1. INTRODUCCIÓN
El crecimiento acelerado de las ciudades demanda una mayor infraestructura de transporte y con ello una mejora de la red vial existente [1], [2]. Los pavimentos rígidos cumplen un importante rol en nuestra infraestructura vial, per mitiendo dar respuesta a dicha demanda creciente [3]. Este tipo de pavimentos tiene ventajas en comparación con el pavimento bituminoso o asfáltico, como es su alta rigidez, alta resistencia y buena durabilidad [4].
Los métodos de diseños de pavimentos rígidos determinan una sección, y con ello su espesor de losa, con el fin de obtener una adecuada vida útil [2]. El desempeño satisfactorio del pavimento dará comoresultado mayores ahorros en términos de costos de operación del vehículo y tiempo de viaje de millones de usuarios que circulan por él, lo que influye en la viabilidad económica general de un proyecto [1].
La rehabilitación del pavimento es un aspecto importante de la preservación de este y, generalmente, mejora la condición estructural o funcional del pavimento y, por lo tanto, extiende su vida útil [5]. Durante su ciclo de vida, los pavimentos rígidos pueden desarrollar fallas como grietas, roturas de esquina y desprendimientos, entre otros [2]. Estos deterioros requieren trabajos de mantenimiento o conservación que incluyen operaciones como el sellado de juntas y grietas, la reposición de losas, entre otras [5]. Por razones técnicas o económicas, en ocasiones puede no efectuarse la reposición total de losas con deterioros o da ños, realizando solo su reemplazo parcial, lo que involucra una longitud menor a la original.
La mayoría de estos pavimentos rígidos están hechos de concreto de cemento Portland (Portland Cement Concrete Pavement “PCCP” en inglés), el que generalmente está conformado por una capa superficial o losa plana de concreto construida sobre una capa de base granular y apoyada sobre una subrasante [6], [7]. La losa de concreto es la más rígida y proporciona la mayor parte de la resistencia al pavimento [2]. La capa base y la subrasante proporcionan drenaje y protección al pavimento contra heladas y también contribuyen a la resistencia de la estructura de pavimento [4].
En la Fig. 1 se muestra la sección típica de este tipo de pavimentos.
El pavimento de losas planas de concreto conjuntas (Jointed Plain Concrete Pavement “JPCP” en inglés) está construido con concreto de cemento Portland y está compuesto de numerosas losas de concreto de geometrías discretas, dimensionadas por juntas longitudinales y transversales [4], [7], [8], [9]. Aunque las juntas transversales se utilizan para controlar las grietas producto de la deformación térmica y la contracción por secado de las losas, la disposición de estas juntas puede disminuir la capacidad de carga de las losas de concreto cerca del borde. Esa reducción debe controlarse adecuadamente para evitar daños en el pavimento bajo cargas repetitivas [9].
El análisis del pavimento rígido es más complejo que el estudio de pavimentos flexibles, debido a la estructura de las juntas, las barras y el análisis del suelo de fundación del pavimento [10]. No obstante, importantes aportes en el análisis de pavimentos rígidos, como los realizados por H. M. Westergaard, han sido ampliamente utilizados para validar estudios actuales [8]. En su trabajo, Westergaard propone las ecuaciones para el cálculo de tensiones máximas y deflexiones en las posiciones más desfavorables para una losa de pavimento. Estas posiciones corresponden a la carga ubicada en el interior, borde y esquina de la losa [8], [11], [12]. Sin embargo, las soluciones analíticas tradicionales disponibles pueden no tener en cuenta de manera realista cargas complejas, condiciones de contorno mixtas o geometrías arbitrarias [3]. Las soluciones de forma cerrada propuestas por Westergaard se desarrollaron para estructuras de pavimento rígido simples y casos de carga simple [10], [13]. Estas propuestas fueron actualizadas por Ioannides y Hammons (1996) mediante análisis con elementos finitos [12] y posteriormente estudiadas por Huang (2004) [13].
A partir del desarrollo de las computadoras, se han empleado muchos métodos numéricos diferentes para el análisis de la estructura del pavimento rígido en las últimas décadas, como es el caso del método de elementos finitos (FEM en inglés), el método de elementos discretos (DEM en inglés) [14], el método de elemento límite (BEM en inglés) [15] y el método de diferencia finita (FDM en inglés) [16]. Sin embargo, el método de elementos finitos es sin duda uno de los métodos principales debido a su flexibilidad y adaptabilidad [3]. Con el desarrollo de la mecánica computacional, el método de elementos finitos rompió las limitaciones que imponían las condiciones de borde y los tipos de carga en los métodos analíticos [9].
Existen varios métodos para evaluar la capacidad estructural de los pavimentos a partir de los datos del cuenco de deflexión, incluidas las técnicas de pruebas no destructivas, como es la deflectometría de impacto y los programas numéricos y analíticos como ISLAB2000, DIPLOMAT, entre otros, y programas de elementos finitos como EverFE, KENSLABS, ABAQUS, ANSYS, junto a otros software [9], [17].
Actualmente, para el dimensionamiento de estructuras de pavimentos rígidos se emplean métodos empíri cos y empíricos-mecanicistas, definiendo comúnmente para ello un eje de diseño (eje simple de 8,16T u 80kN) o el espectro de carga, el espesor de las capas y las características de los materiales [8].
Es aceptado ampliamente que los modelos de elementos finitos en 3D son necesarios para capturar ade cuadamente la respuesta estructural de los sistemas de pavimento rígido [8]. Varias investigaciones aplicaron el método de elementos finitos como una de las herramientas numéricas más precisas y poderosas para investigar las propiedades de la capa de concreto y las respuestas críticas del pavimento, en profundidad, bajo cargas de tráfico y ambientales [9].
Este método de elementos finitos considera etapas necesarias para lograr un adecuado modelo como es la discretización de objetos, análisis de caracterización de elementos, ensamblaje de elementos y solución de grado de libertad de nodos [3], [4]. En comparación con las mediciones deterreno y experimentales, la teoría de elementos finitos en 3D puede analizar pavimentos de concreto estructuralmente complejos, considerando las cargas de las ruedas y las cargas ambientales, y los problemas complejos se pueden resolver en un tiempo de operación relativamente corto [18].
El método de elementos finitos es útil tanto para investigadores de pavimento rígido como para diseñadores que deben realizar análisis complejos basados en la mecánica de sistemas de pavimento rígido [3].
El objetivo de este estudio es analizar el comporta miento de las tensiones máximas inducidas en la losa de pavimentos rígidos producto de modificaciones en su geometría, debido a operaciones de conservación que consideran el reemplazo parcial de losas de concreto.
2. MÉTODOS
2.1 Geometría de losas de concreto
En el presente estudio se resuelven estructuras de pavimento que involucran campos de losas que consideran 2 losas en el sentido transversal y 3 losas en el sentido longitudinal, para espesores de 150 mm, 160 mm, 180 mm y 200 mm. Estas losas de concreto tienen una geometría original de 3.500 mm de ancho por 3.500 mm de largo, que es una configuración tradicional en este tipo de construcciones en Chile. No se consideran barras de traspaso de carga en las juntas transversales de contracción, que es una configuración habitual en este tipo de pavimento y que permite una transferencia de carga a través de la trabazón de los agregados en la junta [19], [20].
Para cada modelo se ha resuelto el mismo campo de losas definido anteriormente, pero con un ajuste en la longitud de la losa central variando su largo como se muestra en la Fig. 2.
El ancho para todas las losas analizadas se ha mantenido constante en 3.500 mm, subdividiendo solo el largo de la losa central en 2 tramos. Se ha definido un factor de comparación entre las losas que es el cociente entre el largo de losa variable (L1) y el largo de losa original (L). La Tabla I resume las geometrías estudiadas para cada espesor de pavimento.
2.2 Programa de elementos finitos utilizado para la modelación del pavimento rígido
Los modelos de pavimento se realizaron con el software de elementos finitos EverFE 2.26 (http://www.civil.umaine.edu/everfe) desarrollado para el análisis de pavimentos de losas planas de concreto conjuntas y que está ampliamente validado en ingeniería de pavimentos [3], [11], [21].
EverFE 2.26 es una herramienta de análisis de elementos finitos en 3D, desarrollada por el profesor Bill Davids de la Universidad de Maine, para simular la respuesta de los sistemas de pavimento de hormigón articulado sometidos a cargas de eje y efectos ambientales, actualizada para su uso en el sistema operativo Windows 10 [21]. EverFE combina una interfaz gráfica de usuario altamente interactiva para el desarrollo de un proceso de modelado simple, y resultados de visualización intuitivos [3], [18].
entodos los modelos de EverFE las capas de losa, base y subrasante se tratan como un elemento 3D, linealmente elástico, continuo e isotrópico [18]. En la Fig. 3 se muestra la pantalla de ingreso al software.
2.3 Consideraciones para la generación de los modelos con EverFE 2.26
El software EverFE 2.26 trabaja con mallados de distin tos grados de refinamiento y se compone de seis interfa ces que realizan diferentes funciones [8]. Para realizar el análisis de los modelos en EverFE 2.26 se deben seguir los pasos típicos del procedimiento. En primer término, en la sección “Geometry” se deben ingresar los datos de dimensiones de losas, número de capas y espesores [8]. Se pue den especificar hasta 3 capas de base elásticas como es el caso de bases y subbases granulares. Se asume que cada una de las capas base está perfectamente unida a la capa adyacente, y la capa superior de base puede estar com pletamente libre de la losa. Una fundación líquida densa y sin tracción que soporta la tensión se ubica bajo la capa más baja [3], [21].
En la sección “Material” se ingresan las propiedades de los materiales de cada capa como módulo de elasticidad, coeficiente de Poisson, densidad y coeficiente de expansión térmica del concreto. Para el suelo de fundación (Subrasante) se debe ingresar el módulo de reacción y condiciones especiales de conexión en la interface lo sa-base [21].
Luego en la sección “Loading” se ingresan las cargas consideradas en el diseño, especificando tipo de eje, tipo de rodado y su ubicación. También se debe ingresar ancho y largo del área de contacto del neumático-pavimento, la que en este caso es considerada rectangular, el espaciamiento entre ruedas y carga por temperatura [8]. La pre sión se calcula automáticamente en función del área de contacto ingresada y el peso del eje [3].
Se debe continuar con la sección “Dowel” ingresando las propiedades de los pasadores o dovelas y barras de amarre longitudinal como geometría, módulos de elasticidad, adherencia con el concreto y otras propiedades necesarias para la resolución del modelo [21].
En la sección “Interlock” se debe elegir un análisis lineal o no lineal de la trabazón de los agregados y abertura y rigidez de las juntas. Cada pasador se puede ubicar con precisión a través de las juntas transversales en el modelo numérico [3], [21].
Posteriormente, en la sección “Meshing” se debe con figurar el mallado según las condiciones definidas como límite por el software EverFE y según el hardware que se disponga [8].
Posterior a la definición del modelo se puede guardar el archivo en la sección “File” y resolver finalmente el modelo en la sección “Solve”, para luego obtener los resultados en la sección “Visualize” [3], [8]. Sus potentes capacidades de visualización y sus destacadas capacidades de posprocesamiento pueden mostrar las tensiones, los desplazamientos, el corte y el momento en la interfaz gráfica. Se pueden recuperar fácilmente los valores críticos de respuesta en cualquier punto del modelo. Más importante aún, las vistas pueden ser curvas, mapa de nubes o mapa de contorno en cualquier plano x, y o z [3], [21].
El software EverFE dispone de cinco elementos en su biblioteca para generación de Modelos de elementos fi nitos. Entre ellos se encuentran los elementos sólidos de 20 nodos que se utilizan para discretizar la losa y las capas elásticas de base y subbase. También incorpora elementos planos de 8 nodos para la fundación líquida densa debajo de la última capa elástica. Los elementos de interfaz de 16 nodos se implementan tanto para la transferencia de corte de la junta trabada de los agregados como para la transferencia de corte en la interfaz losa-base. Otros elementos que se utilizan son los de flexión integrados de 3 nodos, los que están acoplados con elementos convencionales de viga de corte de 2 nodos para modelar los pasadores en juntas transversales y barras de amarres en juntas longitudinales. La Fig. 4 muestra una malla de elementos finitos de un modelo de cuatro losas y los elementos finitos correspondientes [3], [21].
2.4 Carga estándar, presión de inflado y área de contacto
La configuración estándar de carga del eje utilizado en el presente estudio, es un eje simple de rodado doble con una carga total de 80 kN (es decir, 8, 16 Ton) [22]. Las características del eje considerado se muestran en la Fig. 5.
La presión de inflado de los neumáticos tiene un efecto significativo en las tensiones desarrolladas en el pavimento. De hecho, la presión de los neumáticos del camión aumentó en 1995 a casi 750 kPa desde aproximadamente 555 kPa que se consideraba un valor adecuado en la década de 1960. La razón principal de este incremento es el desarrollo de tecnología en la confección de los neumáticos, lo que ha permitido fabricarlos más resistentes [23]. En este estudio se utiliza una presión de inflado de 600 kPa, es decir aproximadamente 87 lb/in2.
El área de contacto del neumático ha sido modelada como un rectángulo de área 0,5227 L2, lo que se basa en una geometría de ancho 0,6 L y largo 0,8712 L como se muestra en la Fig. 6 [24]. De lo anterior, se puede determinar un área de contacto rectangular de 152 mm x 220 mm.
2.5 Parámetros que componen los modelos
Este estudio ha considerado el análisis de losas de dimensiones de 3.500mm x 3.500mm. Las características de los elementos utilizados se presentan en la Tabla II.
2.6 Modelos de fatiga
En la literatura distintos autores han propuesto modelos de fatiga que permiten determinar el número de repeticiones de carga (Nf) para establecer la vida útil de un pavimento rí gido. Estas propuestas utilizan como variable la razón de es fuerzo (s / MR), donde s es el esfuerzo cíclico aplicado y MR es la máxima resistencia a la flexión estática. Los modelos de fatiga utilizados en este estudio han sido extraídos del libro “PAVEMENT ENGINEERING Principles and Practice” de Mallick y El-korchi [24]. El valor de s es determinado de los distintos modelos de pavimentos resueltos mediante el programa EverFe 2.26 y MR se considera como un valor fijo en 5,0 MPa, que es el valor tradicionalmente utilizado en Chile.
2.6.1 Modelo de fatiga diseño cero-mantención
Este modelo fue desarrollado por Darter y Barenberg (1976, 1977) y es presentado en la ecuación (1):
2.6.2 Modelo de fatiga diseño mecanicista calibrado
Este modelo, ecuación (2), presenta la relación entre el número de repeticiones de esfuerzos de borde, la razón de esfuerzo, y el nivel de probabilidad (P=50%) como es presentado por Salsilli et al. (1993):
2.6.3 Modelo de fatiga ERES-COE
Este modelo fue desarrollado por Darter (1988) usan do los resultados de la prueba del Cuerpo de Ingenieros de EE.UU. Este modelo originalmente fue desarrollado para pavimentos de aeropuertos, pero más tarde fue usado para otras aplicaciones. El modelo se presenta en la ecuación (3):
2.6.4 Modelo de fatiga PCA
El modelo PCA asume que la falla por fatiga no ocurrirá a una razón de esfuerzo bajo 45% incluso para un número infinito de ciclos. La ecuación PCA fue presentada por Packard and Tyabji (1985) como se muestra en la ecuación (4): For-SV $ 0,55 i logNf = 11,737 - 12,077(V)
2.6.5 Modelo de fatiga ARE
Este modelo, ecuación (5), fue desarrollado basado en los datos de la pista de pruebas AASHTO. Las cargas de tránsito fueron convertidas a ESALs de 80 kN (ESAL: equivalent single-axle load en inglés), y la tensión máxima en el centro de la losa, en esta ecuación fue utilizada la teoría elástica de capas:
3. RESULTADOS
3.1 Tensiones máximas inducidas en la losa de concreto
Se han resuelto los modelos de losas de pavimento con las distintas geometrías para cada espesor de pavimento de 150 mm, 160 mm, 180 mm y 200 mm. para 3 tipos de subrasantes. Las tensiones graficadas representan el es fuerzo máximo de tracción generado por la ubicación de la carga en la posición más desfavorable que corresponde al borde de la calzada [8], [11]. En las Fig. 7-18 se puede observar el comportamiento de las tensiones generadas en la losa de concreto en relación con el factor L1/L para cada espesor y para tipo de subrasante.
Las gráficas nos permiten visualizar una variación en las tensiones inducidas en la losa comoresultado del cambio en su geometría. Este cambio tiene una tendencia inicial en aumento para luego decrecer hacia valores inferiores a los generados en la losa original de largo 3.500 mm. En cada figura se muestra la tensión de la losa de 3.500 mm con una línea de color rojo de forma horizontal, lo que permite visualizar las con figuraciones que generan una disminución de las tensiones.
Las tensiones máximas generadas en la losa tienen comportamientos que se ven acentuados con la disminución del espesor. Se puede apreciar que para las losas de mayor espesor (180 mm y 200 mm) el incremento en las tensiones para la configuración más crítica es de menor incidencia. En estos mismos espesores, las configuraciones de losas con un factor L1/L menor a 0,45-0,50, generan tensiones menores a las tensiones inducidas en la losa original de 3.500 mm x 3.500 mm. Los incrementos y comparaciones de las tensiones se entregan en la Tabla III, donde se muestra el valor de las tensiones máximas del modelo original, del modelo con L1/L igual a 0,50 y la máxima tensión inducida en las losas de longitud variable.
Tabla III COMPARACIÓN ENTRE VALORES MÁXIMOS DE TENSIONES INDUCIDAS POR EL CAMBIO DE GEOMETRÍA

Fuente: El autor.
En las Figs. 19, 20 y 21 se puede apreciar la variación en las tensiones máximas inducidas para las losas de distintos espesores. La tendencia es una disminución de las tensiones máximas para el aumento de los espesores de losa estudia dos, lo que se repite para tipo de subrasante analizada.
3.2 Número de repeticiones de carga
En la Fig. 22 se han graficado distintas expresiones para el modelo de fatiga o funciones de deterioro disponibles en la literatura para pavimentos rígidos, las que permiten determinar el número de repeticiones de carga en función de la razón de esfuerzos (s / MR). Se ha elaborado la Fig. 22 con un rango de razón de esfuerzo que va desde 0,45 a 1,00.
En la figura se puede observar que el modelo de fati ga cero-mantención (C-M) muestra un gran incremento del número de repeticiones para razones de esfuerzo menores a 0,65, tendencia que se repite para el modelo de fatiga PCA que para valores de razón de esfuerzo menores a 0,55, el número de repeticiones de carga crece rápidamente hasta valores ilimitados para una razón de esfuerzo menor a 0,45. Un poco más cercana a los demás modelos de fatiga es el de Vesic, que se ubica en el umbral superior del resto de los modelos, mostrando un in cremento importante al determinar el número de repeticiones. Por el contrario, los modelos de fatiga ERES-COE y mecanicista calibrado (M-C) se ubican en el umbral inferior, reportando los menores valores de repeticiones de carga para todos los modelos en valores de la razón de esfuerzo mayor a 0,65. Los modelos de fatiga ARES y RISC se ubican en un rango intermedio de repeticiones de car ga para todo valor de la razón de esfuerzo mostrando un comportamiento similar y más conservador.
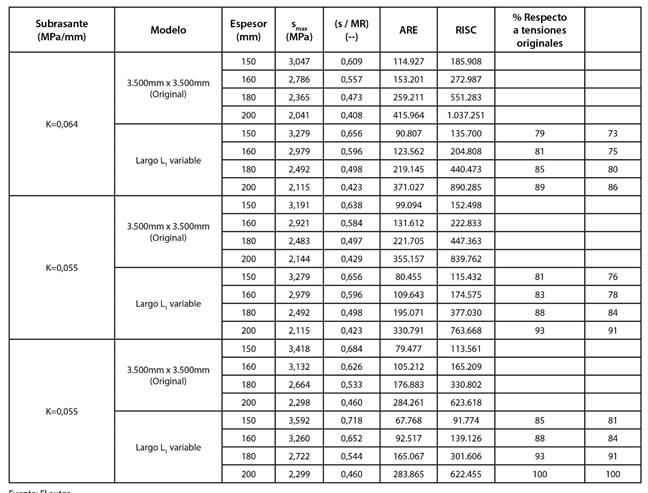
Para este estudio se analizarán los resultados de repeticiones de carga en la vida útil del pavimento de los modelos de fatiga ARES y RISC, resultados que se muestran en la Tabla IV para las tensiones máximas de la losa determinadas en este estudio y para las tensiones generadas en la losa de dimensiones originales 3.500mm x 3.500mm.
En la Tabla IV se puede visualizar una reducción mayor en el número de repeticiones de carga para espesores menores de la losa de concreto, reportando valores porcentua les respecto a las tensiones del modelo original (3.500mm x 3.500mm) de 79% para el modelo de fatiga ARE y de 73% para el modelo RISC en el caso de subrasante K=0,064 MPa/mm. Esto representa una reducción en las repeticiones del orden de 21 a 27% para las losas de espesor de 150 mm y para las losas de espesor de 200 mm, se ha determinado una reducción entre 11 y 14%. Aunque la variación de repeticiones de carga para espesores mayores disminuye, el valor de dicha disminución sigue siendo considerable e influyente en la vida útil de la reparación parcial de losas. Para los distintos valores de subrasante analizados la tendencia es similar al caso comentado, pero se observa que disminuye la magnitud de dicha variación para subrasantes de menor calidad.
El autor ha analizado las demás expresiones para los modelos de fatiga, reportando valores de mayor variabilidad que lo descrito anteriormente, debido a la sensibilidad de los demás modelos a la razón de esfuerzo.
4. CONCLUSIONES
El método de elementos finitos ha resultado adecuado para estudiar la sensibilidad de los cambios en la geometría debido a un reemplazo parcial de la losa de concreto, y con ello determinar el incremento en las tensiones máximas de las losas de pavimento y su impacto en el número de repeticiones de carga de la estructura de pavimento. Esta reposición parcial de losas en pavimento genera un cambio en las tensiones máximas inducidas en la losa, variación que se incrementa al disminuir el espesor. Para el caso de losas de mayor espesor como 180 mm y 200 mm, la variación es de menor incidencia y estas muestran un comportamiento que recomienda la generación de reposición de losas pri vilegiando una configuración regular y simétrica L1/L igual a 0,50. A diferencia de los pavimentos de mayor espesor, donde se incrementa la tensión máxima en configuraciones cercanas o superiores a L1/L de 0,600, el análisis reporta un incremento máximodel orden de 6,93% para un espesor de 160 mm y 7,61% para un espesor 150 mm. La tendencia indica que para espesores menores a 150 mm las tensiones seguirán aumentando peligrosamente y la reposición de geometrías inadecuadas podría afectar notoriamente la vida útil del pavimento, por ello se deben evitar las reposiciones con factor L1/L superiores a 0,600. La determinación del número de repeticiones de carga debida a los aumentos reportados en las losas con geometría variable, han sidoresueltas mediante los modelos de fatiga ARE y RISC. Estos modelos permiten demostrar que los incrementos en las tensiones generadas por el cambio de geometría resultan incidentes, incluso en el caso de mayores espesores, reportando una disminución en el número total de repeticiones de carga entre un 19 y 27% para losas de 150mm de espe sor y hasta 14% en losas de 200mm para los casos más des favorables, lo que se refleja en una reducción de su vida útil.













































