Services on Demand
Journal
Article
Indicators
-
Cited by SciELO -
Access statistics
Related links
-
Cited by Google -
Similars in
SciELO -
Similars in Google
Share
Perfil de Coyuntura Económica
On-line version ISSN 1657-4214
Perf. de Coyunt. Econ. no.18 Medellín Dec. 2011
ARTÍCULOS
Una estimación de los impactos de la tasa de interés en el ciclo económico de Colombia: 1986-2010*
An estimation of the impacts of the interest rate in the business cycle in Colombia: 1986–2010
Sergio Iván Restrepo O.**; Luis Esteban Martínez R.***; Mauricio Lopera C.****
** Vicedecano Facultad de Ciencias Económicas, Universidad de Antioquia. Dirección electrónica: siro@udea.edu.co
*** Economista Universidad de Antioquia. Dirección electrónica: martinezesteban1@gmail.com
**** Profesor Facultad de Ciencias Económicas, Universidad de Antioquia. Dirección electrónica: mloperacl@gmail.com.
–Introducción. –I. La teoría de la nueva política monetaria y la tasa de interés. –II. La estimación de la tasa de interés real natural para Colombia. –III. La política monetaria y sus efectos sobre los ciclos económicos en Colombia. –Conclusiones. –Referencias bibliográficas. –Anexos.
Primera versión recibida el 8 de noviembre de 2011; versión final aceptada el 12 de diciembre de 2011.
Resumen
El objetivo de este trabajo es establecer la relación entre el ciclo económico colombiano y la política monetaria a través del estudio de la tasa de interésreal natural. Par tal efecto, se calcula la tasa de interés real natural (TIRN) para Colombia por medio de dos metodologías diferentes. Una vez determinada la tasa de interés real natural, se realiza un análisis acerca de los efectos de la política monetaria sobre el ciclo económico en Colombia, basado en las ideas Neowicksellianas. Se concluye, que la brecha, producto de la diferencia de las tasas de interés de mercado y natural, tienen efectos sobre el ciclo económico colombiano causando variaciones en el PIB.
Palabras clave: Tasa de interés real natural, tasa de interés de mercado, política monetaria, ciclos económicos, filtro de Hodrick y Prescott, filtro de Kalman.
Abstract
The aim of this work is to establish the relationshipbetween the Colombian business cycle and monetary policy through the study ofthe natural real interest rate. Pair this purpose, we calculate the naturalreal interest rate (TIRN) for Colombia using two different methodologies. Once the natural real interest rate, an analysis of the effects of monetary policy over the business cycle in Colombia, based on the Neowicksellianas. It is concluded that the gap, due to the difference in market interest rates and natural, have effects on the Colombian business cycle causing changes in GDP.
Keywords: Natural real interest rate, market interest rates, monetary policy, economiccycles, Hodrick and Prescott filter, Kalman filter.
Résumé
L'objectif de cet article est d'établir une relation entre le cycle économique et la politique monétaire en Colombie à travers l'étude du taux d'intérêt réel naturel. Pour ce faire, nous calculons le taux d'intérêt réel naturel (TIRN) pour l'économie colombienne à travers l'utilisation de deux méthodes alternatives. Une fois le taux d'intérêt réel naturel a été déterminé, nous analysons les effets de la politique monétaire sur le cycle économique sur la base des idées neo-Wickselliennes. Nous concluons que l'écart entre le taux d'intérêt du marché et le taux d'intérêt naturel a des effets sur le cycle économique colombien.
Mots-clés : Taux d'intérêt réel naturel, taux d'intérêt du marché, politique monétaire, cycles économiques, Hodrick et Prescott, filtre de Kalman.
Clasificación JEL: E00, E31, E32, E43, E52.
INTRODUCCIÓN
En la última década, ha surgido una motivación teórica y empírica por la idea de la tasa de interés real natural (TIRN). En su gran mayoría los bancos centrales del mundo manejan la tasa de interés de corto plazo como instrumento de política, donde se tiene en cuenta la TIRN como una tasa de referencia. Al respecto, se han realizado muchos trabajos, donde cabe resaltar el trabajo de Taylor (1999) que motivó la afinidad por reglas ''sencillas'' acerca del comportamiento deseado de la tasa de interés. En el trabajo de Taylor, se exhiben una serie de funciones de reacción, las cuales son tenidas en cuenta como un referente en la toma de decisiones por parte de las autoridades bancarias. En estas funciones se incluyen como variables: la tasa de interés natural, labrecha del producto y la inflación.
La política monetaria en el esquema de inflación objetivo se dirige por medio de las tasas de interés, donde las decisiones de política monetaria que modifican las tasas de interés pueden afectar las variables reales en el corto plazo, por lo cual la diferencia de la tasas de interés de mercado y natural estimulan las variaciones en el ciclo económico a través del canal del transmisión de la demanda agregada. Así mismo, esta diferencia puede ser usada para predecir la inflación futura.
La estimación de la tasa de interés real natural es importante en el planteamiento del trabajo, dado que el objetivo es realizar un análisis sobre los efectos provocados por la política monetaria en el ciclo económico basados en las ideas Neowicksellianas, donde se muestra a la política monetaria como uno de los factores que explica las fluctuaciones del PIB y el aumento de los precios (inflación), es decir, la política monetaria es un factor que incide directamente en el ciclo económico. En este artículo, se estima la tasa de interés real natural para Colombia en forma trimestral utilizando dos métodos diferentes. La primera estimación de la TIRN es por medio de la extracción de la tendencia de interés real ex ante, a través del filtro de Hodrick y Prescott (FHP) para el periodo 1986:1-2010:2. La segunda estimación es a través del filtro de Kalman para el periodo 1995:1-2009:4.
Este trabajo está dividido en cinco secciones, siendo esta introducción la primera, en la segunda, se encuentra la teoría de la nueva política monetaria y la tasa de interés; la tercera es la estimación de la tasa de interés real natural para Colombia; la cuarta hace referencia a la política monetaria y sus efectos sobre los ciclos económicos en Colombia; y la quinta está compuesta por las conclusiones.
I. La teoría de la nueva política monetaria y la tasa de interés
A. El enfoque Neowickselliano
El conocimiento de la tasa de interés real ''natural'' es trascendental en el esquema de inflación objetivo, acogido por muchos países a nivel mundial, de ahí que, el diferencial entre la tasa de interés de mercado y la tasa ''natural'' pronostica cercanamente la inflación futura. Además, éste es un indicador que facilita la toma de decisiones por parte del Banco Central, haciendo más clara la comunicación con el público. Según Woodford (2003)1, la TIRN varía en el tiempo en respuesta a diferentes shocks reales, y su monitoreo establece un reto permanente para los equipos técnicos de los bancos centrales.
Las ideas de Wicksell (1898) son los inicios del esquema de inflación objetivo2, además son una parte esencial de la nueva síntesis neoclásica, donde la política monetaria es el instrumento favorito ''cuando los gobiernos reaccionan ante fluctuaciones en el producto y el empleo'',puesto que, seconcibe como el ''determinante más directo de la inflación'' (Bernanke, Laubach, Mishkin, Posen, 1999, pág. 10). La característica más sobresaliente de este nuevo paradigma, es la no formulación de objetivos de crecimiento de la oferta monetaria por parte del Banco Central. Por tanto, los agregados monetarios no tienen un papel determinante en la política monetaria, por el contrario, la tasa de interés es el instrumento de control de la autoridad monetaria (Blinder, 1997; 1998; Taylor, 1999; 1999ª; Romer, 2000; McCallun, 2001). Así, de acuerdo con Woodford (2003, pág. 3) ''un desarrollo particularmente importante en este sentido es la adopción del enfoque de inflación objetivo para conducir la política monetaria por parte de muchos bancos centrales del mundo en los años noventa''. En efecto, este modelo se implementa generalmente en la denominada regla de Taylor (Taylor, 1999). En la función de reacción propuesta por Taylor, las decisiones de las autoridades incorporan la tasa de interés ''neutral'' o ''natural'', así como las brechas del producto y de la inflación. (Echavarría, Misas, López, Parra y Téllez, 2006, pág. 3).
Los planteamientos de Wicksell muestran cómo las autoridades monetarias deben estabilizar los precios, cuyo objetivo es generar una tasa de inflación suficientemente baja y neutral de largo plazo (Taylor, 1999; Woodford, 2003). Ahora, en el planteamiento teórico que se desea analizar, se supone una economía de ''crédito puro'', es decir, el sistema bancario intermedia todas las relaciones económicas (consumo, ahorro, inversión), un solo banco central que fija las tasas de interés y el sistema bancario está sujeto a las decisiones del banco central acomodando la oferta de crédito a la demanda, dando lugar a aumentos y contracciones de las inversiones.
Según el planteamiento se tiene dos tasas de interés, la de mercado o monetaria, que es la tasa que los inversionistas pagan por los créditos bancarios para financiar sus inversiones (la denominamos im) y la tasa de interés real natural (in), que es la tasa de rendimiento o ganancia que los empresarios esperan obtener como resultado de sus inversiones, la productividad marginal del capital (PMGk). La diferencia de las tasas de interés genera los movimientos del nivel de precios, ahora cuando im es menor que in, el crédito bancario y la oferta monetaria se expanden, dando lugar a la inflación, por otro lado, cuando im es mayor que in, el crédito y la oferta de dinero se contraen, los precios disminuyen provocando una deflación.
Esta idea se puede plantear en un sencillo esquema que muestra cómo se dan las relaciones entre las tasas de interés y sus efectos en la economía. Se inicia por el equilibrio (Ecuación 1), se define como la igualdad entre las tasas de interés, produciendo que la diferencia de tasas sea igual a cero (im = in
i = 0), es la condición más importante, porque en este caso, no se crean los ciclos económicos y la economía crece a su tasa de largo plazo (yd = y0
y), además, es igual a la tasa de interés real natural; así mismo, no se generan efectos sobre el ahorro y la inversión, por tanto hay estabilidad macroeconómica representada en el crecimiento potencial de la economía y en una inflación cero.

Se tiene el equilibrio como un punto de partida, pero es necesario analizar el desequilibrio, entendido como la diferencia entre las tasas de interés y como la causa principal de la aparición de los ciclos económicos. A continuación se exponen dos casos. En el primero (Ecuación 2), la tasa de interés de mercado es mayor a la tasa de interés natural, la brecha de tasas es positiva (im > in
i > 0), esto provoca un aumento del ahorro y la disminución de la inversión, lo cual desencadena un desequilibrio en el mercado de bienes y servicios, donde la demanda es menor a la oferta (
), lo cual tiene como resultado final la fase decreciente del ciclo económico, es decir, el PIB está decayendo y esto a la vez provoca un periodo de desinflación.

En el segundo caso (Ecuación 3), la tasa de interés naturales mayor a la de mercado, la brecha de las tasas de interés es negativa (im < in
i < 0) provocando la disminución del ahorro y el aumento de la inversión, esta diferencia entre el ahorro y la inversión causa un desequilibrio en el mercado de bienes y servicios, donde la demanda es mayor a la oferta (
), esto provoca un aumento del PIB y un aumento de la inflación; es decir, la económica está en una fase de crecimiento económico.

El análisis de Wicksell marca un cambio importante en la consideración tradicional del tipo de interés, así como un cambio en el pensamiento neoclásico. Según, las ideas deWicksell el Banco Central debe aumentar la tasa de interés de descuento (tasa de interés de mercado) en momentos de inflación y disminuirla en ocasiones de deflación, a modo de mantener la tasa de interés de mercado en línea con la tasa interés real natural, con el objetivo de colmar la brecha de tasas de interés (im – in) y así lograr la estabilidad de precios. En síntesis, la tasa de interés real natural (in) es el centro de gravedad de la dinámica de todo el sistema económico, en concordancia con ello, se utiliza como referente para fijar la tasa de interés de mercado y además, también influye en la relación entre el ahorro (S) y la inversión (I).
En efecto, Wicksell afirmaba que el problema central de la teoría monetaria consiste en explicar las variaciones en el nivel general de precios de los bienes y servicios, por lo cual, la idea más razonable no es estudiar la oferta y la demanda de dinero, como lo hacen otras escuelas, sino el análisis de la oferta y la demanda globales de bienes y servicios. (Díaz, Saiz, Gamir, Calvo, Galindo, 2003, pág. 18)3.
Para esto, Wicksell parte de la idea de que la oferta global se destina al consumo y al ahorro, mientras que la demanda global de la economía está conformada por el consumo y la inversión. Por tanto, el equilibrio entre estas variables, se produce cuando la totalidad de la renta no consumida (ahorro) se destine a la inversión, esto garantizará el proceso de crecimiento de la economía. Esta idea la podemos representar en un sencillo esquema:

Por consiguiente, la igualdad macroeconómica es equivalente al equilibrio en el mercado de bienes y servicios; es decir, según la hipótesis Wickselliana el valor de la producción es igual al ingreso. La tasa de interés es la que garantizará este equilibrio y a su vez estimula el nivel de actividad económica. La política monetaria afecta el sector real por medio de los canales de transmisión, éstos se pueden sinterizar en tres canales: el primero, el canal de la demanda agregada, por el cual un aumento de la tasa de interés disminuye la inversión y ésta provoca una reducción en la demanda agregada y como efecto final cae la inflación. El segundo, el canalde la tasa de cambio, donde un aumento en la tasa de interés aprecia la tasa de cambio, disminuye la inflación de las importaciones y disminuye la inflación general. La apreciación de la tasa de cambio, también disminuye la demanda agregada. El tercero, el canal de las expectativas, por medio del cual un aumento de la tasa de interés disminuye las expectativas de inflación (con expectativas racionales, las expectativas disminuyen porque, a través de todos los canales, disminuye la inflación) y el descenso en las expectativas de inflación disminuye la inflación misma (Gómez, 2006, pág. 2).
Por otro lado, se debe analizar los efectos de la política monetaria sobre las principales variables macroeconómicas, dado que se debe asegurar que al modificar la tasa de interés –de mercado, ésta cause efectos principalmente sobre el ahorro y la inversión. En este punto,se toca un debate al interior de la teoría macroeconómica, el cual hace referencia a la neutralidad del dinero en el corto plazo o, por el contrario, causa movimientos cíclicos, es decir, es no neutral. No obstante, la mayoría de los economistas admiten que los efectos a largo plazo del dinero recaen totalmente (o casi totalmente) sobre los precios, con un impacto muy limitado o nulo sobre las variables reales. La teoría cuantitativa del dinero (TCD) no se cumple en el corto plazo, por lo cual, la política monetaria puede afectar las variables reales, pero en el largo plazo se cumple la TCD y la política monetaria no tiene efecto, producto de las expectativas racionales, hecho demostrado por Friedman, 1968; Lucas, 1972 y 1973. En el análisis de la teoría monetaria Wicksell aceptó la TCD (al menos para el caso del dinero-oro y otras formas de ''outside Money'') aunque algunos neowicksellianos como Woodford la rechazan al proponer una teoría fiscal del nivel de precios (Posada y García, 2006, pág. 2). Por consiguiente, según Lucas (1995) ''la tensión entre dos ideas incompatibles, que las variaciones en el dinero son neutrales a largo plazo y que inducen movimientos en la producción y el empleo en la misma dirección a corto plazo, ha sido el centro de la teoría monetaria al menos desde los escritos de Hume''4.
Teniendo clara la discusión de la neutralidad del dinero, se puede postular que la variación en la tasa de interés puede tener un efecto directo sobre el ciclo económico a través de choques a la demanda agregada, siendo el canal directo que provoca las fluctuaciones del PIB en el corto plazo. No obstante, no solo Wicksell creía que la política monetaria por medio de sus herramientas (la tasa de interés, la masa monetaria, tipos de cambio fijo, entre otros) podía ocasionar efectos en la economía. Otras teorías económicas, como la teoría monetarista proponen que dados los efectos a corto y a largo plazo de las variaciones monetarias, estas causan fluctuaciones en el PIB. Así mismo, según Friedman (1968), se asume que el dinero5 es el factor clave que origina los movimientos cíclicos de la producción real y el empleo en torno a sus valores naturales6. Por tanto, Friedman (1968) sostiene que un uso discrecional de la política monetaria se convierte en el principal motivo de inestabilidad de la actividad económica real.
Otra teoría en la que se brinda gran importancia a la teoría monetaria como factor influyente en el ciclo económico, es la teoría austriaca del ciclo económico de Von Mises (1912), en ésta se supone una expansión del crédito, que surgirá a causa de una reducción en la tasa de interés de mercado (provoca un aumento en la masa monetaria) y se mantendría indefinidamente en el sistema fiduciario, hasta el punto en que se igualen el tipo de interés monetario y el natural. Mises explica este planteamiento brevemente: se supone que una disminución de los tipos de interés que cobran los bancos por sus créditos, hacen rentables las inversiones productivas a largo plazo de los empresarios, lo que aumenta el periodo de producción. En este caso, y en un primer momento, no existe un aumento paralelo del ahorro planeado por los agentes económicos, pero los inversores, dados los recursos financieros adicionales más baratos cedidos por los bancos, pueden trasladar recursos desde sectores de bienes de consumo a los de bienes de capital. Esto provoca una subida en los precios de aquellos bienes, generando el ''ahorro forzoso'' necesario para financiar la creación de bienes de capital.
Con respecto a lo anterior, los inversionistas tienen que conseguir créditos adicionales para financiar sus costes elevados. Si este proceso continúa, sin parar, como Wicksell sugirió, el resultado final sería una hiperinflación y un colapso del sistema monetario. Pero antes de que esto ocurra, según Mises, los bancos restaurarían la situación inicial, igualando las tasas de interés monetaria y natural, lo que produciría que se abandonaran los proyectos de inversión y que los recursos excedentes fuesen trasladados a otras partes de la economía. La teoría de Mises considera, pues, la expansión artificial del crédito como la responsable de los ciclos económicos y por tanto, éstos son un fenómeno monetario y financiero, causado en última instancia, por las diferencias entre las tasas de interés monetaria y natural, que hacen que la inversión supere al ahorro (Fernández, Rodríguez, Parejo, Calvo, Galindo, 2003, pág. 226-227).
En resumen, la política monetaria puede provocar efectos sobre el ciclo económico a través de los distintos canales de transmisión, dado que puede afectar variables reales como la inversión y por medio de ésta la demanda agregada. La idea de Wicksell es respaldada por las ideas de otras corrientes del pensamiento neoclásico. El control de la inflación juega un papel fundamental en la política económica y la política monetaria es la encargada de mantener el poder adquisitivo del dinero y estabilidad macroeconomía.
B. Revisión de las metodologías de estimación de la tasa de interés real natural
Las metodologías para calcular la tasa de interés real natural son variadas, algunos trabajos que han calculado la TIRN para el caso colombiano es el de Echavarría, Misas, López, Téllez, Parra, (2006) donde usan un modelo semi-estructural en el contexto de las metodologías desarrolladas por Laubach y Williams (2001) para los Estados Unidos y Mesonnier y Renne (2004) para Europa. En ésta se utiliza el algoritmo del filtro de Kalman7 para estimar variables no observadas como la TIRN y el producto potencial. Los autores modifican las ecuaciones para capturar adecuadamente las características de la economía colombiana. Otro trabajo,que estima la tasa de interés real natural para Colombia, es presentado por González, Melo, Rojas, Rojas (2010). En este trabajo se utilizan varios enfoques de estimación como: Modelos de componentes no observados, entre los que podemos encontrar modelos univariantes y modelos multivariantes. Entre los multivariantes tenemos: el filtro de Hodrick y Prescott, el filtro de Kalman (hallan la tendencia) y finalmente modelos semiestructurales como el algoritmo del filtro de Kalman.
Un trabajo destacado a nivel internacional es Fuentes y Gredig (2008) donde se muestra la existencia de diferentes metodologías y enfoques empíricos, para determinar el valor de la tasa de interés natural. Las metodologías utilizadas en el estudio se pueden agrupar en tres enfoques: el primero, la TIRN estimada en base a modelos teóricos. El segundo, la TIRN medida a partir de los precios de los activos financieros. El tercero, la TIRN estimada sobre la base de un modelo macroeconómico semi-estructural. En el primer enfoque, se muestran dos modelos. El primero es un modelo tradicional de consumo, con el cual estiman la tasa libre de riesgo para Chile. El segundo, se basa en la condición de paridad descubierta de tasas de interés en una economía pequeña y abierta. En el segundo enfoque se muestran dos modelos. En primer lugar, estiman la tasa de interés forward a mediano plazo que está implícita en los bonos indexados del Banco Central de Chile (Bomfim, 2001). En segundo lugar, se estima la tasa de interés implícita en un modelo espacio-estado que asume la existencia de una tasa estocástica común y una prima por riesgo entre los retornos de bonos nominales a corto y mediano plazo (Basdevant, 2004). Por último, en el tercer enfoque calculan la TIRN implícitamente en un modelo semiestructural con componentes no observados, utilizando el algoritmo del filtro de Kalman. Este método permite el cálculo conjunto de la TIRN y la brecha de producto (Laubach y Williams, 2003).
Otro trabajo destacado, es realizado por Muñoz y Tenorio (2007) del Banco Central de Costa Rica, en el cual, las metodologías propuestas son cuatro: la primera, estimación ad-hoc del nivel medio de la tasa de interés real ex ante en un periodo de inflación estable, la segunda, estimación de la TIRN por medio de la extracción de la tendencia de la tasa de interés real ex ante a través del Filtro de Hodrick y Prescott (FHP), la tercera, estimación de la TIRN según criterio de paridad descubierta de tasas de interés y la cuarta, estimación a través de un modelo semi-estructural que se obtiene por medio del algoritmo del filtro de Kalman.
II. La estimación de la tasa de interés real natural para Colombia8
A continuación se describen brevemente las dos metodologías utilizadas para realizar la estimación de la tasa de interés real natural. La primera de estas metodologías es la extracción de tendencia de la tasa de interés real ex ante, por medio del filtro de Hodrick y Prescott (FHP). El primer paso es obtener la tasa de interés real (TIR) y en el segundo paso se hace uso delFHP para obtener la tendencia de la serie de tiempo. El ajuste del filtro depende del parámetro de suavización lambda , en este siguiendo la metodología de Ravn y Uhlig (2001) se elige un valor de lambda9 7,8125 de forma anual, este valor recoge ciertas características particulares de la economía colombiana. De tal forma, que usando este método, la lambda trimestral será igual a 2000.
Como se mencionó anteriormente, se debe encontrar la TIR de la economía colombiana para lo cual se requiere las siguientes variables: DTF (se utiliza como una variable proxy de la tasa de interés real), IPC (variable que mide la inflación), esta propuesta se puede formalizar como se muestra en la ecuación. Esta primera base de datos comprende 96 observaciones trimestrales para el periodo 1986:1 hasta 2010:2. Las series utilizadas para esta estimación fueron obtenidas del Departamento Nacional de Estadísticas (DANE) y del Banco de la República10.

Luego, de obtener la serie de la TIR trimestral para el periodo 1986:1-2010:2 y teniendo en cuenta el parámetro de suavización, se procede a filtrar con Hodrick y Prescott11 y se obtiene una aproximación a la TIRN para nuestro país. Si bien este método tiene la ventaja de ser relativamente sencillo de aplicar y requiere solamente modelar la estructura de la serie, posee desventajas asociadas también a su sencillez. Según Laubach y Williams (2001) este método brinda buenas estimaciones en períodos de inflación estable y crecimiento del producto, pero es un mal estimador cuando la inflación cambia sustancialmente. Para verificar la pertinencia de la estimación podemos observar que la inflación para Colombia ha sido relativamente estable y con tendencia decreciente (Gráfico 1). En el periodo 1986-2010 se puede observar que no se da un periodo de grandes cambios, por lo cual este método puede ser una buena alternativa.
Ahora, en el gráfico 2 se muestran los resultados obtenidos mediante la primera metodología de estimación, en los cuales se puede observar el comportamiento de la tasa de interés real natural (TIRN)y la tasa de interés real (TIR) durante el periodo analizado. En el periodo de análisis se observa que la TIRN varía entre 2,83% y 3,91%, y se presenta un promedio de 3,41%.
La segunda metodología es el filtro de Kalman, por medio de la cual se encuentranvariables no observadas. La estimación se desarrolla mediante un algoritmo de optimización y un filtro de Kalman sobre una presentación estado-espacio, en el cual se presentan dos ecuaciones, la ecuación de medida y una ecuación de transición. El modelo12 toma como referencia la estrategia diseñada por Laubach y Williams (2001) y por Mesonnier y Renne (2004) para estimar la TIRN. Se suponen las leyes de movimientos de la economía trazadas por Ramsey (1928) para el estado estacionario. La curva IS sigue el supuesto de Rudebusch y Svensson (1998), mientras que la curva de Phillips es la manejada en la literatura sobre la tasa natural de desempleo. La regla de política monetaria está implícita en las ecuaciones. El modelo teórico diseñado está reformado para hacerlo compactible con una economía pequeña, perturbada por la dinámica de la economía mundial y por los términos de intercambio, cuya inflación depende en parte de los precios internacionales de los bienes importados y de la tasa de cambio.
En el modelo se suponen 4 shocks
independientes y normalmente distribuidos con la siguiente matriz de varianza-covarianza:

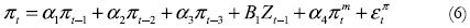
Se inicia el diseño del modelo con la definición de la TIRN como una variable no observada. Para poder identificar econométricamente los determinantes de esta variable no observada se definen dos ecuaciones: una curva Phillips (Ecuación6), y una curva IS, (Ecuación7). Para el caso colombiano, se parte de una ecuación de oferta agregada o curva de Phillips donde la dinámica de la inflación (sin alimentos) (π1), se determina por los excesos de demanda, capturados a través del rezago de orden uno de la brecha del producto (zt–1) y una inercia inflacionaria considerada por medio de los primeros rezagos de la inflación, también, un efecto pass-through medido a través de la inflación de bienes importados (πtm) y un error serialmente no correlacionado (εtπ). La ecuación corresponde a una curva de Phillips.

En la ecuación (7) se presenta una forma reducida de la curva IS indicando que existe una relación directa entre la brecha de tasas de interés y el producto. Más detalladamente, Woodford (2003) muestra que en este modelo la inflación, la brecha del producto y la tasa nominal de interés dependen solo de la brecha de la tasa de interés (en el presente y a futuro). La IS está determinada por un proceso autorregresivo de orden dos, por los dos primeros rezagos de la brecha de la tasa de interés
, por el crecimiento del grupo de países del G7(ΔYtG7), el primer rezago del crecimiento de los términos de intercambio (Δtit-1) de Colombia y un error no correlacionado serialmente (εtz). La autoridad monetaria alcanza el control de la inflación con un rezago de 3 periodos en la IS especificado en la ecuación (7).

La TIRN se identifica a partir de la brecha de la tasa de interés. La tasa de interés real natural sigue un proceso autorregresivo (Ecuación 8). También se presenta la dinámica del crecimiento del producto potencial (Ecuación 9). Se supone que la TIRN comparte fluctuaciones con el crecimiento del producto potencial, expresados en este caso por (αt).

Según Mesonnier y Renne (2004), se puede fraccionar el crecimiento del producto potencial, (ΔYt*)en movimientos de alta y baja frecuencia (solo los últimos están relacionados con la TIRN). El proceso autorregresivo (αt) en la ecuación (10) se captura las variaciones de baja frecuencia del crecimiento del producto potencial. Una explicación del comportamiento conjunto de la tasa de interés real natural y el producto potencial se encuentra en el modelo estándar de crecimiento de Ramsey. A lo largo de la senda de crecimiento balaceado se obtiene que (γt* = ρ + θa1), siendo (αt) la tasa de crecimiento de la productividad (coincide con la tasa de crecimiento del producto percápita). La ecuación (11) define la brecha del producto como la diferencia entre el producto observado y su potencial.

Para calcular la TIRN se necesitan seis variables observadas: el producto interno bruto real, la inflación (sin alimentos), la inflación de bienes importados, el producto real de los países del G7, los términos de intercambio de la economía colombiana y la tasa de interés nominal. La base de datos representa 60 observaciones trimestrales a partir del primer trimestre de 1995 hasta el cuarto trimestre de 2009. Las series de tiempo utilizadas para la estimación fueron obtenidas del Departamento Administrativo Nacional de Estadística (DANE), del Banco de la República y de la OECD13. La estimación permite obtener los siguientes resultados:
donde se presenta la TIRN y la TIR. En el periodo de análisis la TIRN varía entre 2,21% y 4,24% y se presenta un promedio de 3,44% (Gráfico 3).
III. La política monetaria y sus efectos sobre los ciclos económicos en Colombia14
Al analizar la política monetaria, se debe tener en cuenta un factor importante como la efectividad de las medidas tomadas por el Banco Central; es decir, es fundamental para la política monetaria que las directrices impartidas por el Banco Central por medio de algunos mecanismos (tasa de interés) tengan efectos en la economía. La intención de este trabajo no es analizar la efectividad de la política monetaria, dado que se supone con antelación que la política monetaria genera efectos sobre la economía colombiana, para mayor información al respecto ver (Betancourt, Misas y Bonilla, 2011). Los efectos de la política monetaria a la economía se transmiten por medio de canales de transmisión como: el consumo (Iregui, Melo, 2011), la inversión (Botero, Ramírez, Gutiérrez, 2011), los bienes durables (Gómez, Mahadeva, Rhenals, 2011), la tasa de cambio (Parra, 2011) y (González, Rincón, Rodríguez, 2011) y las expectativas.
Los canales de transmisión15 son las fases o caminos que siguen la política monetaria desde la modificación de las tasas de interés por parte del Banco Central hasta sus efectos sobre el PIB y la inflación. Por consiguiente, la política monetaria por medio de las tasas de interés ocasiona variaciones en los niveles de inversión, ahorro, tasa de cambio, expectativas. Según el mecanismo de transmisión se afectan una serie de variables en la economía y finalmente se provocan variaciones en el PIB y la inflación.
De esta forma, se justifica claramente una política monetaria activa: su papel consistirá en acelerar el ajuste de la tasa de interés de mercado a la tasa de interés natural. Una política monetaria bien orientada puede jugar un papel estabilizador y evitar el desarrollo de fluctuaciones cíclicas, que según Wicksell los desajustes monetarios son la causa principal. Pero hay que aceptar, como reconoce el propio Wicksell, la dificultad de la puesta en práctica de la política monetaria. La tasade interés natural, en efecto, no se refleja ni se puede observar en el mercado, y hacen falta desajustes considerables (entre el rendimiento esperado de las inversiones y el tipo de interés) para que tales diferencias se hagan visibles.
Por tanto, el análisis se centrará en el seguimiento de las tasas de interés y especialmente en su diferencia, la cual se denomina ''la brecha'' (im – in) y su influencia en la brecha del PIB16
.
Analizar el impacto de la brecha de tasas de interés sobre la brecha del PIB, permite considerar que tanto puede incidir un choque monetario en acercar o alejar a la economía de su producción de largo plazo, es decir, la brecha puede ser una forma de medir los efectos de un choque monetario en la frontera de posibilidades de producción de la economía. Además, Lucas (1977) precisó el ciclo económico como ''los movimientos en torno a la tendencia del producto nacional bruto'', donde las regularidades empíricas del ciclo económico se podrían suponer como ''los movimientos comunes de las desviaciones, con respecto a una tendencia, de las distintas series temporales agregadas''. Por lo cual, las desviaciones entre el PIB real y el PIB potencial muestran el ciclo económico. En el Gráfico 4, se puede observar el comportamiento de las brecha,se supone que la brecha es la que influye en el comportamiento de la economía.
Con el objetivo de investigar el impacto de las brechas sobre la brecha del PIB, se realizan dos ejercicios. El primero de carácter empírico, en donde se analiza la relación de las brechas de tasa de interés contra la brecha del PIB. El segundo de carácter econométrico por medio de un análisis VAR17. El ejercicio empírico arroja el siguiente resultado:
Empíricamente se evidencia una clara relación entre las brechas de la tasa de interés y el comportamiento de la brecha del PIB. Hecho que se puede demostrar, dado que en el ejercicio práctico de los 10 periodos comparados, en 9 se logra demostrar una relación según la teoría, la cual dice, si la brecha es positiva,
la economía se encuentra en una fase de caída. Así mismo, si la brecha es negativa,
la economía se encontrará en una fase de auge. Únicamente se presenta un problema en el periodo2006:1-2008:3, donde el resultado va en contra de lo antes expuesto. En síntesis, el ejercicio empírico da como resultado una relación entre las brecha de tasas de interés y la brecha del PIB. Ahora, para confirmar esta relación se recurre alanálisis econométrico, por medio del cual se plantea un modeloVAR estructural que permita medir estos efectos:

Donde yt hace referencia a la brecha del PIB, xt es la brecha de tasas de interés, bij parámetros de la matriz A, γij parámetros de la matriz B y εt son los términos de error. Para la formalización del modelo, se tiene en cuenta que la brecha tiene un efecto inmediato sobre el PIB y el efecto del PIB sobre la brecha es de largo plazo. Esta propuesta está fundamentada en que la política económica causa efectos en la economía, idea que cimienta la intervención del Banco Central en la economía.
Por consiguiente, el modelo muestra como resultado las funciones de impulsorespuesta donde se observan los efectos que ejerce (xt) sobre (yt) en el primer trimestre18. Los resultados arrojados por el modelo con la brecha del filtro de Hodrick y Prescott, evidencian que ante un choque (xt) de 0,099619 puntos porcentuales sobre (yt) se tiene un efecto de -0,03718 puntos porcentuales, efecto que persiste alrededor de 7 trimestres. Por su parte, el modelo con la brecha obtenida por medio del filtro de Kalman, muestra que ante un choque (xt) de 0,100420 puntos porcentuales sobre (yt) se evidencia un efecto de -0,023514 puntos porcentuales, efecto que persiste por alrededor de 9 trimestres. Adicionalmente, se utiliza un choque común en la literatura cuando se trabaja con modelos VAR de 25 puntos porcentuales en los dos modelos. Los resultados de la estimación H-P muestran que (yt) responde en -0,000933 puntos porcentuales (es decir, la brecha del PIB sería de -0,093%). Así mismo, los resultados de Kalman muestran que (yt) responde en -0,000586 puntos porcentuales, es decir, la brecha del PIB sería de -0,059%. (Para mayor detalle ver anexo 2).
Los resultados ratifican lo expuesto por medio del ejercicio empírico, se presenta una relación entre la brecha de tasas de interés y la brecha del PIB. Las funciones de impulso-respuesta muestran la magnitud de la transmisión de los choques, por ejemplo, ante un choque de política monetaria de 25 puntos porcentuales se genera como mínimo un efecto en la brecha del PIB de 0,001519 puntos porcentuales, efecto que persiste por varios periodos. Esto es una muestra de que los cambios de política monetaria causan un impacto de magnitud considerable en la economía colombiana. Por lo tanto, son un esquema válido para explicar los fenómenos cíclicos, esto fortalece el papel y el manejo de la política monetaria.
Conclusiones
En la investigación se efectuó una estimación de la tasa de interés real natural para la economía colombiana, los cálculos se realizaron por medio del filtro de Hodrick-Prescott y filtro de Kalman, los cuales arrojan un promedio de 3,41y 3,44 respectivamente para los periodos analizados. Los resultados obtenidos son coherentes con el trabajo de Echavarría, Misas, Téllez y Parra (2006), además el promedio obtenido encaja, con el valor que se espera para la tasa de interés natural de la economía colombiana de alrededor del 3%. Dado quela política monetaria tiene efectos sobre el ciclo económico en el corto plazo, como lo muestra la literatura, se intenta comprobar esta relación para el caso colombiano, basados en la idea de Wicksell, el cual plantea que la brecha entre las tasas de interés (im – in) provoca efectos sobre el ciclo económico.
Es importante indicar que no se compararon las técnicas de Hodrick y Prescott y el filtro de Kalman que se emplearon para la estimación de la tasa de interés real natural; sin embargo, observamos que los resultados obtenidos con estas dos técnicas son consistentes y el valor promedio obtenido para la TIR es consistente con las decisiones de política del Banco de la República.
Para esto se formulan dos ejercicios, el primero de carácter empírico y el segundo una formulación de un modelo VAR. En los dos ejercicios se realiza un contraste igual, se comparan dos variables (brecha del PIB) y (la brecha de la tasa de interés). En el ejercicio empírico se formulan 10 periodos, de los cuales en 9 periodos, se puede evidenciar una relación entre las dos variables de acuerdo a la teoría, se muestra que si la brecha es positiva,
la economía se encuentra en una fase de caída y si la brecha es negativa,
la economía se encuentra en una fase de auge. Por tanto, se tiene un hallazgo empírico, que fortalece el planteamiento teórico sobre los efectos de la política monetaria en el ciclo económico. En el ejercicio econométrico, la formulación VAR permite realizar varios choques monetarios, los cuales causan efectos en la brecha del PIB, los efectos son de magnitud considerable, por ejemplo, se halla que ante un choque de política monetaria de 25 puntos porcentuales se genera como mínimo un efecto en la brecha del PIB de 0,001519 puntos porcentuales. Los resultados muestran que la brecha de la tasa de interés tiene efectos considerables sobre el ciclo económico, que persisten por alrededor de 7 a 9 trimestres, fenómeno que se puede explicar por las distintas fases (mecanismos de transmisión) que debe atravesar la política monetaria para tener efectos sobre las variables reales. Estos resultados son congruentes con el periodo que estima el Banco de la República para que la política monetaria tenga efecto en nuestro país.
Además, esta investigación es un aporte al trabajo de Echavarría, Misas, Téllez y Parra (2006), dado que utilizando una técnica similar, se obtiene una actualización de los cálculos y una estimación consistente sin ningún periodo en el cual la TIRN sea negativa. Pero en ningún momento se intenta comparar los resultados de los dos trabajos.
Por consiguiente, la política monetaria afecta el PIB, pero se debe tener en cuenta que la magnitud del impacto es difícil de estimar. Al mismo tiempo, decir que los ciclos económicos, son solo producto de la política monetaria, es dejar de lado un sin número de variables que afectan a la economía.En síntesis, se demostró que la brecha de la tasa de interés afecta el ciclo económico colombiano. Por lo tanto, las ideas de Wicksell son un esquema válido para explicar el ciclo económico de nuestro país.
Referencias bibliográficas
Basdevant, O., Et al. (2004). ''Estimating a Time Varying Neutral Real Interest Rate for New Zealand''. Discussion Paper Series 2004/01, Reserve Bank of New Zealand. [ Links ]
Bernanke, B., Et al,(1999) Inflation Targeting: Lessons from the international Experience, Princeton, Princenton University Press. [ Links ]
Betancourt, R; Et al. (2011). El traspaso de las tasas de interés en Colombia: un enfoque multivariado con cambio de régimen. Mecanismos de transmisión de la política monetaria en Colombia. Capítulo 3, pp. 173-209. [ Links ]
Botero, J. Et al. (2011). La transmisión de la política monetaria en Colombia: la inversión. Mecanismos de transmisión de la política monetaria en Colombia. Capítulo 8, pp. 405-461. [ Links ]
Blinder, A. (1997). A core of Macroeconomic Beliefs, Challenge, July-August, pp. 36-44. [ Links ]
Blinder, A. (1998). Central Banking in Theory and Practice. Cambridge, MA, MIT Press. [ Links ]
Bomfim, A. (2001). ''Measuring Equilibrium Real Interest Rates: What Can We Learn from Yields on Indexed Bonds?''. Federal Reserve Board of Governors. Finance and Economics Discussion Series 53, November 2001. [ Links ]
Cochrane, J. (2001). Asset Pricing. Princeton, NJ, EE.UU.Princeton University Press. [ Links ]
Diaz F. Et al, (2003). Política Monetaria. II Enfoques Alternativos. Thomson Editores Spain. [ Links ]
Echavarria, J. Et Al. (2006). ''La tasa de interés natural en Colombia''. Borradores de Economía, No. 412. Banco de la República. [ Links ]
Friedman, M. (1968). ''The role of monetary policy''. American Economic Review. No. 58, pp. 1-17. [ Links ]
Fuentes, S. y Gredig, U. (2008). ''La tasa de interés neutral: estimaciones para Chile''. Gerencia de Investigación Económica. Volumen 11, No. 2. Banco Central de Chile. Agosto 2008. [ Links ]
Gómez, J. (2006). ''La Política Monetaria en Colombia''. Borradores de Economía, No. 394. Banco de la República, Abril, 2006. [ Links ]
Gómez, W; Et Al. (2011). ''Una estimación del papel de los bienes durables en la transmisión de la política monetaria en Colombia''. Mecanismos de transmisión de la política monetaria en Colombia. Capítulo 6, pp. 297-347. [ Links ]
González, A., Et al,(2011). ''La transmisión de los choques a la tasa de cambio sobre la inflación de los bienes importados en presencia de asimetrías''. Mecanismos de transmisión de la política monetaria en Colombia. Capítulo 10, pp. 507-553. [ Links ]
González, E.; Et Al. (2010). ''Estimations of the interest in Colombia''. Borradores de Economía. No. 625 Banco de la República. [ Links ]
Hodrick, R; And Prescott, E.(1997).''Postwar U.S. Business Cycles: An Empirical Investigation''. Journal of Money, Credit and Banking, Vol. 29, No. 1, pp. 1-16. [ Links ]
Iregui, A. Y Melo, L. (2011). ''La transmisión de la política monetaria sobre el consumo en presencia de restricciones de liquidez''. Mecanismos de transmisión de la política monetaria en Colombia. Capítulo 5, pp. 247-295. [ Links ]
Laubach, T. And Williams, J. (2001). ''Measuring the Natural Rate of Interest''. Finance and Economics Discussion Series.Working Paper, No. 2001-56. Federal Reserve Bank. [ Links ]
Laubach, T. & J. Williams (2003). ''Measuring the Natural Rate of Interest.'' Review of Economics and Statistics, No. 85(4): 1063-70. [ Links ]
Lucas, R. (1972). ''Expectations and the Neutrality of Money''. Journal of Economic Theory, No. 4, pp. 103-124. [ Links ]
Lucas, R.(1977). ''Understanding business cycles''. Carnegie- Rochester Conference Series in Public Policy, 5, pp. 7-29. [ Links ]
Mccallum, T. (2001). ''Monetary Policy Analysis in Models without Money''. Federal Reserve Bank of St. Louis Review, 83 (4), pp. 145-159. [ Links ]
Mesonnier, S. y Renne, J. (2004) ''A Time-Varying ''Natural''. Rate of Interest for the Euro Area.'' Banque de France, WorkingPaper, No. 115. [ Links ]
Muñoz, E. y Tenorio, E. (2007).''Estimación de la tasa de interes real neutral para la economía costarricense (1991-2006)''. Banco Central de Costa Rica. División Económica. Departamento de investigación. Documento de Investigacion. DIE-04-2007-DI, Noviembre, 2007. [ Links ]
Parra, J. (2011). ''Sensibilidad del IPC a la tasa de cambio en Colombia: una medición de largo plazo.'' Mecanismos de transmisión de la política monetaria en Colombia. Capítulo 9, pp. 463-553. [ Links ]
Posada, C. y Garcia, A. (2006). ''¿No importa la cantidad de dinero?: ''Inflation Targeting'' y la teoría cuantitativa''. Borradores de Economía, No. 403. Banco de la República. Septiembre de 2006. [ Links ]
Ravnr, M. y Uhlig, H. (2001). ''On Adjusting de HP Filter for the Frequency of Observations''. Center for Economic Studies & Ifo Institute for Economic Research, CESifo Working paper, No. 479. [ Links ]
Romer, D. (2000). ''Keynesian Macroeconomics without the LM Curve''. Journal of Economic Perspectives, 14 (2), pp. 149-169. [ Links ]
Taylor, J. (1999a). A Historical Analysis of Monetary Policy Rules. Chicago and London, the University of Chicago Press, pp. 319-341. [ Links ]
Taylor, J. (1999). Monetary Policy Rules. Chicago and London. The University of Chicago Press, 1999. [ Links ]
Valderrama, F. (1997). ''Trimestralización del Producto Interno Bruto por el lado de la oferta''. Archivos de macroeconomía, No. 54. Departamento Nacional de Planeación. Unidad deAnálisis Macroeconómico, febrero. [ Links ]
Von Mises, L. ([1912] 1953). The Theory of Money and Credit. New Haven, Conn: Yale University Press. [ Links ]
Wicksell, K. (1898). Interest and Prices: A Study of the Causes Regulating the Value of Money. Traducido por R. F. Kahn. New York, Augustus M. Kelley, 1965. [ Links ]
Woodford, M. (2003). Interest and Prices: Foundations of a Theory of Monetary Policy. Princeton, NJ, Princeton UniversityPress. [ Links ]
Anexos
Parámetros del modelo
Los parámetros utilizados en la estimación tiene como base en el trabajo de Echavarría, Misas, Téllez, Parra, 2006. Los valores o parámetros estructurales son producto de estimaciones personales.
Se presentan los resultados de las funciones impulso-respuesta en tablas.
NOTAS
* Artículo derivado de la investigación: Integración latinoamericana: sincronización de los ciclos económicos.
1 Tomado de Echavarría, Misas, López, Parra y Téllez (2006) pág. 3.
2 Según Posada y García, (2006). ''Knut Wicksell, el precursor, a juicio de algunos, de la teoría que serviría de base de la ''inflation targeting'', pág. 2.
3 Política monetaria. II enfoques alternativos.
4 Discurso pronunciado por Lucas, con ocasión de la entrega del Premio Nobel de Economía de 1995.
5 Dinero: Es todo medio de intercambio común y generalmente aceptado por una sociedad que es usado para el pago de bienes (mercancías), servicios y de cualquier tipo de obligaciones (deudas). Además, para que algo sea aceptado como dinero deber reunir tres características: medio de intercambio, unidad contable y conservación de valor.
6 Los valores naturales son los valores que se presentan cuando se está en equilibrio, es decir la tasa de interés natural es igual a la tasa de interés de mercado, por lo cual son valores de largo plazo.
7 El filtro de Kalman es un algoritmo desarrollado por Rudolf E. Kalman en 1960 que sirve para poder identificar el estado oculto (no medible) de un sistema dinámico lineal al igual que el observador de Luenberger, pero sirve además cuando el sistema está sometido a ruido blanco aditivo. La diferencia entre ambos es que el observador de Luenberger, la ganancia K de realimentación del error debe ser elegida ''a mano'', mientras que el filtro de Kalman es capaz de escogerla de forma óptima cuando se conocen las varianzas de los ruidos que afectan al sistema.
8 Los datos se desestacionalizaron por medio del Census X-12, provisto en Eviews 6.
9 El valor de la lambda es resultado de estimaciones realizadas por el grupo de estudios regionales en el proyecto ''ciclos económicos y sincronización de las economías latinoamericanas''.
10 Las direcciones electrónicas donde se obtuvieron los datos son: Banco de la República www.banrep.gov y DANE www.dane.gov.co.
11 El filtro de Hodrick-Prescott es un método para extraer el componente secular o tendencial de una serie temporal, propuesto en 1980 por Robert J. Hodrick y Edward C. Prescott. Descompone la serie observada en dos componentes, uno tendencial y otro cíclico. El ajuste de sensibilidad de la tendencia a las fluctuaciones a corto plazo es obtenido modificando un multiplicador λ. Es actualmente una de las técnicas más ampliamente utilizadas en las investigaciones sobre ciclos económicos para calcular la tendencia de las series de tiempo, pues brinda resultados más consistentes con los datos observados que otros métodos.
12 Se toma como referente el modelo planteado por Echavarría, López, Misas, Téllez y Parra (2006).
13 La direcciones electrónicas donde se obtuvieron los datos son: Banco de la República www.banrep.gov.co; DANE www.dane.gov.co; OECD www.oecd.org.
14 Los cálculos se realizarán con la primera estimación la extracción de tendencia de la tasa de interés real ex ante, con el filtro de H-P y tercera estimación el filtro de Kalman, debido a tener un periodo más extenso de análisis. La segunda estimación no se utilizará y se dejará como una referencia. Todos los cálculos realizados se hacen por medio de Eviews 6.
15 Una breve explicación sobre algunos mecanismos o canales de transmisión de la política monetaria: Primero, el canal de la demanda agregada por medio del cual un aumento de la tasas de interés disminuye la demanda agregada y disminuye la inflación. Segundo, el de tasa de cambio por medio del cual un aumento de la tasa de interés aprecia la tasa de cambio, disminuye la inflación de importaciones y disminuye la inflación general. La apreciación de la tasa de cambio también disminuye la demanda agregada. Y tercero, el canal de expectativas por medio del cual un aumento de la tasa de interés disminuye las expectativas de inflación (con expectativas racionales las expectativas disminuyen porque, a través de todos los canales, disminuye la inflación misma) y el descenso en las expectativas de inflación disminuye la inflación misma.
16 El PIB está a precios constantes del 2000. El periodo se completó realizando un empalme hacia atrás, con datos del DANE y con datos obtenidos del trabajo de Valderrama (1997). Se utiliza la brecha del PIB (PIB real - PIB potencial).
17 El VAR estructural no se usa para comparar metodologías, sino para efectos de medir los choques de política.
18 Los efectos mostrados son efectos inmediatos, adicionalmente en la gráfica y las tablas de impulsorespuesta se observan los efectos en los siguientes trimestres. Se observan los efectos son más fuertes entre los trimestres tres y cuatro.
19 Este valor es un resultado del planteamiento del modelo VAR con Hodrick-Prescott donde la constante es de C(1) = 0,099690.
20 Este valor es un resultado del planteamiento del modelo VAR con Kalman donde la constante arroja un valor de C(1) = 0,100459.























