Services on Demand
Journal
Article
Indicators
-
Cited by SciELO -
Access statistics
Related links
-
Cited by Google -
Similars in
SciELO -
Similars in Google
Share
Iteckne
Print version ISSN 1692-1798
Iteckne vol.12 no.2 Bucaramanga July/Dec. 2015
Análisis multiespectral de la vegetación para aplicaciones de sensado remoto
Multispectral analysis of vegetation for remote sensing applications
Andrés Fernando Jiménez-López1, Fabián Rolando Jiménez-López2, Mariana Jiménez-López3
1 M. Sc. Ciencias - Física Universidad de los Llanos. Villavicencio, Colombia. ajimenez@unillanos.edu.co.
2 M. Sc. Ingeniería - Automatización Industrial Universidad Pedagógica y Tecnológica de Colombia. Tunja, Colombia. fabian.jimenez02@uptc.edu.co.
3 Ingeniera de Sistemas Universidad Pedagógica y Tecnológica de Colombia. Sogamoso, Colombia. mariana.jimenez01@uptc.edu.co.
RESUMEN
En este documento se presenta el desarrollo de una herramienta de hardware y software para análisis de coberturas vegetales mediante técnicas de sensado remoto. Inicia con un estudio de la interacción de las ondas electromagnéticas en las hojas de las plantas según el modelo de placa sencilla y múltiple para el espectro del visible y el infrarrojo, que permite mediante una aplicación desarrollada en Python encontrar la firma espectral de coberturas según parámetros de las hojas (conocido como un modelo de inversión), que da cuenta de una aproximación de lo que puede ocurrir con la reflectancia de la superficie de las hojas. Se explica también el desarrollo de un sistema de adquisición y procesamiento de imágenes en las bandas del visible e infrarrojo cercano para su uso en agricultura de precisión mediante un vehículo aéreo no tripulado VANT.
PALABRAS CLAVE: Índice de vegetación, vehículo aéreo no tripulado, sensado remoto, software libre.
ABSTRACT
This paper describes the development of a hardware and software tool for analysis of vegetation cover using remote sensing techniques. Begins with a study of the interaction of electromagnetic waves in the leaves of plants on the single and multiple plate models for the spectrum of visible and infrared, which allows using an application developed in Python found the spectral signature of coverage according to parameters of the leaves (known as an inversion model), which accounts for an approximation of what may occur with the reflectance of the surface of the leaves. The development of a system for acquiring and processing images in the visible and near infrared bands for use in precision agriculture through an unmanned aerial vehicle UAV is also explained.
KEYWORDS: Vegetation index, unmanned aerial vehicle uav, remote sensing, free software.
1. INTRODUCCIÓN
La agricultura de precisión (AP) es una tecnología que ha revolucionado la forma de cultivar en el mundo y poco a poco ha logrado un lugar importante en el ámbito de las investigaciones [1]. Es una estrategia holística y ambientalmente amigable, en la cual los agricultores pueden variar las entradas y métodos de cultivos, incluyendo la aplicación de semillas, fertilizantes, pesticidas, agua, selección variable, siembra, labranza, riego y cosecha para manejar la variabilidad del suelo y las condiciones del cultivo a lo largo del campo [2]. Esta metodología busca aplicar insumos agrícolas en el lugar y el instante adecuados para mejorar la producción, disminuir sus costos y reducir el uso de agroquímicos [3].
La teledetección (sensado remoto) es la ciencia de adquirir y procesar información de la superficie terrestre desde sensores y otros instrumentos instalados en plataformas espaciales, aviones y dirigibles, gracias a la reflectancia, es decir, la interacción de la energía electromagnética que existe entre el sensor y la tierra [4]. Los sensores remotos han tenido un rol importante en la clasificación de cultivos, sanidad vegetal y evaluación de rendimientos. Diferentes relaciones o razones de datos multiespectrales y esquemas de clasificación se han aplicado dependiendo del área geográfica, diversidad de cultivos, tamaño del campo, fenología del cultivo, y condiciones del suelo [1]. Relacionado a las condiciones del cultivo, algunos estudios de sensores remotos se han enfocado en parámetros físicos individuales de los sistemas agrícolas, tales como el estrés de nutrientes o de disponibilidad de agua, que permiten analizar la sanidad y rendimiento de coberturas vegetales [2].
El número y tipo de fuentes disponibles de sensores remotos simplifica el procesamiento de información de campo. Una vez se establecen las características que determinan la naturaleza de la información que puede extraerse de una imagen, de acuerdo con las diferentes porciones del espectro electromagnético, se pueden explorar procesamientos que permitan satisfacer los requerimientos necesarios de información. Esencialmente se utilizan las bandas del espectro visible y del infrarrojo para obtener información de coberturas vegetales mediante sensores remotos, las cuales pueden combinarse algorítmicamente en un índice de vegetación, para resaltar elementos de discriminación de estado y variedad vegetal en la superficie terrestre [5].
Uno de los aspectos más importantes para considerar en la adquisición de la información tiene que ver con los sensores de imagen, cuyas imágenes capturadas poseen un cierto grado de distorsión óptica y geométrica que deben ser corregidas antes de poder ser utilizadas. Esto conlleva el conocimiento de la geometría interna de estos sensores, además del uso de los datos de posición y ubicación espacial que se obtienen con Sistemas de Posicionamiento Global (GPS) [6]. Además, aunque se tengan estos parámetros, se evidencia la necesidad de calibrar el sistema para obtener resultados confiables, para lo cual se han desarrollado métodos utilizando procesamientos en tiempo real abordo de un vehículo aéreo no tripulado (VANT) y control en tierra [7].
El estudio de los fenómenos asociados con la propagación de ondas electromagnéticas juega un papel fundamental en el sensado remoto. Las características de las ondas electromagnéticas, las leyes de excitación y propagación son descritas por las ecuaciones de Maxwell como leyes fundamentales de la naturaleza. En el estudio de la teledetección es común trabajar con las ecuaciones de Maxwell en forma derivativa como se aprecia en (1), (2), (3) y (4), donde es
la intensidad de campo eléctrico,
es la densidad de campo magnético,
es el vector densidad de campo eléctrico y
es la intensidad de campo magnético. Las fuentes están asociadas con
, que es la densidad de corriente y ρ que es la densidad de carga.
Ley de Ampere - Maxwell,
Ley de Faraday,
Ley de Gauss para Campo Magnético,
Ley de Gauss para Campo Eléctrico,
En este artículo se plantean los resultados obtenidos en investigaciones realizadas en la Universidad de los Llanos y la Universidad Pedagógica y Tecnológica de Colombia en el desarrollo de una herramienta útil para la adquisición y análisis de información espectral de coberturas vegetales de la Orinoquía colombiana. Se centra en el desarrollo detallado de las ecuaciones de reflectancia y transmitancia de ondas electromagnéticas en hojas, basado en los modelos de placa sencilla y el de multicapa. Se desarrolla una aplicación en Python (software libre) con los resultados de la deducción del modelo, que permite ingresar parámetros de la cobertura y obtener el comportamiento espectral de la vegetación en el espectro del visible y el infrarrojo cercano. Además se dan a conocer las características del equipo desarrollado para adquirir información en campo y la respuesta de los datos obtenidos, haciendo una comparación cualitativa con los obtenidos teóricamente.
2. METODOLOGÍA EMPLEADA
2.1 Modelo electromagnético
El modelo más simple del comportamiento electromagnético de la radiación incidente a la hojas corresponde al de considerar a estas como placas dieléctricas, en las que ocurren los procesos de reflexión, transmisión y absorción [8], [9] y [10]. Según (5), la suma de los valores de reflectancia, transmitancia y absortancia en la hoja corresponden al total de la radiación incidente.
Donde ρ es la reflectancia, τ es la transmitancia y α es la absortancia. La reflectancia se compone de dos términos fundamentales correspondientes a la parte reflejada por la superficie y también la causada por múltiple esparcimiento de la radiación, además de considerarse la reflectancia especular y difusa. En este documento se trabaja con la reflectancia difusa, la transmitancia y absortancia en la porción del espectro electromagnético correspondiente desde 400 nm hasta 2500 nm, es decir, al espectro del visible y parte del espectro infrarrojo. En las plantas existe una respuesta de los pigmentos fotosintéticos fuerte en las longitudes de onda de 400 nm a 700 nm, de forma tal, que cuando aparecen condiciones anormales en el follaje se produce insuficiente clorofila, que causará un incremento en la reflectancia del visible, adquiriendo de esta forma la planta un tono verde pálido, amarillo o amarillo blanquecino [11].En las longitudes de onda de 700 nm a 1100 nm las absorciones electroquímicas están limitadas por los componentes encontrados en plantas secas, celulosa, lignina y otros carbohidratos estructurales. Sin embargo es afectada por la reflexión por múltiple esparcimiento de la radiación dentro de la hoja, relacionados con la estructura interna, fracción de espacios de aire e interfaces agua-aire que refractan la luz dentro de las hojas. En el rango comprendido entre 1100 nm y 2500 nm, el infrarrojo medio o infrarrojo de onda corta presenta fuerte absorción, principalmente por el agua en hojas verdes, existiendo picos característicos en la vegetación a 1450, 1940 y 2500 nm, correspondiente a absorciones primarias de agua en la hoja y absorciones secundarias en 980 nm y 1240 nm [11].
En hojas secas, la reflectancia y transmisión están influenciados por componentes de carbón seco como celulosa y lignina, nitrógeno, azúcares y otros componentes. Las uniones de nitrógeno e hidrógeno tienen su primer armónico a 1510 nm y una serie de combinaciones de bandas para 1980, 2060 y 2180 nm [12].
Según el modelo de placas, se considera una hoja compacta como una placa semitransparente con superficies planas paralelas y se asume que la luz incidente es parcialmente isotrópica, equivalente a que las superficies son rugosas. La reflectancia total puede obtenerse sumando las amplitudes de las reflexiones y refracciones sucesivas, de forma tal que la parte transmitida es reflejada dentro de la hoja varias veces entre las dos superficies. Este comportamiento es explicado mediante el estudio de la teoría de ondas electromagnéticas. Las ecuaciones de Maxwell en notación fasorial, para régimen permanente sinusoidal definidas para el vacío corresponden a las expuestas en (6) a (9):
Donde ω es la frecuencia angular o pulsación,
0 = 8.85x10-12 F/m es la permitividad del vacío y µ0 = 4πx10-7 H/m es la permeabilidad del vacío,
s es la intensidad de campo magnético y
s es la intensidad de campo eléctrico [13]. El estudio de esta ecuación permite determinar la cantidad de energía incidente, reflejada y transmitida en diferentes medios, permitiendo comprender el comportamiento de coberturas vegetales (dosel vegetal) con la radiación solar incidente mediante los métodos de teledetección.
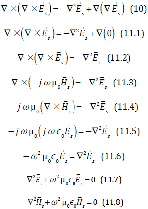
Partiendo de la identidad de (10) y reemplazando las ecuaciones de Maxwell según se muestra en (11.1 a 11.8):
Se obtiene finalmente la ecuación de Helmholtz para la intensidad del campo eléctrico (12) y la intensidad del campo magnético (13).
Donde
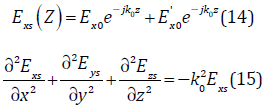
, es el número de onda. Si la propagación se asume en una dirección, por ejemplo en el eje z, el campo eléctrico se escribiría como en (14) y la ecuación de Helmholtz para el campo eléctrico como en la (15).
Al utilizar la Ley de Faraday (7), resolver el determinante y despejar según el proceso indicado en (16), se determina el campo magnético en forma instantánea (dependiente del tiempo) para el caso estudiado en (17).
La amplitud máxima de H se encuentra cuando Ex0 es máximo. (18)
Entonces de (18), y
corresponden a:
y
, y donde
, es la impedancia del vacío. El objeto de estudio es analizar la respuesta de la radiación reflejada por superficies vegetales asumiendo que la luz es isotrópica, para ello se estudia la propagación de ondas planas en incidencia oblicua, teniendo en cuenta que la onda se propaga en un medio con pocas pérdidas, donde
se considera como la magnitud del vector
, cuya dirección es la de propagación de la onda. De la Fig. 1 se considera que la región 1 posee permitividad
1 y permeabilidad µ1, y la región 2 permitividad
2 y permeabilidad µ2, θi es el ángulo incidente, θr es el ángulo de reflexión y θt es el ángulo de transmisión.
Para el caso de los campos incidentes
i: ilustrados en la Fig. 2 se definen las ecuaciones (19):
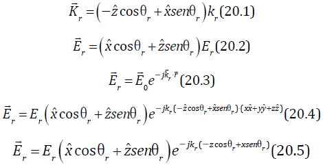
Para los campos reflejados
r, que se ilustran en la Fig. 3 se definen las ecuaciones (20):
Para los campos transmitidos
t: que se describen en la Fig. 4 se define (21):
Definiendo a Γ como el coeficiente de reflexión y a T como el coeficiente de transmisión, que relacionan la cantidad de campo eléctrico que se refleja o transmite de acuerdo con el campo eléctrico incidente y donde Er = E0Γ y Et = E0T. Se determinan los campos magnéticos en (22) a (24):
Donde
es el vector unitario en la dirección de propagación y η es la impedancia del medio correspondiente.
Donde
,
,
,
,
i corresponde al campo magnético incidente,
t el transmitido y
r el reflejado. Para obtener (25) y (26) se forzó la continuidad de Ex y Hy:
Teniendo en cuenta las leyes de la reflexión y refracción se establece (27):
Dando como resultado (28):
Y que se adaptan para el campo magnético en (29) a (31):
Despejando T de (28) se obtiene (32).
Reemplazando (32) en (31) se obtiene (33) y los coeficientes de Reflexión y Transmisión, (34) y (35), respectivamente.
Para incidencia normal, θt, θi, y θt son cero grados, luego para este caso, los coeficientes de reflexión y transmisión se expresan según (36) y (37), respectivamente.
Es decir, el valor de absortancia y reflectancia de la planta estará asociado con los coeficientes de reflexión y transmisión de la misma, teniendo en cuenta la permitividad y la permeabilidad del medio [14], [15]. Mediante la Ley de Beer's se puede determinar el comportamiento de la radiación absorbida por las plantas teniendo en cuenta la constitución de la vegetación. La absorbancia en una sustancia α = εBC se define por la concentración molar
Absorbitividad molar, B: Longitud de camino de la muestra en cm y C La concentración de los componentes de la solución (mol/L).
Para el caso del modelo de la placa sencilla se puede entender el comportamiento como el de múltiples reflexiones, absorciones y transmisiones, en una placa de dieléctrico como se aprecia en la Fig. 5.
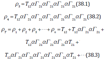
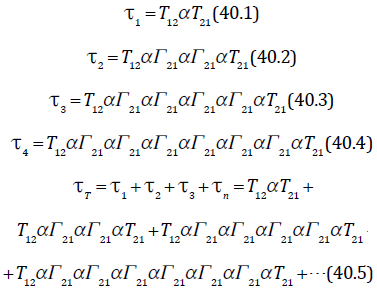
De forma tal que se puede establecer el comportamiento de acuerdo con los parámetros de reflectividad, absortividad y transmisividad, por intervalos. El primer valor de reflectancia ρ1 = Γ12, donde Γ12 es el coeficiente de reflexión entre el medio 1 y el 2. Para el segundo término de reflectancia hay una transmisión de la primera superficie a la segunda T12, una absorción α, una reflexión entre el medio 2 y el 1 Γ21, otra absorción α, para finalizar con una transmisión del medio 2 al 1 T21, lo que corresponde a: ρ2 = T12αΓ21αT21.
Continuando con el análisis propuesto se obtuvieron las expresiones (38) para efectos del comportamiento de la radiación de acuerdo a lo mostrado en la Fig. 6.
Donde n corresponde al número de elementos contribuyentes en la determinación de la reflectancia total. Al considerar n como un valor tendiente al infinito, se encuentra una serie de tipo geométrica como se aprecia en (39).
Para el caso de la transmisión ocurre un efecto similar, en donde se tuvieron en cuenta los aportes de múltiples absorciones, transmisiones y reflexiones que permiten obtener (40):
Que resulta en otra serie geométrica descrita por (41).
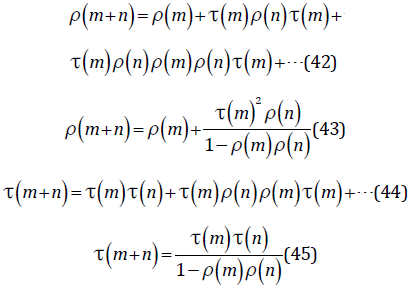
Ahora, se puede asumir a las hojas vegetales como una estructura multicapa, en la que se asume que la hoja está constituida por espacios celulares que se asocian a N capas, m de un tipo (materia seca) y n del otro (sales, agua y aire), por este motivo la hoja se divide en N capas compactas uniformes, con N-1 espacios entre ellas. Para este análisis se tuvieron N = m+n placas, donde ρ(m+n) corresponde a la reflectancia total y τ(m+n) la trasmitancia total. Haciendo un procedimiento similar al modelo de una sola capa se obtuvieron los valores de la reflectividad en (43) y transmisividad (45) para un sistema de hoja analizado como multicapa.
Los valores de los parámetros de Reflectividad y Transmisividad dependen del ángulo de incidencia y de la ecuación de Snell de la reflectancia, lo cual permite definir que el ángulo de refracción es dependiente de la permitividad y permeabilidad del medio y además de la longitud de onda de la radiación incidente. Por lo cual se puede determinar el valor de la reflectancia y transmitancia de la hoja para cada longitud de onda [16], [17], [18], [19], [20]. Para el proyecto se planteó el análisis para las longitudes de onda azul, verde, rojo e infrarrojo cercano y medio, las cuales están incluidas dentro de un algoritmo desarrollado en Python para la determinación de la reflectancia y transmitancia de una hoja para múltiples longitudes de onda.
2.2 Aplicación en software desarrollado en Python
La Fig. 7 muestra la interfaz gráfica de usuario desarrollada para el proyecto, que está desarrollada en Python al ser un lenguaje de programación interpretado, libre, con poderosas herramientas para el desarrollo de interfaces gráficas, procesamiento de imágenes, análisis de datos y procesamiento de datos geoespaciales. Esta interfaz tiene las opciones de: información, índices de vegetación, firma espectral, modelo de inversión, teoría electromagnética, UAV y salir.
En la Ventana de Modelos de Inversión, se permite ingresar los datos de N: Coeficiente Estructural de la planta, Cab: Contenido de Clorofila, Car: Contenido de Carotenoides, Cbrown: Pigmentos Cafés, Cw: Espesor de Agua Equivalente EWT, Cm: Contenido de materia seca LMA, que permiten determinar los valores de absortividad de la planta e impedancia del medio como respuesta a las longitudes de onda desde 400 nm hasta 2500 nm, según los resultados de aplicar la ecuación (43) Fig. 8.
2.3 Equipo de adquisición de información multiespectral
Se utilizó una plataforma Arducopter 3DR X8, con dos sensores de imagen incorporados, un sistema de cómputo, así como los dispositivos y circuitería necesarios para el acople completo del sistema como se describe en la Fig. 9.
Se utilizan dos sensores de imagen LinkSprite JPEG Color Camera TTL Interface, que además de cumplir con el requerimiento de captura de imagen en el espectro infrarrojo cercano (cámara 1) y visible (cámara 2: Bandas RGB - rojo, verde y azul), cuentan con una interfaz serial para su control, lo que permite su fácil utilización mediante un microcontrolador. Se seleccionan estas cámaras al requerir un sistema de bajo costo con dispositivos disponibles en el mercado colombiano y con características adecuadas para desarrollar el prototipo. Como dispositivo de almacenamiento de las imágenes se decidió utilizar una memoria microSD controlada por una tarjeta microDRIVE (uDRIVE-uSD-G1) de 4D Systems, que permite la utilización de un sistema de archivos en la memoria mediante un set de comandos sencillos a través de una interfaz serial. Finalmente, para el control de los dispositivos mencionados se decidió utilizar el kit de evaluación TivaTM C Series LaunchPad de Texas Instruments®, que consiste en una plataforma de desarrollo del microcontrolador TM4C123GH6PM el cual posee un núcleo procesador de 32-bit ARM® CortexTM-M4 a 80 MHz, 8 periféricos UART, 32 Kb de RAM, entre otras características que le otorgan buenas prestaciones de procesamiento. En la Fig. 10 se aprecia la cámara multiespectral acoplada al Vehículo Aéreo No Tripulado VANT, Arducopter 3DR X8.
Se obtienen imágenes en las bandas del espectro del azul, verde, rojo e infrarrojo cercano, que se pueden operar para calcular los denominados índices de vegetación, especialmente en el fin del rojo e inicio del infrarrojo cercano, en donde existe la mayor variación en la reflectancia y que da cuenta del comportamiento de absorción en el rojo debido al proceso fotosintético y mayor reflectancia en el infrarrojo cercano, debido a la estructura interna de las hojas, siendo los índices de vegetación uno de los indicativos más usados para definir el estado de sanidad y de producción en cultivos agrícolas.
3. RESULTADOS Y DISCUSIÓN
Al ingresar los parámetros designados y oprimir el botón Calcular de la Fig. 8, se generan los valores de reflectancia de la superficie vegetal estudiada, obteniendo la firma espectral correspondiente, como se aprecia en la Fig. 11. Según este resultado se encuentra que la firma espectral obtenida con el modelo responde adecuadamente según la teoría definida en este documento, es decir, existe baja reflectancia en el espectro del azul (450nm aprox.) y el rojo (650nm aprox.), mayor reflectancia en el verde (550 nm aprox.), un aumento apreciable en el infrarrojo cercano (750nm aprox.) y dos valores bajos de reflectancia baja cerca de 1500nm y 2000nm aprox., lo que representa una respuesta adecuada del modelo.
Para la realización de las pruebas con el equipo de adquisición de imágenes y la aplicación de software desarrollado para calcular índices de vegetación (operaciones entre bandas espectrales), se trabajó en la Plantación Palmar del Oriente en Villanueva, Casanare, Colombia (Fig. 12).
Se trabajó en el lote 11-21, en el que se tiene una siembra de 2011, que está junto a otra del 2007. Este lote tiene la ventaja de que además de permitir obtener información de dos diferentes estados de crecimiento de la palma, presenta ataque de pudrición de cogollo en el cultivo del lote de siembra de 2011.
En la Fig. 13 se aprecian las dos imágenes adquiridas por el VANT en la Plantación Palmar del Oriente en el lote 11-21. En la Fig. 14, se realiza el procedimiento de descomposición de las bandas, agregando pseudocolor (hot en Python) para resaltar parámetros de la imagen. Se puede establecer por los datos obtenidos, que el comportamiento en la banda espectral azul (450nm aprox.) y la roja (650nm aprox.) produce valores de reflectancia bajos, aumentan levemente en el verde (550nm aprox.) y se aprecia un aumento considerable al observar la imagen del infrarrojo cercano (650nm aprox.), esto comprueba que los resultados de simulación y los experimentales en campo corresponden al mismo comportamiento.
4. CONCLUSIONES Y TRABAJOS FUTUROS
Mediante el trabajo desarrollado, se ha encontrado un modelo del comportamiento de la reflectancia de la radiación electromagnética, iniciando desde la definición de las ecuaciones de Maxwell, pasando por la teoría de dispersión de ondas electromagnéticas de la electrodinámica clásica para ondas armónicas al interactuar con hojas, hasta obtener una aplicación en software que permite determinar la respuesta de la vegetación en longitudes de onda que van desde el azul hasta el infrarrojo medio, que muestra una respuesta cualitativa acertada de lo que establece la teoría y que es comprobada por los datos adquiridos en campo mediante el VANT.
Este desarrollo matemático es un elemento esencial para proveer modelos de simulación de comportamiento de cultivos y plantaciones agrícolas, además de ser un insumo de calibración de datos satelitales y de campo. Para continuar con los trabajos de investigación es necesario verificar y calibrar los resultados obtenidos mediante desarrollo de actividades en lotes cultivados que permitan valorar estados fenológicos reales de la vegetación y lograr un ajuste de los parámetros del modelo y calibración de los datos adquiridos por las cámaras.
AGRADECIMIENTOS
Se agradece a la Universidad de los Llanos y al Instituto de Investigación de la Orinoquia Colombiana (IIOC), a la Facultad de Ciencias Básicas e Ingeniería y al grupo MACRYPT por su apoyo financiero y logístico, así como al grupo de investigación en procesamiento de señales DSP - Uptc, de la Universidad Pedagógica Tecnológica de Colombia por su cooperación en el desarrollo de esta investigación, además de agradecer al Palmar del Oriente, Villanueva, Casanare, Colombia, por la colaboración en la adquisición de la información en campo.
REFERENCIAS
[1] A. Srinivasan, Handbook of Precision Agriculture: principles and applications. Binghamton, NY: Food Products Press, 2006, pp. 683. [ Links ]
[2] A. Srinivasan, "Site-specific management for selected cropping systems in Asia: Progress and Prospects," presented at the Int. Conf. on Agricultural Science and Technology ICAST, '01, Beijing, China, November 7-9, 2001. [ Links ]
[3] A. Jiménez, D. Ravelo and J. Gómez, "Sistema de adquisición, almacenamiento y análisis de información fenológica para el manejo de plagas y enfermedades de un duraznero mediante tecnologías de agricultura de precisión," Rev. Tecnura, vol. 14, no. 27, pp. 41-51, Dic. 2010. [ Links ]
[4] A. Abril and E. Bucher, "Overgrazing and soil carbon dynamics in the western Chaco of Argentina," Applied Soil Ecology Journal, vol. 16, no. 3, pp. 243-243, 2001. [ Links ]
[5] A. Hoffer, "Remote Sensing: The Quantitative Approach," in Biological and Physical considerations in applying Computer-Aided Analysis Techniques to Remote Sensor Data, Chapter 5, New York, US: McGraw-Hill, 1976, pp. 227-289. [ Links ]
[6] Y. Ching-Kuo, "Self-calibrated direct geo-referencing of airborne pushbroom hyperspectral images," presented at IEEE Int. Geoscience and Remote Sensing Symposium IGARSS'11, Vancouver, Canada, July 24-29, 2011. [ Links ]
[7] Y. Zhang and X. Shen, "Approximate correction of length distortion for direct georeferencing in map projection frame," IEEE Geoscience and Remote Sensing Letters, vol.10, no. 6, pp. 1419-1423, Nov. 2013. [ Links ]
[8] P. K., Varshney, Advanced image processing techniques for remotely sensed hyperspectral data. Berlin, Germany: Springer, 2004. [ Links ]
[9] F. V. Der Meer and S. M. De Jong, Imaging spectrometry: Basic principles and prospective applications. Dordrecht, Nederland: Springer, 2006. [ Links ]
[10] Z. Li, J. Chen and E. Baltsavias, Advances in photogrammetry, remote sensing and spatial information sciences. Boca Raton, U.S.: CRC Press, 2008. [ Links ]
[11] G. A. Carter, "Primary and secondary effects of water content on the spectral reflectance of leaves," American Journal of Botany, vol. 78, no. 7, pp. 916-921, 1991. [ Links ]
[12] C. A. Wessman, and W.D. Bowman, "Estimation of biochemical constituents from fresh, green leaves by spectrum matching techniques," Proc. In Int. Geoscience and Remote Sensing Symposium, IGARSS '90, vol. 2, pp. 971-974, College Park, MD, 1990. [ Links ]
[13] W. H. Hayt and J. A. Buck, Engineering electromagnetics. McGraw-Hill, 2012. [ Links ]
[14] G. Walter, F. Warmerdam and P. Farris-Manning, "An open source tool for geospatial image exploitation," Proc. in Int. Geoscience and Remote Sensing Symposium, IGARSS '02, vol. 6, no. 1, pp. 3522-3524, Jun. 2002. [ Links ]
[15] G. Suresh, G. Heygster, G. Bohrmann, C Melsheimer and J. H. Korber, "An automatic detection system for natural oil seep origin estimation in SAR images," Proc. in Int. Geoscience and Remote Sensing Symposium, IGARSS'13, vol., no., pp. 3566-3569, July 21-26, 2013. [ Links ]
[16] J. D. Beezley, M. Martin, P. Rosen, J. Mandel and A. K. Kochanski, "Data management and analysis with WRF and SFIRE," Proc. in Int. Geoscience and Remote Sensing Symposium, IGARSS'12, vol., no., pp. 5274-5277, July 22-27, 2012. [ Links ]
[17] M. Miyamoto, K. Yoshino and K. Kushida, "Vegetation mapping of Kushiro wetland in northeast Hokkaido, Japan: application of SPOT images, aerial balloon photographs and airborne color near infrared (CNIR) images for classification," Proc. in Int. Geoscience and Remote Sensing Symposium, IGARSS '02, vol.6, pp. 3495-3497, Jun. 24-28, 2002. [ Links ]
[18] H. Sun, M. Li, L. Zheng, Y. Zhang and W. Yang, "Evaluation of maize growth by ground based multi-spectral image," presented at IEEE/SICE International Symposium on System Integration, SII'11, vol. 1, pp. 207-211, Dec. 20-22, 2011. [ Links ]
[19] M. D. Iordache, L. Tits, J. M. Bioucas, A. Plaza and B. Somers, "A dynamic unmixing framework for plant production system monitoring," IEEE Journal of Selected Topics in Applied Earth Observations and Remote Sensing, vol.7, no. 6, pp. 2016-2034, Jun. 2014. [ Links ]
[20] M. Zortea and A. Plaza, "Spatial-spectral endmember extraction from remotely sensed hyperspectral images using the watershed transformation," presented at IEEE International Geoscience and Remote Sensing Symposium, IGARSS'10, vol. 1, pp. 963-966, July 25-30, 2010. [ Links ]



















































