Services on Demand
Journal
Article
Indicators
-
Cited by SciELO -
Access statistics
Related links
-
Cited by Google -
Similars in
SciELO -
Similars in Google
Share
Universitas Psychologica
Print version ISSN 1657-9267
Univ. Psychol. vol.6 no.2 Bogotá May/Aug. 2007
EFECTOS DE VARIAR LA POSICIÓN TEMPORAL DEL ESTÍMULO INTRUSIVO DURANTE EL INTERVALO DE DEMORA Y DE LA CONSISTENCIA E INCONSISTENCIA DE LA RELACIÓN MUESTRA-REFORZADOR1
EFFECTS OF VARYING THE TEMPORARY POSITION OF THE INTRUDED STIMULUS DURING THE DELAY INTERVAL AND OF THE CONSISTENCY AND INCONSISTENCY OF THE SAMPLE-REINFORCER RELATIONSHIP
RENÉ ORTIZ Y CARLOS FLORES*
UNIVERSIDAD NACIONAL AUTÓNOMA DE MÉXICO, FES-IZTACALA, E-mail: cjflores@servidor.unam.mx ; Correo postal: Av. De los Barrios No. 1, Los Reyes Iztacala, Tlalnepantla, Estado de Mexico, Mexico c.p. 54090.
Recibido: agosto 3 de 2006 Revisado: noviembre 23 de 2006 Aceptado: enero 22 de 2007
ABSTRACT
The present study evaluated the effect of varying the temporary position of intruded stimuli during the delay interval and the consistency and inconsistency in the relationship sample-reinforcer in a delayed matching to sample task. For three pigeons the intruded stimulus maintained a consistent relationship with the sample-reinforcer relationship, while for other three pigeons the intruded stimulus maintained a inconsistent relationship with the sample stimulusreinforcer correlation. In both groups the position of the intruded stimulus was varied during the delay (begin, half and final). The discrimination index was lower in the final and half position in both groups. The results are discussed in terms of the relationship that have the temporary variables about the different properties that develop the stimuli.
Key words: intrusive stimuli, delayed matching to sample, stimulus-reinforcer correlation, pigeons, differential outcomes effect.
RESUMEN
El propósito del presente estudio fue evaluar el efecto de variar la posición temporal de estímulos intrusivos durante el intervalo de demora, y de la consistencia e inconsistencia en la relación muestra-reforzador en una tarea de igualación de la muestra demorada. Para tres palomas, el estímulo intrusivo mantuvo una relación consistente con la relación muestra-reforzador, mientras que para otras tres, el estímulo intrusivo mantuvo una relación inconsistente con la que guardaban el estímulo muestra y el reforzador. En ambos grupos se varió la posición del estímulo intrusivo durante la demora (inicio, mitad y final). Se encontró que el índice de discriminación fue más bajo en la posición final y mitad en ambos grupos. Los resultados se discuten en términos de la relación que tienen las variables temporales sobre las diferentes propiedades que desarrollan los estímulos.
Palabras clave: estímulo intrusivo, igualación a la muestra demorada, correlación estímulo-reforzador, palomas, efecto de consecuencias diferenciales.
En los procedimientos de igualación de la muestra cada ensayo incluye la presentación de un estímulo muestra (EM) y dos estímulos de comparación (ECO). El reforzamiento de las respuestas a los ECO depende de la relación que guarden con el EM –identidad, singularidad o identidad arbitraria– (Cumming & Berryman, 1961, 1965). Al emplear tareas de igualación de la muestra demorada, se ha reportado que el índice de discriminación se reduce cuando se presentan estímulos intrusivos (EI) durante el intervalo de demora (Etkin, 1972; Harper & White, 1997; Jans & Catania, 1980; Maki, Moe & Bierley, 1977).
Etkin (1972) evaluó los efectos de la presencia/ausencia de EI sobre el porcentaje de respuestas correctas de cuatro monos capuchinos. Los resultados demostraron que para tres de los cuatro sujetos el porcentaje de respuestas correctas fue significativamente mayor durante las sesiones en las que no se presentó el EI.
En otro estudio, Maki, Moe y Bierley (1977) evaluaron el efecto de la duración del EI durante el intervalo EM-ECO sobre el porcentaje de respuestas correctas en palomas. Los resultados mostraron que los sujetos alcanzaron un menor porcentaje de respuestas correctas cuando el EI permanecía encendido durante todo el intervalo de demora, que cuando éste solamente ocupaba una parte del intervalo EM-ECO.
En un estudio más reciente, Harper y White (1997) valoraron los efectos de la duración absoluta y relativa del EI sobre la precisión de palomas en una tarea de igualación de la muestra. El efecto del EI fue evaluado en cuatro fases. Durante la primera fase, el EI se presentó a lo largo de todo el intervalo EM-ECO; en la segunda, durante los primeros 1.5 s del intervalo; en la tercera, en los últimos 1.5 s del intervalo; y en la última fase, se demoró la mitad del tiempo que el intervalo. Los resultados demostraron que en las fases en las que la duración del EI fue constante (1.5 s al margen de su posición durante el intervalo) el índice de discriminación no fue afectado, en comparación con las otras condiciones.
Hasta este punto, los estudios reportados han utilizado como EI la iluminación de la cámara experimental; sin embargo, en otros estudios se han evaluado los efectos de presentar como EI una señal que previamente ha sido asociada con los ECO.
Zentall, Sherburne y Urcuioli (1993) evaluaron los efectos de presentar un EI que había sido asociado previamente con uno de los ECO. Emplearon colores (rojo y verde) y líneas (horizontal y vertical) como EM, y líneas (horizontal y vertical) como ECO. En la primera fase entrenaron a las palomas en una tarea en la que los EM rojo y línea vertical fueron asociados con el ECO línea vertical; en tanto que los EM verde y línea horizontal fueron asociados con el ECO línea horizontal. En una segunda fase se utilizaron los colores rojo y verde como EM, y como ECO un punto y un círculo. Por último, se realizó una fase prueba en la que se emplearon los colores rojo y verde como EM y se incrementó el intervalo EM-ECO a 2 s durante los cuales se presentaba como EI la línea horizontal o la línea vertical (utilizados en la primera fase), y un punto y un círculo sirvieron como ECO. En algunos ensayos se presentó, durante el intervalo EM-ECO, el estímulo previamente asociado con el EM, y fueron denominados consistentes. Por su parte, en algunos ensayos más se presentó el estímulo asociado con el otro EM, a ese tipo de ensayos se les denominó inconsistentes. Zentall et al. (1993) reportaron que los índices de discriminación alcanzados por los sujetos durante los ensayos consistentes fueron mayores que durante los ensayos inconsistentes.
Los estudios hasta aquí reportados permiten decir que en procedimientos de igualación de la muestra demorada, la intromisión de estímulos durante el intervalo EM-ECO produce una reducción importante en el índice de discriminación (Etkin, 1972; Harper & White, 1997; Maki et al., 1977). Así mismo, se puede decir que tal efecto de reducción del índice de discriminación puede modificarse si los estímulos intrusivos utilizados se asocian previamente con los ECO (Jans & Catania, 1980; Zentall et al., 1993).
Se ha reportado que otra variable que modifica los efectos de alargar la duración del intervalo EMECO es el establecimiento de correlaciones diferenciales entre cada EM con un reforzador (ER) distinto (Alling, Nickel & Poling, 1991; Carpio, Flores, Pacheco & Canales, 1997; Chatlosh & Wasserman, 1992; De Long & Wasserman, 1981).
Empleando diferentes correlaciones EM-ER, De Long y Wasserman (1981) evaluaron los efectos de distintas probabilidades de reforzamiento sobre la adquisición y la precisión en tareas de igualación de la muestra demorada. Para un grupo de palomas se reforzaron las respuestas correctas, con una probabilidad de 0.6 (grupo no diferencial), independientemente del EM que se presentara en cada ensayo (EM1 o EM2); mientras que en otro grupo se reforzaron las respuestas correctas con una probabilidad de 0.2 en los ensayos con el EM1 y con 1.0 para los ensayos con el EM2. Los resultados mostraron que el grupo con reforzamiento diferencial adquirió más rápidamente la discriminación y en este aspecto alcanzó índices más altos que las palomas entrenadas con reforzamiento no diferencial. Con relación al efecto de alargar la duración del intervalo EM-ECO, reportaron que en las palomas con reforzamiento diferencial hubo un menor decremento en el índice de discriminación, en comparación con las palomas que recibieron reforzamiento no diferencial. A esto se le conoce comúnmente en la literatura como efecto de consecuencias diferenciales (Brodigan & Peterson, 1976; Estevez, Fuentes, Overmier & Gonzalez, 2003; Estevez, Overmier & Fuentes, 2003; Honig, Matheson & Dood, 1984; Miyashita, Nakajima & Imada, 2000; Peterson & Trapold, 1980; Peterson, Wheeler & Amstrong, 1978; Peterson, Wheeler & Trapold, 1980; Trapold, 1970).
En un estudio reciente, Pacheco, Flores, González, Canales y Carpio (2005) evaluaron los efectos de la presentación de EI consistentes e inconsistentes con la relación EM-ER sobre la precisión de palomas en tareas de igualación de la muestra demorada. Inicialmente entrenaron a las palomas para picar una tecla que se podía iluminar con uno de cuatro colores (rojo, verde, azul y amarillo). Las respuestas durante los colores rojo y azul fueron reforzadas con 3 s de acceso al grano y estuvieron acompañadas por la iluminación intermitente del comedero (ER1), mientras que las respuestas ante los colores verde y amarillo fueron reforzadas con 1 s de acceso al grano (ER2). Con base en este entrenamiento, se establecieron diferentes correlaciones estímulo-ER y dieron lugar a dos pares de estímulos. Posteriormente entrenaron a las palomas en la tarea de igualación de la muestra demora cero, y emplearon como EM los colores rojo y verde, y círculo y triángulo como ECO. Las respuestas correctas fueron reforzadas con el ER1, siempre y cuando los ensayos iniciaran con el EM rojo y la respuesta se emitiera ante el triángulo; por su parte, en los ensayos con EM verde se reforzaron las respuestas con el ER2, siempre y cuando la respuesta se emitiera ante el círculo. Después de que las palomas alcanzaron un criterio de 75% de respuestas correctas, se incrementó en bloques de cinco sesiones el intervalo EM-ECO en 2, 4, 8 y 16 s. Durante el intervalo de demora se presentó como EI el color azul o el amarillo. Para un grupo de tres palomas siempre se presentó el EI azul en los ensayos con EM rojo y el EI amarillo en los ensayos con EM verde (grupo consistente). Para otras tres palomas se invirtieron las relaciones, es decir, se presentó el EI amarillo en los ensayos con EM rojo y el EI azul en los ensayos con EM verde (grupo inconsistente). En ambos grupos el EI se presentó durante los últimos dos segundos del intervalo EM-ECO.
Pacheco et al. (2005) reportaron que los índices de discriminación fueron similares, tanto para las palomas del grupo consistente como para las del grupo inconsistente, y que alargar la duración del intervalo EM-ECO desde 2 hasta 16 mostró un mantenimiento en los índices de discriminación en ambos grupos, que incluso fueron muy cercanos a los obtenidos durante el entrenamiento en demora cero. La ausencia de diferencias entre los índices de discriminación en ambos grupos, en los diferentes valores del intervalo EM-ECO, fue interpretada por Pacheco et al. (2005) como un efecto de la posición temporal del EI y del desarrollo de un control por parte de éste para la respuesta de elección a los ECO. Estas explicaciones se vieron fortalecidas cuando en fases de prueba evaluaron el papel de la presencia vs. ausencia de los EI, reportando que en las sesiones con EI los índices de discriminación fueron considerablemente más elevados que los obtenidos en las sesiones en las que éstos se eliminaron. De este modo se evidencia que el EI ganó control sobre la respuesta de elección a los ECO y que el EM se volvió funcionalmente irrelevante para la elección de los ECO. Adicionalmente, el hecho de haber presentado el EI durante los últimos 2 s del intervalo EM-ECO, les permitió explicar que los índices de discriminación se mantuvieran constantes en los diferentes valores del intervalo.
En su conjunto, los estudios hasta ahora reportados permiten identificar el papel que tiene la presentación de EI durante el intervalo EM-ECO. El hecho de que en el estudio de Pacheco et al. (2005) no se encontrara el efecto bien documentado de alargar el intervalo EM-ECO, fue explicado atendiendo a la posición temporal del EI (siempre se presentó durante los últimos segundos).
En un intento por identificar las variables responsables de las funciones que desarrollan los estímulos en distintas condiciones experimentales, el presente estudio se diseñó para evaluar el efecto de variar la posición temporal del EI durante el intervalo EM-ECO, y de la consistencia o inconsistencia que guarda el EI con las relaciones de contingencia EM-ER.
Método
Sujetos
Se emplearon seis pichones machos, criollos, experimentalmente ingenuos, privados de alimento y mantenidos al 80% de su peso ad limitum, y con acceso libre al agua en sus jaulas-hogar.
Aparatos
Dos cámaras de condicionamiento operante, marca Coulbourn Instruments (31 cm de largo, 30.5 cm de altura y 25.5 cm de ancho) para pichones. En el panel operativo se colocaron tres teclas translúcidas de 2.5 cm de diámetro, en las que se proyectaron luces de distintos colores (rojo, verde, amarrillo, azul), y distintas figuras (línea vertical y línea horizontal). Las teclas estuvieron separadas entre sí por 6 cm y 21 cm arriba del piso. A 17 cm debajo de la tecla central y 4 cm arriba del piso, se colocó el dispensador de comida que fue iluminado por una luz blanca de 5 W. Para la programación y registro de los eventos experimentales se utilizó un equipo de cómputo Acer Mate 386, conectado a una interfase MED. Para enmascarar los ruidos ajenos al experimento, la cámara experimental se colocó en un cuarto adyacente presentando un ruido de blanco constante, en una cámara de aislamiento acústico Coulbourn Instruments modelo E10-10.
Procedimiento
Las sesiones experimentales se llevaron a cabo cinco días a la semana (lunes a viernes), colocando a los sujetos en la cámara experimental, siempre en el mismo orden y a la misma hora.
Mediante asignación aleatoria se formaron dos grupos de tres sujetos cada uno: grupo consistente (GC) y grupo inconsistente (GI). Todos los sujetos fueron expuestos a un procedimiento de automoldeamiento (Brown & Jenkins, 1968) con las siguientes características: se iluminó la tecla central con una luz blanca durante 8 s, a cuyo término se activaba el dispensador de alimento durante 3 s. Después de la presentación del alimento inició un intervalo entre ensayos (IEE) de 60 s. Cuando los sujetos emitieron una respuesta durante la tecla iluminada, la luz se cancelaba y se activaba el dispensador de alimento. Cada sesión consistió en la presentación de 60 apareamientos luz-comida y los sujetos se mantuvieron en estas condiciones, hasta que por lo menos emitieran una respuesta en el 50% de ensayos programados.
Preentrenamiento
Al inicio de cada sesión se podía iluminar la tecla central con uno de cuatro colores posibles (rojo, azul, verde y amarillo) y permanecía encendida durante 5 s. Para las luces de color rojo y azul se programó una probabilidad de reforzamiento (PER) de 1.0; para las verdes y amarillas la PER fue de 0.2. Cada entrega de alimento tenía una duración de 3 s, a cuyo término iniciaba un IEE de 30 s. Cada sesión constaba de 60 ensayos, y el número de colores se balanceaba en cada sesión. Los sujetos se mantuvieron en estas condiciones hasta que, por el método de inspección visual, las tasas de respuesta ante el par rojo-azul fueran más elevadas que ante el par verde-amarillo; y que las latencias en el par rojo-azul fueran más cortas que ante el par verde-amarillo.
Fase I. Igualación de la muestra demorada
Concluido el entrenamiento anterior, todos los sujetos fueron expuestos a un procedimiento en igualación de la muestra arbitraria con las siguientes características: al inicio de cada ensayo se presentó en la tecla central como EM una luz de color rojo o verde durante 5 s, a cuyo término e inmediatamente después, se presentó como ECO una línea vertical u horizontal durante 3 s. De este modo, y dependiendo de las posibles combinaciones entre estímulos, se formaron cuatro tipos de ensayos: rojo-horizontal, verde-vertical (ensayos positivos); rojovertical y verde-horizontal (ensayos negativos). La presentación de cada ensayo se balanceó con una probabilidad de 0.25 cada uno. Únicamente se activaba el dispensador de alimento si se emitía por lo menos una respuesta durante el ECO en los ensayos positivos. Las respuestas en los ensayos negativos no tuvieron ninguna consecuencia programada. En los ensayos con EM de color rojo se mantuvo una PER de 1.0, mientras que en los ensayos con EM verde la PER fue de 0.2. Al finalizar el ensayo o la entrega del alimento, inició un IEE de 12 s. Los sujetos se mantuvieron en estas condiciones hasta que emitieron por lo menos el 80% de respuestas correctas en dos sesiones consecutivas. Alcanzado el criterio anterior, se alargó el intervalo EM-ECO a 2, 4 y 6 s. El criterio para incrementar la duración del intervalo EMECO fue que los sujetos mantuvieron por lo menos el 80% de respuestas correctas durante dos sesiones consecutivas. En cada sesión se programaron 60 ensayos de igualación de la muestra y 20 ensayos de discriminación simple similares a los del preentrenamiento.
Fase II. Presentación de intrusivos
Concluida la fase anterior, todos los sujetos fueron expuestos a una tarea de igualación demorada con un intervalo EM-ECO de 6 s. Durante la demora se podían presentar los estímulos amarillo o azul (utilizados en el entrenamiento de discriminación simple y que denominaremos estímulos intrusivos EI).
Para tres palomas se presentó el EI correlacionado con el mismo reforzador que el EM, es decir, en los ensayos con EM rojo se presentó el color azul como EI, y en los ensayos con EM verde se presentó el color amarillo como EI. Para las otras tres palomas se presentó el EI correlacionado con un reforzador distinto al correlacionado con el EM, es decir, en los ensayos con EM rojo se presentó el color amarillo como EI; por su parte, en los ensayos con EM verde se presentó el color azul como EI. La duración del EI fue de 2 s y se varió intrasesión el momento de su presentación, durante los primeros dos segundos (inicio), del segundo dos al segundo cuatro (mitad), o durante los últimos dos segundos del intervalo de demora (final). Los sujetos se mantuvieron en estas condiciones durante 16 sesiones de 60 ensayos cada una.
Resultados
Los resultados que se describirán corresponden a cuatro de los seis sujetos, debido a que dos de ellos no superaron el criterio de ejecución establecido para incrementar la duración del intervalo EM-ECO durante la Fase I.
Durante el preentrenamiento todos los sujetos mostraron diferencia entre las tasas de respuesta del Par 1 y Par 2. Una prueba T para muestras relacionadas mostró que la tasa de respuesta a los estímulos rojo y azul (1.65) fue significativamente más alta que la tasa de respuesta durante los estímulos verde y amarillo (0.71) (t(3) = 3.279, p < 0.05). La latencia de la respuesta durante los estímulos rojo y azul fue significativamente más corta (2.24) que durante los estímulos verde y amarillo (3.76) (t(3) = -5.598, p < 0.05).
En la Figura 1 se presenta la tasa de respuesta (porcentaje de la tasa máxima) por sujeto en los ensayos positivos y negativos, promedio de las últimas diez sesiones en cada valor de la demora. Aquí se observa que la tasa de respuesta durante los ensayos positivos siempre fue más alta que durante los ensayos negativos para los cuatro sujetos en todos los valores de demora. También se puede observar que las diferencias entre las tasas en ensayos positivos y negativos es mayor para los sujetos 1 y 3 que para los sujetos 2 y 4. Con base en las tasas promedio en ensayos positivos y negativos, sin considerar el valor de demora, una prueba T para muestras relacionadas mostró diferencias significativas (t(15) = 8.090, p < 0.05).
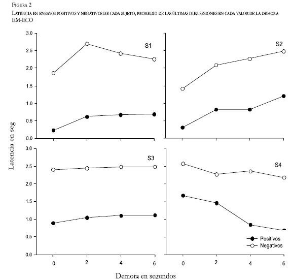
En la Figura 2 se presenta la latencia por sujeto en los ensayos positivos y negativos, promedio de las últimas diez sesiones en cada valor de la demora. El gráfico permite observar que la latencia durante los ensayos positivos siempre fue más corta que durante los ensayos negativos en todos los valores de demora. Una prueba T de las medias de la latencia en ensayos positivos y negativos, sin considerar la duración del intervalo EM-ECO, confirmó que las latencias en los ensayos negativos fue significativamente más alta que la latencia en los ensayos positivos (t(15) = -16.872, p < 0.05). La media de la latencia en los ensayos positivos fue de 0.90, mientras que la de los ensayos negativos fue igual a 2.29
Con el propósito de mostrar que los sujetos se mantuvieron respondiendo con diferentes tasas a los EM, la Figura 3 presenta la tasa de respuesta (porcentaje de la tasa máxima) a los EM, promedio de las últimas diez sesiones en cada valor de demora. En general se puede observar que las cuatro palomas respondieron con tasas de respuesta más elevadas durante el EM rojo que durante el EM verde, con excepción del sujeto 2 en la condición con demora 6 s, y del sujeto 3 en la condición con demora cero. Una prueba T de las medias de la tasas de respuesta durante cada EM, sin considerar la duración de la demora EM-ECO, reveló que las tasas durante el EM rojo fueron significativamente más altas que las obtenidas durante el EM verde (t (15) = 4.121, p < 0.05). El promedio de la tasa del EM rojo fue de 1.14, mientras que la del EM verde fue de 0.48.
En la Figura 4 se presentan las tasas de respuesta de cada sujeto durante los EM en la fase de presentación de los EI. En esta figura se puede observar que en las cuatro palomas la tasa de respuesta fue más elevada durante el EM rojo que durante el EM verde, y que, en términos generales, las cifras son más elevadas para los sujetos con EI consistente (sujetos 1 y 3). Las tasas de respuesta ante cada EM, promedio de los sujetos consistentes, fueron 0.76 y 0.32, mientras que para los sujetos inconsistentes fueron 0.28 y 0.11.
De manera similar al análisis de la tasa de respuesta en los ensayos positivos y negativos durante la Fase 1, en la Figura 5 se presentan las tasas de cada sujeto, promedio de las 16 sesiones de la Fase 2. En esta figura se puede observar que en los cuatro sujetos las tasas de respuesta siempre fueron más elevadas en los ensayos positivos que en los negativos. Para identificar si existen diferencias significativas entre las tasas de respuesta en los ensayos positivos y los ensayos negativos, dos pruebas t para muestras relacionadas, independientes para cada grupo (consistente e inconsistente), confirmaron que tanto para el grupo consistente (t (31) = 10.081, p < 0.05) como para el inconsistente (t(31) = 9.858, p < 0.05) las tasas de respuesta fueron significativamente más elevadas en los ensayos positivos que en los ensayos negativos. Las medias para el grupo consistente fueron 2.54 y 1.03 para los ensayos positivos y negativos, respectivamente. Para el grupo inconsistente fueron 1.93 y 0.65, asignados a los ensayos positivos y negativos, respectivamente.
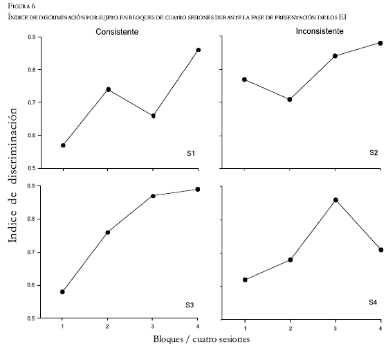
En la Figura 6 se presentan los índices de discriminación de cada sujeto en bloques de cuatro sesiones durante la fase 2. En esta figura se observa que la presentación del EI resultó en un decremento inmediato del índice de discriminación en los cuatro sujetos. Se observa que con el transcurso de las sesiones el índice tiende a incrementar, aunque los aumentos son más claros en los sujetos 1, 2, y 3. Los índices promedio para los sujetos con EI consistente fueron 0.70 y 0.77, mientras que para los sujetos con EI inconsistente fueron 0.8 y 0.71. No se encontraron diferencias significativas entre los índices de discriminación de los sujetos con EI consistente y con EI inconsistente.
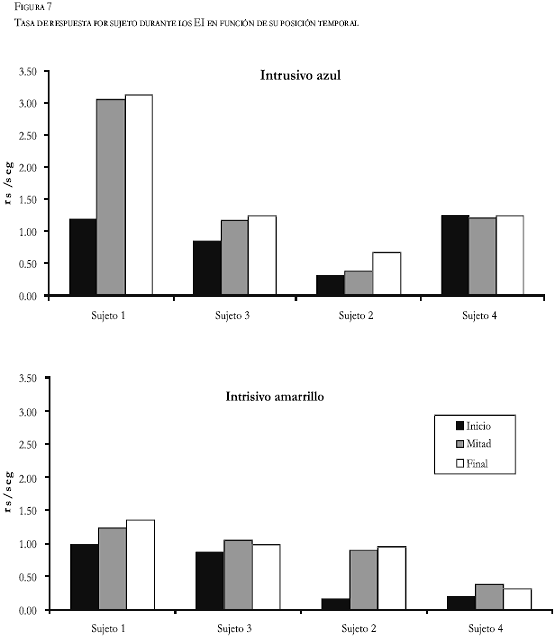
Las tasas de respuesta promedio durante cada EI en las tres posiciones temporales se presentan en la Figura 7, en la que se puede observar que las tasas de respuesta tienden a incrementar conforme la presentación del EI se aproxima al ECO (posición final). Este efecto se observa claramente en los sujetos 1, 2 y 3, tanto en el EI azul como en el amarillo. También se observa que las tasas de respuesta fueron más elevadas para los sujetos con EI consistente. Las tasas de respuesta promedio del EI azul y del EI amarillo en cada posición temporal (inicio, mitad y final) para los sujetos con EI consistente (S1 y S3) fueron: 1.09, 2.15, 2.24 y 0.85, 1.11, 1.11, respectivamente. Para los sujetos con EI inconsistente (S2 y S4) fueron 0.23, 0.64, 0.81 y 0.71, 0.8, 0.78, respectivamente.
Finalmente, en la Figura 8 se presenta el índice de discriminación por sujeto en función de la posición temporal del EI (inicio, mitad y final). En esta figura se observa que para los cuatro sujetos los índices tienden a decrementar en función de la proximidad temporal del EI con el ECO (posición final), es decir, los índices fueron más elevados cuando el EI se presentó al inicio del intervalo EM-ECO que cuando el EI se presentó al final. Para los sujetos 1 y 3 (consistentes) los índices fueron: 0.77, 0.69, 0.6 y 0.77, 0.71, 0.67, respectivamente. Para los sujetos con EI inconsistente (2 y 4) fueron: 0.8, 0.72, 0.65 y 0.84, 0.78, 0.67, respectivamente.
Discusión
El propósito del presente estudio fue evaluar el efecto de variar la posición temporal del EI durante el intervalo de demora, y de la consistencia o inconsistencia que guarda éste EI con la relación EM-ER.
De manera general, se encontró que las tasas de respuesta ante los estímulos correlacionados con PER de 1.0 (rojo y azul) fueron superiores a las observadas ante los estímulos correlacionados con una PER de 0.2 (verde y amarillo). Este dato es importante dado que destaca un responder específico y diferenciado ante cada par de estímulos, como resultado de las correlaciones diferenciales estímulo-reforzador. Estos resultados son similares a los reportados por varios estudios en los que también se han empleado tareas de igualación de la muestra con diferentes correlaciones muestrareforzador (Alling et al., 1991; De Long & Wasserman, 1981). Adicionalmente, el hecho de observar latencias más cortas ante los estímulos rojo y azul, que ante los estímulos verde y amarillo, fortalece la noción de que se establecieron diferentes controles por parte de cada par de estímulos.
Encontrar un decremento en el índice de discriminación, al pasar de la fase de igualación de la muestra demorada a la fase de presentación del EI es un resultado consistente al reportado en los estudios que han evaluado los efectos de la intrusión de estímulos durante el intervalo de demora EM-ECO (Etkin, 1972; Grant, 1982; Harper & White, 1997; Maki et al., 1977). Sin embargo, encontrar que los índices de discriminación tienden a incrementar a lo largo de las sesiones experimentales (ver Figura 6) es una cuestión que merece un análisis detallado. Se esperaría que la presentación de los EI en los sujetos inconsistentes (2 y 4) resultara en menores índices de discriminación que en los sujetos consistentes (1 y 3), debido a las diferentes correlaciones entre los EI y la relación EM-ER, es decir, se esperaría lo que en algunos estudios se ha reportado como efecto de facilitación/interferencia (Jans & Catania, 1980; Zentall et al., 1993). Esta diferencia en los resultados es difícil de interpretar, más aún cuando las tasas de respuesta y las latencias fue ron muy diferentes, tanto para los estímulos que habían sido correlacionados con una PER de 1.0, como para los correlacionados con PER de 0.2.
Pacheco et al. (2005), empleando una tarea muy similar a la utilizada en el presente estudio, reportaron resultados similares a los nuestros, al no encontrar diferencias entre los índices de discriminación de los sujetos con EI consistente y con EI inconsistente. La explicación ofrecida por Pacheco et al. (2005) se basó, atendiendo a la posición temporal del EI, en el intervalo de demora EM-ECO, dado que el EI siempre se presentó durante los últimos dos segundos de una demora de 16s. Se planteó que el EI controló la respuesta de elección al ECO y que el EM se volvió funcionalmente irrelevante. Esta explicación se ve fortalecida cuando en una fase de prueba eliminaron la presentación del los EI y los índices de discriminación, tanto para los sujetos consistentes como para los inconsistentes, se mantuvieron en el nivel de azar (0.5).
Dos aspectos importantes que cabe destacar del presente estudio, y que no se reportaron en el trabajo de Pacheco et al. son las latencias y las tasas de respuesta a los estímulos. A lo largo de la fase de presentación de los EI se encontraron tasas de respuesta más elevadas durante el EI azul que durante el EI amarillo; de manera similar, se encontraron mayores tasas de respuesta ante el EM rojo que ante el EM verde (ver figuras 4 y 7).
Contar con estas medidas permitió observar que la posición temporal del EI controló diferentes tasas de respuesta. Mientras más cerca se ubicaron los EI del ECO, las tasas de respuesta tendieron a incrementar; de hecho, las tasas de respuesta parecen seguir una distribución de tipo festón a la manera de un programa de intervalo fijo (Ferster & Skinner, 1957). Esta distribución de respuestas es similar a la reportada en otro trabajo sobre intrusión de estímulos en procedimientos más simples que el empleado en el presente estudio (Farmer & Schoenfeld, 1966).
Con base en los resultados y las explicaciones ofrecidas por Pacheco et al. (2005), se podía esperar que el índice de discriminación fuera más elevado en la posición final que en las posiciones media e inicial, ya que el EI se presentó más próximo al ECO (ver Figura 8), a la manera de una tarea de igualación de la muestra con demora cero. El hecho de encontrar resultados opuestos conduce a replantear dichas explicaciones y permite destacar la importancia que tienen las variables temporales sobre las diferentes funciones que desarrollan los estímulos, y que una aproximación integrativa de los resultados reportados en diferentes estudios sobre los efectos de la presentación de EI no puede considerar únicamente las relaciones entre el EI y el ER, sean éstas “consistentes” o “inconsistentes”.
1 Este trabajo fue posible gracias al financiamiento IN300604 de la DGAPA-UNAM y son parte del trabajo que presenta el primer autor para obtener el título de Licenciado en Psicología.
Referencias
Alling, K., Nickel, M. & Poling, A. (1991). The Effects of Differential and Nondifferential Outcomes on Responses Rates and Accuracy under a Delayed- matching-to-sample Procedure.The Phychological Record, 41, 537-549. [ Links ]
Brodigan, D. L. & Peterson, G. B. (1976). Two-choice Condicional Discrimination Performance of Pigeons as a Fuction of Reward Expectancy, Prechoice Delay, and Domesticity. Animal Learning and Behavior, 4, 121-124. [ Links ]
Brown, P. L. & Jenkins, H. M. (1968). Auto Shaping of the Pigeon´s Key-peck. Journal of the Experimental Analysis of Behavior, 11, 1-8. [ Links ]
Carpio, C., Flores, C. Pacheco, V. & Canales, C. (1997). Efectos de consecuencias diferenciales en tareas de igualación de la muestra demorada con reforzamiento dependiente e independiente de la respuesta. Acta Comportamentalia, 5, 129-142. [ Links ]
Chatlosh, D. L. & Wasserman, E. A. (1992). Memory and Expectancy in Delayed Discrimination Procedures. En I. Gormezano & E. A. Wasserman (Eds.). Learning and Memory (pp. 61-78). Lawewnce: Erlbaum Associates. [ Links ]
Cumming, W. W. & Berryman, R. (1961). Some Data on Matching Behavior in the Pigeon. Journal of the Experimental Analysis of Behavior, 4, 281-284. [ Links ]
Cumming, W. W. & Berryman, R. (1965). The Complex Discriminated Operant: Studies of Matching to Sample and Related Problems. En D. I. Mostfosky (Ed.), Stimulus generalization (pp. 284- 330). Stanford: Stanford University Press. [ Links ]
De Long, R. E. & Wasserman, E. A. (1981). Effects of Differential Reinforcement Expectancies on Successive Matching to Sample Performance in Pigeons. Journal Experimental PhyChology: Animal Behavior Processes, 7, 394-412. [ Links ]
Estevez, A. F., Fuentes, L. J., Overmier, J. B. & Gonzalez, C. (2003). Differential Outcomes Effect in Children and Adults with Down’s Syndrome. American Journal on Mental Retardation, 108 (2), 108-116. [ Links ]
Estevez, A. F., Overmier, J. B. & Fuentes, L. J. (2003). Differential Outcomes Effect in Children: Demonstration and Mechanisms. Learning & Motivation, 34, 148-167 [ Links ]
Etkin, M. (1972). Light Produced Interference in Delayed Matching Task with Capuchin Monkeys. Learning and Motivation, 3, 313-324. [ Links ]
Farmer, J. & Schoenfeld, W. N. (1966). Varying Temporal Placement of an Added Stimulus in a Fixedinterval Schedule. Journal of the Experimental Analysis of Behavior, 9, 369-375. [ Links ]
Ferster, C. B. & Skinner, B. F. (1957). Schedules of Reinforcement. New York: Appleton- Century- Cosfts. [ Links ] Grant, D. (1982). Prospective versus Retrospective Coding of Sample of Stimuli, Responses and Reinforcers in Matching with Pigeons. Learning & Motivation, 13, 265-280. [ Links ]
Harper, D. & White, G. (1997). Retroactive Interference and Rate of Forgetting in Delayed Matching to Sample Performance. Animal Learning and Behavior, 25, 158-164. [ Links ]
Honig, W. K., Matheson, W, R. & Dood, P. W. D. (1984). Outcome Expectancies as Mediators for Discriminative Responding. Canadian Journal of Phychology, 38, 196-217. [ Links ]
Jans, J. & Catania, C. (1980). Short-term Remembering of Discriminative Stimuli in Pigeons. Journal of Experimental Analysis of behavior, 34, 177-183. [ Links ]
Maki, W., Moe, J. & Bierley, C. (1977). Short-term Memory for Stimuli, Responses, and Reinforcers. Journal of Experimental Psychology: Animal Behavior Processes, 3 (2), 156-177. [ Links ]
Miyashita, Y., Nakajima, S., & Imada, H. (2000). Differential Outcome Effect in the Horse. Journal of the Experimental Analysis of Behavior, 74, 245-253. [ Links ]
Pacheco, V., Flores, C., González, F., Canales, C. & Carpio, C. (2005). Efectos de la consistencia de las relaciones intrusivo-reforzador y muestrareforzador en igualación a la muestra. Psicothema, 17 (1), 118-122. [ Links ]
Peterson, G. B. & Trapold, M. A. (1980). Effects of Altering Outcome Expectancies on Pigeon Delayed Conditional Discrimination Performance. Learning and Motivation, 11, 267-288. [ Links ]
Peterson, G. B., Wheeler, R. L. & Amstrong, G. D. (1978). Expectancies as Mediators in the Differential- reward Conditional Discrimination Performance of Pigeons Animal. Learning and Behavior, 6, 279-285. [ Links ]
Peterson, G. B., Wheeler, R. L. & Trapold, M. A. (1980). Enhancement of Pigeons Conditional Discrimination Performance by Expectancies of Reinforcement and Non Reinforcement. Animal Learning and Behavior, 8, 22-30. [ Links ]
Trapold, M. A. (1970). Are the Expectancies Bases upon Different Positive Reinforcing Event Discriminably Different? Learning and Motivation, 1, 129-140. [ Links ]
Zentall, T., Sherburne, L. & Urcuioli, P. (1993). Common Coding by Pigeons in a Many- to -one Delayed Matching Task as Evidenced by Facilitation and Interference Effects. Animal Learning & Behavior, 21 (3), 233- 237. [ Links ]












