1. INTRODUCCIÓN
Uno de los temas de mayor relevancia de la planificación y operación del sistema eléctrico de potencia (SEP) es la solu ción eficaz del problema de despacho económico (DE). Con el aumento progresivo de la demanda de energía, la escasez de recursos energéticos y el presuroso ascenso en los precios del combustible, asegurar un funcionamiento económico óptimo de las unidades generadoras de energía térmica se ha convertido en una necesidad [1]
La producción de energía eléctrica medida en megavatios de una unidad de generación térmica está relacionada con el costo del combustible de entrada medido en dólares por hora en forma cuadrática. Desde una perspectiva ideal, las características de entrada-salida de una unidad caldera-turbi na-generador se caracterizan por una curva suave y convexa. Sin embargo, la inclusión de pérdidas de transmisión de la red, zonas de operación prohibida (ZOP), carga de punto de válvula (CPV), múltiples máquinas de combustible (MMC), entre otros, ocasiona que el problema de DE convexo sea no convexo y no lineal, así, la curva no convexa de una unidad generadora puede comprender múltiples puntos locales [2].
En [3], se expone que las unidades de generación térmicas producen contaminantes ambientales y emisiones atmosfé ricas como, dióxido de azufre (SO2), óxido de nitrógeno (NOx) y dióxido de carbono (CO2), que dañan la salud de los seres humanos, la fauna y la flora. Por ello, las empresas eléctricas se han visto presionadas para reducir las emisiones de las centrales térmicas, aunque diferentes soluciones como el uso de combustibles con bajas emisiones de carbono, la sustitución de quemadores de combustible anticuados y el uso de equipos de limpieza poscombustión logran algunos niveles de reducción de emisiones, se sabe que el despacho teniendo en cuenta las emisiones es la mejor opción [4]. El despacho económico ambiental (DEA) se consideró como el mejor enfoque para proporcionar la programación óptima de las unidades generadoras para satisfacer la demanda del sis tema, siempre que se minimicen las pérdidas de transmisión, el costo de producción y las emisiones y se cumplan todas las demás restricciones [1]. Con este fin, los investigadores han propuesto una serie de metodologías que pueden cla sificarse en dos grandes grupos: técnicas de programación matemática y métodos de optimización metaheurísticos.
Dentro de las técnicas de programación matemática se tiene métodos numéricos deterministas como el método de los multiplicadores de Lagrange [5], método de iteración Lambda [6], el método del punto de base y factores de par ticipación [6], el método del punto interior [7], el método de gradiente [8], el método de Newton Raphson [9], la progra mación lineal [10], la programación no lineal [11], algoritmo de programación cuadrática [12], el método de programación dinámica [13], la técnica de descomposición [14], el enfoque de espacios de decisión ventajosos [15], la aproximación de serie de Maclaurin [16], entre otros, estas técnicas de pro gramación no se pueden aplicar para un problema de DE complicado y no lineal, debido a que a menudo atrapan un mínimo local, además, estas técnicas no se adaptan eficaz mente a los problemas de DE que involucran funciones de costo de combustible no lineales o no convexas.
Dentro de los métodos de optimización metaheurísticos se incluyen: la optimización del enjambre de partículas (PSO) [17], algoritmo genético [18], evolución diferencial [19], pro gramación evolutiva [20], optimización basada en biogeografía [21], recocido simulado [22], optimización de colonias de hormigas [23], algoritmos de abejas [24], optimización de la búsqueda de bacterias [25], algoritmo de luciérnaga [26], algoritmo de búsqueda de cuco [27], algoritmo de murciélago [28], optimización de lobo gris [29], algoritmo de salto de rana [30], algoritmo de polinización de flores [31], optimiza ción basada en la enseñanza-aprendizaje [32], algoritmo de búsqueda de tabú [33], algoritmo de búsqueda de armonía [34], algoritmo de competencia imperialista [35], etc. Estas técnicas metaheurísticas tienen el potencial para asegurar una solución global o casi global mientras se manejan curvas de costos discontinuas y no diferenciables.
Para ayudar a los investigadores a desarrollar técnicas para abordar todos los problemas pendientes, este artículo presenta un estudio de las soluciones propuestas al problema de DEA. La estructura de este artículo se presenta en cuatro secciones principales. En la sección 2, se detalla el proble ma de despacho económico. En la sección 3, se precisa el problema de despacho económico ambiental. La sección 4, consta de la metodología que se utiliza para determinar los artículos de mayor relevancia. La sección 5, muestra la revisión literaria de los artículos más relevantes que buscan dar solución al problema de DEA. La sección 6 concluye el presente artículo.
2. DESPACHO ECONÓMICO (DE)
En [1], se menciona que el problema del DE es principal mente un problema de optimización restringido donde el costo total de combustible de todas las unidades térmicas en línea de una planta de energía debe aminorarse mientras se determina el nivel de producción de energía en cada una de las unidades generadoras durante un período específico. Las restricciones están en forma de igualdades y desigual dades que deben cumplirse al resolver el problema de DE. El problema del despacho restringido se puede apreciar de diferentes formas, se detalla estas en la subsección siguiente.
2.1 Problema de DE
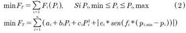
En [36] se describe la función objetivo de este problema estándar ignorando los efectos CPV.
Donde FT y Fi(Pi) denotan el costo total del com bustible y el costo de la i -ésima unidad generadora en $/h respectivamente. Pi representa la i-ésima potencia de salida de la unidad generadora en MW, n denota el número total de unidades generadoras; ai,bi y ci son los coeficientes de costo de la -ésima unidad generadora. De (1) se puede determinar que el costo de combustible de cada una de las unidades generadoras es directamente proporcional con la potencia de salida entregada por esta al SEP y tradicional mente está modelado por una función cuadrática.
2.2 Problema de DE con efecto de CPV
En generadores de turbina de vapor de tamaño conside rable, debido a la apertura secuencial de varias válvulas de admisión de vapor para satisfacer la demanda progresiva, las características de entrada-salida de una unidad generadora se torna no convexa. Esto resulta en curvas de costos no lineales, no convexas y no suaves. Para incluir los efectos CPV, se incorpora una no linealidad de orden superior en la función de costo cuadrático. Por lo tanto, la función objetivo a minimizar toma siguiente forma.
Donde ei y fi denotan los coeficientes de costo de la i-ésima unidad generadora que reflejan los efectos CPV. La consideración de las ondulaciones en la curva de tasa de calor de las calderas en forma de término sinusoidal rectifi cado recurrente en la curva cuadrática de costo introduce mínimos múltiples, lo que ocasiona que el problema de DE no sea convexo ni lineal. Mientras se minimiza FT , se debe considerar las limitaciones y restricciones operativas para garantizar una solución óptima. El detalle de las restricciones de igualdad y desigualdad se mencionan a continuación.
2.2.1 Ecuación de balance de potencia activa
Esta representa una de las limitaciones básicas para el problema de DE. La potencia total generada de todas las unidades térmicas debe ser la suma de la demanda total del sistema y de las pérdidas del sistema de transmisión. La restricción de igualdad en forma de ecuación se muestra a continuación.
Donde PLoad y PLoss representan la demanda total del sistema y pérdidas de transmisión respectivamente. Con la finalidad de introducir estas pérdidas, generalmente se utiliza una pérdida de matriz B . Se emplea la fórmula de Kron [36] que se aprecia a continuación.
Donde Bij , Bi0 y B00 significan los coeficientes de pérdidas o el B coeficientes. Bi0 representa el ij-ésimo elemento de la matriz cuadrada del coeficiente de pérdida, B10 el i -ésimo elemento de la pérdida vector de coeficiente, y B 00 la constante del coeficiente de pérdida.
2.2.2 Límites de capacidad del generador
Cada una de las unidades generadoras deben operar dentro de sus límites máximos y mínimo, mientras suple la carga. La restricción de desigualdad de los límites de potencia se muestra a continuación.
Donde Pi, min y Pi,max designan la mínima y máxi ma potencia de salida de la i -ésima unidad generadora respectivamente.
2.2.3 Generador con límite de velocidad de rampa (LVR)
Las unidades generadoras en línea deben estabilizarse a los valores de nueva generación en poco tiempo cuan do haya un cambio en la demanda de carga. Lograr esto específicamente en el caso de unidades generadoras de vapor más grandes considerando los límites es una tarea desafiante. Prácticamente al imponer límites de velocidad de rampa ascendente y descendente durante cada período de programación, se puede restringir el rango de operación de todas las unidades térmicas comprometidas. Por tanto, el funcionamiento de las unidades está restringido entre los dos periodos de funcionamiento adyacentes. La restricción de desigualdad perteneciente a los límites de la tasa de rampa del generador se caracteriza a continuación:
Donde URi y DRi representan el límite de rampa as cendente y descendente del i -ésimo generador (MW/h) y Pi0 denota la potencia de salida anterior del i -ésimo gene rador. La combinación de (5) y (6) otorga el límite de potencia refinada para el i -ésimo generador como
2.2.4 Zonas de operación prohibidas (ZOP)
En [37], se aborda algunas razones que causan ZOP en la curva de costos de una unidad térmica, algunas de estas son, la introducción del temblor del cojinete del eje debido a una válvula de admisión de vapor, falla debido a la máquina o su equipo complementario asociado, como bomba, caldera, etc. Evitando el funcionamiento en ZOP se garantiza un mejor despacho. La potencia de salida entregada por el i -ésimo generador considerando ZOP se aprecia a continuación.
Donde Nzi designa el número de ZOP en la curva de cos to del i -ésimo generador, k es el índice de ZOP del i -ésimo generador, PL i,k,k y PU i,k,k representan el límite inferior y superior de la k -ésima zona prohibida del i -ésimo generador.
2.2.5 Restricciones de flujo de línea
Para incorporar el efecto no deseado en las líneas de transmisión debido al flujo de potencia, se introduce la res tricción de flujo de línea que se muestra a continuación.
Donde PLf,k y Pmax Lf,k indican el flujo de potencia activa y el límite superior del flujo de potencia de la línea k respecti vamente, y L representa el número de líneas de transmisión.
2.2.6 Limitaciones de la reserva de giro del sistema
La confiabilidad del SEP se mantiene mediante reservas adecuadas de giro. Es decir:
El problema de DE en su forma más sencilla considera solo la restricción de balance de potencia activa (igualdad) y los límites de capacidad de generación (desigualdad). No obstante, cuantas más restricciones se utilicen más realista será el problema de DE.
2.3 Problema de DE con múltiples máquinas de combustible (MMC)
Las unidades generadoras pueden utilizar múltiples com bustibles para su funcionamiento. Cada una de las unidades puede caracterizarse por varias funciones cuadráticas por partes. La función cuadrática por partes del -ésimo gene rador considerando MMC (despreciando los efectos CPV) se expresa por.
Donde Pimin,k y Pimax,k representan los límites mínimos y máximos de generación de potencia del generador i con la opción de combustible k respectivamente. aik , bik y cik se refieren a los coeficientes del costo de combustible del generador i para la opción de combustible k . El objetivo
del problema de DE con MMC es reducir el costo total de combustible del generador sujeto a las limitaciones.
3. DESPACHO ECONÓMICO AMBIENTAL
El [38] se menciona que la generación de energía en una central termoeléctrica se produce a partir de la quema de com bustibles, renovables o no renovables. Entre los combustibles están el carbón mineral, gas natural, petróleo y biomasa. Como resultado de la generación eléctrica, se emiten impurezas del propio combustible, material particulado, dióxido de azufre (SO2), óxido de nitrógeno (NOx) y dióxido de carbono (CO2), que dañan la salud de los seres humanos, la fauna y la flora. Por lo tanto, es imprescindible que se controlen las emisiones contaminantes durante el proceso de generación de energía en las plantas termoeléctricas. Para reducir la contaminación del medio ambiente por estas emisiones, se utiliza una estrategia de despacho que minimiza la emisión de contaminantes at mosféricos, respetando las restricciones operativas del sistema y asegurando que se satisfaga la demanda. Esta estrategia se denomina problema de despacho económico ambiental (DEA).
En [17], se denota que los contaminantes ambientales como los óxidos de azufre SOx y los óxidos de nitrógeno NOx causados por las unidades térmicas de combustibles fósiles pueden modelarse por separado. No obstante, a efectos de comparación, la emisión total de ton/h E(PG) de estos contaminantes puede expresarse como.
Donde αi, βi, γi, ζi y λi son coeficientes de las ca racterísticas de emisión del i -ésimo generador.
4. METODOLOGÍA
Los problemas ambientales que se manifiestan de las emi siones contaminantes producidas por las centrales eléctricas de combustibles fósiles se han convertido recientemente en un asunto inquietante, por ello, se ha considerado al DEA como la solución más viable para satisfacer la demanda del SEP. Para ayudar a los investigadores a desarrollar técnicas para abordar todos los problemas pendientes, este artículo presenta un estudio de las soluciones propuestas al problema de DEA.
Existen dos principales bases de datos que permiten acceder a la destacada producción científica y también di fundirla, estás son: Web of Science (WOS) y SCOPUS. Hasta no hace mucho WOS era la única herramienta, internacional y multidisciplinaria, disponible para el acercamiento a la lite ratura de ciencia, tecnología, biomedicina y otras disciplinas. No obstante, desde hace unos años, a WOS le ha salido un contrincante de consideración SCOPUS, base de datos funda da por Elsevier S.L en 2004 que posee ciertas características que favorecen sobremanera al investigador. Para las revistas indexadas en ambas bases de datos, las de WOS presentar mayor factor de impacto; en cambio, aquellas que cubren solamente SCOPUS exteriorizan un factor de impacto menor que si están en ambas bases de datos [39]. Por ello, en el presente documento se ha realizado el análisis bibliométrico centrado principalmente en la base de datos de WOS.
La investigación se realizó en mayo del 2021 utilizando el término de búsqueda “Environmental Economic Dispatch”. El refinamiento se realizó verificando el año de publicación, se ha tomado en consideración el lapso 2000 2020, ya que en WOS se registran artículos relacionados con la temática a partir de año 2000, se han encontrado un total de 736 documentos y todos estos en lengua inglesa. En la Fig.1, se aprecia que la temática recibió una atención cada vez mayor y que se realizaron mayores investiga ciones con el pasar de los años. El máximo número de artículos que se han publicado es de 126 en el año 2020, se estima que este número irá incrementando con el pasar del tiempo debido a la creciente conciencia pública sobre la protección del medio ambiente y la aprobación de las enmiendas de 1990 a la Ley de Aire Limpio de Estados Unidos [40] que obliga a las empresas de servicios públi cos a modificar su diseño o estrategias operativas para minimizar la contaminación y las emisiones atmosféricas de las centrales eléctricas térmicas.

Fuente: Autores
Fig. 1 TENDENCIA ANUAL DE LAS PUBLICACIONES EN WOS. (Publicaciones por año en WOS de la temática “Environmental Economic Dispatch”)
Para saber los países que más indagan sobre la temática, en Vosviewer se ha elegido el tipo de análisis de citación y unidad de análisis de países, de esta manera los países que más han estado investigando son: China con 247 documentos y 4631 citaciones, Estados Unidos (USA) con 93 documentos y 3128 citaciones e Irán con 87 documentos y 2489 cita ciones. Esta información fue extraída de la base de datos WOS y reflejada mediante el software VOSviewer. En Fig.2, se puede apreciar los 10 principales países que investigan sobre la temática de DEA.

Fuente: Autores
Fig. 2 PAÍSES QUE INVESTIGAN EL PROBLEMA DE DEA SEGÚN WOS. (Los 10 principales países que investigan acerca del problema de DEA)
Para conocer los autores que más indagan sobre la temá tica, en Vosviewer se ha elegido el tipo de análisis de citación y unidad de análisis de autores, así los autores que más han investigado en este campo son: Niknam, T con 10 documen tos y 713 citaciones, Panigrahi, B con 9 documentos y 404 citaciones y Zhou, J con 9 documentos y 375 citaciones. Esta información fue extraída de la base de datos WOS y reflejada mediante el software VOSviewer. En Fig.3, se puede apreciar los 10 principales autores que investigan sobre la temática de DEA.

Fuente: Autores
Fig. 3 AUTORES QUE INVESTIGAN EL PROBLEMA DE DEA SEGÚN WOS. (Los 10 principales autores que investigan acerca del problema de DEA)
Para saber las fuentes que más indagan sobre la temática, en Vosviewer se ha elegido el tipo de análisis de citación y unidad de análisis de fuentes, así las fuentes que más inves tigaciones poseen relacionadas a la temática son: Enegy con 56 documentos y 2220 citaciones, International Journal of Electrical Power & Energy Systems (IJEPS) con 54 documen tos y 2399 citaciones y Applied Energy (A. Energy) con 36 documentos y 962 citaciones. Esta información fue extraída de la base de datos WOS y reflejada mediante el software VOSviewer. En Fig.4, se puede apreciar las 10 principales fuentes que investigan sobre la temática de DEA, siendo las tres primeras las mencionadas anteriormente, y en los puestos siguientes están las fuentes, Energies, Energy Conversion and Management (ECM), Electric Power Systems Research (EPSR), IEEE Access (IEEE A), Applied Soft Computing (ASC), Iet Generation Transmission & Distribution (IETGTD) y Journal of Cleaner Production (JCP).

Fuente: Autores
Fig. 4 FUENTES QUE INVESTIGAN EL PROBLEMA DE DEA SEGÚN WOS. (Las 10 principales fuentes que investigan acerca del problema de DEA)
Para conocer las organizaciones que más indagan sobre la temática, en Vosviewer se ha elegido el tipo de análisis de cita ción y unidad de análisis de organizaciones, de esta manera las organizaciones que más investigaciones poseen relacionadas a la temática son: North China Electric Power University (NCEPU) con 30 documentos y 298 citaciones, Islamic Azad University (IAU) con 29 documentos y 542 citaciones y Huazhong University Science & Technology (HUS&T) con 20 documentos y 712 cita ciones. Esta información fue extraída de la base de datos WOS y reflejada mediante el software VOSviewer. En Fig.5, se puede apreciar las 10 principales organizaciones que investigan sobre la temática de DEA, siendo las tres primeras las mencionadas anteriormente, y en los puestos siguientes están las organizacio nes, Tabriz University (Tabriz U), Tsinghua University (Tsinghua U), Shiraz University Technology (SUT), Iran University Science & Technology (IUS&T), Indian Institute Technology (IIT), Jadavpur University (JU) y Annamalai University (AU).

Fuente: Autores
Fig. 5 ORGANIZACIONES QUE INVESTIGAN EL PROBLEMA DE DEA SEGÚN WOS. (Las 10 principales organizaciones que investigan acerca del problema de DEA)
Para conocer los documentos más relevantes dentro de la temática, en Vosviewer se ha elegido el tipo de análisis de citación y unidad de análisis de documentos, de esta manera los 15 documentos más citados en este campo se muestran en la Tabla I. Se aprecia que el documentos más citado es [41] con 926 citas. Se realizará el análisis de cada uno de estos y su aporte a la comunidad científica en la sección siguiente.
5. REVISIÓN ARTÍCULOS RELEVANTES
Abido, M.A. en [41] propone un nuevo enfoque basado en el algoritmo evolutivo de Pareto de fuerza (SPEA) para ma nejar el DEA como un verdadero problema de optimización multiobjetivo con objetivos competitivos y no medibles. El enfoque propuesto emplea un mecanismo de preservación de la diversidad para superar los problemas de sesgo de búsqueda y convergencia prematura. También se impone un algoritmo de agrupamiento jerárquico para proporcionar al tomador de decisiones un conjunto de Pareto-óptimo representativo y manejable. Además, se emplea la teoría de conjuntos difusos para extraer la mejor solución no dominada de compromiso. Se han llevado a cabo varias ejecuciones de optimización del enfoque propuesto en un sistema de prueba estándar. Los resultados demuestran las capacidades del enfoque propuesto para generar soluciones óptimas de Pareto bien distribuidas del problema de DEA multiobjetivo en una sola ejecución. La comparación con las técnicas clásicas demuestra la superioridad del enfoque propuesto y confirma su potencial para resolver el problema de DEA multiobjetivo. Además, la extensión del enfoque propuesto para incluir más objetivos es un proceso sencillo.
Abido, M.A. en [42]a novel multiobjective evolutionary algorithm for environmental/economic power dispatch (EED presenta un nuevo algoritmo evolutivo multiobjetivo para el problema de optimización de DEA. Se propone un nuevo enfoque basado en un algoritmo genético de clasificación no dominado para manejar el problema como un verdade ro problema de optimización multiobjetivo con objetivos competitivos y no conmensurables. El enfoque propuesto emplea un mecanismo de preservación de la diversidad para superar la convergencia prematura y los problemas de sesgo de búsqueda y producir un conjunto óptimo de Pareto bien distribuido de soluciones no dominadas. También se impone un algoritmo de agrupamiento jerárquico para proporcionar al tomador de decisiones un conjunto óptimo de Pareto representativo y manejable. Además, se emplea la teoría de conjuntos difusos para extraer la mejor solución de com promiso sobre la curva de compensación. Se llevan a cabo varias ejecuciones de optimización del enfoque propuesto en el sistema de prueba estándar IEEE 30-bus. Los resultados demuestran las capacidades del enfoque propuesto para generar soluciones no dominadas óptimas de Pareto verda deras y bien distribuidas del problema de DEA multiobjetivo en una sola ejecución. Los resultados de la simulación con el enfoque propuesto se han comparado con los reportados en la literatura. La comparación demuestra la superioridad del enfoque propuesto y confirma su potencial para resolver el problema de DEA multiobjetivo.
Abido, M.A. en [18] presenta un enfoque basado en el al goritmo genético de Pareto de níquel (NPGA) para resolver el problema de DEA de múltiples objetivos. El enfoque propues to basado en NPGA maneja el problema como un problema de objetivos múltiples con objetivos de emisiones y costos competitivos y no conmensurables. Una de las principales ventajas del enfoque propuesto es que no hay restricciones en el número de objetivos optimizados. El enfoque propuesto tiene un mecanismo de preservación de la diversidad para superar el problema de la convergencia prematura. Se de sarrolla e impone un algoritmo de agrupamiento jerárquico para proporcionar al tomador de decisiones un conjunto óptimo de Pareto representativo y manejable. Además, se emplea la teoría de conjuntos difusos para extraer la mejor solución de compromiso. Se llevan a cabo varias ejecuciones de optimización del enfoque propuesto en el sistema de prueba estándar IEEE 30-bus. Los resultados demuestran las capacidades del enfoque propuesto para generar solu ciones no dominadas óptimas de Pareto bien distribuidas del problema de EED multiobjetivo en una sola ejecución. La comparación con los métodos clásicos demuestra la su perioridad del enfoque propuesto y confirma su potencial para resolver el problema de EED multiobjetivo.
Abido, M.A. en [43] evalúa exhaustivamente la poten cialidad y la efectividad de los algoritmo evolutivos multiobjetivos basados en Pareto (MOEA). Específicamente, el algoritmo genético de clasificación no dominado, el algoritmo genético de Pareto con níquel y el algoritmo evolutivo de Pareto de fuerza (SPEA) se han desarrollado y aplicado con éxito a un problema de despacho de energía eléctrica am biental / económico. En este trabajo se propone un nuevo procedimiento para medir la calidad con el fin de evaluar diferentes técnicas. Se ha desarrollado un procedimiento de verificación de viabilidad y se ha superpuesto al MOEA para restringir la búsqueda a la región factible del espacio problemático. También se impone un algoritmo de agrupamiento jerárquico para proporcionar al operador del sistema de energía un conjunto óptimo de Pareto representativo y manejable. Además, se desarrolla un enfoque basado en la teoría de conjuntos difusos para extraer una de las soluciones óptimas de Pareto como la mejor solución de compromiso. Estos algoritmos evolutivos multiobjetivos se han examinado individualmente y se han aplicado al sistema de prueba es tándar de seis generadores de bus 30 de IEEE. Se han llevado a cabo varias corridas de optimización en diferentes casos de complejidad del problema. Los resultados de MOEA se han comparado con los reportados en la literatura. Los resultados confirman el potencial y la eficacia de MOEA en comparación con las técnicas tradicionales de optimización multiobjetivo. Además, los resultados demuestran la superioridad del SPEA como un algoritmo evolutivo multiobjetivo prometedor para resolver la optimización multiobjetivo de diferentes sistemas de energía.
Abido, M.A. en [17] propone una nueva técnica de op timización de enjambres de partículas multiobjetivo (MOP- SO) para el problema de DEA. La técnica MOPSO propuesta desarrolla una versión multiobjetivo de PSO al proponer la redefinición de los mejores individuos globales y locales en el dominio de la optimización multiobjetivo. La técnica MOPSO propuesta se ha implementado para resolver el problema de DEA con objetivos de emisiones y costes competitivos y no conmensurables. Se han llevado a cabo varias ejecuciones de optimización del enfoque propuesto en un sistema de prueba estándar. Los resultados demuestran las capacidades de la técnica MOPSO propuesta para generar un conjunto de soluciones óptimas de Pareto bien distribuidas en una sola ejecución. La comparación con las diferentes técnicas reportadas demuestra la superioridad del MOPSO propuesto en términos de la diversidad de las soluciones óptimas de Pareto obtenidas. Además, se implementa una medida de calidad de las soluciones óptimas de Pareto donde los resul tados confirman el potencial de la técnica MOPSO propuesta para resolver el problema de DEA multiobjetivo y producir soluciones no dominadas de alta calidad.
Agrawal, S. y otros en [44] proponen un algoritmo de en jambre de partículas basado en agrupamiento difuso (FCPSO) para resolver el problema de DEA altamente limitado que implica propósios en conflicto. FCPSO emplea un repositorio externo para preservar las partículas no dominadas que se encuentran a lo largo del proceso de búsqueda. La técnica de agrupamiento difuso propuesta gestiona el tamaño del repositorio dentro de los límites sin destruir las caracterís ticas del frente de Pareto. Se ha ingresado un mecanismo de Niching para dirigir las partículas hacia regiones menos exploradas del frente de Pareto. Para evitar el atrapamiento en óptimas locales y mejorar la capacidad exploratoria de las partículas, se ha propuesto un operador de mutación autoadaptativo. Además, el algoritmo incorpora un meca nismo de retroalimentación basado en datos difusos y utiliza iterativamente la información para determinar la solución de compromiso. El rendimiento del algoritmo ha sido exa minado sobre el sistema de prueba de seis generadores de bus estándar IEEE 30, mediante el cual generó un frente de Pareto distribuido uniformemente cuya optimización ha sido autenticada mediante evaluación comparativa contra el método de restricción.
Atwa, Y. y El- Saadany, E. en [45] exponen que las pre ocupaciones ambientales y las incertidumbres en el costo del combustible asociadas con el uso de fuentes de energía convencionales han dado como resultado un rápido cre cimiento en la cantidad de energía eólica conectada a las redes de distribución. Y propone una metodología para la asignación de un sistema de almacenamiento de energía (ESS) en un sistema de distribución con alta penetración de energía eólica. El objetivo final es maximizar los beneficios tanto para el propietario de la generación distribuida como para la empresa de servicios públicos dimensionando el ESS para acomodar todas las cantidades de energía eólica derramada y luego asignándola dentro del sistema para minimizar el costo anual de la electricidad.
Basu, M. [46] propone la evolución diferencial multiobjetivo para resolver el problema de DEA. Los resultados numé ricos de tres sistemas de prueba demuestran las capacidades del enfoque propuesto. El problema se ha formulado como una optimización multiobjetivo con objetivos competitivos de costes de combustible y emisiones. Los resultados obte nidos con el enfoque propuesto se han comparado con los obtenidos a partir de la evolución diferencial de Pareto. De la comparación se ve que el enfoque propuesto proporciona un rendimiento competitivo en términos de solución y tiempo de cálculo. La evolución diferencial multiobjetivo propuesta es simple, robusta y eficiente. No impone ninguna limitación al número de objetivos y puede ampliarse para incluir más objetivos.
Gu, W. y otros en [47] presentan una revisión general del modelado, la planificación y la gestión energética de la microrred combinada de refrigeración, calefacción y ener gía (CCHP). El rendimiento de una microrred CCHP desde los puntos de vista técnico, económico y medioambiental dependen en gran medida del diseño de la microrred y la gestión energética. El modelado preciso es el primer y más importante paso para la planificación y la gestión energética de la microrred de CCHP, por lo que este documento presenta primero una revisión del modelado de la microrred de CCHP. Con respecto a la planificación de la microrred CCHP, se dan varios métodos de evaluación e indicadores ampliamente aceptados para los sistemas de cogeneración. Luego se pre sentan los esfuerzos de investigación sobre los métodos de planificación de la microrred de CCHP. Finalmente, se revisa brevemente la gestión energética de la microrred CCHP en términos de desacoplamiento de cogeneración, estrategias de control, reducción de emisiones y métodos de resolución de problemas.
Khodayar, M. y otros en [48] the coordinated integration of aggregated plug-in electric vehicle (PEV estudian la integración coordinada de flotas agregadas de vehículos eléctricos enchufables (PEV) y fuentes de energía renovable (energía eólica) en los sistemas de energía mediante el mode lo estocástico de compromiso de unidad con restricciones de seguridad (Stochastic SCUC), que minimiza el esperado costo de operación de la red considerando el comportamiento aleatorio de los muchos PEV. Los PEV son dispositivos móviles y distribuidos con opciones diferibles para el suministro / uso de energía en distintos momentos y ubicaciones. La mayor utilización de los PEV, que consumen electricidad en lugar de combustibles fósiles para conducir, ofrece oportunidades económicas y ambientales únicas y plantea nuevos desafíos para la operación y planificación del sistema de energía eléc trica. La capacidad de almacenamiento de los PEV podría ayudar a los sistemas de energía a mitigar la variabilidad de las fuentes de energía renovables y reducir los costos de operación de la red. Vehicle-to-grid (V2G) permite que los PEV tengan flujos de energía bidireccionales una vez que están conectados a la red, es decir, pueden inyectar energía y extraer energía de la red, lo que agrega mayor complejidad a las operaciones del sistema eléctrico. Los PEV significan el comportamiento aleatorio de los clientes al considerar sus patrones de conducción, los requisitos energéticos de ubicación, las interconexiones de redes topológicas y otras limitaciones impuestas por los consumidores. Las pruebas numéricas demuestran la efectividad del enfoque propuesto para analizar el impacto de los PEV en el costo de operación de la red y el despacho de energía eólica por hora.
Moghaddam, A. y otros en [49] proponen un algoritmo de optimización adaptativa de enjambre de partículas modifica das (AMPSO) multiobjetivo experto para el funcionamiento óptimo de una microred (MG) típico con fuentes de energía renovable (RES) acompañado de una fuente de energía hí brida de respaldo de micro turbina / pila de combustible / batería. para nivelar el desajuste de energía o para almacenar el excedente de energía cuando sea necesario. El problema se formula como un problema de optimización multiobjetivo de restricción no lineal para minimizar el costo operativo total y la emisión neta simultáneamente. Para mejorar el proceso de optimización, se utiliza un algoritmo PSO híbrido basado en un mecanismo Chaotic Local Search (CLS) y una estructura Fuzzy Self Adaptive (FSA). El algoritmo propuesto se prueba en un MG típico y su rendimiento superior se compara con los de otros algoritmos evolutivos como algoritmo genético (GA) y optimización de enjambre de partículas (PSO).
Suganthi, L. y otros en [50] exponen que el modelado y la planificación energética son vitales para la prosperidad económica futura y la seguridad ambiental. En este contexto, existen técnicas de computación como la lógica difusa, las redes neuronales y los algoritmos genéticos modelados de energía para mapear con precisión los sistemas de energía. En este documento, se ha revisado las aplicaciones de modelos basados en lógica difusa en sistemas de energía renovable, a saber, aplicaciones solares, eólicas, bioenergéticas, microrredes e híbridas. Se encuentra que los modelos basados en lógica difusa se utilizan ampliamente en los últimos años para la evaluación del sitio, para la instalación de parques fotovoltaicos / eólicos, seguimiento de puntos de energía en energía solar fotovoltaica / eólica, optimización entre criterios conflictivos. La indagación indica que los modelos basados en lógica difusa proporcionan estimaciones realistas.
Ummels, B. y otros en [51] proponen un nuevo método de simulación que puede evaluar completamente los im pactos de la energía eólica a gran escala en las operaciones del sistema desde el costo, la confiabilidad y las perspectivas ambientales. El método utiliza una serie de tiempo de velo cidades del viento promedio de 15 minutos observadas y pronosticadas en ubicaciones previstas de parques eólicos terrestres y marinos. La herramienta UnitCommitment and Economic Dispatch (UC-ED) está adaptada para permitir revisiones frecuentes de los horarios de las unidades de ge neración convencionales, utilizando información sobre la producción actual de energía eólica y las previsiones para las próximas 36 h. Esta se considera la forma más fiel de simular operaciones reales y actividades de planificación a corto plazo para un sistema con una gran penetración de energía eólica. La formulación del problema incluye restricciones de velocidad de rampa para los programas de generación y para la activación de la reserva, y el tiempo mínimo de actividad y tiempo de inactividad de las unidades convencionales. Se muestran los resultados para un escenario futuro realista del sistema eléctrico holandés. Se muestra que problemas como la regulación y reserva de energía insuficientes, que normalmente se asocian con la variabilidad y la previsibilidad limitada de la energía eólica, solo pueden evaluarse junto con las características específicas del sistema de generación convencional en el que se integra la energía eólica. Para el sistema térmico con una gran proporción de calor y energía combinados (CHP) investigado aquí, la previsión de ener gía eólica no proporciona beneficios significativos para un compromiso y despacho óptimos de la unidad. Se producen problemas de carga mínima, que dan como resultado una pérdida de viento en cantidades que aumentan con la energía eólica instalada.
Wang, H. y otros en [52] proponen un enfoque de conjun to basado en el aprendizaje para la predicción probabilística de energía eólica. En este enfoque, se plantea originalmente un método avanzado de pronóstico de puntos basado en la transformada de wavelet y convolucional red neuronal. La transformada wavelet se utiliza para descomponer los datos brutos de energía eólica en diferentes frecuencias. Las
características no lineales en cada frecuencia que se utilizan para mejorar la precisión del pronóstico son más tarde apren didas de manera efectiva por la red neuronal convolucional. Las incertidumbres en los datos de energía eólica, es decir, la especificación incorrecta del modelo y el ruido de datos se identifican por separado a partir de entonces. En conse cuencia, la distribución probabilística de los datos de energía eólica se puede formular estadísticamente. El conjunto pro puesto se ha evaluado ampliamente utilizando datos reales de parques eólicos de China, y los resultados demuestran que las incertidumbres en los datos de energía eólica se pueden aprender mejor utilizando el enfoque propuesto y que se obtenga un desempeño competitivo.
Zakariazadeh, A. y otros en [53] exponen que al prepa rarse para la adopción generalizada de vehículos eléctricos (EV), un tema importante es utilizar un modelo de progra mación de carga / descarga de vehículos eléctricos adecuado que sea capaz de considerar simultáneamente los objetivos económicos y ambientales, así como las limitaciones técnicas de las redes de distribución. Este documento propone un método de programación operacional multiobjetivo para la carga / descarga de vehículos eléctricos en un sistema de distribución inteligente. El marco multiobjetivo propuesto, basado en el método de restricción electrónica aumentada, tiene como objetivo minimizar los costos operativos y las emisiones totales. La capacidad Vehicle to Grid (V2G), así como los patrones reales de los conductores, se consideran para generar las soluciones óptimas de Pareto. La técnica de descomposición de Benders se utiliza para resolver el modelo de optimización propuesto y convertir el problema no lineal de enteros mixtos a gran escala en problemas de programación lineal de enteros mixtos y de programación no lineal. La eficacia del enfoque de programación de recursos propuesto se prueba en un sistema de prueba de distribución de 33 buses durante un período de 24 horas. Los resultados muestran que el método de carga / descarga de los vehículos eléctricos propuestos puede reducir tanto el costo de opera ción como las emisiones contaminantes del aire.
Estos 15 documentos analizados han sido elegidos debido a que representan un mayor grado de relevancia y alcance al problema identificado en esta investigación, en la Tabla II se aprecia a modo de resumen la temática que aborda el documento y la metodología propuesta, además de datos importantes del documento, tales como, el año de publica ción, el tema, la revista de indexación y el número de citas.
Se aprecia que [41] figura como el documento más ci tado con 926 citas, su año de publicación fue en el 2003 y la revista de indexación es la IEEE Transactions on Power Systems. Además, esta revista es la que más documentos posee de los 15 analizados, tiene en su repertorio 5 docu mentos representando un 33.33% del total. Se puede notar que [48] representa el documento más completo de todos ya que en su contenido se aborda todas las temáticas, siendo estas, despacho económico ambiental, energía renovable y vehículos eléctricos.
De todas las temáticas analizadas la producción de con tenido de vehículos eléctricos y su relación con DEA es la más baja representando un 13.33%. Mientras que las temáticas de despacho económico ambiental y métodos metaheurísticos son las más analizadas con un 80% y 73.33% respectiva mente. Por otro lado, la temática de energía renovables se encuentra con un 46.66%. Existen un total de 12 soluciones propuestas para solventar el problema de DEA, esto otorga una perspectiva amplia de resolución. Existe un máximo de 2 veces que se utiliza una misma propuesta de solución, esto indica que los documentos indagados son variados y poseen metodologías nuevas que ayudan sobremanera en el tema de investigación.
6. CONCLUSIONES
Existen dos principales bases de datos que permiten acceder a la destacada producción científica y también di fundirla, estás son: Web of Science (WOS) y SCOPUS. En el presente documento se ha realizado el análisis bibliométrico tomando en consideración WOS, ya que, este presenta un factor de impacto mayor. La investigación se realizó en mayo del 2021 utilizando el término de búsqueda “Environmental Economic Dispatch”. El refinamiento se realizó verificando el año de publicación, se ha tomado en consideración el lapso 2000-2020, ya que en WOS se registran artículos relacionados con la temática a partir de año 2000, se han encontrado un total de 736 documentos y todos estos en lengua inglesa. Esta temática recibe una atención cada vez mayor y se reali zaran mayores investigaciones con el pasar de los años esto se debe a la creciente conciencia pública sobre la protección del medio ambiente y la aprobación de las enmiendas de 1990 a la Ley de Aire Limpio de Estados Unidos que obliga a las empresas de servicios públicos a modificar su diseño o estrategias operativas para minimizar la contaminación y las emisiones atmosféricas de las centrales eléctricas térmicas.
Para realizar la revisión literaria, se ha realizado un análisis bibliométrico para obtener los 15 documentos más relevantes dentro de la temática de investigación. Estos documentos analizados han sido estadísticamente significativos con resul tados positivos que pueden ayudar sobremanera a resolver el problema de despacho económico/ ambiental (DEA). En este contexto, se obtuvo que [48]the coordinated integration of aggregated plug-in electric vehicle (PEV representa el documento más completo de todos ya que en su contenido se aborda las temáticas de DEA, energía renovable y vehícu los eléctricos. Por otro lado, [41] figura como el documento más citado con 926 citas y aborda las temáticas de DEA y métodos metaheurísticos. Este artículo será una guía útil para los investigadores.




























