Services on Demand
Journal
Article
Indicators
-
Cited by SciELO -
Access statistics
Related links
Cited by Google -
Similars in
SciELO
Similars in Google
Share
Universitas Psychologica
Print version ISSN 1657-9267
Univ. Psychol. vol.4 no.2 Bogotá Sept. 2005
* Correos electrónicos: Nayely Ordaz Fernández: narayya@hotmail.com, Antonio López-Espinoza: anton779@megared.net.mx. La correspondencia relacionada con este artículo debe enviarse a: Centro de Estudios e Investigaciones en Comportamiento, Universidad de Guadalajara. Av. 12 de Diciembre # 204, Chapalita, 45030, Zapopan, Jalisco, México.
Esta investigación fue financiada por la Beca 138670 y el Proyecto 38671-H del CONACyT
ABSTRACT
Six rats were exposed to three alimentary contexts, the first one, considered as habitual context, provided food only for a period of time. The second contained in the surface a cover of stones and allowed free access to the food until the subject achieved the satiety state. The third context (novel) contained water in the surface and provided food during the test phase. The food consumption was compared between the habitual context and the novel one after the subject achieved the satiety state. The results show that in spite of the satiety the subjects consumed food in the novel context, but they didn’t consume food in the habitual context. These results are discussed in terms of how the context influences the feeding behavior.
Key words: context, satiety, food consumption, rats.
RESUMEN
Seis ratas fueron expuestas a tres contextos alimentarios, el primero, considerado contexto habitual, fue la caja habitación del sujeto, que proporcionó alimento sólo por un periodo de tiempo. El segundo contenía en la superficie una cubierta de piedras y el acceso al alimento se permitió hasta que los sujetos lograron el estado de saciedad. El tercero, como contexto novedoso, contenía en la superficie agua y sólo proporcionó alimento durante la fase de prueba. Se comparó el consumo de alimento entre el contexto habitual y el novedoso después de que el sujeto lograba el estado de saciedad. Los resultados muestran que a pesar de la saciedad los sujetos consumieron alimento en el contexto novedoso, pero no consumieron alimento en el contexto habitual. Estos resultados se discuten en términos de cómo el contexto influye la conducta alimentaria.
Palabras clave: contexto, saciedad, consumo de alimento, ratas.
La influencia del contexto sobre el consumo de alimento ha sido relativamente poco estudiada, quizás debido a la dificultad para definir cuáles son los componentes funcionales de un contexto. No obstante, se cuenta con alguna evidencia respecto a la relación existente entre el contexto y la ingesta de comida y agua en ratas (Anderson, 1941a, b, c; Fink y Patton, 1952; Kupfermann, 1964; Turró, 1912; Wilson y Cantor, 1986), pescados (Kohbara, Hidaka, Matsuoka, Osada, Furukawa, Yamashita & Tabata, 2002) y codornices (Smith y Lippman, 1992).
Consideramos a Turró (1912) como uno de los pioneros en reconocer la relación entre elementos del medio externo y el patrón alimentario de un organismo al sugerir que el apetito y por lo tanto el hambre pueden ser despertados por nutrientes del medio y no sólo por una necesidad orgánica. Es decir, el apetito puede ser afectado por estímulos externos. Sin embargo, esta respuesta dependerá de la experiencia ya establecida entre el organismo y el nutriente.
Fink y Patton (1952) reportaron uno de los primeros estudios sobre la manipulación de estímulos ambientales y el consumo de agua. Ellos entrenaron a un grupo de ratas para que bebieran en presencia de una luz, un sonido y estímulos táctiles. Posteriormente modificaron la frecuencia de presentación y alteraron algunos de sus componentes. Los resultados mostraron que la tasa de respuesta de beber disminuyó significativamente al modificar los estímulos. Ante mayor cambio en los componentes de los estímulos ambientales, hubo menor tasa de respuesta. Estos autores concluyeron que la fuerza de la respuesta puede estar relacionada con la proporción en la que el estímulo ambiental conforma el total de los estímulos disponibles en la situación experimental presente. Al respecto, Reynolds (1986) consideró que existe una estrecha relación entre la conducta de un organismo y el medio ambiente en el que habita dicho organismo.
Kupfermann (1964) expuso ratas privadas de alimento o agua a diferentes estímulos auditivos (como palmadas y silbidos) presentados en intervalos irregulares. Los resultados demostraron que el tipo de conducta de los sujetos, inducida por los sonidos, correspondió específicamente al estado de pulsión presente durante la estimulación. Es decir, al presentar los estímulos auditivos, las ratas bebieron cuando estaban sedientas o comieron cuando estaban hambrientas.
Wilson y Cantor (1986) investigaron la relación entre la exposición a un ruido y el incremento en el consumo de alimento en ratas que previamente habían sido pinchadas en la cola. Reportaron que la sola exposición a un ruido sin la experiencia del pinchazo efectivamente induce la ingesta de alimento. Sin embargo, los sujetos que fueron pinchados y después expuestos al ruido, presentaron un mayor consumo de alimento. Estos autores concluyeron que la conducta de comer como respuesta al pinchazo en la cola incrementa al asociarse con estímulos ambientales.
A partir de esta información es posible preguntarnos si la ingesta de alimento en las ratas puede ser influida por el contexto en el que habitualmente se alimentan. Los reportes realizados por Anderson (1941a, b, c) sugieren que al presentarse la necesidad fisiológica o pulsión de hambre en un organismo, éste consume alimento para satisfacer su estado fisiológico. Anderson señaló que si la conducta de comer se presenta en situaciones ambientales constantes, será controlada por los estímulos externos aun sin estar presente la pulsión de hambre, sugiriendo así que “la pulsión ha sido externalizada”. Sin embargo, lo anterior depende de la etapa de aprendizaje.
Si bien el objetivo de Anderson no era explicar el proceso alimentario en sí mismo, utilizó algunos elementos relacionados con este fenómeno como variables (e.g. estados de hambre o saciedad) y sus hallazgos son relevantes para explicar la relación existente entre el medio ambiente y el patrón alimentario de un organismo. Turró (1912) identificó aspectos similares a los encontrados por Anderson en el ámbito experimental. Ambos consideraron: a) el estado fisiológico del organismo; b) la vinculación del estado fisiológico con los elementos del medio externo; y, c) el proceso de aprendizaje, como variables que interactúan entre sí para mantener la ejecución de la conducta alimentaría controlada por el medio ambiente.
No obstante, las aportaciones teóricas efectuadas por Turró nunca fueron sometidas a estudios experimentales para comprobar su validez. Por otro lado, los estudios experimentales realizados por Anderson no fueron claros y en su momento recibieron numerosas objeciones. Por ejemplo, Siegel (1943) replicó el diseño experimental utilizado por Anderson (1941a, b, c), obteniendo resultados opuestos. Bolles (1973) cuestionó la dificultad para identificar qué elementos del ambiente actúan en el proceso de “la externalización de la pulsión”.
Considerando estos antecedentes, el objetivo de la presente investigación fue conocer si el consumo de alimento de un organismo puede ser regulado por el contexto en el que habitualmente se alimenta. Para tal objetivo se expuso a los sujetos a tres contextos alimentarios y se valoró el efecto de estos contextos sobre el consumo de agua y alimento durante un estado de saciedad, tomando como criterio de medida la cantidad de alimento consumido y la latencia en dar el primer mordisco de alimento.
Método
Sujetos
Se utilizaron seis ratas machos, de la cepa Wistar de 5 meses de edad, experimentalmente ingenuas.
Materiales y aparatos
Como contextos se utilizaron: a) seis cajas habitación para ratas, que conformaron el Contexto A, construidas de acrílico transparente con medidas de 13 cm de altura x 27 cm de ancho x 38 cm de largo. En la parte inferior contenían aserrín que era removido cada tres días; b) tres tinas circulares de plástico de 30 cm de diámetro x 15 cm de altura consideradas como Contexto B, que contenían en la parte inferior una capa de grava que era removida al término de cada prueba experimental. En la parte superior se colocó una tapa de acrílico transparente, la cual tenía cinco perforaciones para una adecuada ventilación. Por encima de la cubierta se colocó un foco de 75 w; y, c) otras tres tinas de plástico circulares de las mismas dimensiones que las anteriores, utilizadas como Contexto C que tenían en la parte inferior 500 ml de agua, removida al finalizar cada prueba experimental. La parte superior estuvo cubierta con una tapa de acrílico blanco que tenía una perforación en el centro de 9 x 9 cm cubierta con una rejilla de metal.
Tanto las tinas como las cajas habitación tenían en la parte superior un compartimiento para el bebedero y otro para el alimento. El objetivo de emplear diferentes materiales en la parte inferior y en la cubierta de las cajas experimentales fue presentar contextos diferentes, que proporcionaran distintas formas, texturas y temperatura.
Como alimento se utilizaron croquetas de la marca comercial Nutri-Cubos que contenían nutrientes estándares para animales de laboratorio. Se empleó una báscula para medir el consumo de alimento y peso corporal de los sujetos experimentales. El bioterio se mantuvo con temperaturas promedio de 20 grados centígrados durante el día y 18 grados centígrados durante la noche. El ciclo luz-oscuridad se rigió por el ciclo de luz natural.
Procedimiento
Los sujetos se mantuvieron durante todo el experimento en el bioterio dentro de sus cajas habitación, excepto durante las sesiones experimentales, llevadas a cabo en un cuarto contiguo, en el cual se colocaron los diferentes contextos. El conjunto de actividades realizadas por los sujetos en un día, se consideró como una sesión experimental. Las sesiones se llevaron a cabo de 9:30 a.m. a 11:30 a.m. El resto del día y la noche los sujetos permanecieron en su caja habitación privados de alimento y con libre acceso de agua.
Todos los sujetos se expusieron a tres contextos; Contexto A, Contexto B y Contexto C. Diariamente se registró el consumo de agua y alimento, el peso corporal al inicio y al final de cada sesión experimental y la latencia en dar el primer mordisco de alimento en los Contextos A y B.
Diseño experimental
Se formaron dos grupos, cada uno con tres sujetos, los cuales fueron expuestos a tres fases experimentales.
Grupo 1. Para el grupo 1 la Fase 1 consistió en alimentar a los sujetos en el Contexto A durante una hora al día y las siguientes 23 h permanecieron privados de alimento. Con la finalidad de obtener estabilidad en el consumo de agua, de alimento y peso corporal, para dar por concluida la Fase 1 se aplicó como criterio cuantitativo registrar una variación del peso corporal no mayor a ±7 g durante cinco días sucesivos.
La Fase 2 tuvo una duración de 24 días. Esta fase consistió en otorgar alimento en el Contexto A y cada cinco días en el Contexto B, para evitar un posible efecto de novedad del Contexto B. El acceso al alimento estuvo disponible sólo durante una hora en ambos contextos y el resto del día los sujetos permanecieron privados de alimento. Para evitar un efecto de novedad en el Contexto C, al finalizar la hora de alimentación todos los sujetos se colocaron por 20 minutos en el Contexto C, sin agua y alimento disponibles.
La Fase 3 duró seis días (ver Tabla 1). El primer día se otorgó alimento a los sujetos en el Contexto B, hasta que lograran un estado de saciedad, definido mediante un intervalo de 15 min durante el cual el sujeto no consumió agua o alimento, estando ambos disponibles. Después de cumplir con el criterio de saciedad los sujetos se retiraron del Contexto B y se colocaron en el Contexto A, en donde permanecieron por 20 min con alimento y agua disponibles. Al término del lapso se cambiaron al Contexto C, donde estuvieron por 20 min con acceso libre de agua y alimento.
El segundo día de la Fase 3 consistió en alimentar a los sujetos en el Contexto B hasta cumplir con el criterio de saciedad. Enseguida, los sujetos se trasladaron al Contexto C, en donde permanecieron por 20 min, después fueron cambiados al Contexto A durante otros 20 min. En los tres contextos experimentales el agua y el alimento estuvieron disponibles.
Las secuencias a las que se expuso a los sujetos del grupo 1 en los tres contextos durante el primero y el segundo día de la Fase 3 se aplicaron tres veces más, cubriendo así un total de seis sesiones.
Grupo 2. El grupo 2 se sometió a las mismas condiciones del grupo 1, excepto durante la Fase 3, en la que se invirtió la secuencia de exposición a los Contextos A y C (Tabla 1).
Resultados
La Figura 1 muestra los datos del peso corporal al inicio (círculos negros) y al final (círculos blancos) de cada sesión experimental y para los dos grupos. La columna izquierda representa a los datos del grupo 1 y la derecha los del grupo 2. En todas las graficas, los datos obtenidos durante las tres fases están divididos por líneas punteadas.
La Fase 1 duró 26 días para el grupo 1 y 33 días para el grupo 2, la diferencia entre los dos grupos se debió a los días que tardaron los sujetos en cumplir con el criterio de estabilidad. En esta fase se observó una disminución gradual en el peso corporal de los seis sujetos entre 1 y 2 g diarios, hasta lograr el criterio de estabilidad.
Durante la Fase 2 los sujetos C1, A2 y B2 mostraron una tendencia a mantener estabilidad en el peso corporal con variaciones de ±3 g diarios. Mientras que en el peso corporal de los sujetos B1 y C2 se observaron disminuciones de 1 a 2 g. El sujeto A1 muestro una tendencia ascendente con fluctuaciones de ± 2 g.
En la Fase 3 se observó un aumento de 23 g en promedio en el peso corporal de los seis sujetos con respecto a las fases anteriores.
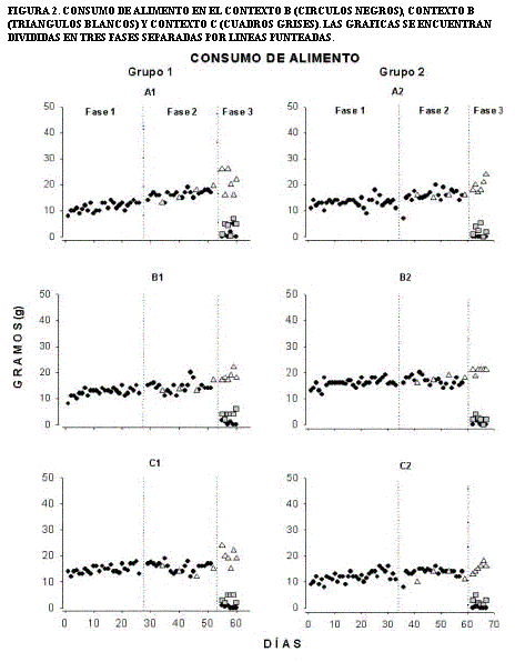
En la Figura 2 se muestra el consumo de alimento de los seis sujetos en los tres contextos experimentales. El consumo en el Contexto A está representado por círculos blancos, en el Contexto B por triángulos blancos y en el Contexto C por cuadros grises. Al igual que en la Figura 1, las gráficas presentan las tres fases experimentales divididas por líneas punteadas.
El consumo de alimento de los seis sujetos durante la Fase 1 mostró una tendencia de variación de ± 2 g.
En la Fase 2 el consumo de alimento en el Contexto A de los sujetos A1 y A2 mostró una tendencia ascendente aumentando ± 1 g en promedio por día. Los sujetos B1, C1, B2 y C2 mostraron un consumo de alimento con una variación de ± 1 g en promedio durante este periodo. El consumo de alimento en el Contexto B durante la Fase 2 en el sujeto A1 incrementó gradualmente 2 g por día. El consumo de los sujetos B1, C1, A2, B2 y C2 se mantuvo constante con respecto al consumo registrado en el Contexto A durante la misma fase.
Durante la Fase 3 el consumo de alimento en el Contexto B de todos los sujetos fue de 19 g en promedio, esto representa mayor consumo con respecto al consumo registrado en las fases anteriores. El consumo de alimento en el Contexto A fue de 0,62 g en promedio en todos los sujetos. En el contexto C todos los sujetos consumieron 5 g de alimento en promedio.
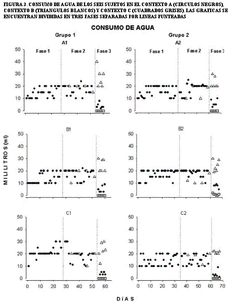
La Figura 3 presenta los datos del consumo de agua registrados en los tres contextos. El consumo de agua en el Contexto A está representado por círculos blancos, en el Contexto B con triángulos y en el Contexto C con cuadros grises.
Durante la Fase 1 los seis sujetos mostraron un consumo de agua con variaciones de ± 5 ó 10 ml de un promedio de 11 ml de agua consumida por sesión.
En la Fase 2 los seis sujetos mostraron las mismas variaciones que en la Fase 1, por lo tanto, el consumo de agua se mantuvo bajo el mismo patrón.
El consumo de agua durante la Fase 3 en el Contexto B se incrementó 9 ml en promedio con respecto al consumo registrado durante la Fase 2 en los sujetos A1, B1, C1, A2 y B2. El sujeto C2 presentó un incremento de un 1 ml en promedio. El promedio de consumo de agua en el Contexto A, de los seis sujetos durante este periodo es fue de 10 ml y el consumo registrado en el contexto C fue de 0 ml con excepción del sujeto B2 que consumió cantidades de 0,5 ml en promedio.
La Figura 4 presenta la latencia (tiempo en segundos) de los sujetos en dar el primer mordisco al alimento durante el inicio de cada sesión experimental. Las líneas representan la latencia en el Contexto A y los triángulos muestran la latencia en el Contexto B.
En la Fase 1 se observó que todos los sujetos iniciaron con latencias entre 37 y 50 s en promedio, posterior-mente en el mismo periodo los sujetos disminuyeron la latencia gradualmente hasta llegar a un promedio de 12 s.
El primer dato de la Fase 2 mostró que los sujetos aumentaron en promedio 24 s la latencia, comparado con el último día de la Fase 1 en el Contexto A. Al transcurrir los días, con excepción del sujeto A2, todos los sujetos presentaron una tendencia a disminuir gradual-mente la latencia en el Contexto A. La latencia de los seis sujetos, en el Contexto B fue mayor por 122 s en promedio con respecto a la registrada el día anterior en el Contexto A. En todos los sujetos se observó una tendencia a disminuir la latencia registrada en el Contexto B.
Durante la Fase 3 los sujetos A1, C1 y C2 aumentaron la latencia en el Contexto B con respecto al registro del último día de la Fase 2. El resto de los sujetos mostraron una latencia similar o menor a la registrada un día antes. Todos los sujetos en las sesiones sucesivas presentaron una tendencia a disminuir en promedio 13 s la latencia.
Discusión
Los datos obtenidos mostraron evidencia de que un contexto novedoso (Contexto C) con disponibilidad de comida, favoreció el consumo de alimento aun bajo el estado de saciedad. De manera opuesta, el contexto habitual (Contexto A) favoreció en menor medida el consumo de alimento cuando los sujetos estaban saciados. A pesar de que en ambos contextos existió libre acceso al agua, el consumo de agua en estado de saciedad se favoreció en el contexto habitual y no en el contexto novedoso.
Las modificaciones en el peso corporal de los sujetos al manipular la disponibilidad de alimento parecen estar acordes con lo reportado por López-Espinoza (2001, 2004) y López-Espinoza y Martínez (2001a y b). Estos investigadores reportaron que el efecto de aplicar programas de restricción alimentaria sobre el peso corporal, se identifica por un aumento gradual y consistente del peso al retornar al libre acceso. A partir de estos datos se puede afirmar que las variaciones en el peso corporal registradas en este experimento se debieron a la privación alimentaria.
Los datos obtenidos en este experimento parecen estar en desacuerdo con la teoría de la externalización de la pulsión que señala que el consumo de alimento podría ser controlado por el contexto donde habitualmente se lleva a cabo el acto alimentario, sin estar presente el estado fisiológico de hambre (Anderson, 1941 a, b, c). Turró (1912) sugirió que el apetito podría ser incitado por los nutrientes presentes en un momento determinado y no sólo por la necesidad fisiológica. Considerando este argumento, se podría explicar que el consumo de alimento en el contexto novedoso fue incitado por los nutrientes del alimento disponible. Archer y Sjödén (1980, citado en Archer, Sjödén y Nilsson, 1985) interesados en el condicionamiento aversivo a sabores, reportaron que una rata puede aprender tanto de las condiciones de un contexto familiar como de las condiciones de un contexto nuevo. Demostraron que el control adquirido por el consumo de un sabor aversivo es más débil en el contexto familiar que en un contexto nuevo.
Los resultados sugieren que en todos los sujetos el contexto novedoso favoreció un mayor consumo de alimento en comparación con el consumo en un contexto habitual. Es decir, el contexto novedoso adquirió mayor control sobre el consumo de alimento que un contexto habitual. Cabe considerar dos aspectos que pudieron determinar el consumo de alimento en el contexto novedoso; a) las propiedades (no aversivas) del alimento; y, b) lo novedoso de la disponibilidad de alimento en el momento de la prueba. Los resultados demostraron que un ambiente asociado con no disponibilidad de alimento actúa como facilitador del consumo de alimento al cambiar a una condición de disponibilidad, aun durante un estado de saciedad.
El consumo de agua durante el estado de saciedad fue favorecido por el contexto habitual y no por un contexto novedoso aun cuando en ambos contextos siempre estuvo disponible. Estos datos permiten suponer que los principios de la teoría de la externalización de la pulsión sugerida por Anderson (1941a, b, c) son aplicables sólo para el consumo de agua. Esto explicaría el consumo de agua bajo el contexto habitual. Lo que permite sugerir que un contexto habitual tuvo efectos parciales debido a que sólo favoreció el consumo de agua pero no el de alimento durante un estado de saciedad.
Otro dato consistente fueron las latencias registradas al dar el primer mordisco de alimento. Se observó que alimentar a los sujetos en un contexto novedoso repercutió en las latencias registradas al dar el primer mordisco de alimento. Pavlov (1927) reportó que la presentación de un estímulo novedoso produce una supresión incondicionada de la conducta. Bernett (1963, citado en Archer, Sjödén y Nilsson, 1985) sugirió que este efecto representa un mecanismo que determina la neofobia en un organismo. Por su parte Archer, Sjödén, Nilsson (1985) consideraron que cuando un estímulo nuevo es presentado repetidamente, pierde gradualmente sus propiedades neofóbicas. A partir de estas consideraciones podríamos explicar la disminución gradual en las latencias registradas ante un contexto.
En general, los datos reportados confirman que el papel del contexto sobre la conducta alimentaria es indiscutible. No obstante, la dificultad para especificar qué elementos del ambiente son los que influyen sobre el consumo de alimento sigue latente.
El análisis de la relación entre el contexto y la conducta alimentaria, nos permite sugerir que la correlación entre estas variables no puede ser ignorada cuando intentemos explicar el patrón alimentario de un organismo. No obstante, es necesario explorar en futuras investigaciones, si los efectos de un contexto sobre la conducta alimentaria tienen límites temporales.
Referencias
1. Anderson, E. E. (1941a). Externalization of drive: I. Theoretical considerations. Psychological Review, 48, 204-224. [ Links ]
2. Anderson, E. E. (1941b). The externalization of drive: II. The effect of satiation and removal of rewardat different stages in the learning process of the rat. The Journal of Genetic Psychology, 59, 359-376. [ Links ]
3. Anderson, E. E. (1941c). The externalization of drive: III. Maze learning by non-rewarded and bysatiated rats. The Journal of Genetic Psychology, 59, 397-426. [ Links ]
4. Archer, T., Sjödén, P. O. & Nilsson, L.G. (1985). Contextual control of taste-aversion conditioning and extinction. En P. D. Balsam y A. Tomie (eds.), Context and Learning. New Jersey, London: Lawrence Erlbaum Associates. [ Links ]
5. Balsam, P. D. (1985). The functions of context in learning and performance. En P. D. Balsam y A. Tomie (eds.), Context and Learning. New Jersey, London: Lawrence Erlbaum Associates. [ Links ]
6. Bolles, R. C. (1973). Teoría de la motivación. México: Trillas. [ Links ]
7. Fink, J. B. & Patton, R. M. (1952). Decrement of a learned drinking response accompanying changes in several stimulus characteristics. The Journal of comparative and Physiological Psychology, 46, 350- 354. [ Links ]
8. Kohbara, J., Hidaka, I, Matsuoka, F., Osada, T., Furukawa, K., Yamashita, M. & Tabata, M. (2002). Self-feeding behaviour of yellowtail (Seriola quinqueradiat) in net cages: diel and seasonal patterns and influences of environmental factors. Aquaculture, 62266, 1-4. [ Links ]
9. Kupfermann, I. (1964). Eating behaviour induced by sound. Nature, 201, 324. [ Links ]
10. López-Espinoza, A. (2001). Efectos de la privación de agua y comida sobre el peso corporal y el consumo de alimento y agua en ratas albinas (Rattus norvegicus). Tesis de maestría inédita, Universidad de Guadalajara, México. [ Links ]
11. López-Espinoza, A. (2004). Análisis experimental de los efectos post-privación. Una propuesta para el control de la gran comilona en ratas albinas (Rattus norvegicus). Tesis doctoral inédita, Universidad de Guadalajara, México. [ Links ]
12. López-Espinoza, A. & Martínez, H. (2001a). Efectos de dos programas de privación alimentaria sobre el peso corporal de ratas Wistar. Revista mexicana de análisis de la conducta, 27, 35-46. [ Links ]
13. López-Espinoza, A. & Martínez, H. (2001b) Efectos de dos programas de privación parcial sobre el peso corporal y el consumo total de agua y comida en ratas. Acta Comportamentalia, 9, 5-17. [ Links ]
14. Pavlov I. P. (1927). Conditioned reflex et inhibitions. New York: Dover Publications Inc. [ Links ]
15. Rescorla, R. A., Durlach, P. J. & Grau J. W. (1985). Contextual Learning in Pavlovian Conditioning. En P. D. Balsam y A. Tomie (eds.), Context and Learning. New Jersey, London: Lawrence Erlbaum Associates. [ Links ]
16. Reynolds, G. S. (1968). Compendio de condicionamiento operante. San Diego: Universidad de California. [ Links ]
17. Siegel, P. S. (1943). Drive shift, a conceptual and experimental analysis. Journal of Comparative Psychology, 35, 139-148. [ Links ]
18. Smith, D. & Lippman L. G. (1992). The effects of novel stimuli on water ingestion in bobwhite quail (colinus virginianus). The Psychological Record, 42, 179-188. [ Links ]
19. Turró, R. (1912). Orígenes del conocimiento, el hambre. Barcelona: Minerva. [ Links ]
20. Wilson, J. F., & Cantor M. B. (1986). Noise-induced eating in rats facilitated by prior tail pinch experience. Physiology & Behaviour, 37, 523-526. [ Links ]













