Services on Demand
Journal
Article
Indicators
-
Cited by SciELO -
Access statistics
Related links
-
Cited by Google -
Similars in
SciELO -
Similars in Google
Share
Revista Ingenierías Universidad de Medellín
Print version ISSN 1692-3324On-line version ISSN 2248-4094
Rev. ing. univ. Medellín vol.9 no.17 Medellín July/Dec. 2010
Evaluación cinética de los dípteros como indicadores de la evolución del proceso de compostaje
Kinetic evaluation of diptera as indicators of the evolution of composting process
* Química, M.Sc. Química. Universidad de Medellín, Medellín - Colombia. Correo electrónico: gmorales@udem.edu.co.
** Biólogo, MSc. Química, Dr. Bioquímica. Universidad de Antioquia, Medellín - Colombia. Correo electrónico: cpelaez@matematicas.udea.edu.co.
Resumen
Este trabajo buscó establecer el papel de ciertos organismos, en particular de artrópodos, en el proceso de compostaje, con el fin de establecer parámetros biológicos, físicos y químicos que permitan evaluar y garantizar la óptima calidad del material final. Para el estudio fue establecida una compostera de residuos sólidos urbanos separados en la fuente (RSU-sf). En ella se efectuaron muestreos, por un período de dos meses, para los análisis microbiológicos, entomológicos, físicos y químicos. Se obtuvo una matriz de las sucesiones, primordialmente de insectos asociados a las diferentes fases y tiempos de desarrollo y su relación con las variables físicas y químicas. Los análisis evidenciaron una alta correlación de las enterobacterias con la abundancia de las especies Chonocephalus sp. (Phoridae), Drosophila sp. (Drosophilidae), Physiphora sp. (Ulidiidae), Desmometopa sp. (Milichiidae) y Tephiritidae. También se encontró que la ausencia de estos artrópodos puede emplearse como indicador de la estabilidad del sistema.
Palabras clave: residuos sólidos urbanos, compostaje, estabilidad, dipteros, syrphidae.Abstract
This research aimed to establish the role of organisms, particularly arthropods, in a composting process, in order to set biological, physical and chemical parameters which allow evaluating the optimal quality of the final matter. For this purpose, a compost pile of urban solid waste separated at source (RSU-sf) was built in which sampling was carried out during two months for microbiological, entomological, and physicochemical testing. A matrix of successions was obtained, especially for insects associated with different development stages and its relationship to physical and chemical variables. Analyses evidenced a high correlation of family Enterobacteriaceae, with the abundance of species Chonocephalus sp. (Phoridae), Drosophila sp. (Drosophilidae), Physiphora sp. (Ulidiidae), Desmometopa sp. (Milichiidae) and Tephritidae. It was also found that the absence of these arthropods can be used as an indicator of system stability.
Key words: solid urban waste, composting, stability, diphtera, syrphidae.
INTRODUCCIÓN
El compostaje es una de las técnicas más empleadas para el tratamiento de los residuos orgánicos, pues permite su estabilización y utilización como enmienda orgánica en el suelo, con el fin de mejorar la estructura, aumentar la capacidad de intercambio catiónico, eliminar patógenos y facilitar el crecimiento de las plantas [1-7]. En este marco, el compost es una buena alternativa para la restauración de suelos, particularmente en las regiones tropicales, donde hay un acelerado agotamiento de la materia orgánica [4, 8-12]. La disposición de desechos inmaduros, sin compostar, o bien, sin finalizar el proceso de compostaje (aún con presencia de patógenos), causa fitotoxicidad a las plantas, deficiencia en nitrógeno y oxígeno y afecta negativamente al ambiente [13].
El proceso de compostaje se da por la acción de procesos biológicos interdependientes, llevados a cabo por una gran variedad de organismos, sobre sustratos sólidos orgánicos heterogéneos. Se caracteriza por los diferentes cambios de temperatura asociados a la sucesión de las comunidades microbianas, lo que ha permitido clasificar el proceso en tres etapas principales: mesófila, termófila y una segunda etapa mesófila [14]. Se asume que durante la etapa termófila los patógenos se reducen, obteniéndose al final un producto libre de patógenos con pocos olores, lo que disminuye la presencia de roedores y de insectos [15].
El compostaje es un proceso irreversible de la degradación bioxidativa y catabólica que es seguido de un proceso de resíntesis de un sustrato orgánico sólido, a través de organismos descomponedores endémicos (principalmente artrópodos y microorganismos), endo y exoenzimas presentes en el medio, que actúan sobre la matriz orgánica hasta la obtención de un producto heterogéneo denominado compost, con apariencia completamente diferente del material de origen y que se caracteriza por su estabilidad química y madurez con respecto a parámetros de referencia establecidos por un patrón [16].
Las investigaciones realizadas sobre el compost muestran un conjunto de variables físicas, químicas y biológicas que indican cuándo el material ha alcanzado condiciones de calidad tales, que pueda ser empleado, bien sea como enmienda o acondicionador de suelos o como abono [17]; es decir, debe ser estable y maduro; llegan a ser éstas las variables de calidad para su aplicación en el suelo sin que afecte el ambiente de éste y sin que limite el crecimiento de las plantas [18, 19].
La estabilidad es un concepto que se deduce a partir de parámetros independientes y relativamente fáciles de medir de los materiales de partida y se logra cuando aparece un cambio significativo en algunas variables como capacidad de intercambio catiónico (CIC), carbono orgánico (CO), relación carbono-nitrógeno (CN) y producción de dióxido de carbono (CO2), por lo que se infiere que está relacionada con la actividad biológica de la materia orgánica. La madurez es un concepto no absoluto referido a cuán apropiado es un material para un uso dado, y está determinada por características estructurales y de uso [20]. De ahí que se espere que un compost no posea ácidos orgánicos de bajo peso molecular, causantes de la actividad fitotóxica.
Como se enunció, el compostaje es un proceso complejo que involucra microorganismos, macroorganismos [7, 21], nemátodos y diversos artrópodos descomponedores, los cuales dependen siempre del tipo de residuos empleados (materia prima) y de las condiciones ambientales [22].
Numerosas especies de insectos se alimentan de materia orgánica de origen animal o vegetal y han mostrado una alta eficiencia como recicladores, por lo que contribuyen al compostaje y, al mismo tiempo, promueven la presencia de especies benéficas como Hermetia illucens (Diptera: Stratiomyidae), esencial en el control de la mosca doméstica [23-27]. No se ha hecho mucho énfasis en los artrópodos que participan en el compostaje y que se pueden adecuar a la definición de estabilidad, ya que ellos son cuantificables en el tiempo y, por lo tanto, se pueden estimar los cambios en las poblaciones y asociarlos a los parámetros de estabilidad del compost.
Los insectos, en términos de biomasa y de su interacción con otros organismos terrestres, son el grupo más importante; remueven mayor cantidad de materia orgánica que los vertebrados y consumen grandes porcentajes de madera, pastos, humus, hongos, estiércol y todo tipo de materiales orgánicos en descomposición [28]. Dentro de esta clase se encuentran los dípteros, con aproximadamente 150.000 especies conocidas [29], de las cuales un importante número están asociadas a la descomposición orgánica. Entre ellas se registran las familias Calliphoridae, Muscidae, Sarcophagidae, Piophilidae, Scathophagidae, Sepsidae, Sphaeroceridae, Stratiomyidae, Phoridae, Psychodidae [30].
Este estudio evaluó la influencia de parámetros tales como contenido de humedad (%H), pH, conductividad, porcentaje de carbono orgánico (% CO), porcentaje de ceniza, densidad y capacidad de retención de agua (CRA) con la presencia y participación de los dípteros durante el proceso de compostaje de Residuos Sólidos Urbanos separados en fuente (RSU-sf), ya que según Haimi [31], los artrópodos usan los compuestos orgánicos en su metabolismo e incrementan la actividad metabólica de los microorganismos. De acuerdo con esto, se evaluó el proceso de compostaje, utilizando los dípteros como indicadores del grado de descomposición del mismo y su relación con los microorganismos.
1. MATERIALES Y MÉTODOS
El estudio se efectuó en Belén Altavista, corregimiento del municipio de Medellín, en el departamento de Antioquia, Colombia. Está ubicado a 1.600 m.s.n.m. de altitud, con una temperatura promedio de 22 °C y pertenece a la zona de vida bosque húmedo premontano (bh-PM) según la clasificación de Holdridge [32]. El proceso se realizó con residuos sólidos urbanos separados en la fuente (RSU-sf), fracción orgánica de la basura urbana de la cual se han separado los vidrios y los plásticos. La compostera contó con tres sistemas de seis camas, cada una de 1:50 x 1:50 m y por 70 cm de alto, numeradas de uno a seis, para un total de tres réplicas. Las camas fueron construidas sobre un piso de cemento con un pequeño desnivel para el manejo de los lixiviados; cada semana el material era pasado de cama y de esa forma se efectuaban los volteos. El registro del control de temperatura del compost se realizó diariamente con un termómetro de piso.
Los residuos fueron evaluados durante siete semanas, tiempo durante el cual se tomaron muestras, para análisis microbiológicos, físicos y químicos una vez por semana y para el entomológico tres veces al día (7:00 a. m., 12:00 a. m., 17:00 p. m.) en la primera semana, dos veces al día (11:00 a. m. y 18:00 p. m.) durante la segunda semana, y una vez por día (12:00 a. m.) hasta la finalización del proceso, debido a la disminución en diversidad. En cada muestreo se tomó entre 500 y 1.000 g de material, de acuerdo a la metodología sugerida en TMECC 02.01 del muestreo en campo del material de compost [33] . Con el fin de cubrir toda la cama, se tomaron submuestras desde la superficie hasta una profundidad de 30 cm. Fueron obtenidas muestras de los extremos de la cama, la mitad de los laterales y punto central, para un total de nueve submuestras; luego se procedió a homogeneizar y mezclar todas las submuestras.
La muestra para el análisis entomológico, con un peso de alrededor de 800 g, fue separada en dos partes: una se conservó en recipientes plásticos cubiertos con muselina que se dejaron el tiempo suficiente para garantizar que todas las pupas emergieran en adultos; la otra se trasladó a un embudo de Berlese, con el fin de obtener los estadios inmaduros (larvas). Para la identificación taxonómica se usaron las claves planteadas en [34-37].
De la muestra de aproximadamente 400 g seleccionada para el análisis microbiológico, se tomó 1.0 g para ser diluido en 10 mL de agua pectonada. Esta primera dilución (1/10) fue sometida a agitación en vórtex, por 1 min, para lograr una adecuada homogeneización, luego se dejó en reposo durante 10 min y posteriormente se sometió a diluciones seriadas (1/100, 1/1000,...) con agua pectonada, hasta completar siete diluciones.
Tanto para microorganismos mesófilos como para termófilos se tomó 1 mL de las diluciones cinco y siete para cultivo en cajas de Petri, con agar nutritivo. Se incubaron a 35-37 °C para los mesófilos y a 56-57 °C para los termófilos, y se determinaron las unidades formadoras de colonias por gramo de peso húmedo (UFC/g).
Para hacer el seguimiento de las poblaciones de microorganismos patógenos, se utilizó agar violeta cristal rojo neutro VRBD, empleando las diluciones uno y tres; se incubaron por 48 h a 37 °C y posteriormente se realizó el recuento de todas las colonias presentes de Escherichiacoli, Salmonella y Shigella.
Para el seguimiento de los mohos y levaduras se emplearon las diluciones cuatro y seis; para ello se tomó 1 mL de estas diluciones y se sembraron en agar PDA (papa-dextrosa-agar). Se incubaron a 37 °C, 24 h, y se procedió a realizar el recuento de colonias.
El porcentaje de nitrógeno total se determinó por el método Kjeldahl; el porcentaje de humedad, por la pérdida de peso en un horno de secado a 100°C durante 4 h; el de ceniza, a partir de la muestra previamente secada a 100 °C, por la pérdida de peso de la muestra sometida a calcinación a 600 °C durante 4 h en una mufla; el de CO se determinó por oxidación de la materia orgánica con dicromato de potasio y ácido sulfúrico.
Para determinar el pH y la conductividad eléctrica se emplearon un pHmetro Metrom y un Radiometer CDM83, respectivamente. Para ello se empleó una dilución 1:10 (w/w) muestra de compost: agua, de acuerdo con la NTC 5167 [38] y se procedió a realizar las lecturas respectivas.
1.1 Análisis estadístico
El programa Statgraphics Plus 4.1 fue usado para evaluar el mejor modelo de análisis de regresión de las variables: humedad, carbono orgánico (CO), nitrógeno (N), capacidad de intercambio catiónico (CIC), capacidad de retención de agua (CRA), pH y conductividad. También se usó para generar las ecuaciones que indican la cinética de degradación del material en compostaje.
Para las correlaciones entre los diferentes grupos de variables y para el análisis de componentes principales se empleó SPSS 15, que permitió evaluar el peso de cada variable en cada componente.
Por último, para encontrar las variables que afectaban el sistema, se empleó un análisis de clúster, el cual permite tomar las variables de un seguimiento en particular y formar grupos homogéneos. Para proceder con este análisis es recomendado estandarizar los datos y así evitar la influencia de las distintas unidades de medida; así, para dicho agrupamiento se empleó un conglomerado jerárquico y un conglomerado de K-medias. Para este proceso se empleó el programa STATISTICA 6.0, PL Software.
1.2 Correlaciones entre parámetros
Las relaciones de los parámetros microbiológicos y los parámetros físicos y químicos con la sucesión de dípteros se evaluaron aplicando un análisis de correspondencia canónica (CCA), con el programa CANOCO. Para aplicar las correlaciones canónicas debe haber una correlación mínima entre variables del mismo grupo (uno de los grupos es formado por las variables físicas y químicas, otro por las variables microbiológicas y uno tercero por los dípteros).
2. RESULTADOS
2.1 Características microbiológicas
En general predominaron los microorganismos mesófilos con niveles poblacionales similares durante todo el tiempo de compostaje, las enterobacterias, que inician con un máximo y finalizan en el rango sugerido por la norma (menos de 1000 UFC), ver figura 1. Adicionalmente, se observó una alta correlación entre los microorganismos totales y los mesófilos.
2.2 Artrópodos
En total se colectaron 11.732 individuos pertenecientes a la clase insecta distribuidos en tres órdenes: Díptera (11.561 individuos, 16 familias, correspondiente al 98.5% del total), Coleóptera (81 individuos, cinco familias, correspondiente a 0.69%) e Hymenoptera (20 individuos, correspondiente a 0.17%), para un total de 24 familias y 27 especies; y Arachnida (Acari) con 1 especie (tabla 1).
Díptera fue representado principalmente por O. obesa (48,6%)(Syrphidae), la cual estuvo presente durante todo el período de estudio, al igual que S. calcitrans y H Illucens. También presentó la mayor cantidad de individuos (N=5.700), en especial durante las dos primeras semanas, seguida por -Desmometopa sp. (Milichiidae) (N=1.565), S. calcitrans (Muscidae) (1.410) y Musca domestica (Muscidae) (N= 1.276) (tabla 2).
Desmometopa sp. presentó una alta densidad en la primera y segunda semanas, disminuyendo paulatinamente hasta el final del proceso.
Drosophilidae sp. presentó una alta densidad en la primera semana y, a pesar de su presencia hasta la sexta semana, el número de individuos fue bajo, en especial en la tercera y cuarta semanas.
M. domestica. Aunque no fue muy representativa, se encontró durante las seis primeras semanas del estudio, presentando su máxima abundancia durante la primera y segunda semanas.
H. illucens. Llamada mosca soldado, se presentó durante todo el proceso de compostaje, aunque su mayor abundancia relativa se registró en la cuarta semana.
F. canicularis, en el proceso de compostaje de RSU-sf registró su mayor abundancia relativa en la segunda semana, para luego disminuir paulatinamente hasta desaparecer después de la quinta semana.
2.3 Características físicas y químicas
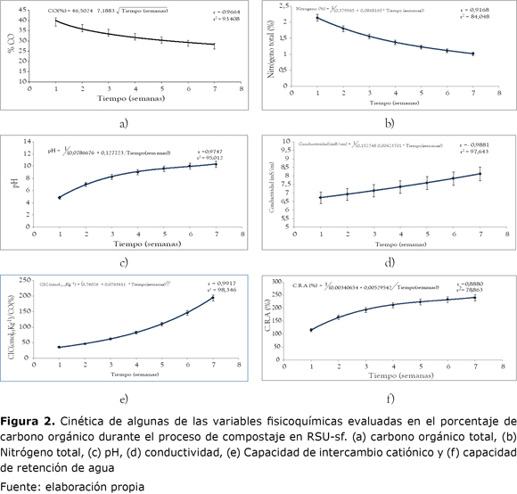
El carbono orgánico total, en el material de RSU-sf, mostró un valor inicial de aproximadamente el 40% y disminuyó a medida que transcurrió el proceso (figura 2a). La cinética del carbono orgánico total se ajustó a un modelo raíz cuadrada en X, es decir, a medida transcurre la degradación el material se hace más recalcitrante y, por tanto, se pierde en menor cantidad.
El nitrógeno total se ajustó a un modelo recíproco en Y (figura 2b), mostrando una marcada disminución, con un valor inicial de 2.14 %. En la séptima semana tuvo un porcentaje aproximado de 1.0%.
El comportamiento del pH durante el compostaje se ajustó a un modelo de doble recíproco con valores entre 5 y 10 (figura 2c). Al inicio del compostaje, el pH fue relativamente bajo (pH = 4.91), lo cual se atribuye a la presencia de ácidos orgánicos de bajo peso molecular [39].
Los resultados de conductividad se ajustaron a un análisis de regresión de un modelo recíproco en Y (figura 2d). Los iones H+ y OH-, al igual que las sales solubles que inciden en la conductividad, generaron un incremento del 17% de ésta, de 6.73 a 8.12 mS/cm.
La CIC se ajustó a un modelo raíz cuadrada en X y cuadrado en Y (figura 2e). Se espera que la CIC al final del compostaje alcance niveles superiores 32 cmol(+)kg-1 [38].
La capacidad de retención de agua se ajustó a un modelo doble recíproco (figura 2f). Se espera que la CRA alcance niveles superiores al 100% al final del compostaje [38]. En la tabla 3 se registran las todas propiedades físicas y químicas evaluadas durante el proceso de compostaje.
2.4 Correlaciones entre parámetros
En la correlación de variables de acuerdo con las propiedades físicas y químicas no se consideró el porcentaje de ceniza, debido a las altas correlaciones que mostró con carbono orgánico 0.961 y el pH 0.781, con valores P < 0.05, ni la densidad que presentó una correlación de 0.638 con la CRA.
De igual forma, fueron evaluadas las correlaciones entre los microorganismos, en las cuales se encontró una alta correlación entre los microorganismos mesófilos y los microorganismos totales, coeficiente de 0.999 con P < 0.05. De ahí que los microorganismos totales no se tuvieron en cuenta para aplicar el análisis de componentes principales (CCA).
Por otro lado, las familias Calliphoridae y Psychodidae y la especie Coproica sp., presentaron altas correlaciones Chonocephalus sp.; 0.743, Themira sp.; 0.717 y S. calcitrans; 0.759, respectivamente, con valores P < 0.05, por lo tanto, no fueron consideradas en el análisis.
Según el análisis de componentes principales, la familia Heleomyzidae, con las especies O. aenescens y Curtonotum sp., también fueron excluidos del análisis debido a su poco peso en los componentes (tabla 4), lo que dejó doce de las dieciocho especies identificadas, para realizar las respectivas correlaciones entre grupos de variables.
2.4.1 Variables físicas y químicas, y Díptera
Para el análisis de correspondencia canónica (CCA), se construyó una matriz con los resultados de las variables físicas y químicas seleccionadas, y otra con los taxones seleccionados según los componentes principales.
Si se encuentra que el factor de inflación es menor a 20, no hay colinearidad y se puede continuar con el análisis (tabla 5). Para lograr dicho valor, se excluyó del análisis de las variables físicas y químicas el efecto del nitrógeno y de la conductividad.
El análisis de correspondencia canónica entre los dípteros y las variables físicas y químicas seleccionadas (pH, humedad, carbono orgánico, CIC y CRA), para los ejes seleccionados 1 y 2, mostró una varianza acumulada de 83% en la relación especies/propiedades físicas y químicas (tabla 6). El pH (0.9382), CIC (0.9220) y carbono orgánico (-0.6064) mostraron la más alta correlación con el eje uno (tabla 7), el cual tuvo el mayor peso del sistema.
En el diagrama de ordenación (figura 3) se puede observar que las variables más importantes son el pH y la capacidad de intercambio catiónico.
O. obesa, Chonocephalus sp., Drosophila sp. y Tephritidae están influenciadas por los cambios de pH.
O. obesa fue favorecida por valores altos de pH. En contraste, Chonochepalus sp. y Drosophila sp. predominaron a pH bajos. Estas especies pueden ser empleadas como indicadoras del proceso, debido a que el análisis de componentes principales destacó su papel prioritario (tabla 4); se observó que al inicio del proceso de compostaje, estas especies predominaron y al final no hubo presencia de ellas. De acuerdo con los resultados, valores altos de carbono orgánico las favorecen notablemente.
O. obesa, S. calcitrans, H. illucens y Physiphora sp, están asociadas positivamente con la CIC, altamente relacionado con el avance del proceso de compostaje, ya que da un indicio de la oxidación de la materia y lo relaciona, por tanto, con grupos funcionales altamente oxidados [5], en contraste con especies que estuvieron solo al inicio, como F. canicularis, C. fuscipes y M. domestica, que presentaron un efecto inverso con la variable.
F. canicularis, M. domestica, C. fuscipes y Desmometopa sp., están asociadas positivamente con la humedad. En contraste, S. calcitrans y H. illucens están asociadas con este parámetro de forma negativa.
En el eje dos, la CRA (0.6899) presenta correlación con O. Obesa., S. calcitrans y Coproica sp., donde la O. obesa es favorecida por el aumento de la variable, ya que las otras están correlacionadas negativamente (tabla 4).
2.4.2 Análisis microbiológicos
El factor de inflación fue menor a 20 (tabla 8), lo que indica que no hay colinearidad y que se puede continuar con el análisis, debido a que este factor da confiabilidad al análisis. Para lograr este factor se excluyeron los microorganismos totales, por su alta correlación con los microorganismos mesófilos.
En la tabla 9 se resumen los resultados del análisis de correspondencia canónica entre los microorganismos y las especies de Díptera. El valor propio del eje uno presentó un mayor peso (0.182) y las correlaciones para los dos primeros ejes fueron las más significativas. Los ejes uno y dos tuvieron una varianza acumulada para la relación especies-microorganismos de 89.3% con P < 0,05.
De acuerdo con la correlación (tabla 10), el proceso estuvo mediado por el eje uno con una fuerte incidencia de los microorganismos patógenos (0.6671). En el diagrama de ordenación (figura 4) se observa que dichos microorganismos estuvieron relacionados directamente con Chonocephalus sp., Drosophila sp., Physiphora sp., Desmometopa sp. y un taxón de la familia Tephritidae e inversamente con O. obesa.
De acuerdo con el análisis de componentes principales, sólo Drosophila sp. presenta realmente un efecto sobre el proceso de compostaje. De esta forma, se puede considerar a Drosophila sp. en estadio de larva, como indicador de la presencia de enterobacterias. También O. obesa se asocia en forma inversa con las enterobacterias, lo que indica que la presencia de esta especie desfavorece esta clase de microorganismos. Así, estas especies pueden ser consideradas indicadoras de la estabilidad del proceso.
En el eje tres, los microorganismos termófilos (0.5906) presentaron un peso parcial sobre el sistema de compostaje. Las especies que están correlacionadas positivamente con dichos microorganismos son S. calcitrans y H. illucens.
3. DISCUSIÓN
Este estudio permitió determinar una serie de taxas de Díptera que cumplen un fuerte papel en la descomposición de residuos, debido a que las larvas se alimentan de una gran variedad de desechos y, por tanto, suelen encontrarse en materia orgánica en descomposición.
No obstante, en su estadio adultos, especies como M. domestica, y F. canicularis están asociadas a las viviendas, normalmente alrededor de los focos luminosos. Por esta razón se les considera especies de importancia en asuntos de salud pública, debido a que son vectores mecánicos de gran cantidad de patógenos [40].
De estas especies nocivas se encontraron abundancias relativas máximas de 27% para la M. domestica y de 10% para F. canicularis, en la tercera semana de compostaje. Posteriormente ambas especies disminuyeron en el tiempo, mostrando que las mismas etapas del compostaje se encargan de erradicarlas del proceso.
En contraste, S. calcitrans, atraída por la presencia de compuestos volátiles como Dimetil trisulfuro, ácido butanoico y p-cresol [41] y favorecida por la humedad y la temperatura del sistema [42], predominó durante las dos primeras semanas y estuvo presente durante todo el proceso, con una marcada disminución en la última semana, lo que coincidió con Laoset al., [15], quienes aducen que a medida que el material esté libre de patógenos, disminuyen los insectos. Este hecho es importante, debido a que esta especie es vector de patógenos tales como la bacteria Enterobacter sakazakii, causante de enfermedades como meningitis, enterocolitis y sepsis, y Corynebacterium pseudotuberculosis, que ha infectado de tuberculosis principalmente a caballos.
Es importante destacar la dominancia de O. obesa durante el proceso, pues esta ha sido reportada reproduciéndose en retretes humanos y en desechos con alto contenido de humedad. Sin embargo, a pesar de ser considerada de importancia en salud pública, como vector mecánico de bacterias, es por otra parte considerada una especie benéfica, dado que las larvas son eficientes recicladores de pulpa de café y fuente de proteínas para alimento de ganado [43, 44]. Los adultos se alimentan de néctar de plantas, por lo que son considerados eficientes polinizadores. Es una especie de origen neotropical, aunque se la encuentra ampliamente distribuida a causa de su comportamiento sinantrópico [45]. En este estudio se encontró que las larvas se alimentaron eficientemente de RSU-sf, residuos que en gran parte estaban constituidos por cáscaras de frutas y restos de alimentos provenientes de viviendas. El efecto positivo de la larva de O. obesa sobre el proceso evidencia la importancia de promover su crecimiento.
H. illucens, al igual que O. obesa, es una fuente de proteína [43, 46]. Este hecho se debe aprovechar en la cría de aves, pues no se ha encontrado ningún reporte de esta especie como vector de enfermedades; los adultos, al no requerir alimento, no penetran en las viviendas, lo que reduce el riesgo de transmisión de enfermedades. El tamaño de la larva y los beneficios de H. illucens ameritan que esta especie sea promovida para el proceso de compostaje de residuos sólidos urbanos con separación en la fuente. Adicionalmente, se ha encontrado que a pesar de que coexistir con la M. domestica, hay situaciones en las que las larvas de la H. illucens pueden provocar una drástica reducción en el número de larvas de la M. domestica [46].
En lo que respecta a las variables fisicoquímicas, es importante resaltar que de acuerdo con el material de partida se tienen comportamientos cinéticos diferentes según la ecuación descrita [47], lo que indica que la ecuación se ajusta según el tipo de residuo. En general, la tendencia decreciente del CO es típica del proceso de compostaje, que muestra un CO de 29.31 % al cabo de la séptima semana, lo que representa un valor significativo del CO. Aplicando el anterior modelo se puede estimar el avance del contenido de CO de acuerdo con las etapas del compostaje.
El comportamiento del N se debe a la pérdida por volatilización [48], en especial durante las tres primeras semanas. Según el modelo, la tasa de pérdida de nitrógeno disminuyó a partir de la cuarta semana, lo que indica que el sistema se estaba estabilizando.
Debido a que los residuos sólidos urbanos son un material complejo, se espera que contengan péptidos, proteínas y aminoácidos; que liberen compuestos de amonio al sistema y aumenten el pH. Esto se observó en el proceso de compostaje, que generó un aumento del pH hasta estabilizarse en 9.1, valor dentro del rango sugerido por [18, 49], quienes asumen un valor de 6 a 9 como óptimo para evaluar la estabilidad de un compost.
Como se indicó, la humedad es un parámetro de control; es decir, que altos porcentajes de humedad conducen fácilmente a la putrefacción del material a compostar y vuelven más lento el sistema. A medida que transcurre el proceso se espera que la humedad disminuya debido a la toma de agua en la hidrólisis (Hogland et al., [50] ). Por tanto, las especies asociadas positivamente con este parámetro fueron favorecidas por la alta humedad y contribuyeron a que el compostaje no se convirtiera en un proceso anaeróbico, a pesar de la alta humedad. Es evidente que a medida que transcurrió el proceso disminuyó la humedad y, con esto, también las especies, en especial M. domestica, F. canicularis y C. fuscipes.
Para este proceso de compostaje, el sistema generó un producto con muy buenos CIC y CRA (59 cmol(+)kg-1, 220%, respectivamente), lo que permitirá aplicarlo fácilmente como enmienda del suelo para mejorar las características físicas sin afectar su textura.
El CIC estuvo muy relacionada no sólo con las especies que predominaron durante todo el proceso, como O. obesa, sino también con las que hicieron presencia en la última semana de compostaje, como fueron >S. calcitrans, H. illucen y Physiphora sp. Igualmente, el CRA como indicador de la porosidad del material estuvo correlacionado con Physiphora sp., H illucens y S. calcitrans; de ahí se deduce que dichas especies favorecieron la aireación del sistema.
La etapa termófila es muy importante, pues en ella muchos microorganismos mueren y se aduce que es allí donde los patógenos se reducen [50] con lo que se logra un producto sanitizado. En contraste, la presencia de S calcitrans fue favorecida por dicha etapa, lo cual lleva a sugerir que deben incrementarse los volteos para de esa manera poder controlar esta especie que es de alto impacto social. Adicionalmente, el aumento de temperatura desfavoreció la presencia M. dosmestica y F. canicularis.
Tephritidae y las especies Chonocephalus sp., Drosophila sp., Desmometopa sp. y Physiphora sp. presentaron una alta correlación con las enterobacterias. Por tanto, su presencia, en especial de las tres primeras especies, indica que aún no se ha logrado la estabilidad del proceso. A su vez, la ausencia de enterobacterias permite la presencia de O. obesa, fuertemente asociada a las últimas semanas del proceso y a los microrganismos mesófilos (figura 4).
REFERENCIAS
[1] A. Sæbø y F. Ferrini. The use of compost in urban green areas - A review for practical application.Urban Forestry & Urban Greening, vol. 4, no 3, pp. 159-169. Apr. 2006. [ Links ]
[2] D. C. Smith y J. C. Hughes. Changes in maturity indicators during the degradation of organic wastes subjected to simple composting procedures. Biology and fertility of soils, vol. 39, no 4, pp. 280-286, mar. 2004. [ Links ]
[3] J. M. Agnew y J. J. Leonard. The Physical Properties of Compost: Literature Review. Compost Science & Utilization, vol. 11, no 3, pp. 238-261, jul. 2003. [ Links ]
[4] S. Barringtonetal.,Effect of carbon source on compost nitrogen and carbon losses. Bioresource Technology, vol. 83, no 3, pp. 189-194. Jul. 2002. [ Links ]
[5] T. A. Butleret al., Compost Age and Simple Storage Effects on Maturity Indicators of Biosolids Compost. Journal of Environmental Quality, vol. 30, no 6, pp. 2141-2148, march. 2001. [ Links ]
[6] C. Crecchio et al., Short-term effects of municipal solid waste compost amendments on soil carbon and nitrogen content, some enzyme activities and genetic diversity. Biology and fertility of soils, vol. 34, no 5, pp. 311-318, nov. 2001. [ Links ]
[7] P. J. Stoffella y B. A. Kahn. Compost Utilization en Horticultural Cropping Systems. CRC Press LLC, USA. 2001, pp. 3-41. [ Links ]
[8] V. Sasek et al., Compost-mediated removal of polycyclic aromatic hydrocarbons from contaminated soil. Archives of environmental contamination and toxicology, vol. 44, no 3, pp. 336-342, apr. 2003. [ Links ]
[9] W. Borken et al., Changes in microbial and soil properties following compost treatment of degraded temperate forest soils. Soil Biology and Biochemistry, vol.34 no 3, pp. 403-412, mar. 2002. [ Links ]
[10] L. Thuriès et al., Biochemistry Composition and mineralization kinetic of organic input in a sandy soil. Soil biology & biochemistry, vol. 34 no 2, pp. 239-250, feb. 2002. [ Links ]
[11] C. Guerrero et al.,Effect of solid waste compost on microbiological and physical properties of a burnt forest soil in field experiments. Biology and Fertility of Soils, vol. 32, no 5, pp. 410-414, 2000. [ Links ]
[12] J. Breitung etal., Bioremediation of 2,4,6-trinitrotoluene-contaminated soils by two different aerated compost systems. Applied Microbiology and Biotechnology, vol.44 no 6, pp. 795-800, feb, 1996. [ Links ]
[13] I. Déportes et al., Hazard to man and the environment posed by the use of urban waste compost: a review. The Science of the Total Environment, vol. 172, no 2, pp. 197-222, nov. 1995. [ Links ]
[14] J. N. Cooper et al., How Resilient Are Microbial Communities to Temperature Changes During Composting? En: Microbiology of Composting, Insam H, Riddech N, Klammer S (eds.), Springer-Verlag Berlin Heidelberg. 2002. pp. 3-16. [ Links ]
[15] F. Laos et al.,Factors related to the attraction of flies at a biosolids composting facility (Bariloche, Argentina). The Science of the total environment, vol. 328, no 1-3, pp. 33-40, jul. 2004. [ Links ]
[16] A. Planas y C. Peláez. El compostaje de residuos agrícolas y ganaderos: Variables y procesos. Afinidad, vol. 58, no 492, pp. 93-103. 2001. [ Links ]
[17] C. Baffi et al., Determination of biological stability in compost: A comparison of methodologies. Soil Biology and Biochemistry, vol. 39, no 6, pp. 1284-1293. jun. 2007. [ Links ]
[18] D. Said-Pullicino et al., Changes in the chemical characteristics of water-extractable organic matter during composting and their influence on compost stability and maturity. Bioresource Technology, vol. 98 no 9, 1822-1831, jul. 2007. [ Links ]
[19] L. Wuet al.,Comparison of methods for evaluating stability and maturity of biosolids compost. Journal of Environmental Quality, vol. 29, no 2, pp. 424-429, mar. -apr. 2000. [ Links ]
[20] C. Mondini et al., Enzymatic activity as a parameter for the characterization of the composting process. Soil Biology & Biochemistry, 36 (10): 1587-1594, oct. 2004. [ Links ]
[21] E. B. De Carlo et al., Estudio de la Población Microbiana en las Etapas Iniciales del Compostaje. Revista Ceres, vol 48, no 280, pp. 699-715, 2001. [ Links ]
[22] A. C. Cunha Queda et al., Microbiological and Chemical Characterization of Composts at Different Levels of Maturity, with Evaluation of Phytotoxicity and Enzymatic Activities. En: Microbiology of Composting, Insam H. et al., (eds.), Springer-Verlag Berlin Heidelberg, 2002, pp. 345-355. [ Links ]
[23] G.L. Newton et al., Use of the soldier fly to control houses, reduce manure volume and recycle nutrients in layer and swine facilities. Proc. Nutr. Conf. Atlanta. 1992, 17-19. [ Links ]
[24] G. L. Newton et al., Soldier fly benefits: House fly control, Manure Volume Reduction and Manure Nutrient Recycling. Anual Report. 1995, pp. 1-9. [ Links ]
[25] D.C. Sheppard. House fly and lesser fly control utilizing the black soldier fly in manure management systems for caged laying hens. Environmental Entomology, vol. 12, no 5, pp. 1439-1442. 1983. [ Links ]
[26] Y. Y. Chio, y W. J. Chen. Production of the maggot protein reared with swine manure. National Science Council, vol. 10, pp. 677-682. 1982. [ Links ]
[27] C.V. Brooram et al., Manure as a sustrate for protein production via Hermetiaillucens larvae. En: Loehr. Food, Fetilizer and Agricultural Residuos, Proc Cornell Agric. Waste Management Conf. Ann. Arbor Sacience Publish. 1977. [ Links ]
[28] D. Grimaldi y M. S. Engel. Evolution of the Insects. 1a edición. Cambridge University, New York. 755 p. 2005. [ Links ]
[29] D. K. Yeates y B. M. Wiegmann. Congruence and controversy: toward a higher-level phylogeny of Diptera. Annual review of entomology, vol. 44, pp. 397-428, jan. 1999. [ Links ]
[30] J. H. Byrd y J. L. Castner. Insects of forensic importance. In: Byrd JH, Castner JL, editors. Forensic Entomology: The Utility of Arthropods in Legal Investigations., Florida: CRC Press USA. 2001, pp. 43-79. [ Links ]
[31] J. Haimi. Decomposer animals and bioremediation of soils. Environmental Pollution vol. 107, no 2, pp. 233-238, feb. 2000. [ Links ]
[32] Holdridge, L. R. Life zone ecology. Tropical Science Center. San José; Costa Rica. 149 p. 1967. [ Links ]
[33] T. M. E. C. C. 2001. Test Methods for the Examination of Composting and Compost. The United States Department of Agriculture and the United States, 2001. [ Links ]
[34] D. Borror et al., An Introduction to the study of Insects. Sixth edition, Harcourt Brace Janovich College Publishers. 876 p. 1992. [ Links ]
[35] J. F. McAlpine et al.,Manual of Nearctic Diptera (Monograph/Agriculture Canada; 27-28. Ottawa: Minister of Supply and Services, Canada, 1332 p. 1993. [ Links ]
[36] A. Peterson. Larvae Insects. An Introduction to Neartic Species. Fourt Edition. Part II. 416 p. 1960. [ Links ]
[37] F. Sterh. Immature Insects. Volume I and II. Kendall/Hunt. 754 p. (I), 975 p. (II). 1987. [ Links ]
[38] NTC 5167 - 2004. Abonos y fertilizantes, 2004. [ Links ]
[39] G. F. Huang et al., Effect of C/N on composting of pig manure with sawdust. Waste Management, vol. 24, no 8, pp. 805-813, jan. 2004. [ Links ]
[40] S.J. Spier.Color Atlas of Diseases and Disorders of the Horse - Knottenbelt, D.C., Pascoe, R.R. Edinburgh, Mosby. 432 pp. Veterinary Journal, vol. 168, no 3, pp. 229-229, nov. 2004. [ Links ]
[41] P. Jeanbourquiny P. M. Guerin. Sensory and behavioural responses of the stable fly Stomoxyscalcitrans to rumen volatiles. Medical and veterinary entomology, vol. 21, no 3, pp. 217-224, sep. 2007. [ Links ]
[42] C. Cruz-Vázquezet al.,Influence of temperature, humidity and rainfall on field population trend of Stomoxyscalcitrans (Diptera: Muscidae) in a semiarid climate in Mexico.Parasitologíalatinoamericana, vol. 59, no 3-4, pp. 99-103, jul. 2004. [ Links ]
[43] G. Lardé.Investigation on some factors affecting larval growth in a coffee-pulp bed. Biological Wastes, vol. 30, no 1, pp. 11-19, jan. 1989. [ Links ]
[44] G. Larde. Growth of Ornidia obesa (Diptera: Syrphidae) Larvae on decomposing coffee pulp. Biological Wastes, vol. 34 no 1, 73-76, jan. 1990. [ Links ]
[45] M. Báez. Datos sobre la distribución del género Ornidia en Venezuela (Diptera: Syrphidae). Bol. Entomol. Venez. N. S., vol.4, no 9, pp. 73-76, nov. 1985. [ Links ]
[46] M. Williams. Using the black soldier fly, Hermetia illucens, as a value-added tool for the management of swine manure. The animal and poultry waste Management Center, North Carolina state university, Raleigh, NC. 2005. [ Links ]
[47] S. Goyal et al., Chemical and biological changes during composting of different organic wastes and assessment of compost maturity. Bioresource Technology, vol. 96, no 14, pp. 1584-1591, sep. 2005. [ Links ]
[48] M. Fang et al., Co-composting of sewage sludge and coal fly ash: nutrient transformations. Bioresource Technology, vol. 67 no 1, pp. 19-24, jan. 1999. [ Links ]
[49] Y. Yamada y Y. Kawase. Aerobic composting of waste activated sludge: Kinetic analysis for microbiological reaction and oxygen consumption. Waste Management, vol. 26, no 1, pp. 49-61, jun. 2006. [ Links ]
[50] W. Hogland et al., Physical, chemistry and Biological Processes for optimizing descentralized composting. Compost Science & Utilization, vol. 11, no 4, pp. 330-336. 2003. [ Links ]
Recibido: 31/05/2010
Aceptado: 08/10/2010
























