Services on Demand
Journal
Article
Indicators
-
Cited by SciELO -
Access statistics
Related links
-
Cited by Google -
Similars in
SciELO -
Similars in Google
Share
Revista Gerencia y Políticas de Salud
Print version ISSN 1657-7027
Rev. Gerenc. Polit. Salud vol.7 no.15 Bogotá July/Dec. 2008
La evaluación económica y el diagnóstico de la tuberculosis extrapulmonar
The economic evaluation and diagnostic of extrapulmonary tuberculosis
A avaliação econômica e o diagnóstico da tuberculose extrapulmonar
Fecha de recepción: 18-07-08 Fecha de aceptación: 26-09-08
Johanna Vásquez Velásquez**
Helena del Corral Londoño***
* Este artículo es resultado de la investigación "Costo efectividad de dos intervenciones diagnósticas que utilizan técnicas de biología molecular en un programa de prevención y control de la tuberculosis". Hace parte de la línea de investigación en evaluación económica del Grupo de Economía de la Salud y fue financiada por el Comité para el Desarrollo de la Investigación (CODI) de la Universidad de Antioquia, convocatoria septiembre 11 de 2002. El proyecto se ejecutó en 24 meses y fue coordinado por el Centro de Investigaciones y Consultorías y el Centro de Investigación Escuela de Bacteriología y Laboratorio Clínico.
** Magíster en Economía de la Salud, Centro de Investigaciones y Docencia Económicas (CIDE) - México, y economista de la Universidad de Antioquia. Docente investigador de la Facultad de Ciencias Económicas, Grupo de Econometría Aplicada. Universidad de Antioquia. Correo electrónico: jovasve@udea.edu.co
*** Magíster en Salud Pública de Enfermedades Tropicales, Harvard University. Bióloga, Lawrence University, L.U. Estudiante del Doctorado en Epidemiología, Facultad Nacional de Salud Pública, Universidad de Antioquia, Escuela de Microbiología, Grupo de Microbiología Molecular y Grupo de Economía de la Salud GES.
Resumen
Debido a que los recursos son escasos y las alternativas de asignación rivales, la comparación de costos y consecuencias de métodos tradicionales con estrategias rápidas para el diagnóstico de la tuberculosis extrapulmonar en un programa de control de tuberculosis, facilitaría la toma de decisiones informadas usando criterios de eficiencia y equidad. Este documento describe los elementos claves de una evaluación económica, muestra el árbol de decisiones para el diagnóstico de formas extra pulmonares, describe los insumos para el cálculo de costos y expone las limitaciones y retos de la investigación en evaluación económica para la detección temprana de patologías de interés en salud pública.
Palabras clave: tuberculosis, diagnóstico, reacción en cadena de la polimerasa, economía de la salud, costo efectividad, salud pública.
Palabras clave descriptor: mycobacterium tuberculosis, salud pública, costos de la atención en salud.
Abstract
Given that public health resources are limited and alternatives rival, a comparison in terms of costs and consequences, of conventional versus newer and faster diagnostic strategies for extrapulmonary tuberculosis (TB) diagnosis within a TB control program, is expected to aid informed decision making based on efficiency and equity criteria. This paper describes key elements for economical evaluation, shows a decision tree for extrapulmonary TB diagnosis in a TB endemic country, and describes necessary items for cost estimation. Shortcomings and challenges of research on economic evaluation of early detection of diseases of public health interest are discussed.
Key words: mycobacterium tuberculosis, diagnosis, polymerase chain reaction, health economics, cost-benefit analysis, health public.
Key words plus: mycobacterium tuberculosis, public health, health care costs
Introducción
El análisis económico identifica y hace explícito un grupo de criterios que pueden ser útiles para decidir entre los diferentes usos que pueden darse a los recursos escasos. Estas características a su vez, permiten definir la evaluación económica como el análisis de las alternativas de acción con dichos recursos; donde las tareas básicas son: identificar, medir, valorar y comparar los costos y las consecuencias de las alternativas que serán consideradas [1]. En este sentido, se presenta una aproximación teórica de la aplicación de la evaluación económica en procedimientos de diagnóstico como un método de análisis de decisión que permite comparar los costos y los efectos en el sector salud.
Específicamente, se plantea una descripción de los métodos microbiológicos tradicionales y métodos moleculares rápidos para el diagnóstico de la tuberculosis (TB) extrapulmonar, donde los resultados en salud cambian de acuerdo a la alternativa estudiada y donde la medición de costos depende del punto de vista desde el cual se realiza el análisis. Básicamente, se plantea una comparación entre el diagnóstico utilizando la Reacción en Cadena de la Polimerasa (PCR) y la tinción de Ziehl Nielsen y cultivo en Lowenstein Jensen a partir de: tejido, orina u otros fluidos corporales, siendo estas últimas consideradas como las técnicas tradicionales.
En el documento se desarrollan cinco ítems; el primero describe la naturaleza clínica de las alternativas propuestas y las tradicionales para el control de la tuberculosis y se plantea el marco teórico desde la economía para llevar a cabo una evaluación económica completa. En el segundo, se explica la metodología propuesta en la literatura para lograr la comparación de alternativas en procedimientos de diagnóstico. En el tercero se presentan las alternativas de manera extensiva y como matriz de pagos, además de describir los protocolos y costos de las alternativas. Finalmente, se presentan la discusión y conclusiones.
Planteamiento del problema
Magnitud del problema de la tuberculosis
En las Américas, la tuberculosis es responsable del 1% de todas las muertes y sigue siendo una de las principales amenazas para la salud pública de la región, generando más de 200.000 nuevos casos y 50.000 defunciones cada año, la gran mayoría de las cuales se dan en personas en las edades de mayor productividad económica [2]. En Colombia, la tuberculosis también constituye un problema de salud pública, y a pesar de que en este país también se dispone de todos los medios preventivos para evitar su incremento, cada año se diagnostican alrededor de 10.000 casos nuevos [3]. Entre 1970 y 1993 la TB presentó una tendencia descendente, pero a partir de 1995, volvió a aumentar, llegando a tasas superiores a 28 por 100.000 habitantes [4]. En 1998, se reportó una incidencia de 22,5 por 100.000 casos de TB, entre los cuales 76,1% eran bacilíferos y 9,4% negativos a la detección con microscopía, por tratarse de formas extrapulmonares [5].
Al infectarse con el M.tuberculosis cada persona adquiere un riesgo del 10% de padecer la enfermedad en algún momento de su vida. Estos riesgos aumentan notablemente cuando la persona tiene coinfección con el VIH o sufre procesos de inmunosupresión por cualquier otra razón [6]. Para el 2005 la tasa de prevalencia de la tuberculosis (todas las formas) fue de 66 por 100.000 habitantes, cifra igual a la alcanzada en el 2000 [7].
Siguiendo la guía de atención de la tuberculosis pulmonar y extrapulmonar -resolución 00412 del 2000- las pruebas de diagnóstico en Colombia son eminentemente bacteriológicas y no se debe iniciar tratamiento sin haber realizado una comprobación de la enfermedad mediante baciloscopia o cultivo [8]. En el país, se realizan en promedio 2,5 baciloscopias por persona sintomática respiratoria para llegar a una conclusión sobre el diagnóstico de la TB; la sensibilidad de la primera baciloscopia está alrededor del 65% - 75%, la segunda del 15% - 30% y la tercera del 5% - 10% [8]. Los pacientes con resultados positivos comienzan el tratamiento acortado supervisado que incluye los medicamentos adscritos al Plan Obligatorio de Salud referentes a los programas especiales -Acuerdo 228 de 2003 [9] -. Una vez se inicia el tratamiento el paciente puede terminarlo o no con resultados como seguir enfermo, curarse o morir.
Métodos de diagnóstico de la tuberculosis
Debido a la lentitud de crecimiento del bacilo en medios de cultivo (6 a 8 semanas) y al hecho de que la gran mayoría de las formas extrapulmonares al igual que la TB infantil, son poco bacilíferas (paucibacilares) y por lo tanto negativas al extendido para visualización microscópica, generalmente estas son tratadas con base en la sospecha clínica pues no pueden ser confirmadas oportunamente. El diagnóstico de la tuberculosis infantil también presenta dificultades, no solo por la baja proporción con que se logra el aislamiento del bacilo, sino por la gran variedad de manifestaciones de la enfermedad y la no especificidad que las caracteriza [8].
Las formas extrapulmonares de la enfermedad incluyen la TB pleural, meníngea, pericárdica y otras formas que habitualmente son de mayor gravedad que la TB pulmonar. Aunque las formas extrapulmonares no se consideran importantes en la transmisión de la TB por ser poco bacilíferas, estas formas y las pediátricas representan un problema de importancia en salud pública ya que generan la mayor parte de las muertes, producen altos costos sociales, secuelas y discapacidad, al igual que procedimientos de alto costo, mayores costos institucionales y de hospitalización.
Las dificultades descritas para lograr la confirmación bacteriológica de las formas pediátricas, y en general las formas extrapulmonares de la TB, son importantes porque los retrasos en el diagnóstico de estas formas contribuyen a la morbimortalidad por tuberculosis al impedir que se pueda ofrecer un tratamiento oportuno y efectivo [10]. Por esto, se hace necesario encontrar alternativas de diagnóstico más rápidas y eficientes que permitan controlar las muertes evitables. Las alternativas de apoyo diagnóstico para la confirmación de la tuberculosis extrapulmonar son eminentemente bacteriológicas y, aunque en algunas situaciones hay que hacerlo, no se recomienda iniciar tratamiento sin haber realizado dicha comprobación. Idealmente, el diagnóstico se comprueba con cultivo de secreción o biopsia del tejido afectado [8]
Ahora, dadas las dificultades que presentan las muestras de origen extrapulmonar y aquellas obtenidas de niños, la reacción en cadena de la polimerasa o PCR, como técnica de biología molecular, se constituye en una técnica sensible para el diagnóstico rápido de los casos de tuberculosis extrapulmonar y pediátrica en la ciudad de Medellín.
La prueba de PCR para detección de M.tuberculosis, existe en el comercio desde hace varios años y aquella que ha sido comercializada más ampliamente en Colombia hasta ahora, la PCR Amplicor de ROCHE, ya fue aprobada por la Food and Drug Administration (FDA) de los Estados Unidos para el diagnóstico de TB pulmonar. Sin embargo, dicha prueba no ha sido aprobada por la FDA para el diagnóstico de las formas extrapulmonares de TB ni las pulmonares habitualmente negativas a la baciloscopia, pues se considera que no hay suficiente evidencia sobre su valor diagnóstico en estos casos. En Colombia, como en muchas otras partes del mundo, se han hecho evaluaciones clínicas, más no económicas, de pruebas de PCR para el diagnóstico de la TB. Estas evaluaciones demuestran las bondades de la técnica en términos de características de su comportamiento en poblaciones de interés; tales como sensibilidad, especificidad, y valores predictivos [11].
Sin embargo, esta prueba no ha sido incorporada dentro de los programas de salud pública en muchos países en desarrollo porque es una técnica costosa en comparación con las técnicas tradicionales y porque no hay información disponible sobre los costos iniciales versus los costos futuros ahorrados por disminución de morbimortalidad por TB. Es así como, en aras de un uso óptimo de los recursos para la atención de la enfermedad y la promoción de la salud, se hace necesario realizar un análisis de costo efectividad de esta prueba diagnóstica en el contexto colombiano.
Naturaleza de la evaluación económica en salud
En la búsqueda de medir los resultados en salud en unidades comunes surgen tres tipos de análisis cuantitativos dentro del campo de la evaluación económica: costo efectividad, costo utilidad y costo beneficio [12], en todos los casos los resultados que se generan sobre la salud humana se miden en unidades diferentes y pueden ser: 1). naturales o físicas; tales como incrementos en la esperanza de vida y casos correctamente diagnosticados, entre otros; 2) medición de estados de preferencias o utilidades ordinales derivadas de las mejoras en la salud y calidad de vida, esta medición se realiza a través de la aplicación de cuestionarios de calidad de vida genéricos o específicos, y 3) en unidades monetarias medidas a través de la aproximación de capital humano y valoración contingente [1].
Sin embargo, y pese a las ventajas que genera tomar decisiones de manera informada, la aplicación de los métodos de evaluación económica en salud han sido ampliamente utilizados en la evaluación de tratamientos, pero su aplicación en métodos de diagnóstico genera dificultades metodológicas en cuanto a la especificación apropiada de alternativas, a la medición de costos y a las medidas de resultado [13]. En este sentido, y a partir de la revisión de la literatura se tiene que el análisis costo efectividad es la herramienta más utilizada para evaluar alternativas de diagnóstico y generalmente se utilizan unidades intermedias como medidas de resultado ya que no solo servirían para elegir la estrategia menos costosa y más efectiva, sino aquella que genere menos riesgo en términos de transmisión de la enfermedad.
No obstante, y aunque a nivel mundial el costo de la atención médica se ha incrementado considerablemente en los últimos años, la asignación de recursos y la contención de costos has sido guiada más bien por estrategias como los contratos capitados o los descuentos por volumen que por evaluaciones económicas [14].
En salud, este tipo de evaluaciones comenzaron a utilizarse a mediados de 1960, pero solo fue a partir del trabajo realizado por Weinstein y Stason en 1977 [15] que llegó a ser característico de la literatura médica, especialmente en el sector farmacéutico. 10 Años después un grupo de expertos organizados por el servicio público de salud de los Estados Unidos, desarrolló una metodología estándar alrededor de cuatro aspectos: i) el punto de vista del análisis debería ser siempre el social, ii) Los costos y los beneficios deberían ser descontados a una tasa del 3% anual, iii) cuando los efectos y costos no pudieran ser estimados en el período de estudio, se deben usar técnicas estadísticas para la simulación de datos y iv) la varianza en costos y resultados debe tenerse en cuenta en la elección del tamaño de la muestra.
En el 2000, la Organización Mundial de la Salud (OMS) desarrolló una guía generalizada del ACE [16], porque observaron que la mayoría de los estudios comparaban la posible aplicación de nuevas intervenciones con las prácticas tradicionales sin tener cuenta el punto de vista desde el cual los costos y los efectos serían calculados. Esta omisión no permitía la reasignación de recursos de intervenciones costo inefectivas hacia intervenciones costo efectivas. El anterior pronunciamiento de la OMS surgió también en respuesta a la proliferación de estudios sobre la manera más adecuada para realizar un ACE y en aras de lograr una unificación teórica, por lo que se propuso la utilización de la teoría de maximización de la utilidad a partir de un modelo estándar del tipo von Neumann-Morgenstern desarrollado por Garber [17, 18] y Drummond [12].
Dicha unificación metodológica permite contar con software y medidas de resultado estándar como los años de vida ajustados por discapacidad (DALYs) y años de vida ajustados por calidad (QALY´s, por su nombre en inglés inglés) y como parte del proceso de decisión se generan gráficos derivados del análisis de costos incrementales a fin de determinar las estrategias o alternativas dominantes y dominadas en comparación al punto de referencia (gráfico 1).
Ahora, desde la perspectiva de la maximización de la utilidad, es decir desde la economía positiva, se parte del supuesto de que la probabilidad de supervivencia de un individuo depende de las características mismas de las alternativas médicas de diagnóstico o de control de enfermedades, así, la regla de decisión se basa en la prevalencia de la enfermedad y el valor que se obtiene al mejorar o prolongar la vida. El modelo explicativo propuesto por Schweitzer [19] supone dos estados; enfermo E con una probabilidad de θ o sano S con una probabilidad de (1-θ). Como no se conoce con certeza cuál es el verdadero estado de salud de un individuo, se tiene que decidir entre aplicar la prueba de diagnóstico A o no aplicarla A0. Ahora, si el paciente tiene la enfermedad y la prueba de diagnóstico arroja un resultado positivo, inicia y finaliza el tratamiento con un resultado que mejorará el estado de salud inicial. Si por el contrario, el paciente no se hace la prueba o el resultado de la prueba diagnóstica es negativo, no comenzará el tratamiento adecuado y posiblemente obtendrá pérdidas en su estado de salud. De este modo un estado de completa salud o mejoras a la misma se describe como ΔL. El costo de la prueba diagnóstica (T) y el costo del procedimiento médico que mejora el estado de salud (P). Por tanto las ecuaciones asociadas a la situación descrita serían:
valor esperado para las dos alternativas
El criterio de costo establecido es representado por la diferencia entre el valor esperado de hacer la prueba diagnóstica y no hacerla, esto es: λ= VE(A) - VE(A0). Así, para que la prueba sea costo efectiva se requiere que el costo del diagnóstico sea menor a los beneficios que obtiene en cuanto al estado de salud y al costo del procedimiento médico que lo condujo al paciente a ese mejor estado T < θ (ΔL -P)
Las ecuaciones anteriores pueden ilustrarse de manera ampliada en un árbol de decisiones, e incluir las probabilidades condicionales, es decir; que la prueba salga positiva dado que está enfermo con una probabilidad de β, y que obtenga un resultado negativo dado que está sano con una probabilidad de α. En ambos casos se pueden presentar errores al encontrarse falsos negativos y falsos positivos.
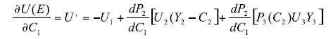
En el caso descrito, la regla de decisión se encuentra relacionada con el valor esperado de cada prueba. Sin embargo, de la teoría económica se concluye que la mejor herramienta de decisión es la utilidad esperada. En este sentido Garber [17] desarrolló un modelo de maximización de la utilidad del tipo von Neumann-Morgenstern para tres períodos, en función del ingreso neto (Yi) y los gastos médicos (Ci). y donde se supone que todos los individuos tienen perfecta salud en el primer período, sobreviven al período dos con una probabilidad de P2 y al período tres con una probabilidad de P3. En este modelo los gastos en salud C1, afectan P2 pero no a P3, asimismo C2 solo afecta a P3, en este sentido se afirma que los servicios médicos afectan la utilidad, si y solo si, afectan las probabilidades de supervivencia lo que permite obtener una ecuación para la utilidad esperada de la forma.

Así, de la maximización de la utilidad esperada respecto al gasto realizado en el momento actual C1 se obtiene la razón incremental óptima para el CE, e. il.


Dado que el P3 correspondiente a un C2 óptimo es * 3 P e independiente de C1, entonces, se obtiene:

Este modelo ha sido adaptado para incluir los costos futuros, la utilidad medida como esperanza de vida, años de vida ajustados por calidad QALYs y discapacidad DALYs y el tiempo óptimo de duración de un programa en salud. Se argumenta, además, que las intervenciones difieren en su productividad marginal, en el tiempo de impacto, en los costos y en las características específicas del paciente debido, principalmente, a que dichos factores alteran la razón incremental óptima en un análisis costo efectividad. Así, el qué, el cómo y el para quién, implícitos en este tipo de análisis, dependen directamente del punto de vista desde el cual se realice el análisis.
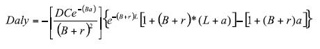
Ahora, en el caso específico de los DALYs se le considera una medida de resultado en el análisis costo-efectividad de intervenciones que podrían reducir el peso de la enfermedad por causas biológicas o por factores de riesgo y determinantes socioeconómicos. En estos términos dicha medida tiene cinco componentes [20]:
i. Esperanza de vida al nacer diferenciada por género,
ii. D: Peso de la discapacidad,
iii. Peso de la edad = Cxe-(Bx),
iv. Tiempo de preferencia e-r(x-a), y
v. Aditividad entre individuos: pérdida de años de vida saludables de la comunidad
Donde; C: constante = 0,16243, x: edad, e: constante 2,71, B: constante: 0,04, a: edad de la muerte o incapacidad, r: tasa de descuento que valora la preferencia de tiempo. Fija al 0,03.

Ahora, para una enfermedad o condición de salud el indicador se calcula como la suma de los años de vida perdidos por muerte prematura (MP) y los años vividos con discapacidad (AD)
DALYs = MP + AD
Así, para el cálculo de los años de vida saludables y perdidos debidos a condiciones de salud no fatales (AD) se requiere de la estimación de la incidencia de la enfermedad en un tiempo específico, por lo que para cada nuevo caso esta medida se obtiene de la multiplicación de la duración media de la condición por el peso de la severidad.
Evaluación económica aplicada a técnicas de diagnóstico de TB
Especificación de alternativas
El modelo generalmente inicia con la representación gráfica del árbol de decisiones aplicado al caso en estudio, tal representación muestra la relación estocástica entre las posibles alternativas de elección con los posibles resultados. Así, y en el caso del diagnóstico de TB se construyó el árbol de decisiones diferenciando por tipos de muestras a las cuales se les aplican las técnicas tradicionales -baciloscopia y cultivo-, esto es: biopsia, líquido articular, cefalorraquídeo peritoneal o pleural, y muestras no estériles (orina y jugo gástrico). En el caso de la nueva alternativa diagnóstica propuesta -PCR- se tienen; tejido pos-cirugía (extracción de DNA a partir de tejidos), biopsia (liberación de parafina y concentración de DNA), líquido cefalorraquídeo y otros líquidos (articular, peritoneal, pleural, orina o jugo gástrico). Por tratarse de la evaluación de una prueba diagnóstica - en contraste con un tratamiento - en el caso de los resultados, se toman medidas intermedias, tales como tiempo promedio para iniciar el tratamiento adecuado y tiempo promedio hasta la confirmación diagnóstica microbiológica. Sin embargo, también es posible tomar medidas como la mortalidad promedio en los casos de tuberculosis por formas paucibacilares.
En este sentido, a cada rama del árbol se le asignan costos y probabilidades en cuanto a la sensibilidad y especificidad de las pruebas, en caso que se hayan hecho ensayos clínicos, esta información se toma directamente de la observación. Ahora, cuando la evaluación se aplica a programas con pacientes ya inscritos, lo más conveniente es diseñar un estudio cuasiexperimental con grupo control no equivalente antes y después, donde la asignación de pacientes a las alternativas a comparar no sería aleatoria, pero serán lo más parecido posibles en cuanto a las variables que posiblemente generarían sesgo de selección; en este caso es importante recordar que es necesario el establecimiento de indicadores antes y después que pueden ser susceptibles de comparación. Sin embargo, en la mayoría de los casos no se cuenta con información disponible por lo que se recurre a la revisión de literatura como estrategia adecuada para obtenerla.
La revisión de literatura fue utilizada para hacer el ejercicio, se buscaron datos sobre probabilidades correspondientes a las pruebas a nivel internacional en estudios que aplican análisis costo-efectividad para el diagnóstico de la tuberculosis. Dicho rastreo se realizó en bases de datos médicas como MEDLINE y el BMJ. Estos estudios se clasificaron como evaluaciones completas si hacían explícita la comparación de alternativas, la estimación de costos, el punto de vista del análisis, la definición de resultados y el análisis de sensibilidad. En total se encontraron 242 artículos y después de su revisión se encontró que solo seis cumplían todas las características de una evaluación económica completa. En la tabla 2 se presentan algunas de las investigaciones más relevantes. Para el caso de los métodos moleculares se consideraron como adecuados, solo aquellos estudios que: utilizaban la prueba PCR AMPLICOR® MTB Test de Roche (Roche Molecular Systems, Inc.), reportaban una evaluación a ciegas para quien procesa las muestras y enfocaban el análisis en el número de pacientes. Con base en los anteriores criterios se encontraron 2 artículos a partir de los cuales se derivaron las conclusiones sobre la sensibilidad y especificidad de esta prueba molecular (tabla 2).
Medición de costos
Estos se pueden clasificar como directos si incluyen los relacionados con: equipos, recurso humano, infraestructura y overhead, estos serán medidos en cada paso del diagnóstico y diferenciados por tipo de muestra (tabla 3). Es importante tener en cuenta que las muestras para hacer la baciloscopia pueden ser de dos tipos, las líquidas (estériles o contaminadas), y biopsias; la diferencia más importante entre en esta últimas, en términos de las actividades en el laboratorio, es la maceración que sufren las muestras.
Ahora, al hacer la clasificación por tipos de muestras y las alternativas diagnósticas, se recomienda levantar tablas de costos listando los insumos de capital, humano y materias primas, es decir, los reactivos necesarios en cada prueba. Además, es necesario calcular los tiempos y la cantidad necesaria de factores. Asimismo, es importante considerar la existencia de factores fijos que son utilizados para la elaboración de pruebas distintas a las que se evalúan y la cantidad máxima de pruebas que pueden realizarse con un estuche fijo de insumos. En este caso, las hospitalizaciones evitadas y los medicamentos no suministrados debido a que se recuperó el estado de salud se convierten en ahorros que tendrán que ser descontados tal como lo sugiere la literatura.
Ahora, si el análisis se hace desde el punto de vista del paciente tendrán que tenerse en cuenta los costos indirectos e intangibles, los primeros se refieren a la valoración del tiempo que los pacientes gastan en el desplazamiento, estancia y tiempo de espera y los segundos buscan medir la disponibilidad a pagar de los pacientes por mejorar su estado de salud o por disminuir sus episodios de dolor y malestar [1].
Medición de resultados
Es oportuno aclarar que las alternativas de intervenciones en el área de la salud pueden clasificarse como independientes o mutuamente excluyentes; para aquellas intervenciones que son independientes suele ser suficiente estimar una razón promedio, mientras que para aquellas que son mutuamente excluyentes se hace necesario calcular relaciones incrementales de costoefectividad si lo que verdaderamente se pretende es maximizar los efectos que se producen con los recursos disponibles. En este caso, todas las alternativas comparadas serían mutuamente excluyentes.
En cuanto a las medidas de resultado, la literatura sugiere medidas finales y no intermedias y la más utilizada en análisis costo efectividad es Años de Vida Ajustados por Discapacidad o DALY´s (por su nombre en inglés). Para estimar DALYs en casos de TB extrapulmonar y pediátrica es importante tener en cuenta que los DALYs ganados por muerte evitada dependen tanto de la edad promedio de los individuos con estas formas de TB como de la esperanza de vida total que se espera de esas personas con ese promedio de edad. Para la aplicación práctica de estas estimaciones se puede usar una de dos alternativas: i) usar tablas que indican el numero de DALYs ganados para una amplia serie de combinaciones de edad promedio y esperanza de vida, o ii) utilizar formulas diseñadas para tal fin [21: anexos 1 y 2].
En el análisis costo utilidad el objetivo principal es la medición de las preferencias del consumidor por ciertos estados de salud, en este caso lo recomendable es utilizar cuestionarios genéricos o específicos que midan la calidad de vida relacionada con la salud, estos encuestas están, en la mayoría de los casos, disponibles en español Colombia y son donadas sin ningún costo para investigaciones académicas. Para el cálculos de las preferencias se utilizan el método de estándar gamble si están bajo comparación alternativas que involucren pacientes con enfermedades específicas y el tiempo invertido (time trade off) si se trata de calcular la calidad de vida de una población en general [22].
Discusión y conclusiones
La experiencia aquí descrita pone en evidencia varios de los retos que enfrentan los estudios de evaluación económica en países con escasos recursos y sistemas de salud en los cuales las responsabilidades de las actividades para el control de patologías de interés en salud pública están fragmentadas como es el caso colombiano [23]. La diversidad de actores institucionales dificulta el levantamiento de costos y la consecución de unas estadísticas confiables para la vigilancia epidemiológica. El acceso a la información contable de más de una entidad siempre será difícil, máxime cuando estas pueden competir en el mismo mercado. De otro lado, la recolección de datos que permitan recopilar estadísticas veraces y reproducibles se hace aún más difícil cuando no se tiene automatizado el flujo de información interinstitucional. Esto incrementa las oportunidades de trascripción de datos atentando así contra la integridad de la información.
Adicionalmente, no es infrecuente que las diversas instituciones manejen instrumentos diferentes para la recolección de la información, lo cual genera inconsistencias y vacíos sistemáticos en algunas variables de interés. Una manera en que se perciben las carencias descritas como consecuencia de la fragmentación de los entes y personas responsables de la actividades del programa Colombiano de prevención y control de la TB es la carencia de información para el seguimiento del estudio de cohortes en tratamiento acortado supervisado que ha sido identificado por los líderes a nivel nacional [24].
Las falencias descritas arriba reclaman políticas claras y grandes inversiones para lograr una buena coordinación en medio de la diversidad y multiplicidad de actores y responsables. Sin embargo, ni en Medellín ni en Colombia en general, se percibe esa capacidad de coordinación para la supervisión y el control de la calidad de los datos. Adicionalmente este estudio llama la atención sobre la carencia de políticas claras para procurar la racionalización de recursos al momento de asimilar nuevas tecnologías para la salud en Colombia. El interés del proyecto inicialmente planteado se centró en la evaluación de una técnica diagnóstica comercial, dado su alto grado de estandarización, que se espera conduzca a reducir la variabilidad intralaboratorio en comparación con el uso de pruebas caseras [25].
Si hubiese parámetros de idoneidad y una política clara para la asimilación y transferencia de tecnologías, sería más fácil elegir de antemano (antes de embarcarse en el análisis de costo efectividad) cuales de las pruebas novedosas tienen mejores posibilidades de ser incorporadas dentro de las actividades de -por ejemplo-, el programa de prevención y control de la TB. Adicionalmente sería de esperar que hubiese una mayor estabilidad de proveedores en el mercado de tecnologías de punta en el área de la salud humana.
Un reto adicional y más específico que presenta la evaluación económica de pruebas diagnósticas para la detección temprana de patologías de interés en salud pública es la definición y medición de los desenlaces. La definición de lo que se considera una "detección temprana" tiene una diversidad de condicionantes producto del entorno epidemiológico, económico y político local, que dificultan la labor. Esta dificultad, en conjunto con las carencias metodológicas existentes en la literatura internacional en los ensayos clínicos de pruebas diagnósticas, deja un piso demasiado endeble para la construcción de supuestos válidos para la realización de estudios de costo efectividad en este campo.
En conclusión, la evaluación económica de tecnologías diagnósticas requiere: 1) Mejorar la calidad de los estudios que evalúan el desempeño en campo y la precisión de pruebas nuevas; 2) políticas públicas específicas para la transferencia y asimilación tecnológica; 3) mejorar la calidad de la notificación y lograr la homogenización de los sistemas que soportan la vigilancia epidemiológica, y 4) mayor centralización de las actividades que son claramente de interés en salud pública como es la tuberculosis.
Referencias
1. Drummond MF, Sculpher, MJ, Torrance GW, O'Brien BJ, Stoddart GL. Methods for the Economic Evaluation of Health Care Programmes. Third Edition. Oxford: Oxford University Press, New York; 2005. [ Links ]
2. Organización Panamericana de la Salud (OPS). La salud en las Américas. Washington: OPS /OMS; 2007. [ Links ]
3. Colombia. Ministerio de Salud, Dirección General de Promoción y Prevención. Informe ejecutivo semanal del Sistema Nacional de Vigilancia en Salud Pública (SIVIGILA). Semana epidemiológica No.12. Santafé de Bogotá, MPS, marzo 19 l 25 de 2000. [ Links ]
4. Victoria JE. Epidemiología de la tuberculosis en Colombia. Informe Quincenal Epidemiológico Nacional 1999; 4(6): 82. [ Links ]
5. Victoria JE. Situación epidemiológica de la tuberculosis en Colombia. Revista de la Facultad de Ciencias de la Salud, Universidad del Cauca 1999; 1(3): 27-31. [ Links ]
6. Murray JF, Nadel JA. Textbook of Respiratory Medicine. 4th Edition. Philadelphia: Elsevier Saunders; 2005. [ Links ]
7. Programa de Naciones Unidas para el Desarrollo (PNUD). Indicadores de los Objetivos de Desarrollo del Milenio [Citado el 3 de junio de 2008]. [Disponible en: http://unstats.un.org/unsd/mdg/ Data.aspx]. [ Links ]
8. Colombia, Ministerio de Salud. Guía de atención de la tuberculosis pulmonar y extrapulmonar. Resolución 0412. Bogotá: MPS; 2000. [ Links ]
9. Colombia, Consejo Nacional de Seguridad Social. Acuerdo 228. Bogotá: Ministerio de Salud; 2003. [ Links ]
10. World Health Organization (WHO). Global Tuberculosis Control - Surveillance, Planning, Financing Report 2007. WHO: Geneva; 2007. [ Links ]
11. Hazbon MH. Recent Advances in Molecular Methods for Early Diagnosis of Tuberculosis and Drug-Resistant Tuberculosis. Biomédica 2004; 24(Supl.1):149-62. [ Links ]
12. Drummond MF, McGuire, A. Economic Evaluation in Health Care Merging Theory with Practice. New York: Oxford University Press; 2001. [ Links ]
13. Walker D. Economic Analysis of Tuberculosis Diagnostic Tests in Disease Control: How Can it Be Modelled and What Additional Information is Needed? International Journal of Tuberculosis and Lung Disease 2001; 5(12):1099-1108. [ Links ]
14. Prosser LA. Koplan JP, Neumann PJ, Weinstein MC. Barriers to Using Cost-Effectiveness Analysis in Managed Care Decision Making. American Journal of Managed Care 2000; 6(2):173-9. [ Links ]
15. Weinstein MC, Stason WB. Foundations of Cost- Effectiveness Analysis for Health and Medical Practices. New England Journal Medicine 1977; 296(13): 716-21. [ Links ]
16. Murray CJL, Evans DB, Acharya A, Baltussen RMPM. Development of WHO Guidelines on Generalized Cost-Effectiveness Analysis. Health Economics 2000; 9: 235-51. [ Links ]
17. Garber AM, Phelps C. Economic Foundations of Cost-Effective Analysis. National Bureau of Economic Research (NBER). Working Paper 4164, 1992. [ Links ]
18. Garber AM. Advances in Cost-Effectiveness Analysis of Health Interventions. National Bureau of Economic Research (NBER). Working Paper 7198, 1999. [ Links ]
19. Schweitzer SO. Cost Effectiveness of Early Detection of Disease. Health Services Research 1971; 9(1): 22-32. [ Links ]
20. Murray CJL, López, AD. The Global Burden of Disease. Geneva: World Health; 1996. [ Links ]
21. WHO/CDS/TB. Guidelines for Cost and Cost- Effectiveness Analysis of Tuberculosis Control. Document 1: Introduction, Important Economic Concepts, Protocols, and Useful References, 2002, 305a [ Links ]
22. Grieve R, Grishchenko M, Cairns J. SF-6D versus EQ-5D: Reasons for Differences in Utility Scores and Impact on Reported Cost-Utility. The European Journal of Health Econonomics 2007. [ Links ]
23. Arbeláez MP, Gaviria MB, Franco A, Restrepo R, Hincapié D, Blas E. Tuberculosis Control and Managed Competition in Colombia. Int J Health Plann Manage 2004; 19(1):S25-43. [ Links ]
24. Chaparro PE, García I, Guerrero MI, León CI. Situación de la tuberculosis en Colombia 2002. Biomédica 2004; 24 (Suple.1):102-114. [ Links ]
25. Noordhoek GT, Kolk AH, Bjune G, Catty D, Dale JW, Fine PE, Godfrey P, Cho SN, Shinnick T, Svenson SB et al. Sensitivity And Specificity of PCR for Detection of Mycobacterium Tuberculosis: A Blind Comparison Study Among Seven Laboratories. Journal of Clinical Microbiology 1994; 32(2):277-84. [ Links ]
















