Simbología:
1. INTRODUCCIÓN
En la actualidad, los sistemas eléctricos constituyen una parte fundamental en todas las actividades que el ser hu mano desarrolla en su diario vivir, convirtiendo a la energía eléctrica en un recurso imprescindible en la sociedad. En base a datos obtenidos en el Sistema de Información Energética de Latinoamérica y El Caribe (sieLAC), el consumo mundial de energía eléctrica en el año 2000 alcanzó alrededor de los 15.501.299 GWh, en el año 2010 el mismo estuvo cerca de los 21.536.996 GWh, mientras que para el 2018 en el mundo se registró un consumo de 26.617.442 GWh [1]. Estos datos históricos, dan una prueba real de que la demanda de elec tricidad a nivel mundial ha ido en aumento y se prevé que esa tendencia continúe. Según un estudio de la Agencia Internacional de Energía (IEA), el crecimiento poblacional y el desarrollo económico de algunos países darán como resul tado que para el año 2040 la demanda energética mundial se vea incrementada en un 25% [1].
La necesidad de más recursos energéticos va directa mente relacionada al crecimiento de la población mundial, implicando que cada año exista un aumento en las cargas conectadas a los sistemas eléctricos. Estos incrementos en la demanda provocan que en muchas ocasiones los sistemas encargados de abastecer las necesidades eléctricas se vean obligados a trabajar muy cerca de los límites establecidos como normales para su operación. Para satisfacer estos cons
tantes incrementos, los sistemas tienen que expandirse, para de esta manera acoplarse a las nuevas necesidades que se van presentado. Sin embargo, esta expansión y la exposición a trabajar muy cerca de sus límites provocan que los sistemas se vuelvan mucho más complejos, de tal manera que la difi cultad para mantener la estabilidad en ellos también se vea afectada, pudiendo con esto desembocar en perturbaciones que pueden ser sobrellevadas sin mayores contratiempos o en casos mucho más graves en el colapso total del sistema [2].
A medida que los sistemas necesitan expandirse comien zan a presentar nuevos retos que deben ser solucionados a fin de mantener niveles de operación adecuados. Mediante la implementación de nuevas tecnologías se busca mitigar problemáticas que se van presentando. Sin embargo, con la expansión y la implementación de elementos nuevos en el sistema, se comienzan a presentar distintas formas de ines tabilidad. Por ello los estudios realizados en esta área son de vital importancia en los diseños de los sistemas eléctricos en la actualidad. Para realizar una clasificación de la estabilidad, muchos autores han tomado como base la naturaleza física de la perturbación, el efecto consecuente y la dinámica de este, lo que ha llevado a dividir a la estabilidad en tres gru pos: estabilidad de frecuencia, ángulo y voltaje. Además, considerando la magnitud de la perturbación y el periodo de tiempo en el que se evalúan, se puede hablar de estabilidad de pequeña y gran señal, así como de corto y largo plazo [3].
En el caso del voltaje, la inestabilidad en este parámetro podría provocar niveles de tensión de los cuales el sistema no se podría recuperar, lo que resultaría en un apagado com pleto o blackout, sucesos que ya han sido evidenciados en distintos sistemas eléctricos que se han visto afectados por este problema a nivel mundial, los cuales han sido estudiados con el fin de obtener información necesaria para corregir los errores y encontrar soluciones a futuros fallos, como ejemplo la implementación del control de voltaje jerárquico que se dio como respuesta al apagón suscitado en Francia en el año de 1987 [4]. Por lo tanto, la estabilidad de voltaje se ha convertido en uno de los parámetros más importantes, per mitiendo con su estudio y análisis garantizar una operación óptima, reduciendo las pérdidas de los sistemas eléctricos y evitando fallas que tendrían como consecuencia pérdidas económicas e incluso en algunos casos, afectaciones a la integridad física de los operadores [5].
2. ESTABILIDAD DE VOLTAJE
El estudio de la estabilidad de voltaje en los sistemas eléctricos ha tenido relevancia desde hace algunas décadas, sin embargo, mientras que en el pasado pequeñas perturba ciones no tenían mayor importancia, hoy en día las mismas son consideradas de mucha relevancia en los sistemas ac tuales, debido a la complejidad que han ido adquiriendo los sistemas eléctricos a fin de satisfacer las crecientes y continuas demandas. La inestabilidad de este parámetro ha sido un factor principal en muchos de los blackouts que han sido registrados a nivel mundial, por lo cual, los estudios realizados en este tema se han vuelto cada vez más relevantes y espe cíficos, adquiriendo gran importancia para evitar colapsos parciales y totales en los sistemas, buscando con esto poder garantizar la confiabilidad en su operación [6]. La operación estable del sistema de potencia se evidencia en un sistema en el cual los valores de voltaje posteriores a una perturbación vuelven a ser cercanos a los valores normales de operación, permitiendo de esta manera que los sistemas puedan man tenerse en los límites establecidos y por ende se recuperen, evitando caer en un colapso. De forma antagónica, después de una perturbación la inestabilidad da como resultado va lores que sobrepasan los límites operacionales, impidiendo que el sistema continúe con su normal funcionamiento [7].
El análisis de estabilidad de voltaje en un sistema eléctrico, por lo general se basa en la entrega y consumo de potencia reactiva por parte de los generadores ubicados en la red, mis mos que no abastecen las necesidades de potencia requeridas ocasionando problemas de inestabilidad. A medida que el aumenta el consumo de energía, el voltaje en las barras irá disminuyendo hasta que este alcance un valor crítico, del cual el sistema no se podría recuperar provocando inestabilidad en la red, esta falta de estabilidad ocurre cuando los voltajes son mucho menores a 1.0 p.u. Sin embargo, no es posible establecer valores generales para todos los sistemas, ya que se deben analizar de manera individual en base a su funcio namiento, fuentes de alimentación, configuraciones de la red, entre otros elementos que deben ser tomados en cuenta [4].
2.1 Clasificación de la estabilidad de voltaje
Según la naturaleza y la magnitud de la perturbación, la estabilidad de voltaje se puede clasificar en estabilidad de voltaje de gran o pequeña perturbación. Además, en base a la magnitud de la misma se tiende a hablar de corto y largo plazo [8].
2.1.1 Estabilidad de voltaje de gran perturbación
Se refiere a la capacidad del SEP, para mantener la estabi lidad de voltaje después de que este haya sido afectado por grandes perturbaciones, las mismas que pueden ser fallas del sistema eléctrico, pérdidas en el área de generación o con tingencias de circuito. Las características propias del sistema eléctrico son las que determinan la capacidad para mantener la estabilidad [6]. La duración de esta anomalía puede ir hasta los diez segundos, espacio de tiempo que es similar al tiempo de gran perturbación de la estabilidad del rotor. Para su estudio se utiliza un análisis no lineal del SEP durante un periodo de tiempo en el cual se pueda especificar el funcionamiento de todos los dispositivos del sistema [9].
2.1.2 Estabilidad de voltaje de pequeña perturbación
Es la capacidad del sistema eléctrico de mantener la estabilidad de voltaje, cuando este se ha visto expuesto a pequeñas perturbaciones, como son los incrementos de la carga en el sistema. Su estudio se vuelve importante para determinar cómo el voltaje se comporta ante cam bios pequeños de carga. Su análisis puede ser tratado mediante ecuaciones lineales, simplificando su estudio despreciando los efectos no lineales que se presenten en el sistema [6].
2.1.3 Estabilidad de voltaje de corto plazo
La estabilidad de voltaje a corto plazo implica el análisis de elementos como, motores de inducción, cargas contro ladas electrónicamente y conversores HVDC. También se asocia con el diseño y ajuste de los reguladores automáti cos de voltaje (AVR) o los compensadores de VAR's estático (SVC) [10]. Se desarrolla en un tiempo que abarca algunos segundos y para su análisis se requiere el uso de ecuaciones diferenciales y el uso de modelos de carga dinámicos [6]. Es una estabilidad de forma transitoria al igual que la estabilidad de ángulo, que se diferencia entre sí en la importancia que tienen las cargas de potencia. La dificultad que se presenta en su estudio radica en que el modelo de los sistemas de potencia se centra de manera particular en el lado de gene ración de la red, sin embargo, las características de las cargas no se pueden detallar con precisión [11].
2.1.4 Estabilidad de voltaje de largo plazo
La estabilidad de voltaje a largo plazo está asociada con equipos de acción más lenta, como trasformadores con cambio de tap o cargas controladas. En este caso, el periodo de estudio se extiende a un tiempo de algunos minutos, con el fin de poder evaluar la respuesta que daría el siste ma ante un crecimiento sostenido de la demanda, por lo cual se requiere simulaciones a largo plazo y herramientas que permiten el análisis en estado estable además de la linealización de las ecuaciones del sistema. Para su estudio se utilizan principalmente análisis de flujos de potencia, curvas PV y curvas QV [6].
2.2 Métodos de estudio de la estabilidad de voltaje
Los estudios clásicos de estabilidad de voltaje están basa dos en técnicas que permiten la detección de los estados de operación de las barras que constituyen el sistema, así como la predicción que permita encontrar los voltajes de operación para que el funcionamiento sea seguro de las barras. Se puede clasificar estos en dos grandes grupos. Métodos analíticos que realizan un análisis detallado de variables y parámetros entre otros elementos, a fin de hallar soluciones de diseño que permitan a los sistemas trabajar alejados de los puntos críticos. Métodos de monitoreo que están basados en la toma de datos, para con estos hallar estados de operación, límites de estabilidad, márgenes de estabilidad y puntos a reforzar en el sistema eléctrico [12]. En la Fig. 1 se puede observar la clasificación de los métodos de estudio que se pueden utilizar para analizar la estabilidad de voltaje.
Los métodos estáticos son de amplia aplicación y se ca racterizan por desacoplar la variable tiempo del análisis para determinar zonas del sistema eléctrico donde pueden existir potenciales problemas de estabilidad de voltaje. Dentro de estos métodos se destacan el análisis de sensibilidad ΔQ, en el cual se trabaja sobre la matriz Jacobiano del sistema de potencia con la relación entre el voltaje y la potencia reactiva inyectada en una barra, para determinar de forma matricial los cambios de voltaje (ΔV) ante variaciones de potencia reactiva (ΔQ) como se indica en la ecuación (1). Los términos de la ecuación (2) hacen referencia a las derivadas parciales de la matriz Jacobiano en el punto de solución del flujo de potencia [13].
En el método de análisis modal se computan los autovalores (Kh y autovectores derecho e izquierdo (fy hh de la ecuación (3) a partir de la relación de la ecuación (2) y (4) para determinar las variaciones de voltaje en una barra ante cambios de inyección de potencia reactiva [13].
Las curvas VQ permiten obtener la cantidad de potencia reactiva déficit en una determinada barra, y que es necesaria para operar en un voltaje cercano al nominal. Este método es gráfico y puede realizarse mediante añadir un compensador sincrónico ficticio en la barra de estudio y por medio de flujos de potencia construir la curva en mención, encontrando la cantidad de potencia reactiva necesaria para conseguir un voltaje operativo cercano a 1.0 p.u. [14].
3. CURVA PV
Las curvas PV establecen la relación que existe en los sistemas eléctricos entre la potencia activa y el voltaje, en la Fig. 2 se puede observar un ejemplo. Estas son de mucha utilidad, en base a la información que estas curvas presentan, se puede dimensionar la carga necesaria que debe desco nectarse del sistema, antes que este llegue a una falla. Estas curvas son desarrolladas a partir de flujos de potencia, donde se parte de un estado inicial al cual se le realizan incremen tos sucesivos en la carga hasta que el flujo de carga ya no converja [15]. La curva PV, la cual es representada en la Fig. 2, se genera a partir de flujos de potencia sucesivos, en los cuales se incrementa la potencia activa de la demanda de la barra a analizar. Estos incrementos se realizan hasta cuando el flujo de potencia no converge. En este punto, la curva cambiará su forma y se encontrará el valor crítico, el mismo que será el último punto antes que se alcance el límite de la estabilidad de voltaje. Esta curva se construye en base a los n-ésimos valores de la carga activa y la magnitud de voltaje respectiva que han sido calculados en cada iteración hasta que el flujo ya no encuentre solución [16].
Mediante la información obtenida de esta curva se puede evaluar la estabilidad, siendo un método práctico para deter minar la proximidad del punto crítico de colapso de voltaje. Se puede utilizar para determinar el margen de potencia activa necesario para reducir el riesgo de que el sistema entre de forma accidental en la región inestable, donde el voltaje puede ser afectado por pequeñas perturbaciones [17]. Si el sistema está operando en la parte superior de la mitad de la curva (punto P0), entonces el margen P-V es la cantidad de carga que se necesita aumentar para que el sistema al cance el límite de tensión desde ese punto de operación. La ecuación (5) describe este margen y en caso de presentarse alguna contingencia la curva P-V se verá afectada y por ende el margen PV también [16].
4. MODELOS DE CARGA
Un modelo de carga se puede definir como una interpre tación analítica y matemática, basada en circuitos equiva lentes que representan los elementos físicos, estos modelos son utilizados para el análisis, predicción o estimación de las características que tendrá la carga en el SEP [6].
La modelación de los elementos que conforman la red eléctrica, son de suma importancia en la actualidad y de ben ser cada vez más consecuentes con la realidad a la que representan, en el caso de los modelos de generadores, transformadores y líneas de transmisión se encuentran re presentados en sus diferentes modelos de una forma muy cercana a la realidad. En el caso de la modelación de las cargas se presentan factores tales como la variación que sufren en el tiempo, la distribución de las mismas o la aleatoriedad en la que se pueden presentar, dando como resultado que su representación sea más compleja [18].
Los modelos de carga conforman una parte fundamental en todo el estudio de los sistemas eléctricos de potencia. Muchos de los modelos fueron propuestos y desarrollados hace algunas décadas atrás, razón por la cual en muchos casos todavía no se encuentran completamente adecuados a las condiciones actuales de los sistemas, por lo cual se hallan en un continuo desarrollo. De esta manera se busca mejorar modelos ya existentes y así encontrar nuevas alternativas que se vayan acoplando a las necesidades actuales buscando solucionar problemáticas de actualidad [3].
4.1 Modelos de carga estáticos
Los modelos de carga estáticos son independientes del tiempo, y describen la relación entre potencia activa y re activa consumida por una carga en función del voltaje y la frecuencia. Los modelos de carga estáticos son de utilidad para describir cargas que reflejan cambios casi instantá neos y de invariante duración en el tiempo en la demanda, después de alguna perturbación del voltaje o la frecuencia en el sistema. Por lo general se utilizan estos modelos para representar elementos resistivos, iluminación, cargas resi denciales y cargas similares [19]. Su representación general se describe en (6) y (7):
La dependencia con la frecuencia no tiene un efecto significativo comparado con la variación de potencia ante cambios de voltaje, además, en análisis estáticos la frecuencia del sistema es constante, por esto es posible establecer al voltaje como única variable en el consumo de potencia [20].
4.1.1 Modelo ZIP
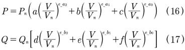
Este modelo es comúnmente utilizado en los estudios de estado estable y dinámico, en el cual se relaciona la magni tud de voltaje y la potencia en un modelo polinomial que combina impedancia, corriente y potencia constante como se muestra en (8) y (9) [6]. Además, las ecuaciones (10) y (11) muestran que la ponderación de estos tipos de cargas debe sumar el 100%.
4.1.2 Modelo Exponencial
En este modelo se relaciona la potencia y el voltaje me diante el uso de ecuaciones exponenciales, ecuaciones (12) y (13). Se usa habitualmente para representar cargas mixtas y de gran variación ante eventos de voltaje [21].
Se puede fijar los valores de 0, 1 o 2 a las variables a y £, de esta manera se puede considerar al modelo como de potencia, corriente o impedancia constante respectivamente [19].
4.1.3 Modelo Lineal
Modelo utilizado cuando el voltaje varía en un margen muy cercano al valor nominal, en caso de variaciones mayores de voltaje podría arrojar imprecisiones en los cálculos [19]. Las ecuaciones (14) y (15) describen este modelo.
5. MÉTODO DE LA CONTINUACIÓN APLICADO A FLUJOS DE POTENCIA
El método de la continuación aplicado a flujos de poten cia (CPF), se basa en la aplicación del método Newton-Rapshon donde se predice secuencialmente una solución y se corrige la misma, logrando de esta manera obtener la cur va PV [22]. La singularidad del Jacobiano es un problema evidente al analizar flujos de potencia, esta característica puede evitarse reformulando ligeramente las ecuaciones de flujo de potencia y aplicando una técnica de continuación parametrizada localmente. De esta manera no se presentan divergencias o errores ocasionados por la singularidad del jacobiano, dando como resultado que se pueda obtener soluciones de flujos de potencia muy cercanos a los puntos críticos. Este método utiliza un esquema predictor-corrector para de esta manera lograr encontrar una solución de un conjunto de ecuaciones que han sido reformuladas para incluir un parámetro de carga [23].
El método parte de una solución conocida para des pués utilizar un paso predictor, con el cual se logra estimar una solución posterior del flujo de potencia, para esto hace uso del método del vector tangente o el método de la secante. Posterior a esto, mediante el uso de técnicas la de intersección perpendicular o técnicas parametrización la estimación obtenida en el paso predictor es corregida en un paso de corrección. Finalmente se procede a una parametrización a fin de evitar singularidades en los pasos de corrección y predicción, siendo los métodos más comunes para parametrizar la parametrización local y la longitud de arco. En la Fig. 3 está representada de forma gráfica el esquema predictor corrector usado en el método CPF [10].
Como se ha mencionado las curvas PV se convierten en una herramienta de mucha utilidad al momento de realizar estudios de estabilidad de voltaje, así como encontrar los puntos de máxima cargabilidad. El método CPF se convierte en una técnica que permite calcular estas curvas a partir de un sistema de ecuaciones no lineales (18) que representan las ecuaciones del flujo de potencia, son parametrizadas con un parámetro de cargabilidad , para obtener (19). A medida que cambia el parámetro de bifurcación m, donde X incluye normalmente el voltaje fasorial en estado estable, magnitudes y los ángulos en los buses de carga [10].
En un punto de solución dado (X0, λ0), el vector tan gente se logra determinar a partir del diferencial de (19) en ese punto de solución, como lo describe la ecuación (20). Adicional, se necesita la ecuación (21) para resolver el vec tor tangente. Sin embargo, se debe cumplir que el vector tangente sea diferente de cero mediante la ecuación (22), donde ek(k) = 1. Por lo cual, el vector tangente se obtiene resolviendo el sistema de ecuaciones (23) [24].
Se procede a elegir un paso v , las variables del sistema para la siguiente solución son obtenidas de la ecuación (24). De forma gráfica, los pasos predictores y correctores se in dican en la Fig. 4.

Fuente: Los autores
Fig. 4 a) PASO PREDICTOR OBTENIDO MEDIANTE VECTOR TANGENTE, b) PASO CORRECTOR OBTENIDO MEDIANTE INTERSECCIÓN PERPENDICULAR [25]
La determinación de la siguiente solución se obtiene de una parametrización local y un corrector Newton-Rapshon. Esta solución se determina resolviendo (25) y (26), donde x k es una variable local de parametrización [24]. En la Fig. 5 se presenta el diagrama de flujo del método CPF.
6. INTEGRACIÓN DE MODELOS DE CARGA EN EL MÉTODO CPF
En este proceso se busca incorporar las diferentes ex presiones que describen los diferentes modelos estáticos de cargas, en el método Newton-Rapshon. La solución de flujos de potencia a través del método Newton-Rapshon ha sido utilizado de manera exitosa y por mucho tiempo en el sector eléctrico, prácticamente hasta convertirse en una técnica estándar para resolver el sistema no lineal de ecuaciones de potencia del sistema eléctrico.
Este método se basa en la expansión en series de Taylor alrededor del punto de solución de las ecuaciones de poten cia inyectada en cada barra del sistema, las que son indicadas en las ecuaciones (27) y (28).
La aplicación de este método numérico iterativo resulta en la solución de la ecuación matricial (29) para cada iteración k. La ecuación (30) representa el proceso de actualización de los valores de los voltajes de las barras del sistema eléctrico.
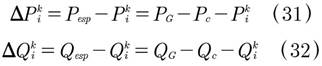
El vector de errores se puede calcular con las ecuaciones (31) y (32), donde la potencia especificada es la diferencia entre la potencia de generación y carga en cada barra.
Para la integración de modelos de carga se recurre a la metodología conocida como reformulación de potencias especificadas. Así la potencia demandada en una barra es reemplazada por el modelo estático de interés [20], resul tando en las ecuaciones (33) y (34) que ingresan al proceso iterativo propio del método Newton-Raphson.
Para ilustrar esta modificación, a manera de ejemplo se toma un modelo de carga ZIP para reescribir las ecuaciones (35) y (36) para una iteración cualesquiera.
7. CASOS DE ESTUDIO
El modelo propuesto de integrar modelos de carga el mé todo de continuación de flujos de potencia se implementa en el software Matlab por medio de un script. El modelo es de aplicación general y puede ser probado sobre cualquier sistema eléctrico de potencia. La red de prueba seleccionada es el sistema IEEE de 9 barras que funciona como banco de pruebas en estudios y desarrollos en sistemas eléctricos de potencia. Como se puede apreciar en la Fig. 6, en el sistema IEEE de 9 barras existen tres cargas conectadas a las barras 5, 6 y 8. En la Tabla I, se indican cuatro casos para distintos valores de asociados al modelo de carga polinomial, el cual puede ser particularizado para formar el modelo ZIP, lineal o exponencial. Los valores de los parámetros de modelos de carga pueden ser encontrados en trabajos como [27], donde se hace una revisión de los principales modelos de carga, así como se citan artículos que contienen parámetros y atributos de este tipo de represen tación matemática.
7.1 Caso 1
Para el caso 1 se utiliza un modelo de carga exponencial en la barra 5, mientras que para las barras 6 y 8 se asigna un modelo polinomial, como se describe en la tabla I. Los puntos y valores de colapso se visualizan en la Fig. 7.
7.2 Caso 2
En el caso 2 para la simulación de los puntos de colapso en el sistema se incluyen en las barras 5, 6 y 8 un modelo polinomial, exponencial y lineal respectivamente. En la Fig. 8 se pueden observar las gráficas obtenidas.
7.3 Caso 3
Para la simulación del caso 3 se opta por realizar una si mulación utilizando un modelo de impedancia, corriente y potencia constante para las barras 5, 6 y 7 respectivamente. De donde se obtuvieron las gráficas expuestas en la figura 9.
7.4 Caso 4
En este caso se utiliza un modelo lineal, aplicado a las tres barras con cargas que dispone el sistema IEEE de 9 barras, con lo cual en la Fig. 10 se pueden visualizar las gráficas obtenidas.
Los valores obtenidos mediante la simulación del sistema IEEE de 9 barras utilizando el método de la continuación inte grando a este método los modelos de carga, dan como resultado valores que en la mayoría de los casos presentados no distan de aquellos valores de los puntos de colapso obtenidos mediante la simulación del método CPF sin los modelos de carga, tal como se puede apreciar en la Tabla II, llegando incluso en algunos casos a ser el mismo valor.
Esto se ve reflejado en la naturaleza del comportamiento del voltaje en las cargas donde su disminución de acuerdo con modelo no influye de manera profunda en la potencia acti va o reactiva. A pesar de no existir gran diferencia, un análisis completo de curvas PV debe incluir modelos de carga, hacien do que el sistema de potencia tenga una mayor cercanía a su comportamiento real.
8. CONCLUSIONES
La estabilidad de voltaje puede ser estudiada y analizada por diferentes métodos, siendo la elección de este factor decisivo en los resultados que se obtendrán de este estudio. Se deben considerar las variables que presenta el sistema a analizar para elegir el método que se acople a las necesidades de este y resolver la problemática planteada.
Los métodos de análisis estáticos para la estabilidad de voltaje simplifican y ayudan a una interpretación más rápida del estudio, aunque los sistemas de potencia son de naturale za dinámica, el uso de métodos estáticos provee información del sistema necesaria para analizar la estabilidad, como son los límites de operación óptimos y puntos críticos del SEP.
Los modelos de carga estáticos desde el punto de vista de un estudio de estabilidad a largo plazo evaluada por medio de métodos estacionarios no repercuten en la obtención del punto de colapso de voltaje, evidenciándose que el efecto que tiene el voltaje en el consumo de potencia por parte de las cargas va siendo menor conforme el voltaje se reduce.
Uno de los objetivos de las simulaciones en ingeniería es replicar lo que sucede en la realidad, así para tomar decisiones conforme las posibles situaciones, esto se hace más robusto si se emplean los modelos matemáticos más exactos que puedan reproducir computacionalmente un comportamiento real, siendo así en este documento se utilizan representacio nes completas de las cargas en un estudio de estabilidad de voltaje, encontrándose resultados que si bien no difieren por mucho de resultados sin modelos de carga, constituyen un resultado más cercano en la práctica.




































