que es superior aproximadamente en quince puntos porcentuales a la de finales de los noventa. Un escenario pesimista podría situar la relación deuda pública-PIB por encima de sus altos niveles históricos o, para evitarlos, sería necesario generar balances primarios significativamente mejores.
De hecho, las previsiones del FMI sobre el crecimiento mundial en 2009 fueron revisadas a la baja (de 2,2% a solo 0,5%) y existen riesgos de que continuén reduciéndolas más, como también las de América Latina (de 2,5% a 1,1%)24. La producción de los países desarrollados continuará cayendo, por lo menos, hasta comienzos del 2010, el precio de las viviendas tocará fondo un semestre después y el desempleo aumentará hasta el 2012. Los países latinoamericanos ya están sintiendo los efectos comerciales de la crisis mundial, pero todavía no han experimentado el coletazo financiero. Según el Instituto de Finanzas Internacionales, los flujos de capitales privados pasarían de US$ 929 mil millones a solamente US$ 165 mil millones en 2009, mientras que los préstamos de los organismos multilaterales apenas compensarán en una mínima parte esta dramática caída. Aún más, algunas medidas de apoyo a los sectores financieros de los países desarrollados serán nocivas para las economías emergentes (Lora, 2009). En consecuencia, estas economías enfrentarán serios problemas de financiamiento que limitarían apreciablemente aumentos en el gasto público.
Paradójicamente, el plan de choque por $ 55 billones anunciado por el gobierno colombiano para enfrentar la crisis, al ser más retórica que realidad, puesto que los recursos ni son nuevos, ni los aporta totalmente el gobierno25, ni probablemente se ejecute la mayor parte este año, debido a los retrasos que padece, como han señalado varios analistas, puede no ser una mala noticia, en la medida en que no se presentaría un mayor déficit público que acentuaría los problemas de sostenibilidad de la política fiscal.
Los indicadores anteriores se inscriben en el marco de los estudios tradicionales de sostenibilidad, donde se estima el balance primario necesario para mantener constante la relación deuda-PIB, dado el valor de determinadas variables económicas. En consecuencia, otorgan poco énfasis en los impactos de las depreciaciones o apreciaciones reales sobre la sostenibilidad fiscal, vía cambios en los montos de deuda. Calvo, Izquierdo y Talvi (2002), en cambio, centran su análisis en la relación deuda-PIB, como también en su expresión en términos de bienes transables y no transables. Puesto que una parte importante de la deuda de los países de América Latina se encuentra expresada en moneda extranjera, en tanto que los ingresos del gobierno dependen en gran medida del PIB, esta situación genera un descalce de monedas en el balance del sector público, haciendo que la sostenibilidad fiscal sea muy sensible a las fluctuaciones del tipo de cambio. Estas inevitables fluctuaciones generan fuertes efectos de riqueza cuando hay decalce de monedas entre activos y pasivos, lo que aumenta el riesgo de cesación de pagos del sector público y limita la eficacia de la política monetaria (Martner y Tromben, 2004).
Para examinar la sostenibilidad fiscal, Calvo, Izquierdo y Talvi (2003) proponen un indicador que incorpora la composición en monedas de la deuda y del PIB. El descalce sería la relación entre la deuda en términos de bienes no transable (BNT) y la deuda en términos de transables (eBT), con respecto al coeficiente entre la producción de no transables (YNT) y de transables (eYT). Es decir:

Donde e, en este caso, es el tipo de cambio real, medido como el precio relativo entre bienes transables y no transables. Como puede observarse, el valor de este indicador oscila entre 0 y 1. Si este valor tiende a 0, la devaluación deteriora proporcionalmente la sostenibilidad fiscal, puesto que la deuda es totalmente externa o la producción de bienes transables es despreciable. Si tiende a 1, existe un calce perfecto en la composición de moneda de la deuda pública y el producto. En términos prácticos, YT se aproxima con las exportaciones, BT mediante la deuda externa y BNT a través de la deuda interna (Martner y Tromben, 2004).
Los cálculos para Colombia se muestran en el gráfico 9. Puede observarse, en primer lugar, que el indicador de descalce ha mejorado tendencialmente, aunque en medio de oscilaciones moderadas. En segundo lugar, la relación entre el comportamiento del indicador de descalce y la tasa de cambio real es poco estrecha. En tercer lugar, los impactos de una fuerte depreciación de la moneda en los próximos años no serían de gran importancia en la sostenibilidad fiscal. Sin duda, el principal factor explicativo de esta evolución favorable es la reducción drástica en la participación de la deuda pública externa en la total, debido en buena parte a la política de sustitución de deuda externa por doméstica. Dada la baja participación de la deuda externa, es probable esperar en los próximos años un empeoramiento moderado de este indicador, debido a una reducción de la importancia de las exportaciones en el PIB. Los principales mercados de exportación del país seguramente se debilitarán.
V. Conclusiones
Como se sabe, el debate sobre la eficacia de la política fiscal permanece abierto. Sin embargo, aún suponiendo que la política fiscal sea eficaz, las posibilidades de implementar medidas fiscales expansivas en una situación de fuerte desaceleración o crisis económicas pueden verse limitadas, en el corto plazo, por la inexistencia de espacios para políticas fiscales ''autónomas'', en la medida en que su ejecución rompería el principio de responsabilidad fiscal intertemporal o de solvencia del sector público. La viabilidad de estas políticas depende crucialmente de la implementación de una política fiscal contra-cíclica exitosa durante la bonanza.
La razón es que, en presencia de flujos voluntarios, los instrumentos tradicionales de política macroeconómica no pueden controlar el déficit financiero del sector privado. Particularmente en economías exitosas, el sector privado invierte más y ahorra menos, generando una brecha financiera que afecta la vulnerabilidad externa y una especie de ''enfermedad holandesa'' de origen financiero. El sobrecalentamiento de la economía puede no reflejarse en una aceleración inflacionaria, sino en una mayor vulnerabilidad externa y atraso cambiario. Para enfrentar esta mayor vulnerabilidad, la política fiscal debe compensar el déficit privado con superávit públicos que no están acotados. En palabras de Marfán (2005), ''[...] a mayor exuberancia privada, mayor la necesidad de austeridad fiscal''.
El auge económico de América Latina en los últimos cinco años estuvo acompañado de una mejoría en las cuentas públicas. Esta evolución favorable fue generalizada puesto que, de un lado, el balance primario del Gobierno Nacional Central fue positivo en forma importante en todos los países, con excepción de Colombia (apenas una situación de equilibrio o leve superávit en los dos o tres últimos años), Guatemala y Honduras que registraron un continuo déficit. De otro lado, muchos países alcanzaron un saldo global equilibrado o positivo en varios años o al final del quinquenio, exceptuando algunos (Brasil, Colombia, Guatemala, Honduras, República Dominicana y Uruguay) que registraron déficits persistentes, moderados o altos. Por su parte, en todos los países se redujo la relación deuda pública-PIB, con excepción de Guatemala (aumentó) y México (estable), pero con magnitudes relativas bajas.
Una descomposición de la relación deuda pública-PIB colombiana muestra que su reducción, en el período 2003-2008, fue resultado del gran crecimiento promedio de la economía colombiana en estos años, seguido por los impactos combinados favorables de las menores tasas reales de interés externas y la apreciación de la moneda nacional. En cambio, la política fiscal propiamente dicha tuvo un efecto prácticamente despreciable. Las perpectivas de mediano plazo, en términos de sostenibilidad, de la deuda pública colombiana parecen complicadas. Bajo un escenario relativamente optimista, la dinámica de la deuda pública retornará a niveles insostenibles, pese a que se suponen déficits primarios moderados para el Gobierno Nacional Central. La deuda pública, como porcentaje del PIB, pasaría de 35,3% en 2008 a 41,5% en 2012, retornando a niveles superiores al considerado como límite crítico (FMI, 2002). En otras palabras, esto significa que el posible margen para una política fiscal contracíclica es bastante estrecho.
Probablemente, las políticas fiscales contra- cíclicas adoptadas por varios países de la región durante la fase de bonanza, por lo demás en forma muy desigual, hayan sacrificado la expansión de la demanda, pero contribuyeron a fortalecer la capacidad de sus economías para manejar mejor coyunturas adversas posteriores, como la que enfrentan en la actualidad. Y, en este sentido, la política fiscal colombiana de los últimos años no puede juzgarse como exitosa.
Referencias bibliográficas
1. Alberola, Enrique y Montero, José Manuel (2006), ''Debt sustainability and procyclical fiscal policies in Latin America'', Documentos de trabajo, No. 0611, pp.1-36, Banco de España. [ Links ]
2. Argandoña, A.; Gámez, C. y Mochón, F. (1998). Macroeconomía Avanzada I, McGraw-Hill-Interamericana de España, Madrid. [ Links ]
3. Blanchard, O., Chouraqui, J., Hagemann, R. y Sartor, N. (1990), ''The Sustainability of Fiscal Policy: New Answers to and Old Question'', Economic Studies, Nº. 15, OECD, otoño, pp. 8-36. [ Links ]
4. Blanchard, Olivier (1990), ''Suggestions for New Set of Fiscal Indicators'', Working Paper OECD. [ Links ]
5. Barro, Robert (1981), ''Output effects of government purchases'', Journal of Political Economy, No. 89. [ Links ]
6. Calvo, G.A., Izquierdo, A. y Talvi, E. (2003), ''Sudden Stops, the Real Exchange Rate, and Fiscal Sustainability: Argentina's Lessons'', NBER Working Paper, No. 9828, Cambridge, Massachusetts, National Bureau of Economic Research. [ Links ]
7. CEPAL (2009a), ''La política fiscal en tiempos de crisis: una reflexión preliminar desde América Latina y el Caribe'', Naciones Unidas-CEPAL, Santiago de Chile, p. 19. [ Links ]
8. CEPAL (2009b), ''La reacción de los gobiernos de América Latina y el Caribe frente a la crisis internacional: una presentación sintética de las medidas de política anunciadas hasta el 10 de diciembre de 2008'', Naciones Unidas-CEPAL, Santiago de Chile, p. 23. [ Links ]
9. CEPAL (2008), Balance preliminar de las economías de América Latina y el Caribe 2008, CEPAL, diciembre de 2008. [ Links ]
10. Corbo, Vittorio (2002), ''¿Necesita Chile una política fiscal expansiva?'', El Mercurio, Economía y negocios, abril. [ Links ]
11. Croce, E. y V. Hugo, Juan-Ramón (2003), ''Assessing Fiscal Sustainability: A Cross-Country Comparison'', IMF Working Paper, 03/145, Washington, D.C., Fondo Monetario Internacional. [ Links ]
12. De Gregorio, José (2007), Macroeconomía. Teoría y Políticas, Pearson Educación, México. [ Links ]
13. FMI (2002), ''Assesing Sustainability'', Departamento de Elaboración y Examen de Políticas, Washington, D.C. [Artículo en internet] disponible en : http://www.imf.org/external/np/pdr/sus/2002/eng/ 052802.htm [ Links ]
14. FMI (2003), ''Public Debt in Emerging Markets''. World Economic Outlook 2003, FMI, Washington, D.C. Cap. 3 [ Links ]
15. Gómez, Wilman y Rhenals, Remberto (2008), ''Un cálculo del déficit fiscal estructural: análisis y una propuesta metodológica'', Perfil de Coyuntura Económica, No. 10, pp. 47-70. [ Links ]
16. Lora, Eduardo (2009), ''Se agrava la crisis'', Dinero, No. 318, febrero 6. [ Links ]
17. Lozano, L. y Aristizábal, C. (2003). ''Déficit Público y Desempeño Económico en los Noventa: El caso Colombiano'' Borradores de Economía, No. 261, octubre, Banco de la República. [ Links ]
18. Lozano, L. y Toro, J. (2007), ''Fiscal Policy throughout the Cycle: The Colombian Experience''. Borradores de Economía, No. 261, octubre, Banco de la República. [ Links ]
19. Lozano, Ignacio; Ramírez, Carolina y Guarín, Alex (2007), ''Sostenibilidad Fiscal en Colombia: Una mirada hacia el mediano plazo''. Subgerencia de Estudios Económicos, Banco de la República. [ Links ]
20. Marfán, M. (2001), ''Rol macroeconómico de la política fiscal'', Documento preparado para el seminario ''La teoría del desarrollo en los albores del siglo XXI'', CEPAL, Santiago de Chile, 28 y 29 de agosto. [ Links ]
21. Marfán, M. (2005), ''La eficacia de la política fiscal y los déficit privados: un enfoque macroeconómico'', En Mas allá de las reformas: dinámica estructural y vulnerabilidad macroeconómica, Bogotá, D.C., Alfaomega/CEPAL capítulo 6. [ Links ]
22. Martner, Ricardo (2007), ''La política fiscal en tiempos de bonanza'', Gestión Pública, Series CEPAL, No. 66, mayo, CEPAL. [ Links ]
23. Martner, Ricardo y Tromben, Varinia (2004), ''Public Debt Indicators in Latin American Countries: Snowball Effect, Currency Mismatch and the Original Sin'', [Artículo en internet], disponible en http://www.eclac.cl/ilpes/noticias/paginas/6/13526/MartnerTromben.pdf [ Links ]
24. Ocampo, José Antonio (2007), ''La macroeconomía de la bonanza económica latinoamericana'', Revista de la CEPAL, No. 93, diciembre, pp. 7-29. [ Links ]
25. Prada, Diego y Salazar, Natalia (2003), ''Balance estructural del Gobierno Central en Colombia'', Archivos de economía, No. 226, junio, Departamento de Planeación Nacional. [ Links ]
26. Rincón, Hernán; Berthel, Jenny y Gómez, Miguel (2003), ''Balance Fiscal Estructural y Cíclico del Gobierno Nacional Central de Colombia, 1980-2002,'' Borradores de Economía No. 246, junio, Banco de la República. [ Links ]
27. Salman, Alí (2003), ''The Budget Deficit and Economic Performance: A Survey'', Economics Working Paper Series, University of Wollongong, No. WP 03-12, septiembre. [ Links ]
28. Talvi, Ernesto y VEGH, Carlos (2000), ''La sostenibilidad de la política fiscal: un marco básico''. Talvi, E. y Vegh, C. (Compiladores), ¿Cómo armar el rompecabezas fiscal?, BID, Washington, D.C. [ Links ]
Primera versión recibida el 26 de septiembre de 2008; versión final aceptada el 5 de noviembre de 2008
Notas
* Este artículo es producto de la línea de investigación en Análisis de la Coyuntura y la Política Económica Nacional y Mundial del Grupo de investigación en Macroeconomía Aplicada de la Facultad de Ciencias Económicas de la Universidad de Antioquia.
1 Una síntesis de los efectos macroeconómicos de la política fiscal, tanto en la literatura teórica como de evidencia empírica, puede verse en Salman (2003).
2 El autor examina nueve economías (Corea, Chile, Estados Unidos, Filipinas, Indonesia, Irlanda, Malasia, México y Tailandia) con las siguientes características comunes en el período de referencia: déficit en cuenta corriente (entre 3% y 8% del PIB), solidez de sus cuentas fiscales (entre equilibrio fiscal y superávit mayores a 4% del PIB), apreciación real significativa de sus monedas (entre 2,4% y 6,4% anual) y trayectorias de inflación no preocupantes. Únicamente Irlanda no cumplía las características primera y última. Como puede observarse, en muchos otros aspectos, se trata de economías diferentes.
3 La literatura muestra que cuando los bancos centrales tienen como argumentos en su función de pérdida tanto los precios como el producto, una política monetaria anticipada o conocida puede ser ineficaz para estabilizar la producción, pero una política activista puede también desestabilizar los precios.
4 La literatura aconseja que, cuando la divergencia entre el producto esperado y efectivo sea resultado de un choque de demanda externo o doméstico ''normal'', es apropiado dejar operar libremente los estabilizadores automáticos, combinándolos probablemente con una política monetaria más agresiva (CEPAL, 2009).
5 Esta breve reseña se ubica en el contexto de la ''sabiduría'' tradicional, según la cual políticas fiscales contraccionistas en condiciones recesivas de la actividad económica, de ser eficaces, profundizarían la recesión. Por tanto, deja por fuera experiencias paradigmáticas en que fuertes contracciones fiscales no han tenido efectos negativos sobre producción y empleo, en virtud de la existencia de efectos no keynesianos.
6 Obviamente, para las economías en desarrollo, se supone que existen, aunque podrían ser limitadas, posibilidades de financiamiento internacional, en caso de inexistencia o limitación de recursos acumulados durante la bonanza. En ausencia de estas posibilidades, la política fiscal debe ser forzosamente pro-cíclica.
7 Las cifras corresponden al Gobierno Nacional Central dada su característica homogénea.
8 Este análisis debe acompañarse también de una desagregación del balance público en sus componentes estructural y cíclico.
9 Esta restricción significa que los ingresos públicos futuros deben cubrir el gasto primario más el valor real de la deuda corriente. La conducta óptima de los tenedores de deuda, que no estarían dispuestos a conservar deuda que el gobierno no pudiese pagar, impide este crecimiento explosivo.
10 Como se puede observar en las tres metodologías, tanto la deuda como sus componentes están expresados como proporción del PIB.
11 El balance primario estructural del GNC ha sido negativo desde finales de la década de 1970 (Gómez y Rhenals, 2007). Una evolución semejante registra el balance estructural ''verdadero'' (cambio en la deuda real de largo plazo).
12 De hecho, mientras que en la primera fase se registró un déficit promedio de 1,8% del PIB, en la segunda se presentó prácticamente una situación de equilibrio (superávit de 0,14% del PIB).
13 Esta combinación explosiva se presentó en América Latina en la denominada ''media década perdida'' (1998-2002) e ilustra la vulnerabilidad recurrente de las finanzas públicas de la región: ''...cuando los flujos de capital disminuyen drásticamente, la reducción del nivel de actividad y el aumento del costo de la deuda pública externa –en caso de haber depreciación cambiaria– agudizan las necesidades de financiamiento del sector público en períodos de escasez de fuentes de financiamiento'' (Martner y Tromben, 2004, p. 100). Cabe señalar que estos fueron también los años de mayor aumento de la deuda colombiana: como porcentaje del PIB, 15,9% en 1997 y 46,0% en 2002.
14 En los años 1997-2000 y en 2002 las elevadas devaluaciones contribuyeron en forma significativa. De hecho, la deuda total del Gobierno Nacional Central (GNC), como porcentaje del PIB, pasó de 12,8% en 1996 a 34,6% en 2000.
15 El restante 13,4% tiene que ver con el factor de ''ajuste saldo-flujo''.
16 La participación de la deuda pública externa en la deuda pública total ha venido cayendo sistemáticamente desde 1993. Sin embargo, prácticamente se estancó en los años 1998-2003, pero continúo disminuyendo posteriormente.
17 Según el FMI (2003), la deuda máxima sostenible en economías emergentes es de 25% del PIB. Sin embargo, en un informe anterior (FMI, 2002), había establecido como nivel crítico un 40% del PIB; por encima de este valor las posibilidades de una crisis fiscal aumentaban entre 15% y 20%. La evidencia muestra, además, que en muchos países la deuda, como proporción del PIB, ha alcanzado niveles muy superiores en economías emergentes exitosas como las de Asia (cercanos al 70%), pero también en no exitosas como las de África (cercanos al 90%) y en algunas de América Latina (Martner y Tromben, 2004).
18 Como señalan estos autores, It* es un concepto ex-ante, puesto que presupuestaria intertemporal debe cumplirse ya que los mercados de crédito no seguir prestando a un gobierno que gasta más allá de sus recursos (en valor presente descontado). Por tanto, algo debe suceder (reducción inesperada del gasto público en el período t, aumentos de la inflación o retraso en el pago de la deuda) para asegurar que la restricción intertemporal sea satisfecha ex–post.
19 De hecho, este indicador no es más que una aproximación del primero, con el fin de evitar los requerimientos de información que requiere el indicador ''verdadero''.
20 El balance primario macro-ajustado impone cierta estructura conceptual y genera una forma de cálculo un poco diferente. Cabe señalar que, en virtud de la ausencia de restricciones crediticias, cualquier trayectoria de deuda que satisfagaIt* es una trayectoria factible. En cambio, bajo restricciones crediticias, todas aquellas trayectorias de deuda que no satisfagan estas restricciones no serán factibles (Talvi y Vegh, 2000).
21 Este valor es el promedio de la relación deuda-PIB colombiana en el período 1995-2008 (el último ciclo de la relación deuda-PIB colombiana) y resulta similar al promediar los valores máximos de sostenibilidad calculados por le FMI (2002 y 2003).
22 Los cálculos de Martner y Tromben (2004b) para Colombia en el período 1997-2002 muestran que la deuda fue sostenible en estos años e insostenible posteriormente.
23 Por ejemplo, se supone que el costo del endeudamiento externo se reduce, cuando ha estado aumentando, y un crecimiento del PIB colombiano de 2,5% en el 2009, el peor año, mientras que algo más del 60% de las previsiones oscilan entre 0,1% y 3% y el consenso no supera el 2,0% (Portafolio, febrero 23 de 2009). No obstante, otras predicciones no descartan un crecimiento nulo o, incluso, una caída de 0,5% (''¿Crecimiento cero? Es posible'', Dinero, 318, febrero 6 de 2009). Además, en cierta forma se considera que la crisis internacional toque fondo en 2009, cuando parece estar corriéndose, por lo menos, hasta el 2010.
24 En febrero de 2009, el Banco Mundial revisó sus previsiones de enero sobre el crecimiento de la región: de 1,0% a 0,3% en 2009.
25 De los $ 55 billones, únicamente $ 10 billones están a cargo del Gobierno. Descontando el sector descentralizado y otras partidas menores, la inversión a cargo del Gobierno Central asciende tan solo a $ 3 billones. Por tanto, el grueso de la suma corresponde a inversiones del sector privado y de Ecopetrol: $32 y $12.6 billones, respectivamente (''Vías para la competitividad'', Dinero, No. 318, febrero 6 de 2009).
Anexos


























