Services on Demand
Journal
Article
Indicators
-
Cited by SciELO -
Access statistics
Related links
-
Cited by Google -
Similars in
SciELO -
Similars in Google
Share
Iteckne
Print version ISSN 1692-1798
Iteckne vol.10 no.2 Bucaramanga July/Dec. 2013
Modulación por división de frecuencia ortogonal para minimizar el ruido en aplicaciones Smart Grid sobre comunicaciones por línea de potencia
Frequency division modulation orthogonal to minimize noise in Smart Grid applications over power line communications
Hernán Paz Penagos
Ph. D. en educación. Docente tiempo completo. Director Grupo de Investigación ECITRÓNICA, Escuela Colombiana de Ingeniería JULIO GARAVITO. Colombia. hernan.paz@escuelaing.edu.co.
RESUMEN
En la actualidad, los sistemas de comunicaciones de banda estrecha sobre líneas de potencia (NBPLC) en el rango de frecuencia inferior a 500KHz juegan un papel importante en la construcción de Smart Grid. Sin embargo, el canal PLC es ruidoso y dispersivo en el tiempo y la frecuencia; limitaciones que son necesarias minimizar para habilitarlo como una buena alternativa para dicha aplicación. Se hizo un análisis comparativo de la respuesta del canal PLC a la transmisión de datos de banda estrecha simulado en MatlabÒ con modulación OFDM y procesado Fast Fourier Transform (FFT) y Discrete Wavelet Transform (DWT). Como resultado se obtuvo mejor desempeño con la técnica de procesado DWT, mediante el filtrado del ruido, para comunicaciones NB-PLC.
PALABRAS CLAVE: Canal PLC, comunicaciones de banda estrecha, desempeño, ruido, red inteligente.
ABSTRACT
Nowadays, Narrowband Power Line Communications Systems (NB-PLCS) in the frequency range below 500 KHz plays an important role in building up a smart grid. However, the PLC channel is noisy and timefrequency- varying; limitations that must be minimized to enable a good alternative for this application. This article is a comparative analysis of the PLC channel response to narrowband data transmission with modulation OFDM, FFT and DWT processed and simulated in MatlabÒ. The result was that the DWT processing technique, using noise filtering, has better performance for NB-PLC communications.
KEYWORDS: PLC channel, narrowband communications, performance, noise, Smart Grid.
1. INTRODUCCIÓN
En Colombia y otros países existe un creciente interés, por parte de la industria y la academia, en la aplicación de tecnología, conocimiento e innovación con miras a mejorar la eficiencia en la generación, transmisión y distribución de energía eléctrica.
Según Farhangi [1] Smart Grid es la colección de tecnologías, conceptos y metodologías, que permite a toda la cadena de electricidad (generación, transmisión, distribución y consumo) ser complementada por un ambiente integrado. En esta perspectiva, uno de los principales objetivos de la implementación de Smart Grid es brindar a todos los involucrados en la cadena de distribución de electricidad (distribuidores, operadores, usuario) toda la información necesaria que permita aumentar la eficiencia de los sistemas eléctricos y al mismo tiempo reducir los picos de demandas y los costos [2].
Con esta finalidad, varias iniciativas han sido propuestas: Colombia Inteligente [3], Modern Grid Initiative, Grid Wise Alliance [4], Advanced Grid Applications Consortium (GridApp) [5], Intelligrid [6]. El objetivo de las mismas es desarrollar redes inteligentes al tomar como referencia las mejores prácticas de otros y proponer nuevas líneas de trabajo para mejorar la gestión de la energía (generación distribuida y consumo inteligente); con esto se busca optimizar la operación de activos, gestionar la demanda de una manera activa, realizar maniobras y trazar los planes y proyectos a partir de información precisa y oportuna. En esta perspectiva, Colombia espera convertirse para el 2026, en un país inteligente por el uso de un sistema de energía sostenible que ayude a reducir los cortes de electricidad y disminuir la vulnerabilidad de las redes ante daños o ataques que generalmente produce altos costos [7].
Sin embargo, el diseño y la construcción de Smart Grid en Colombia deben ser adaptados a su infraestructura de telecomunicaciones que permita la transmisión de la información. Además es importante trabajar sobre el marco regulatorio, así como en pruebas y ensayos que hagan viable la incorporación de esta tecnología en el contexto colombiano. Para buscar atender una de las mencionadas necesidades Smart Grid, se lanzaron en el 2010 sendas propuestas de estandarización: IEEE propuso el estándar P1901. 2 para comunicaciones Smart Grid NB-PLC en baja frecuencia e ITU-T presentó la norma G. 9955/56 para los trasceivers PLC con modulación multiportadora OFDM de banda estrecha. Ambos estándares definen especificaciones NB-PLC para rangos de frecuencias de 3-148. 5KHz en Europa, 10- 490KHz en Estados Unidos, 10-450KHz en Japón y 3-500KHz en China [8].
En lo que hace referencia a la infraestructura de comunicaciones, los sistemas Smart Grid pueden utilizar soluciones cableadas, sin embargo, tienen altos costos en mantenimiento e instalación. Otras opciones para la transmisión de la información son vía radio a través de los sistemas de telefonía celular, pero presentan problemas de contingencia y de alcance en redes remotas ó la comunicación satelital que es costosa.
En esta investigación se contempla la tecnología Power Line Communications (PLC) como alternativa para ese fin. Con este propósito se simuló en Matlab→ un aplicativo Smart Grid (Monitoreo de activos para una red LAN-PLC del edificio bloque G de la Escuela Colombiana de Ingeniería) sobre un canal NB-PLC. Para lograr el objetivo propuesto, fue necesario identificar y modelar el canal PLC; así mismo, simular la transmisión de la información que fue modulada en OFDM con procesado FFT y Wavelet (Familia Haar) y propagada a través de diferentes modelos de canal. Esta experiencia permitió comparar en el receptor el desempeño del sistema multiportadora frente al ruido, el desvanecimiento y la multi-trayectoria.
2. MARCO TEÓRICO
El concepto básico de la propagación multiportadora OFDM es incrementar el período de los símbolos (dividir los datos en todo el espectro disponible, similar a FDM) pasando la información digital de serie a paralelo, para modularla en un esquema de portadora única: M-PSK o QAM, y transmitirla a través de varias subportadoras adyacentes, ortogonales y espaciadas entre sí un número de ciclos enteros (prefijos cíclicos) [9]. Se seleccionó la estrategia de transmisión OFDM con codificación mediante Transformaciones Rápida de Fourier: FFT y Discreta Wavelet: DWT, porque hacen robusto al sistemas de comunicación de radio o alámbricos frente a problemas de ruido de banda estrecha, multitrayectoria y desvanecimiento selectivo de la señal en canales hostiles [10], [11]. Con este propósito, se simuló en Matlab→ un sistema de telecomunicaciones OFDM- 512 para Smart Grid que transmite información a través de canales alámbricos con multitrayecto, desvanecimientos y ruido AWGN, intentando aproximarse a un canal NB-PLC real.
En el sistema OFDM con procesado FFT, la señal de entrada al modulador es un flujo binario continuo; este se segmenta en paquetes, de acuerdo a la constelación que se va a utilizar y se obtiene un mapa de los símbolos, representados por números complejos, que corresponden a la representación de la señal en el dominio de frecuencia. Si se va a modular 512 subportadoras simultáneamente, la primera operación es la conversión del flujo binario serial de entrada a un flujo de coeficientes complejos en paralelo.
El siguiente paso es realizar la transformada inversa de Fourier sobre esos N coeficientes para obtener una señal en el dominio del tiempo y, como la señal de salida del transmisor (entrada al canal) debe ser un flujo binario en serie, es necesario convertir nuevamente la señal, ahora transformada y en paralelo, a una señal en serie. El objetivo de este procesado es observar el desempeño de un flujo de datos OFDM-FFT frente a un canal NB-PLC que simula la presencia de ruido AWGN y desvanecimiento Rayleigh y Rician.
Por su parte, la DWT se obtiene a partir del muestreo (en el plano tiempo-frecuencia) de una transformada Wavelet continua. Esta es una función que satisface las siguientes condiciones: a) Es una ráfaga de energía finita concentrada en el dominio del tiempo. b) Exhibe algunas oscilaciones temporales. En esta perspectiva, la transformada Wavelet es una proyección de una señal sobre el espacio vectorial generado mediante funciones bases (ortonormales o biortogonales) que se obtiene de la dilatación/contracción (de acuerdo a un operador de cambio de escala) y el desplazamiento de una función pasabanda prototipo, bien localizada tanto en el tiempo como en la frecuencia, llamada la Wavelet madre [12]. Esta función genera una familia de Wavelets a partir de dilataciones y translaciones continuas de sí misma. Si g es una función Wavelet madre, entonces el conjunto {
t, Ds, g}, es la familia generada por g para todas las dilataciones s y todos los desplazamientos t. La tabla I muestra dos características de la Wavelet tipo Haar. Esta familia se utilizó en la simulación.
La DWT se especifica mediante la elección de un conjunto contable de puntos del plano tiempoescala y de una Wavelet madre; y se implementa a través de bancos de filtros en cuadratura, que hacen posible realizar la transformada de forma rápida y recursiva.
El uso de diferentes bases Wavelet, no cambia la disposición de las frecuencias de corte de las bandas anteriores, pero, la base si influye en la respuesta del filtro pasa alto y pasa bajo [13]. Generalmente, los eventos de baja frecuencia suelen durar en el tiempo, mientras que los eventos de frecuencia alta suelen ser breves. Si se cumplen las condiciones enunciadas existe el algoritmo de Mallat. Para calcularlo sólo se requiere un proceso de filtrado con filtros de respuesta finita al impulso (Finite Impulse Response: FIR).
El conocimiento de las características de propagación del canal NB-PLC es clave para el aprovechamiento del sistema de transmisión de energía a nuevos escenarios de aplicación. En cuanto a las características del ruido presente en dicho canal, se definen varios tipos: el ruido de banda angosta que es causado por las emisiones de estaciones de radio difusión AM y banda corta, se caracteriza por ser predecible [14] y el ruido impulsivo que se manifiesta en el canal PLC a través de perturbaciones intermitentes causadas por la conmutación de cargas en la red eléctrica.
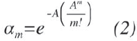
Con respecto a este último, Zimmermann y Dostert [15] distinguen dos tipos, a saber: 1) Ruido impulsivo periódico sincronizado con la frecuencia de la red, causado por la conmutación de suministros de potencia y 2) Ruido impulsivo asíncrono, causado por transientes aleatorios con tiempos de duración del orden de microsegundos a milisegundos. En esta perspectiva, Middleton [16] propuso un modelo de ruido impulsivo, que según el ancho de banda de afectación se clasifica en tres: clase A, clase B y clase C. El primero es el más apropiado para el canal NB-PLC y su función de densidad de probabilidad (FDP) normalizada está dado por (1):
m Es el número de la fuente del ruido impulsivo, caracterizado por la distribución de Poisson; distribución que tiene como parámetro medio A, llamado índice impulsivo, el cual es resultado del producto de la tasa promedio de ruido impulsivo por la duración media de un impulso típico.
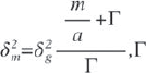
Es la varianza de la componente del impulso que se calcula de la siguiente manera:
es la razón de potencia impulsiva de Gauss, el cual representa la relación entre la varianza del ruido Gaussiano
y la varianza de la componente del impulso
. La componente de ruido impulsivo tiene en general una corta duración (10-100µs) y su Densidad Espectral de Potencia (DEP), decrece con la frecuencia. Más especificaciones sobre este modelo se pueden consultar en [17]. Otro factor que influye en la atenuación de cualquier señal de información que se propaga por un canal NB-PLC es la multitrayectoria. Ésta se caracteriza porque al receptor arriban múltiples versiones de la misma señal, las cuales llegan con retrasos ligeramente diferentes y con amplitudes relativas diferentes, interfiriéndose entre sí, ya sea destructiva o constructivamente. La multi-trayectoria es causada por las variaciones de las características físicas del canal: número y longitud de las derivaciones (ramas) de la red, presencia de cargas terminales variables en los extremos de las derivaciones (discontinuidades) y desacoplamiento de la impedancia de carga [18].
En este escenario, el canal NB-PLC se caracterizó como AWGN (Additive White Gaussian Noise Channel) y con desvanecimientos por multi-trayectoria y ruido impulsivo. En el modelo Gaussiano, la potencia del ruido posee una densidad espectral uniforme (ruido blanco), el cual se suma a la señal original; esto puede no ser siempre muy realista, pero simplifica bastante la matemática asociada con la estimación del desempeño de un canal con ruido de banda estrecha [19].
Por su parte, en los canales fading se produce un proceso de dispersión (scattering) y se caracterizan por una amplitud y fase de la señal que varía aleatoriamente con respecto a su valor medio a largo plazo. Sí la señal recibida comprende componentes espectrales dispersas no correlacionadas, el proceso de fading se denomina como tipo Rayleigh, ya que la naturaleza estadística variable en el tiempo de la envolvente de la señal recibida, así como la envolvente de una componente individual con multitrayectoria, se describe bastante bien por medio de esa distribución [20]. Mientras que si una componente significativa está presente en la forma de onda de la señal recibida, tal como sucede cuando se presenta ruido impulsivo en el canal, el proceso de fading se designa como Rician. Este desvanecimiento se simulará en Matlab→ por una cancelación aleatoria, parcial o total de algunas componentes espectrales de la señal debido al arribo de la señal al receptor por varios caminos diferentes y, al menos, uno de esos caminos con cambios continuos (alargamiento o acortamiento de la trayectoria que, a su vez, representa la magnitud variable del ruido impulsivo).
3. METODOLOGÍA
La simulación del sistema OFDM con procesado FFT tuvo la configuración de transmisor, canal y receptor tal como se muestra en la Fig. 1.
Los datos se dividen en varios flujos en paralelo, uno para cada subportadora; después de la asignación de información a las 512 subportadoras, se lleva a cabo la transformada rápida de Fourier, obteniéndose la banda base que está disponible como una señal en fase (I) y cuadratura (Q), la distribución de los datos en las portadoras moduladas en 64-QAM y el número de símbolos en cada portadora es más baja que la utilizada en un sistema de portadora única; el siguiente paso es aplicar la IFFT a todos los datos distribuidos en frecuencia para trasladarlos al dominio temporal. Las ondas transmitidas pueden realizar recorridos diferentes provocando que en el receptor se reciba el mismo símbolo varias veces con cierto retraso, o bien que se produzcan interferencias intersímbolos, para evitar eso se utiliza el prefijo cíclico como intervalo de guarda.
A la entrada del receptor se obtiene la suma de la señal OFDM transmitida más el ruido (según el tipo de canal seleccionado) que es un factor de degradación de la señal recibida. Para demodular correctamente la señal se aplica el procesado FFT: se desnormaliza para revertir el proceso de normalización y se remueve el prefijo cíclico para obtener el dato en el dominio del tiempo discreto; el dato es procesado en el dominio del tiempo por ventaneo para eliminar la interferencia de banda estrecha. El receptor tiene que muestrear la señal durante el tiempo útil del símbolo y evitar el intervalo de guarda, para conseguirlo cuenta con dos estrategias: 1) utilizar un símbolo nulo para indicar el inicio de la trama de transmisión, o 2) utilizar subportadoras pilotos repetidas periódicamente como marcadores de sincronización. Para facilitar la recuperación de los datos digitales que contiene la información transmitida y evitar las pérdidas que se producen en el medio de transmisión se utiliza códigos para protección contra errores.
La simulación del sistema OFDM-DWT tuvo una configuración similar a IFFT/FFT pero sin prefijo cíclico, a saber: la señal en el trasmisor pasa por una serie de filtros FIR los cuales dividen la señal en alta y baja frecuencia; a la salida de los mismos se realiza la operación de decimación (el tamaño de la señal se reduce a la mitad, y el vector de coeficientes Wavelet (W(n-1)) tiene una longitud igual a 2n-1; es equivalente a diezmar) para evitar el traslape y eliminar los datos que no son relevantes. Los coeficientes de aproximación se obtienen a la salida de los filtros pasa bajos, mientras que los coeficientes de detalle son proporcionados por los filtro pasa altos. Estas respuestas se sincronizan mediante una serie de retardos. El proceso de descomposición anterior se repite de manera iterativa, filtrando los coeficientes de aproximación de manera recursiva y a través de un árbol de descomposición. Esta señal se transmite a través de diferentes modelos de canal de comunicaciones. La señal de información se recupera en el receptor por medio de otra configuración de filtros FIR, con lo cual se permite tener esa eliminación de ruido.
Puesto que el ruido es la causa (en realidad la relación S/N) y el error el efecto, es lógico pensar que debe existir una correspondencia entre ambos. Ciertamente existe, y la herramienta Bertool de Matlab→ favorece este tipo de análisis para distintos modelos de canal: AWGN, Rician Fading y Rayleigh Fading. Así pues, la cuestión clave para proyectar o analizar cualquier comunicación es conocer la correspondencia entre la relación S/N recibida y la probabilidad de error a que da lugar y tomar las medidas sobre el diseño del enlace para que la tasa de error en recepción esté dentro de los límites tolerados por el usuario; en el caso de esta investigación la estrategia es OFDM con procesado FFT y DWT.
4. RESULTADOS Y ANÁLISIS DE RESULTADOS
En FFT el espacio tiempo-frecuencia se divide en segmentos de igual ancho de banda, mientras que en DWT el dominio de la frecuencia se divide en octavas. Es conveniente que la forma de estos filtros de octavas sea simétrica para minimizar la dispersión entre ellos y para reducir la distorsión de fase. Para evaluar el desempeño del sistema frente a un canal NB-PLC con ruido AWGN, se observó la probabilidad de error en un rango de Eb/No entre 0-14dB.
En la gráfica se observa que la adición de ruido blanco al canal afecta todo el espectro de la señal y no produce grandes pérdidas de información, por esta razón, es considerado ruido plano y poco profundo.
En cuanto a la robustez del procesado utilizado en el sistema frente a los efectos nocivos del canal AWGN se evidencia mayor eficiencia en DWT, que en FFT, debido a que para relaciones Eb/No mayores a 10dB, la tasa de bits errados, en la simulación, es prácticamente cero en el caso de DWT.
Con respecto a la respuesta del sistema multiportadora OFDM frente a un canal NB-PLC con Fading Rayleigh, se evidencia que el desvanecimiento es selectivo en frecuencia, si el tiempo de esparcimiento de retardo es mayor que el tiempo de símbolo [21]. Sin embargo, para poder controlar la dispersión multitrayecto de la señal y minimizar la interferencia entre símbolos (ISI) en NB-PLC, se introduce n intervalos de guarda a cada símbolo modulado OFDM, de esta manera, la longitud del intervalo es seleccionada de modo que sea mayor a la propagación del retardo esperado.
En este contexto y con el propósito de simular el desvanecimiento por multitrayecto Rayleigh, se utilizó dos trayectos ya que los resultados son aproximadamente equivalentes al de simular N trayectorias distintas (con una precisión del 80 al 90% en comparación). En la Fig. 5 se observa los dos caminos seleccionados.
Los dos multitrayectos fueron: uno de referencia y otro con un retardo menor al tiempo de símbolo (1nS) y con un desvanecimiento de 3dB respecto del primero. Además, el sistema se configuró para un desplazamiento en frecuencia (Doppler Shift) de 290Hz (este valor se halló experimentalmente y representa el desfase de la segunda ruta respecto a la de referencia). Debe observarse que el retardo de propagación no es un problema importante, sino más bien la dispersión de retardos sobre las diferentes trayectorias de propagación.
El desvanecimiento plano de frecuencia sucede, cuando la diferencia en la longitud de la trayectoria es grande, las características de desvanecimiento varían bastante incluso con pequeñas separaciones de frecuencia, o cuando las longitudes de las trayectorias para todas las señales son muy parecidas comparadas con las longitudes de onda de las componentes de la señal, entonces, las variaciones de fase entre las componentes serán pequeñas y están todas ellas sometidas a cantidades muy similares de esfuerzo o cancelación.
Para el desvanecimiento plano, puede deducirse que similares distorsiones de ganancia y fase se imponen sobre todas las demás componentes frecuenciales en la señal de mensaje. Así, la información recogida desde la referencia puede ser utilizada para sustraer la distorsión de los datos del mensaje. Se supone que el desvanecimiento es plano con la frecuencia sobre un ancho de banda menor de 25KHz, para comunicaciones NB-PLC.
En la Fig. 7. se puede observar que DWT tiene una dispersión de los estados en el diagrama de constelación menor al observado para FFT, lo cual es indicativo de una menor tasa de bits errados; adicionalmente, sí se aumenta la relación señal a ruido en FFT (Incluso mayores a 40dB), no se mejora mucho el problema del desvanecimiento en FFT, ya que el error se mantiene casi constante (BER alrededor de 10e-1); esto se debe a que los efectos de un canal multitrayectoria son rápidos, profundos debido a la aleatoriedad de la reflexión por la fluctuación en la conmutación de cargas.
La respuesta de un canal NB-PLC frente a una transmisión OFDM-FFT evidencia mayor debilitamiento selectivo de frecuencia producido por el multitrayecto, que el evidenciado en OFDM-DWT; esto se puede observar en la banda pasante, en la cual algunas frecuencias no se podían transmitir, perdiéndose la información que llevan consigo. Estas frecuencias son las llamadas frecuencias con gran debilitamiento "deep fading", porque no ocurre de una manera uniforme si no que afecta a algunas frecuencias específicas que dependerán del número de cargas conectadas a la red eléctrica y la hora en la cual se transmita; en otras palabras, de la respuesta cambiante de la red eléctrica y su canal de transmisión.
Finalmente, se simuló la respuesta del sistema OFDM frente al canal NB-PLC con presencia de desvanecimiento por multitrayecto Rician; este fue prácticamente equivalente al multitrayecto Rayleigh con la única diferencia que se agregó un trayecto adicional que tenía línea de vista directa con el receptor, lo que representaba un trayecto con mayor ganancia que el resto (esto se da en telecomunicaciones cuando el emisor es muy cercano al receptor y hay una ruta en la que no se encuentran obstáculos). En estas condiciones, a mayor ganancia del trayecto adicional, mayor inmunidad al desvanecimiento por multitrayecto Rician, lográndose un mejor comportamiento del canal.
Para esta simulación se utilizaron los mismos parámetros que el ruido Rayleigh para las rutas no directas y para la ruta adicional se impuso el mismo desfase en frecuencia (290Hz) con una ganancia de 10dB.
De acuerdo al espectro observado en la Fig. 9. el canal NB-PLC con multitrayecto Rician evidencia un desvanecimiento selectivo en frecuencia y periódico. Este fenómeno, se aproxima a la manifestación real del ruido impulsivo que también podría ser sincrónico con respecto a la frecuencia fundamental del voltaje de la red o de alguna armónica de las fuentes conmutadas de los computadores que se muestran como cargas al canal PLC. En este contexto, la respuesta del sistema OFDM con procesado DWT controla mejor el "deep fading" selectivo en frecuencia.
En resumen, el canal NB-PLC aumentó la atenuación cuando se incrementó la frecuencia, lo mismo sucedió con el incremento de la distancia; sin embargo, el comportamiento del sistema OFDM mejoró comparativamente frente al fading cuando su procesado era DWT.
Un método para combatir las variaciones de amplitud y fase inducidas por la multitrayectoria es utilizar una señal de sondeo de referencia. Enviando un tono de frecuencia conocido o símbolo de datos conocidos periódicos a lo largo del mensaje de datos, estas referencias se pueden utilizar para medir en tiempo real las variaciones instantáneas de amplitud y fase impuestas por el canal. Esta estrategia la utiliza el esquema OFDM con los canales piloto.
Como se esperaba el comportamiento del procesado DWT es superior al procesado FFT, aunque vale la pena decir que, independiente del procesado utilizado, si existe desvanecimiento multitrayecto Fading o Rician en el canal la transmisión no estará libre de errores. Esto se evidencia en la Fig. 11.
Por otra parte, la simulación de sistemas de comunicaciones que envían su información a través de canales NB-PLC ven afectado su rendimiento debido a la degradación producida por la ISI y la interferencia por canal adyacente. En consecuencia, se debe controlar la tasa de envío para no continuar degradando el sistema; sin embargo, en el esquema OFDM, se usan muchas subportadoras y los datos son transmitidos en paralelo en todas las portadoras, lo anterior permite manejar la velocidad de transmisión de símbolo por portadora, con el fin de aumentar la tasa neta. Además, para minimizar la interferencia por canal adyacente e ISI, se introdujo en la modulación OFDM un intervalo de guarda a cada símbolo; la longitud de dicho intervalo se seleccionó de modo que fuera mayor a la propagación del retardo esperado. Este concepto de período de guarda se fundamenta en que si un símbolo OFDM llega con cierto retraso, el período de guarda tendrá un espacio suficiente para que este símbolo no vaya a interferir con un símbolo siguiente. Sin embargo, aún cuando el retardo sea menor a la duración de un símbolo, se mantiene, en mayor o menor escala, interferencia entre símbolos debido a la presencia del símbolo previo. Esto podría eliminarse si el período durante el que se produce cada símbolo se hace mayor que el período durante el cual el receptor realiza la integración de la señal, lo que sugiere la conveniencia de utilizar un intervalo de guarda. El intervalo de guarda puede consistir de información nula, es decir, de ausencia de la señal. No obstante, esto podría generar un problema de interferencia entre portadoras (ICI).
DWT se ha convertido en una herramienta que nos ayuda a reducir la probabilidad de error ya que considera la señal no por cadena de bits, sino por interrupciones o discontinuidades que se presentan a partir de frecuencias selectivas que se colocan en los filtros FIR de baja frecuencia; mientras FFT toma una cadena de bits modulados en símbolos, en los cuales, si se llega a dar el caso de puntos de inflexión, aparecerá el error con lo cual es difícil de tratar.
El empleo de la transformada Wavelet, como el de cualquier filtro digital, ha demostrado ser efectivo en aquellos casos que la máscara causada por el ruido tiene un espectro que no se halla superpuesto en su totalidad al del mensaje a recuperar. En el caso de que la señal esté sumergida en AWGN, el proceso de recuperación depende de la relación señal a ruido y de la frecuencia de la señal. Además, este procesado tiene mejores niveles de resolución (filtros de menor ancho de banda) para los niveles de detalle más altos (frecuencias más bajas), esto le permite reducir los niveles de potencia de ruido y, por lo tanto, aumentar las posibilidades de recuperar la señal con desvanecimientos profundos y selectivos.
Considérese, como ejemplo, una señal de audio X(t): un semitono alrededor de la nota musical LA de 110Hz ocupa solo 6Hz, mientras que la misma nota alrededor de 880Hz, cada semitono es cercano a 53Hz. Siendo así, lo ideal sería tener una alta resolución en frecuencia (Δf pequeño) para frecuencias bajas, así perdamos resolución en el tiempo (Δt grande), y una alta resolución en el tiempo (Δt pequeño) para frecuencias altas, así perdamos resolución en la frecuencia (Δf grande). Esto se consigue dividiendo el plano tiempo frecuencia en subespacios de aproximación [25]. De esta manera, a bajas escalas (altas frecuencias), se obtiene una excelente resolución en el tiempo y se puede ubicar los instantes en que se presenta el ruido impulsivo en la señal de interés. Igualmente a altas escalas (bajas frecuencias) se obtiene con mejor detalle la composición frecuencial de la señal, pudiéndose recuperar la información original contenida en X(t).
Uno de los principales problemas que limita el reuso de las líneas de distribución eléctrica como alternativa de solución para la última milla y en la que las Wavelets constituyen una potente herramienta para mitigar el problema, es la reducción del ruido impulsivo en los canales NB-PLC. Esta estrategia de procesado ha experimentado un gran desarrollo en los últimos tiempos mostrándose muy eficiente, donde otras técnicas como por ejemplo FFT, no resultaban satisfactorias [22]. La técnica DWT aplica el análisis multiresolución (proyecta la señal de interés sobre cada uno de los subespacios de aproximación: tendencia de la señal y fluctuaciones más significativas) [23], la idea central de este análisis es descartar información irrelevante -dentro de esta está el ruido de banda estrecha e impulsivo- y recuperar la señal no estacionaria a partir de aproximaciones más y más burdas, donde en cada aproximación se cancelan algunas de las altas frecuencias superpuestas a la señal original, generalmente las componentes frecuenciales del ruido impulsivo son transientes de corta duración a altas frecuencia [24]. En consecuencia, es posible discriminar el ruido impulsivo que se sumó a la señal OFDM en el canal NB-PLC a partir del procesado DWT.
5. CONCLUSIONES
Se compara el desempeño de un sistema multiportadora con procesado FFT y otro basado en la transformada Wavelet, reportada como eficiente en la literatura, frente a canales NB-PLC con AWGN y Fading Rayleigh y Rician. Sin embargo, se demuestra que puede emplearse sólo en el caso de señales débilmente enmascaradas; ya sea por no tener un nivel de ruido agresivo o porque el rango de frecuencias del espectro del ruido no cubre en forma total al de la señal. En el caso bien enmascarado, se demuestra que es imposible la separación mediante filtros tipo FIR pues la señal y el ruido ocupan las mismas frecuencias. Se comprueba asimismo que en los enmascaramientos débiles el criterio de Huang permite seleccionar automáticamente el nivel Wavelet que separa eficientemente la máscara del ruido del mensaje.
Una señal OFDM con procesado FFT o DWT tiene la ventaja que cuando se transmite en un canal que tienen una respuesta con un debilitamiento selectivo de frecuencia, el espectro de la señal OFDM únicamente se ve afectado en las sub portadoras que utilicen las frecuencias con gran debilitamiento. De esta manera si un símbolo es destruido solo se pierde una pequeña parte de 1/n bits, que pueden ser recuperados mediante la utilización del código en el procesamiento inverso realizado en el receptor.
Una buena estimación del canal es necesaria para la adaptación de la modulación, la asignación dinámica del espectro, la igualación de los datos en el receptor y la estimación de la relación señal a ruido. Así mismo, el costo computacional del cálculo de la DWT mediante banco de filtros FIR submuestreados puede hacerse menor que el de la FFT (técnicas de procesamiento digital de señales multitasa) para una muestra de N datos.
La estrategia OFDM basada en el procesado FFT necesita adición de un prefijo cíclico, mientras que los sistemas OFDM-DWT no; esto le permite a esta última aumentar la eficiencia de ancho de banda en 30% aproximadamente. Por otra parte, el esquema OFDM-DWT (Haar: una Wavelet continua que se asemeja a una función unitario) superó al sistema FFT-OFDM por casi 2. 5dB, para la misma BER de 0,001.
REFERENCIAS
[1] H. Farhangi. "The path of the smart grid". IEEE Power and Energy Magazine, 8(1), 2010, pp. 18-28. doi:10.1109/MPE. 2009. 934876. [ Links ]
[2] C. Cecati, G. Mokryani, A. Piccolo and P. Siano. "An Overview on the Smart Grid Concept." IECON 2010 - 36th Annual Conference on IEEE Industrial Electronics Society, pp. 3322-3327, 2010. [ Links ]
[3] Colombia Inteligente, "Marco Estratégico y Propuesta Proyecto Nacional de Redes Inteligentes en Colombia." Disponible: http://www.colombiainteligente.com.co/QuienesSomos/MarcoEstrategico/Pages/default.aspx/. Consultado el 25 de octubre del 2012. [ Links ]
[4] GridWise Alliance, "About the Alliance" Disponible: http://www.gridwise.org/gridwisealli_about.asp. Consultado el 25 de octubre del 2012. [ Links ]
[5] Grid App, "Advance Grid Applications Consortium" Disponible: http://gridapp.org/. Consultado el 25 de octubre del 2012. [ Links ]
[6] IntelliGrid, "Electric Power Research Institute (EPRI)" Disponible: http://intelligrid.epri.com/. Consultado el 25 de octubre del 2012. [ Links ]
[7] Grupo Operativo, Colombia Inteligente. "Marco Estratégico y Propuesta Proyecto Nacional de Redes Inteligentes en Colombia". Disponible: http://www.colombiainteligente.com.co. Consultado el 2 de diciembre del 2012. [ Links ]
[8] S. Galli, A. Scaglione and Z. Wang. "For the grid and through the grid: The role of power Line Communications in the Smart Grid", IEEE, Vol. 99, No. 6, pp. 998-1027, May 2011. [ Links ]
[9] Liu, H., Guoqing Li. "OFDM based broadband wireless networks, Design and Optimization", 138-162, John Wiley and Sons, USA. 2005. [ Links ]
[10] S. R. Baig, F. U. Rehman, and M. J. Mughal. "Performance comparison of DFT, Discrete Wavelet Packet and Wavelet transforms in an OFDM transceiver for multiphat fading channel", 9th IEEE International Multitopic Conference, pp. 1-6, December 2005. [ Links ]
[11] R. Mirghani and M. Ghavami. "Comparison between Wavelet-based and Fourier-based multicarrier UWB systems", IET communications, Vol 2(2), pp. 353-358, 2008. [ Links ]
[12] G. Cherubini, E. Eleftheriou, S. Oelser. "Filtered Multitone Modulation for Very High-Speed Digital Subscriber Lines", IEEE Journal of Selected Areas in Communications, Vol. 20, No. 5, 2002. [ Links ]
[13] E. Okamoto, Y. Iwanami, T. Ikegami, "Multimode transmission using wavelet packet modulation and OFDM", in: IEEE 58th Vehicular Technology Conference, vol. 3, 2003, pp. 1458-1462. [ Links ]
[14] M. Katayama and T. Yamazato, "A mathematical model of noise in narrowband PLC systems", IEEE Journal on Selected Areas in Communications, Vol. 24, No. 7, pp. 1266-1276, July 2006. [ Links ]
[15] M. Zimmermann and K. Dostert "Analysis and Modeling of Impulsive Noise in Broadband Powerline Communications". IEEE Transactions Electromagnetic Compatibility. Vol. 44, No. 1, pp. 249-58, February 2002. [ Links ]
[16] D. Midleton, "Canonical Non-Gaussian Models: Their Implications for Measurement and for Prediction Receiver Performance"; IEEE Transactions of Communications, Vol. COM-21, No 3, pp. 20-220, August 1979. [ Links ]
[17] H. Philipps. "Development of a statistical model for powerline communications channels", Proceedings of the 4th International Symposium on Power-Line Communications and its Applications (ISPLC), Limerick, Ireland, April 5-7 del 2000. [ Links ]
[18] M. Single et al. "Transmission channel properties of de low voltage grid for narrowband Power Line Communications", IEEE Int'l. Symp. Power Line Communications and applications, Undine, Italy, pp. 289-294, 2011. [ Links ]
[19] H. Paz. Sistemas de comunicaciones digitales (1a edición). Bogotá-Colombia. Editorial: Escuela Colombiana de Ingeniería. 2009. 399 págs. [ Links ]
[20] Recomendación UIT-R: P1411 Datos de propagación y métodos de predicción para la planificación de los sistemas de radiocomunicaciones de exteriores de corto alcance y redes de radiocomunicaciones de área local en la gama de frecuencias de 300 MHz a 100 GHz. [ Links ]
[21] M. Oltean, "Wavelet Modulation Performance in Fading Conditions", Proceedings of the Scientific Communications Session DrETC 2007, Timisoara, pp. 13-18, ISBN 978-973625-494-9. [ Links ]
[22] M. Oltean, M. Nafornita, "Efficient Pulse Shaping and Robust Data Transmission Using Wavelets", Proceedings of IEEE International Symposium on Intelligent Signal Processing, WISP 2007, Alcala de Henares, Spain, October 2007. [ Links ]
[23] S Mallat. "A theory for multirresolution signal descomposition: the wavelet representation" IEEE pattern anal and machine intell. Vol. 11, No. 7, pp. 674-693. 1989. [ Links ]
[24] H. Paz. "Ruido e interferencia en canales de comunicaciones por línea de distribución eléctrica." Energía y Computación. Revista científica y tecnológica de la Universidad del Valle. Vol. 17, No. 1, pp. 223-231, 2009. [ Links ]
[25] M. Salagean y I. Nafornita. "The estimation of the instantaneous frequency using time-frequency methods", UPT Scientific Bulletin. Vol. 51 (61), Electronics and Communications, Nos. 1-2, 2006. [ Links ]


























