Services on Demand
Journal
Article
Indicators
-
Cited by SciELO -
Access statistics
Related links
-
Cited by Google -
Similars in
SciELO -
Similars in Google
Share
Iteckne
Print version ISSN 1692-1798
Iteckne vol.10 no.2 Bucaramanga July/Dec. 2013
Selección de Access Point en redes inalámbricas 802.11 garantizando mínima capacidad para QoS basado en control de potencia
Access point selection in 802.11 Wireless networks ensuring minimum capacity for QoS based on power control
Evelio Astaiza Hoyos1, Dora Lucía Trujillo2, Héctor Fabio Bermúdez Orozco3
1 Ph.D.(c) Ciencias de la Electrónica, Universidad del Quindío. Colombia. eastaiza@uniquindio.edu.co.
2 Ingeniera Electrónica, Universidad del Quindío, Colombia. dlucia_1987@hotmail.com.
3 Ph.D.(c) Procesado de señales y las comunicaciones, Universidad del Quindío, Colombia. hfbermudez@uniquindio.edu.co.
RESUMEN
En este artículo se modela una red inalámbrica como un juego no cooperativo y estático, en el cual los usuarios buscan obtener su mínima capacidad través de la elección de un Access Point. Particularmente, en este documento se propone un algoritmo que busca realizar la selección del punto de acceso inalámbrico que permita garantizar la mínima Calidad del Servicio (QoS) basada en capacidad para todos los usuarios en redes 802.11, garantizadas las tasas de transferencia requeridas para realizar cualquier tarea en la red, y propender por el menor consumo energético posible. De acuerdo a la teoría de juegos, existen muchos conceptos de solución pero para este caso particular se utiliza el concepto de equilibrio de satisfacción eficiente, el cual garantiza el objetivo propuesto. El resultado obtenido del análisis del modelo planteado y de aplicar la teoría de juegos, es un algoritmo que permite realizar la selección de punto de acceso inalámbrico mediante el concepto de equilibrio de satisfacción eficiente, el cual garantiza calidad del servicio desde la perspectiva de capacidad y minimiza el consumo energético. Finalmente, se concluye que es posible mejorar el mecanismo de selección y asociación de punto de acceso en redes 802.11 mediante la implementación de algoritmos que articulen la calidad del servicio con la eficiencia energética, lo anterior, como un posible aporte para el desarrollo del estándar de radio cognitivo en redes 802.11.
PALABRAS CLAVE: Capacidad, Calidad de servicio, Equilibrio de Nash, Equilibrio de Satisfacción Eficiente, Teoría de juegos, Radio Cognitivo.
ABSTRACT
In this paper we model a wireless network as a static, non-cooperative game in which users seek to obtain its minimum capacity through the choice of an Access Point. Particularly, this paper proposes an algorithm that seeks to make the selection of the wireless access point that will guarantee a high Quality of Service (QoS) based on ability for all users in 802.11 networks, ensuring transfer rates required for any network task , tending the lowest possible energy consumption. According to game theory, there are many solution concepts, but for this particular case we use the concept of efficient satisfaction equilibrium, which guarantees the objective. The result of the analysis of the model proposed and applied game theory, is an algorithm that allows access point selection using the concept of efficient satisfaction equilibrium, which guarantees service quality from the perspective of capacity , minimizing energy consumption . Finally we conclude that it is possible to improve the mechanism of selection and access point association in 802.11 networks by implementing algorithms that articulate the quality of service to energy efficiency, above, as a possible contribution to the development of radio standard cognitive 802.11 networks.
KEYWORDS: Capacity, Quality of Service, Nash Equilibrium, Efficient Satisfaction Equilibrium, Game Theory, Cognitive Radio.
1. INTRODUCCIÓN
En los últimos años se han logrado grandes avances en cuanto a las tecnologías empleadas en el estándar 802.11 [9], [14], con el fin de mejorar cada vez el rendimiento de ésta y prestar un mejor servicio a todos los usuarios. Dentro de este estándar, existen una gran variedad de protocolos que se diferencian entre sí por las técnicas de modulación, de codificación y velocidades de transmisión utilizadas, así como las mejoras en cuanto a la calidad de servicio y los niveles de seguridad en la red. La calidad de servicio es una de las variables más importantes, ya que tiene en cuenta que toda actividad que se quiera desarrollar en la red requiere una capacidad determinada, de lo contrario cada usuario estaría insatisfecho con la prestación del servicio.
La teoría de juegos ha sido una herramienta muy utilizada para modelar una red inalámbrica con el fin de analizar los problemas que allí se presentan. Este artículo centra la investigación en el proceso de seleccionar un Access Point (AP) en este tipo de redes según la calidad de servicio, es decir, garantizarle al usuario una mínima capacidad para poder transmitir información en un tiempo dado. Para cumplir con este objetivo, es necesario cumplir con los requerimientos mínimos de algunos parámetros que son influyentes en el establecimiento de una comunicación como lo son la potencia de transmisión, la relación señal a ruido (SINR), las pérdidas de propagación, los desvanecimientos y los retardos en la señal, entre otras. Entonces, modelar como un juego una red inalámbrica en la cual influyen un determinado número de transmisores y receptores, ayuda a obtener estratégicamente modelos de solución mediante conceptos como son el equilibrio de Nash y el equilibrio de satisfacción.
Para este caso particular, el juego busca garantizar una buena calidad de servicio para los usuarios de una red desde el punto de vista de obtener la mínima capacidad y la mínima potencia requerida para ello, utilizada como función de utilidad la ecuación de Shannon mediante la cual se busca obtener una solución. Uno de los conceptos de solución más utilizados es el equilibrio de Nash, con el cual se garantizan soluciones donde cada uno de los usuarios obtiene máximas capacidades, habida cuenta que para lograr esta máxima capacidad, la potencia de transmisión también debe ser máxima, lo cual implicaría un esfuerzo significativo por parte del transmisor lo cual incrementaría el costo para poder obtener dicho resultado. En muchas ocasiones pueden presentarse múltiples equilibrios de Nash, un único equilibrio o en su defecto ninguno.
En múltiples trabajos e investigaciones realizadas, se han utilizado conceptos de solución, como lo son: el equilibrio de satisfacción y el equilibrio eficiente de satisfacción; en cuanto al primer criterio, se toma como solución una región de capacidades que están por encima de una capacidad umbral determinada por la tarea que vaya a desempeñar cada uno de los usuarios. A partir de este concepto surge el equilibrio de satisfacción eficiente, el cual da como resultado un único punto de satisfacción en el que los dos usuarios garanticen las capacidades umbrales, equivalente a la mínima capacidad obtenida para cada uno de ellos en la región de equilibrios de satisfacción. [1], [2], [3], [4], [5]
2. MODELO DEL SISTEMA
Para este trabajo se ha seleccionado como modelo un juego no cooperativo y estático [10],[11],[15], en el cual, se tiene a cada jugador como un ser racional y egoísta que va a actuar de acuerdo con sus necesidades sin importar en gran medida las elecciones que realicen los demás jugadores. Así mismo, es estático porque el análisis realizado se hará bajo conocimiento de todas las variables que interactúan a la hora de alcanzar la máxima utilidad de acuerdo con la función elegida pero únicamente en un instante de tiempo.
El modelo del juego planteado se puede visualizar en la Fig. 1, en el cual se puede ver un número finito de jugadores K, un número finito de puntos de acceso N (AP) y los múltiples canales de comunicación hi,k entre cada uno de los usuarios y el punto de acceso mediante el cual obtendrá una conexión a la red. El tipo de red sobre el cual se basará el proyecto, es en una red que esté trabajando de acuerdo al estándar 802.11 g.
El juego se puede plantear estratégicamente de la siguiente manera:
Donde i es el número de jugadores o usuarios de la red, Pi,k las potencias que equivalen a cada una de las posibles estrategias que tiene disponible cada jugador y Uk como función de utilidad que dependerá básicamente del nivel de potencia de acuerdo a la estrategia seleccionada por cada jugador. Inicialmente el planteamiento de este problema se hace para un juego de una red de NxK, es decir, K número de jugadores y N número de puntos de acceso. Pero, para mayor facilidad se trabajará como un juego de 2x2, ya que la solución y el tratamiento que se le haga a este tipo de red son extensibles a un juego de múltiples elementos participantes en el juego.
Es importante resaltar que cada uno de los transmisores tiene una potencia límite que puede transmitir al receptor definida por:
Donde Pi,k es la potencia dedicada a un receptor k por parte del transmisor i y Pmax es la potencia de transmisión máxima con la que se puede establecer comunicación entre el transmisor y el receptor, estando ésta a su vez relacionada con la máxima potencia que puede recibir un receptor hasta llegar al punto de saturación. Así mismo, se debe tener en cuenta que el canal de comunicación hi,k tiene una respuesta al impulso diferente en cada uno de ellos y es determinante en el establecimiento de la comunicación entre cada transmisor y cada receptor. Cada canal de comunicación cuenta con una ganancia que está determinada por g = |hi,j|2, que a su vez, no se comporta como una ganancia sino como una atenuación debido a diversos fenómenos que se presentan en dicho canal como son rutas multitrayecto, desvanecimientos, interferencias y disminución de la relación señal a ruido, entre otras. Pero de todos estos fenómenos uno de los más influyentes es la relación señal a ruido (SINR), la cual está determinada por:
Donde
y σk2 = NoBs donde No es la densidad de ruido espectral.
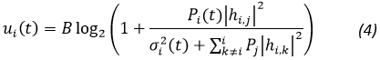
De acuerdo a lo anterior, la función de utilidad [8], [11] escogida para dar solución a este juego está determinada por la siguiente ecuación, la cual cumple con el concepto de convexidad y continuidad [5], [6]
Donde,
Pi es la potencia a la cual radia cada transmisor.
|hi,i|2 es la ganancia del canal con el que esta comunicándose el usuario i.
σi2 es la densidad de ruido presente en el canal (hi,i o hi,k).
es la suma de los niveles de potencia de los canales adyacentes que interfieren con el canal principal de comunicación entre el usuario y el punto de acceso.
Sin embargo, la potencia a la cual radia un transmisor es idealmente la potencia máxima del dispositivo inalámbrico. Pero tenidas en cuenta las consideraciones por multiplicidad de usuarios que radian e interfieren en el canal, finalmente la potencia Pi está determinada por la siguiente función de acuerdo [2],
Donde Si es el conjunto de potencias que hacen parte del conjunto de estrategias de cada usuario y cada una de ellas está definida por la siguiente función [2]:
Donde K es el total de usuarios disponibles en la red inalámbrica y Pimax es la potencia máxima radiada por un dispositivo inalámbrico.
Finalmente, tenido en cuenta el modelo del juego planteado, se explicarán los conceptos de solución posibles para dar solución a éste. [5]
3. CONCEPTOS DE SOLUCIÓN EN TEORÍA DE JUEGOS PARA PROPORCIONAR QoS EN REDES INALÁMBRICAS 802.11
En el lenguaje común, la palabra juego hace referencia a una actividad en la que los participantes están sometidos a reglas que deben cumplir y con las cuales se puede perder o ganar, tenido en cuenta que este resultado no sólo depende de las acciones de un jugador sino que depende de los otros participantes. Finalmente, lo que se busca es tener un conjunto de estrategias que permitan maximizar las utilidades obteniendo el mejor resultado posible.
Por lo tanto, la teoría de juegos se ocupa del análisis riguroso y sistemático de todas las posibles situaciones que se pueden presentar en el juego. De esta manera, su objetivo no es estudiar el azar, sino los comportamientos estratégicos de los jugadores; por lo tanto, para realizar el estudio de estos juegos, es necesario utilizar un modelo que se adapte a las características y problemáticas para solucionar en la red. Por esta razón, la teoría de juegos ha sido muy importante en el análisis de muchos problemas en la asignación de recursos y calidad de servicio en las redes inalámbricas bajo el estándar 802.11. En la actualidad, se han realizado trabajos de acuerdo a la eficiencia energética y la eficiencia de tasas, estas dos métricas son de gran importancia y determinantes a la hora de evaluar la calidad de servicio de una red inalámbrica ya que en este tipo de redes solo se logra establecer una comunicación con una buena calidad de servicio cuando se cumplan ciertos parámetros con condiciones específicas como lo son la relación señal a ruido (SINR), mínimos retrasos y altas tasas de la potencia del transmisor, entre otros. Por eso, para dar solución a este tipo de problemas que se pueden presentar en una red donde se utiliza uno de los conceptos de solución existentes en la actualidad, como lo es el equilibrio de satisfacción eficiente.
Normalmente, cuando los jugadores van a realizar la elección de una acción a jugar, cada uno de ellos debe cuidarse del costo o esfuerzo que le produzca dicha elección. En muchas ocasiones, las altas potencias de transmisión o el uso de esquemas de modulación complejos requieren de valiosos esfuerzos por parte del transmisor. Por esta razón, con este concepto sólo se tienen en cuenta las acciones bajo las cuales estos esfuerzos sean mínimos y garantizar una utilidad umbral para cada usuario. Este se define de la siguiente manera:
Definición 1 - Equilibrio de Satisfacción eficiente (ESE)[2]: Sea una función Ck: Sk -> [0,1] para todo k ∈ K y el juego G definido como:
Donde, para todo (k, s*k ,s'k) ∈ K x S2, la acción s'k será más costosa que la acción s*k, si Ck (s'k)>Ck (s*k). Entonces un perfil de acciones s* ∈ S es un ESE si y solo si
utilizar las ecuaciones fuera del texto para una mayor comprensión por parte del lector.
4. METODOLOGÍA PARA LA SOLUCIÓN DEL JUEGO
Para dar solución al juego planteado inicialmente, fue necesario comenzar por analizar cada una de las situaciones posibles de acuerdo a la cantidad de jugadores (usuarios) y la cantidad de estrategias presentes en el juego. Después de determinar esto, se realiza el siguiente procedimiento:
4.1. Obtención de la matriz de utilidades
La matriz de utilidades [8], [11] es una manera de interpretar las utilidades de cada usuario cuando realiza la selección de determinado AP. Para realizar esta matriz se tiene en cuenta el número de jugadores, las estrategias posibles para cada uno de ellos y la ecuación de Shannon como función de utilidad, la cual varía la capacidad de acuerdo a la estrategia seleccionada. En la Tabla I se puede ver la utilidad de cada uno de los usuarios de acuerdo a la estrategia seleccionada en determinado instante de tiempo, se determinan primero las utilidades del jugador 1 y luego las del jugador 2 en cada caso.
Por lo tanto, a partir de los modelos matemáticos que representan las capacidades de cada uno de los usuarios, se pretende realizar un algoritmo que obtiene las regiones de capacidad óptimas para transmitir tanto para el usuario 1 como para el usuario 2, de acuerdo con los niveles de potencia generados a partir de la ecuación (6), habida cuenta que la densidad de potencia de ruido σ2 es un valor que varía entre 0 y 1 y que para este caso particular como se analiza la red en un determinado instante de tiempo, se dio por criterio una densidad de potencia de ruido fuera igual a 0.1.
4.2. Generación de las ganancias de cada canal
Es importante considerar que la ganancia en un sistema normalmente se toma como un valor mayor a uno, pero para este caso se toman valores inferiores debido a que representan las pérdidas por propagación que están presentes en el canal, en consecuencia, no funciona como una ganancia sino como una atenuación de la señal causada por dicho fenómeno. Entonces, se obtienen 4 valores con la función RAND, la cual genera números aleatorios con media 0 y varianza 1 uniformemente distribuidos, dando como resultado:
Donde g11=0.9483, g12=0.9976, g21=0.7986 y g22=0.8006.
La realización del algoritmo se divide en dos partes, teniendo en cuenta que los modelos matemáticos obtenidos en la Tabla I difieren por el término que representa la interferencia en el canal y son:
- Cuando existe interferencia, es decir, que los dos usuarios eligen el mismo AP en el mismo instante de tiempo. De acuerdo a la Tabla I, esto se da para los casos (C11, C21) y (C12, C22).
- Cuando no existe interferencia, es decir cuando los dos usuarios eligen diferentes AP en el mismo instante de tiempo. De acuerdo a la Tabla I, esto se da para los casos (C11, C22) y (C12, C21).
5. OBTENCIÓN DE LA REGIÓN DE CAPACIDAD TOTAL
5.1. Caso 1: sin interferencia entre canales
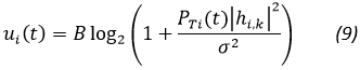
La función de utilidad que representa las capacidades de cada uno de los usuarios en este escenario viene dada de la siguiente manera:
Donde la potencia de transmisión Pi(t) está determinada por las potencias generadas a partir de (6) y son comunes para los dos usuarios, ya que los usuarios están conectados a diferentes AP en ese instante de tiempo y los transmisores no tienen ninguna restricción de potencia por parte del receptor como sucede en el caso cuando los dos acceden al mismo AP en el mismo instante de tiempo. En este escenario se pueden presentar 2 situaciones:
- Que el usuario 1 acceda al AP 1 y el usuario 2 acceda al AP 2.
- Que el usuario 1 acceda al AP 2 y el usuario 1 acceda al AP 1.
5.2. Caso 2: con interferencia entre canales
A diferencia del caso anterior, la función de utilidad que representa las utilidades para este escenario se muestra en (10), donde se tiene un término adicional que representa las señales que interfieren sobre ese mismo canal por parte de otros usuarios, lo cual hace las capacidades obtenidas sean diferentes y, por ende, más pequeñas comparadas con las obtenidas en el caso sin interferencia.
Pero para esta caso, las potencias de transmisión equivale a las posibles estrategias que tienen los jugadores para maximizar sus capacidades o en su defecto obtener la capacidad necesaria que supera la capacidad umbral requerida por cada usuario para realizar una actividad. En este caso particular los dos usuarios acceden al mismo AP en el mismo instante de tiempo, por lo tanto, es necesario tener en cuenta la siguiente consideración:
"Un AP está en la capacidad de recibir señales de n usuarios que se conectan a él, hasta el punto donde la sumatoria de todas estas potencias recibidas sea igual o menor a la potencia máxima soportada por el AP. La potencia recibida es el producto de la potencia de transmisión y el factor de ganancia del canal de comunicaciones."[6]
Entonces, para efectos de simulación se consideró que la potencia de entrada máxima (Pinmax) del AP es igual a la potencia emitida por una tarjeta de red inalámbrica de una laptop (Pmax = 32 mW) con el fin de trabajar en el punto donde la potencia de salida del AP sea igual a 0. Por lo tanto, de acuerdo a la matriz de utilidades los casos específicos en los que se presenta interferencia y se debe tener en cuenta la restricción de la ecuación 8 son los siguientes:
Donde PT1 y PT2 son las potencias de los transmisores 1 y 2 y gk,j son las ganancias de los canales de comunicaciones con los cuales desea establecer comunicación cada uno de los transmisores. El vector de potencias del transmisor 1 son generados a partir de (6) y las potencias de transmisión del usuario 2 son generadas por las ecuaciones 14 y 15, las cuales se obtienen de las ecuaciones 9 y 10 respectivamente, con el fin de que se cumpla dicha restricción.
Entonces, de acuerdo a las ecuaciones anteriores y de acuerdo a la elección realizada por el usuario 1, el usuario 2 tiene dos posibles vectores de potencias de transmisión como estrategias, ya que depende directamente del factor de ganancia del canal de comunicación sobre el cual se encuentre configurado el AP con el cual vaya a establecer un enlace de comunicación. Pero para un instante de tiempo cualquiera el usuario 2 solamente tendrá para elegir los valores presentes de un vector de potencias de acuerdo a la elección del usuario 1.
A partir de esta nueva región de capacidad, se comienzan a analizar el concepto de solución bajo el cual se da solución al juego planteado y se obtiene la capacidad mínima requerida por el usuario para realizar una actividad determinada en la red.
6. OBTENCIÓN DE LOS EQUILIBRIOS DE SATISFACCIÓN EFICIENTES (ESE)
Para determinar el ESE, primero fue necesario calcular la región de los equilibrios de satisfacción que cumplían con la capacidad umbral requerida por cada usuario tal y como se presenta en [7]. A partir de esta región, el algoritmo implementado busca obtener el valor mínimo de la capacidad obtenida en dicha región, tanto para el usuario 1 como para el usuario 2, con el fin de que se logre garantizar la mínima capacidad para obtener QoS radiando la mínima potencia.
6.1. Algoritmo para la Obtención del Equilibrio Eficiente de Satisfacción (ESE)
El caso básico es aquel en el cual el jugador intenta encontrar una estrategia pura que satisfaga siempre el umbral de satisfacción definido según el servicio requerido por el usuario. El algoritmo 1 implementa el principio de satisfacción de una forma sencilla; si el jugador se encuentra satisfecho (se satisface el umbral definido) mantiene la estrategia actual, en caso de no satisfacerse el umbral definido, se selecciona de forma aleatoria una estrategia del conjunto de estrategias, con la cual se reemplaza la estrategia actual.
En el algoritmo 1 el contador n define el número de repeticiones del juego, la función Seleccionar Estrategia escoge secuencialmente una estrategia del espacio de estrategias si, de esta manera una vez todos los jugadores se encuentran satisfechos, no existirá agente alguno que desee cambiar de estrategia, dado que se ha alcanzado la condición de equilibrio. Evidentemente, existirán juegos en los cuales no exista el equilibrio de satisfacción de acuerdo a los umbrales definidos por las necesidades de capacidad de los jugadores y las condiciones de relación señal a ruido e interferencia en el sistema, en este escenario nunca se llegará a un equilibrio.
En el diseño del algoritmo, dado que las restricciones de calidad del servicio pueden escribirse como fk(s-k) = {sk∈sk:uk(sk,s-k) ≥ Γk} donde Γk es el mínimo nivel de utilidad requerido por el jugador k, y asumido que los jugadores conocen su propio conjunto de acciones y periódicamente observan la utilidad alcanzada, e indexando los elementos del conjunto sk con índice nk∈Nk
{1,2...,|sk|} en cualquier orden particular, luego denotando como sk(nk)la nk -ésima acción del jugador k, luego:
- Al inicio del juego, todos los jugadores k∈K establecen su acción inicial sk(1).
- Cada jugador k∈K, verifica si la utilidad obtenida ui al jugar la acción seleccionada supera el umbral Γk, de ser así, el jugador almacena la acción seleccionada dado que se satisface su umbral; en caso contrario selecciona como nueva acción la acción correspondiente al siguiente índice (nk= nk+1) en el conjunto sk.
- Una vez se tienen todos los posibles equilibrios de satisfacción, se evalúa cuál de ellos implica transmitir la mínima potencia y se elige como equilibrio eficiente de satisfacción.
De acuerdo al proceso descrito anteriormente, el algoritmo que implementa los pasos definidos es el siguiente:
Algoritmo 1 ES: Equilibrio Satisfacción
Función ES (Umbral, n)
si ← SeleccionarEstrategia
j=0
Para i=1 hasta n
Juegue si y observe resultado
Si fk(s-k) < Γk luego
si ← SeleccionarEstrategia
Sino
j=j+1
SE(j)=si
Fin si
Fin para
ESE=SeleccionarMínimo(SE)
Retornar si
Para analizar el resultado referente a la convergencia del algoritmo 1 se define la acción de recorte [16] como:
Definición 3 (Acción de Corte): En el juego
un jugador k∈K se dice que tiene una acción de corte sk si y solamente si
Una vez un jugador, juega su acción de corte, este permanece indiferente a las acciones realizadas por todos los demás jugadores, dado que el jugador siempre satisface sus requerimientos al jugar dicha acción.
Proposición 2 (No convergencia del Algoritmo 1): Asumida la existencia de al menos un jugador con una acción de corte en el juego
y denotada por sk∈Sk para el jugador k∈K; luego si existe un jugador j∈K, para el cual fj(sk,s-{j,k}=Ø ∀s-{j,k}∈S-{j,k}. Luego el algoritmo 1 no converge a un equilibrio de satisfacción.
La prueba de la proposición 2, proviene del hecho de que en un tiempo t anterior a la convergencia, la probabilidad de la acción de corte sk es mayor que cero, por lo tanto el jugador k∈K puede jugar esta acción. Si es así, por definición, no existe un jugador j≠k, que nunca satisface sus requerimientos; por lo tanto, el algoritmo 1 no converge a ningún equilibrio de satisfacción. En caso contrario, si ninguno de los jugadores tiene una acción de corte, el algoritmo 1 converge a un equilibrio de satisfacción con una probabilidad de uno. Este resultado viene del hecho que, en ausencia de acciones de corte, siempre existe una probabilidad no cero de visitar todos los posibles perfiles de acción. Una vez que un perfil de acción corresponde a un equilibrio de satisfacción es visitado, ninguno de los jugadores cambia su acción, y se observa la convergencia. Es de anotar que el algoritmo 1 aplica para cualquier escenario i x k y no solo de manera simplificada como el escenario 2 x 2 para el cual se obtuvo el equilibrio de Nash.
6.2. Caso 1: sin interferencia entre canales
Para obtener el equilibrio de satisfacción eficiente se realizó una comparación de cada una de las capacidades obtenidas en la región de equilibrios de satisfacción, para determinar dentro de esta región cuáles satisfacían y eran superiores a la capacidad umbral. De acuerdo a [7], la capacidad umbral se estableció por criterio en Γ=(145,85) kbps, donde se indican la del usuario 1 y 2 respectivamente.
Por lo tanto, los equilibrios de satisfaccion eficientes para cada usuario independiente del AP seleccionado viene dada por:
Para el usuario 1:
Para el usuario 2:
6.3. Caso 2: con interferencia entre canales
Al igual que en el caso anterior, los equilibrios de satisfacción eficientes se calcularon a partir de la región de equilibrios de satisfacción, habida cuenta que en este escenario hay señales de interferencia causadas por otros usuarios que utilizan el mismo AP. De acuerdo al artículo [7], se tomó como capacidad umbral Γ=(10,20) kbps. Por lo tanto, los equilibrios de satisfacción eficientes para cada usuario dependiendo del AP al que este accediendo los dos usuarios en ese instante de tiempo viene dado por:
Para el usuario 1:
Para el usuario 2:
7. RESULTADOS
Para evaluar cada uno de los escenarios que se presentan en cada caso, fue necesario obtener gráficamente el comportamiento de la capacidad en cada uno de ellos, tenido en cuenta que gráficamente se obtiene una mejor visualización de los resultados. El algoritmo diseñado fue realizado en la herramienta matemática computacional Matlab®, siendo la mejor herramienta de simulación al alcance del desarrollo del proyecto y para la cual se tiene una licencia de operación por parte de la Universidad. Por lo tanto, para visualizar y comprender de una mejor manera los resultados obtenidos, estos se dividieron en dos casos:
7.1. Caso 1: sin interferencia entre canales
Dentro de este escenario, se pueden presentar dos situaciones en las cuales no se presenta interferencia entre canales de acuerdo a las elecciones que puede realizar en un instante de tiempo cada uno de los usuarios, es decir, elegir AP diferentes. Las dos situaciones son las siguientes:
- Que el usuario 1 acceda al AP 1 y el usuario 2 acceda al AP 2.
- Que el usuario 1 acceda al AP 2 y el usuario 2 acceda al AP 1.
En las Fig. 2 y 3, se pueden visualizar las capacidades obtenidas para la situación 1 y en las Fig. 4 y 5 para la situación 2.
7.2. Caso 2: con interferencia entre canales
Para este caso, las dos situaciones que se pueden presentar son las siguientes:
- Que el usuario 1 y el usuario 2 accedan al AP 1.
- Que el usuario 1 y el usuario 2 accedan al AP 2.
Por lo tanto, las Fig. 6 y 7 muestran los resultados correspondientes a cada una de las dos situaciones anteriormente mencionadas.
Finalmente, en cada una de las gráficas se visualizan con cruces rojas los puntos que hacen parte de toda la región de capacidades obtenidas a partir de las estrategias de potencia dada en (6). Así mismo, se visualiza la región de capacidades que son SE y satisfacen a cada uno de los usuarios para cada caso en verde, habida cuenta que estas son las tasas que satisfacen a los dos usuarios y que están por encima de la capacidad umbral y el recuadro en azul es el ESE el cual es un único valor para cada usuario y viene determinado por la capacidad mínima que se encuentra dentro de la región SE.
En la Tabla II se comparan los diferentes resultados obtenidos en los escenarios planteados.
8. CONCLUSIONES
En este artículo se presenta un algoritmo que da como solución al juego un ESE que es un valor de capacidad que garantiza la QoS para dos usuarios teniendo en cuenta la región de SE que superan la capacidad umbral de cada uno de ellos. Es decir, el ESE es la mínima capacidad obtenida en dicha región, de tal manera que se garantice la mínima capacidad y, a su vez, se minimice el consumo de energía debido a la potencia radiada por el dispositivo para alcanzar dicha tasa de transferencia. Según algunas métricas, como lo son la eficiencia espectral y el consumo de energía, este concepto de solución satisface a cada una de ellas, ya que utiliza la capacidad necesaria para satisfacer a un usuario y brindarle la QoS sin necesidad de que el dispositivo realice un esfuerzo mayor al radiar una potencia superior al valor deseado, lo cual es de gran relevancia en los actuales dispositivos móviles en los cuales se propende por la mejor utilización de los recursos radio, y acorde a lo que en el contexto actual se conoce como comunicaciones verdes.
La Teoría de Juegos es un campo en investigación y de muy reciente aplicación en las comunicaciones inalámbricas. Este proyecto representa una innovación de acuerdo a la aplicación de la teoría de juegos a la solución de una problemática común en las redes 802.11, además porque constituye un posible aporte de ser considerado, al funcionamiento del estándar 802.11af aún en proceso de desarrollo, el cual, apunta hacia el desarrollo del primer estándar de radio cognitivo para redes inalámbricas de área local.
Finalmente, los resultados obtenidos aportan unos conocimientos básicos para realizar trabajos futuros que cada vez se asemejen más a la realidad, donde no solo se varié la potencia sino que se varíe ancho de banda. Además, que se tomen como señales interferentes a las señales provenientes de otros sistemas que operan bajo la misma banda de frecuencia.
REFERENCIAS
[1] V. Garg. "Architecture of a Wireless Wide Area Net - work," in Wireless communications and networking, 1st Edition. Ed. Morgan Kaufmann. University of Illinois, Chicago, USA University of Illinois, Chicago, USA, 2007, Chapter 7, pp. 350-375. [ Links ]
[2] S. Perlaza, H. Tembine, S. Lasaulce, M Debbah. "Satisfaction equilibrium: A general framework for QoS provisioning in self configuration networks," Globecom 2010, arXiv:1007.5170 [cs.NI]. http://arxiv-web.arxiv.org/pdf/1007.5170.pdf. 2008. [ Links ]
[3] S. M. Perlaza, France Telecom R and d, E. V. Belmega, S. Lasaulce, M. Debbah. "On the base station selection and base station sharing in self-configuring networks". 3rd ICST/ACM International Workshop on Game Theory in Communication Networks, Pisa: Italy 2009. [ Links ]
[4] S. Ross, B. Chaib-Draa, "Learning to play a satisfaction equilibrium". Computer Science Department. PLT Bdg, Laval University. Québec, Canada. 2010. [ Links ]
[5] D. Trujillo. "Selección de Access Point en redes 802.11 garantizando mínima QoS: Una perspectiva desde la teoría de juegos no cooperativos" Tesis de grado, Colombia: Universidad del Quindío, Programa de Ingeniería Electrónica. 2012. [ Links ]
[6] T.M. Cover, J.A. Thomas. "Elements of Information Theory," Second Edition. Ed. Wiley. España. 2006. [ Links ]
[7] L. Jiang, S. Parekh y J. Walrand, Base Station Association Game in Multi-Cell Wireless Networks (Special Paper), Wireless Communications and Networking Conference, 2008. WCNC 2008. IEEE, Las Vegas, 2008. [ Links ]
[8] I. Sanchez Cuenca, "El principio de racionalidad y la teoría de la Utilidad," en Teoría de Juegos - Volumen 34 de Cuadernos Metodológicos, 2° Edicion. Madrid, España, 2009, pp. 16-23. [ Links ]
[9] C. Varela, L. Domínguez, "Redes Inalámbricas" Trabajo de carrera, España: Universidad de Valladolid, Escuela Técnica Superior de Ingeniería Informática. 2002. [ Links ]
[10] J. L. Jimeno, J. Perez, E. Cerdá. "Juegos Cooperativos" en Teoria de juegos. Madrid, España, 2004. [ Links ]
[11] Wireless LAN Medium Access Control (MAC) and Physical Layer (PHY) specfications. ANSI/IEEE Standard 802.11. IEEE Standards Association, 1999. [ Links ]
[12] E. Altman, Z. Altman. "S modular games and power control in wireless networks." IEEE Transactions. Automatic Control, vol. 48, no. 5, pp 839-842, May, 2003. [ Links ]
[13] S. Lasaulce, M. Debbah y E. Altman, "Methodologies for Analyzing Equilibria in Wireless Games," Signal Processing Magazine, IEEE, vol. 26, n. 5, pp. 41-52, 2010. [ Links ]
[14] M. Felegyhazi y J. P. Hubaux, "Game Theory in Wireless Networks: A Tutorial," EPFL Technical report, pp. 1-15, 2006. [ Links ]
[15] R. Ciria, Estudio de estrategias distribuidas de reparto de recursos en redes inalambricas congnitivas mediante teoria de juegos, Departamento de Ingenieria Electronica y Comunicaciones. Universidad de Zaragoza, Zaragoza, 2011. [ Links ]






































