INTRODUCCIÓN
En el primer trimestre del año 2020, las instituciones de educación superior en Colombia y el mundo se vieron abocadas a la adaptación de sus asignaturas presenciales con la modalidad de presencialidad remota a raíz de las medidas de aislamiento social para mitigar la propagación de la COVID-19. Además de los retos inherentes al desarrollo de la docencia en educación superior, el requerimiento de aislamiento social impone dificultades adicionales al proceso: primero, las prácticas pedagógicas deben mantener los canales de interacción con el estudiante con el objetivo de cumplir los propósitos formativos asociados a la preparación profesional y a la formación en competencias. Segundo, los ajustes metodológicos deben garantizar los estándares de calidad exigidos en circunstancias normales; y tercero, se deben implementar estrategias costo-efectivas que permitan una respuesta rápida a los cambios en los escenarios de enseñanza y aprendizaje.
En educación superior, el uso de las Tecnologías de la Información y las Comunicaciones (TIC) se ha contemplado como un instrumento estratégico para la innovación pedagógica en educación superior [1], [2]. En los últimos años, el uso de las TIC ha ganado gran relevancia en educación superior mediante el aprendizaje en línea. En el caso de programas presenciales, el aprendizaje en línea es aprovechado mediante diferentes estrategias tales como el aprendizaje híbrido (blended learning) o el aula invertida (flipped classroom). Diferentes trabajos han reconocido varias ventajas de estas estrategias, tales como la flexibilidad en los momentos para la realización de las actividades [3] y su compatibilidad con el aprendizaje centrado en el estudiante [4]. El caso particular del aula invertida ha demostrado gran potencial para mejorar la retención de los estudiantes [5], la comprensión de contenidos [6]y mejorar la calidad de la interacción estudiante-profesor [7].
A pesar de su potencial, el estudio y uso de estrategias de aula invertida en programas de pregrado se ha limitado principalmente al contexto en el cual existe posibilidad de interacción directa entre los sujetos de aprendizaje. En la literatura, las experiencias reportadas del uso del aula invertida se han centrado principalmente en escenarios en los que el aprendizaje en línea se puede completar con actividades presenciales [8]. Sin embargo, en el contexto actual de pandemia y aislamiento social, la identificación de estrategias y métodos que permitan la adaptación de las clases presenciales a la modalidad totalmente remota es una necesidad. Específicamente, es necesario realizar estudios para identificar las ventajas, desventajas y los recursos pedagógicos y tecnológicos necesarios para la implementación de diferentes estrategias de enseñanza y aprendizaje en la modalidad remota mediante TIC.
El objetivo de este trabajo es estudiar la percepción de estudiantes de pregrado en ingeniería al comparar la enseñanza remota mediante aula invertida con dos estrategias de enseñanza-aprendizaje presenciales: cátedra clásica y aprendizaje basado en proyectos. Para evaluar la percepción de los estudiantes se tienen en cuenta seis criterios: 1) comprensión y apropiación de conceptos teóricos, 2) formación disciplinar, 3) formación integral, 4) dedicación y carga académica, 5) interacción entre sujetos del proceso, y 6) aprendizaje activo. El estudio tiene lugar en el contexto del pregrado de ingeniería en una institución de educación superior pública en Colombia. Además del análisis respecto a los criterios mencionados, en este trabajo se hace especial énfasis en la descripción de las estrategias pedagógicas y herramientas tecnológicas adoptadas para la virtualización de los contenidos.
1. MATERIALES Y MÉTODOS
1.1 Metodología de evaluación
En esta sección se expone la metodología utilizada para la comparación del aula invertida como estrategia de enseñanza remota con estrategias presenciales tradicionales en un curso de pregrado de ingeniería. Este estudio se realizó en el marco de la asignatura de Tratamiento de Señales Discretas, materia de sexto semestre del programa de pregrado de Ingeniería Electrónica de una institución de educación superior en Colombia. En el proyecto educativo del programa, la asignatura tiene tres (3) créditos, con una dedicación semanal total de 9 horas distribuidas en 4 horas de tiempo de acompañamiento docente (TAD) y 5 horas de trabajo independiente (TI) por parte del estudiante. El curso tiene una duración de 16 semanas. La primera semana se utiliza para presentar las estrategias pedagógicas del curso y para acordar con los estudiantes el código de conducta que se aplicará en el desarrollo de la asignatura. De esta forma, se dedican 15 semanas para el desarrollo de los contenidos del curso.
Para el desarrollo de este estudio, el contenido temático de la asignatura se dividió en tres segmentos o “cortes”, de 5 semanas cada uno, para ser desarrollados de forma secuencial a lo largo del semestre (ver figura 1). Cada corte se desarrolló con una metodología distinta y de manera independiente a los demás cortes. Al final del curso, los estudiantes respondieron una encuesta de percepción centrada en diferentes aspectos del proceso de enseñanza-aprendizaje. Dado que el interés principal de este trabajo está en la percepción de los estudiantes sobre las diferentes estrategias de enseñanza-aprendizaje, la metodología presentada en la figura 1 sigue un diseño de cohorte, lo que garantiza que el estudio se hace sobre el mismo grupo de estudiantes para evitar problemas de sesgo de selección de la muestra de estudiantes.

Fuente: elaboración propia.
Figura 1 Metodología para evaluar percepción de los estudiantes. El estudio se realiza en tres fases secuenciales, cada una de las cuales implementa una metodología de enseñanza-aprendizaje distinta
A continuación, se describen cada una de las estrategias de enseñanza-aprendizaje consideradas en este trabajo, se presentan los criterios a evaluar en la encuesta de percepción y se exponen los detalles sobre la estrategia de virtualización mediante aula invertida.
1.2 Estrategias de enseñanza
En este trabajo se consideran tres escenarios distintos de enseñanza-aprendizaje: dos presenciales: cátedra clásica y aprendizaje basado en proyectos, y una estrategia adaptada para la presencialidad remota: aula invertida. Si bien al aula invertida es una estrategia originalmente desarrollada para clases presenciales [9], debido a su aprovechamiento de las TIC y a su modelo de gestión del trabajo independiente del estudiante, en este trabajo se seleccionó como estrategia para su adaptación al modelo de enseñanza remota.
1.2.1 Cátedra clásica
En este trabajo hemos adoptado el término de cátedra clásica para referirnos al modelo presencial centrado en el desarrollo de competencias cognitivas. El principal recurso de esta estrategia son las clases magistrales dirigidas por el profesor.
La primera fase de este estudio, correspondiente al modelo de cátedra clásica, se desarrolló mediante clases magistrales lideradas por el profesor, quien explica los conceptos en sesiones presenciales en las que los estudiantes pueden participar libremente para hacer preguntas y resolver dudas. Las clases tienen lugar en aulas en las que cada estudiante dispone de un computador con acceso a internet y a los recursos informáticos licenciados por la universidad. Las clases se complementan con talleres de aplicación que los estudiantes trabajan de forma autónoma y entregan en fechas previamente acordadas; así como con talleres de ejercicios teóricos de carácter opcional como preparación para la evaluación sumativa. Los principales instrumentos de evaluación son la revisión de algoritmos implementados por los estudiantes y un examen teórico sobre los contenidos revisados en clase.
1.2.2 Aprendizaje basado en proyectos
El aprendizaje basado en proyectos es un modelo de aprendizaje centrado en el estudiante, facilitado por el profesor [10]. En esta estrategia, los estudiantes adquieren un rol activo y se favorece la motivación académica. El aprendizaje basado en proyectos ha sido ampliamente estudiado en el contexto de la ingeniería y se reconoce por promover el desarrollo de competencias para el desenvolvimiento profesional [11], [12]. El método consiste en la realización de un proyecto habitualmente en grupo. Ese proyecto ha sido analizado previamente por el profesor para asegurarse de que el alumno tiene todo lo necesario para resolverlo y que en su resolución desarrollará todas las destrezas que se desea.
Para la implementación de la fase de aprendizaje basado en proyectos, en este estudio los estudiantes trabajan en grupos en la solución de un problema complejo que involucra la aplicación de los conceptos de la asignatura. El profesor organiza varias actividades que tienen como objetivo promover la reflexión sobre los procesos de aprendizaje y la interacción y discusión entre estudiantes. Las sesiones de clase se aprovechan también para discutir con el profesor alternativas de solución y dificultades que afrontan los estudiantes en el desarrollo del proyecto y la implementación de las soluciones planteadas. La evaluación del trabajo de los estudiantes tiene tres componentes que incluyen una autoevaluación, una actividad de coevaluación y una heteroevaluación.
1.2.3 Aula invertida
De manera resumida, la metodología de aula invertida tiene dos partes: 1) actividades de aprendizaje independiente mediadas por tecnología fuera del salón de clases y 2) sesiones interactivas de aprendizaje activo en las sesiones de clase [13]. Esta estrategia sigue un enfoque constructivista que busca aprovechar el tiempo de interacción directa entre los sujetos de aprendizaje para fomentar la discusión y construcción colectiva del conocimiento mediante actividades planificadas.
Para la implementación de la estrategia de aula invertida en este trabajo los estudiantes llevan a cabo la fase de aprendizaje independiente de forma asincrónica mediante material audiovisual previamente desarrollado por el profesor. Esta fase incluye además profundización mediante lecturas sugeridas por el profesor y talleres de ejercicios teóricos. Las actividades interactivas de aprendizaje corresponden a sesiones en los horarios de clases, las cuales se usan como escenario sincrónico para discusiones mediadas por el profesor. Los aspectos pedagógicos y técnicos de esta estrategia se presentan detalladamente en la sección 1.4.
1.3 Encuesta de percepción
Para evaluar la percepción de los estudiantes sobre las diferentes estrategias de enseñanza-aprendizaje estudiadas en este trabajo, se diseñó una encuesta para su aplicación al final del curso. Para el diseño de la encuesta se tuvieron en cuenta los seis criterios expuestos a continuación.
1.3.1 Comprensión y apropiación de conceptos teóricos
Algunos autores argumentan que una de las principales ventajas del aula invertida es que las actividades pasivas de adquisición de conceptos tienen lugar en el espacio pre-clase, mientras que el espacio en-clase se aprovecha para promover actividades de mayor carga cognitiva, como el análisis y la interpretación [14], [15]. Por este motivo, este aspecto busca evaluar la percepción de los estudiantes de su comprensión y apropiación sobre los conceptos teóricos relacionados con la asignatura.
1.3.2 Formación integral
Teniendo en cuenta que el proyecto institucional entiende a los estudiantes como “sujetos multidimensionales, con motivaciones, necesidades y comportamientos sociales y éticos, biológicos, afectivos y estéticos, cognitivos y tecnológicos, que asumen responsablemente el quehacer político y la relación con el medio ambiente, y que son capaces de comprender y contribuir a la construcción de una mejor calidad de vida propia y de los ciudadanos” [16], este aspecto está relacionado con en el desarrollo de competencias profesionales y ciudadanas y la existencia de espacios de reflexión sobre el quehacer del sujeto y su impacto en el entorno.
1.3.3 Formación disciplinar
En la literatura, algunos autores sugieren que el formato en línea es superior a los escenarios de enseñanza-aprendizaje tradicionales en lo referente al aprendizaje aplicado y, por lo tanto, tiene un mayor potencial para la transferencia de conocimiento [17]. Por esta razón, este aspecto busca evaluar la percepción del estudiante sobre la utilidad, idoneidad y aplicabilidad de los contenidos de la asignatura en el futuro profesional.
1.3.4 Dedicación y carga académica
Estudios recientes han sugerido que la transición de clases presenciales a la modalidad remota se traduce en una percepción de mayor carga de trabajo en los estudiantes [18].Por esta razón, este aspecto busca evaluar la percepción de los estudiantes sobre el trabajo y la dedicación requeridos para el desarrollo de las diferentes actividades propuestas y para alcanzar el grado de competencia deseado en los objetivos de aprendizaje en correspondencia con la carga académica programada de la asignatura.
1.3.5 Interacción entre sujetos del proceso
Uno de los principales elementos diferenciadores de las tres estrategias consideradas en este estudio se corresponde a los escenarios de interacción entre los sujetos del aprendizaje. Particularmente, para el caso del aprendizaje remoto mediante aula invertida, la ausencia de canales de interacción presenciales supone un importante reto para garantizar la calidad de la interacción [19]. Por este motivo, este aspecto se relaciona con la existencia de espacios de interacción oportunos e idóneos entre los sujetos de aprendizaje (interacción estudiante-estudiante y estudiante-profesor) que propicien el desarrollo de las competencias en el marco de la asignatura. La interacción entre sujetos incluye, pero no se limita, a los espacios de discusión con el profesor, tales como las tutorías, y al trabajo en equipo de los estudiantes.
1.3.6 Aprendizaje activo
En las últimas décadas, la educación superior ha visto un cambio de paradigma de un modelo centrado en los contenidos a un modelo centrado en el estudiante [20]. En este nuevo modelo, el aprendizaje activo se considera un pilar fundamental para promover el compromiso y participación del estudiante [21]. Por este motivo, este aspecto busca evaluar si la metodología promueve que el estudiante asuma un rol activo y participativo en el direccionamiento de su proceso de formación y la gestión de su aprendizaje.
1.4 Virtualización mediante aula invertida
Siguiendo la definición simplificada de aula invertida en [13], la figura 2 muestra un modelo de aula invertida en la que las sesiones de cátedra tradicional son reemplazadas por video-cátedras previamente preparadas por el docente. En el campo de la ingeniería electrónica, se han reportado experiencias exitosas de la aplicación de esta estrategia en cursos de control [22], máquinas eléctricas [23], circuitos [24], automatización [25] y redes de computadores [26], entre otros [27]. Sin embargo, las experiencias reportadas hasta la fecha corresponden a escenarios de enseñanza presencial o en los que la enseñanza online se ofrece como complemento mediante Blended learning [28]. Por lo tanto, en este trabajo, fue necesario adaptar la metodología para impartir un curso tradicionalmente desarrollado de forma presencial en la modalidad de enseñanza remota.
La figura 3 muestra la estructura del proceso educacional que se adoptó en este trabajo para la inversión del aula. Según esta estructura, se procedió a dividir los contenidos del curso en módulos semanales, cada uno compuesto por actividades desarrolladas en tres momentos: antes (pre-class), durante (in-class) y después de la clase (post-class). El diseño modular por semanas tiene dos objetivos: primero, garantizar que los estudiantes se exponen a los contenidos de la asignatura en microciclos de aprendizaje que incluyen actividades de estudio, reflexión, aplicación y evaluación. Esto a su vez tiene la expectativa de crear en el estudiante el hábito de realizar ciclos completos de aprendizaje que van desde la exposición a definiciones y convenciones básicas, pasan por la formulación de preguntas y reflexiones sobre los contenidos, y llegan hasta el desarrollo de soluciones a problemas de aplicación. Segundo, facilitar el proceso de adaptación del estudiante al nuevo formato de enseñanza mediante una estructura simple que se desarrolla de forma iterativa en cada módulo.

Fuente: elaboración propia.
Figura 3 Diseño conceptual para la virtualización mediante aula-invertida
Siguiendo el diseño descrito anteriormente, la tabla 1 muestra el listado de actividades y recursos implementados para la fase de aula invertida de este trabajo, según el tiempo de dedicación estimado, momento y tipo de aprendizaje. El curso se planea para que aproximadamente solo el 25 % de las actividades del estudiante se lleven a cabo de forma sincrónica. Aproximadamente el 50 % del tiempo de trabajo no requiere conexión a internet y corresponde a trabajo independiente.
Tabla 1 Planificación de dedicación de actividades de enseñanza-aprendizaje por módulo.
| Actividad | Momento | Aprendizaje | Dediación (h) |
|---|---|---|---|
| TAD | |||
| Video-cátedras | pre-class | pasivo | 1-2 |
| Consultas | In-class* | activo | 1 |
| Discusión de problemas | In-class* | activo | 1 |
| TI | |||
| Ejercicios teóricos | pre-class** | activo | 1-2 |
| Lecturas | pre-class** | pasivo | 1-2 |
| Problemas de aplicación† | pos-class** | activo | 1-2 |
| Ensayos† | pos-class** | activo | 1-2 |
| Evaluaciones | |||
| Evaluación | pos-class* | activo | 1 |
| Autoevaluación | pos-class | activo | 1 |
| Total | 8-12 |
TAD: tiempo de acompañamiento docente. TI: trabajo independiente. *Actividad síncrona en horarios y canales preestablecidos. **No requiere conexión a internet. †Los ensayos y los problemas de aplicación son mutuamente excluyentes.
Fuente: elaboración propia.
1.4.1 Video-cátedras
El objetivo de las video-cátedras es reemplazar a la cátedra de las clases tradicionales. En su versión más simple, las video-cátedras pueden entenderse como clases pregrabadas y puestas a disposición del estudiante para su posterior visualización. Sin embargo, pregrabar clases tradicionales sin el rediseño para su uso como material instruccional tiene importantes repercusiones en la efectividad y funcionalidad de éstas, así como en la motivación de los estudiantes [29].
1.4.2 Consultas
Las sesiones de consulta tienen lugar de forma sincrónica en los horarios asignados para clase. El objetivo de estas sesiones es resolver problemas e inquietudes de los estudiantes en las actividades pre-class. Uno de los principales retos de la presencialidad remota es motivar la participación de los estudiantes en las sesiones. Por este motivo, en este estudio se adoptó la estrategia de asignar espacios de consulta obligatorios por grupos pequeños de estudiantes (entre 4 y 6). Es decir, dentro del horario de clases, se asignan franjas de 15-20 minutos por grupo. Si bien las sesiones de consulta permanecen abiertas a todos los estudiantes, el llamado a lista se hace en las franjas designadas y cada estudiante interactúa de forma directa con el profesor. Para facilitar la comunicación, las sesiones de consulta se llevaron a cabo por la plataforma de videoconferencias Zoom.
1.4.3 Discusión de problemas
La discusión de problemas se lleva a cabo de forma asincrónica y tiene la participación del profesor y los estudiantes. Si bien la discusión de problemas se considera aquí como una actividad in-class, esta tiene lugar de forma asincrónica durante todo el módulo. La discusión de problemas se realizó mediante la plataforma de mensajería instantánea Discord, muy popular en la comunidad de gamers. Discord es una aplicación multiplataforma gratuita para mensajería de texto, voz y video que funciona como WhatsApp, pero sin necesidad de un número telefónico, lo cual permite preservar la privacidad de sus miembros. Las conversaciones en Discord se pueden agrupar por canales, lo cual facilita la organización en diferentes tópicos, por ejemplo, por módulo temático.
1.4.4 Ejercicios teóricos
Los ejercicios teóricos funcionan como herramienta para el afianzamiento de los contenidos de las video-cátedras, como mecanismo de preparación para la evaluación post-class del módulo y como estrategia para generar inquietudes y crear discusión en las sesiones in-class. En este curso se optó por proponer un conjunto de problemas con cinco puntos en cada módulo. Los cinco puntos incluyen dos ejercicios básicos, y tres ejercicios del tipo que aparecen típicamente en las evaluaciones teóricas. Los estudiantes deben resolver los ejercicios y subir las soluciones al aula virtual del curso. En cada módulo, se selecciona un grupo de estudiantes al azar cuyas soluciones serán revisadas y calificadas por el profesor.
1.4.5 Lecturas
Para cada módulo, el profesor recomienda una bibliografía para que el estudiante complemente su fundamentación a través de la lectura. En la selección de la bibliografía se hace especial énfasis en recursos que sean de libre acceso por parte de los estudiantes y que permita complementar y enriquecer el material de las video-cátedras.
1.4.6 Problemas de aplicación
Los problemas de aplicación tienen el objetivo de llevar a la práctica la teoría del curso mediante talleres de programación en la plataforma Matlab.
Cada taller consiste en un paquete que incluye un documento con instrucciones detalladas y archivos de soporte para el desarrollo de la actividad. Los talleres están diseñados de tal manera que permiten su calificación automática con base a las soluciones enviadas por los estudiantes. El diseño de talleres de calificación automática son una práctica común y cada vez más difundida en la virtualización de asignaturas de ingeniería con un componente de Software y han demostrado ser una herramienta eficaz para motivar a los estudiantes y para la aplicación práctica de conceptos teóricos [30-32]. Si bien esta actividad se considera post-class y la solución se entrega al final de cada módulo, todo el material de soporte se encuentra disponible desde el inicio del módulo para permitir su discusión en las sesiones de consulta in-class. Ensayos: algunos módulos incluyen la elaboración de ensayos por parte de los estudiantes en temas definidos por el profesor. La actividad de los ensayos es mutuamente excluyente con los problemas de aplicación. Es decir, los módulos de contenido predominantemente teórico incluyen la elaboración de ensayos, pero no problemas de aplicación y viceversa.
1.4.7 Evaluación
La evaluación tiene lugar una vez se han completado las actividades in- y pre-class. Consiste en una evaluación tipo test con 5 o más preguntas, diseñada para ser respondida en una hora de forma sincrónica. La evaluación se habilita dentro de un horario previamente acordado con los estudiantes y se califica automáticamente a través del aula virtual del curso.
2. RESULTADOS
La metodología descrita en la sección 2 se aplicó a un grupo de 46 estudiantes de Ingeniería Electrónica de la Universidad Industrial de Santander durante el segundo semestre de 2019. La fase correspondiente a la modalidad remota mediante aula invertida tuvo lugar durante las últimas 5 semanas del curso, del 24 de febrero al 27 de marzo de 2020. Al final del curso, a los estudiantes se les pidió llenar una encuesta de percepción anónima y voluntaria para comparar las diferentes metodologías de enseñanza-aprendizaje utilizadas durante el curso. En la encuesta participaron 36 estudiantes (19 hombres y 17 mujeres) con edades entre los 19 y 25 años (media 21.5 años). La figura 5 muestra los resultados sobre la metodología de preferencia, siendo el aula invertida la de mayor favorabilidad con el 75 %.
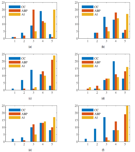
Para evaluar la percepción respecto a los seis aspectos expuestos en la sección 2, los estudiantes tuvieron la oportunidad de asignar su preferencia en la escala de Likert con cinco categorías de: muy en desacuerdo (1), en desacuerdo (2), neutral (3), de acuerdo (4) y muy de acuerdo (5). La tabla 2 muestra la categoría media para los seis criterios de interés en cada metodología. Para evaluar la diferencia en la percepción de los estudiantes sobre cada metodología según los criterios considerados se aplicó la prueba estadística de Mann-Whitney U [33]. La figura 6 muestra los resultados detallados de la encuesta.

Fuente: elaboración propia.
Figura 5 Metodología de preferencia de los estudiantes encuestados (N = 36). CC: Cátedra clásica, ABP: Aprendizaje basado en proyectos. AI: Aula invertida
Tabla 2 Calificación media de las estrategias de enseñanza-aprendizaje estudiadas según diferentes criterios.
| Criterio | CC | ABP | AI |
|---|---|---|---|
| Comprensión y apropiación de conceptos | 4** | 3** | 5 |
| Formación integral | 3** | 4** | 4 |
| Formación disciplinar | 3** | 5 | 5 |
| Dedicación y carga académica | 4 | 4 | 4 |
| Interacción entre sujetos del proceso | 4** | 4* | 4 |
| Aprendizaje activo | 3** | 5* | 5 |
| Media | 3.5 | 4.0 | 4.5 |
CC: Cátedra clásica, ABP: Aprendizaje basado en proyectos. AI: Aula invertida. La significancia estadística de las diferencias se evaluó con la prueba Mann-Whitney U para p<0.01 (**) y p<0.05 (*) respecto a la estrategia de aula invertida
Fuente: elaboración propia.

Fuente: elaboración propia.
Figura 6 Resultados de la encuesta (N = 36). Eje x: escala de Likert. (a) Comprensión y apropiación de conceptos, (b) Formación integral, (c) Formación disciplinar, (d) Dedicación y carga académica, (e) Interacción entre sujetos del proceso. (f) Aprendizaje activo. CC: Cátedra clásica, ABP: Aprendizaje basado en proyectos. AI: Aula invertida
3. DISCUSIÓN
Respecto a la cátedra clásica, los resultados de la tabla 2 muestran que la favorabilidad del grupo de estudiantes entrevistados es mayor hacia la metodología de aula invertida, con resultados estadísticamente significativos (p <0.05) para los criterios de comprensión y apropiación de conceptos teóricos, formación integral, formación disciplinar y aprendizaje activo. Estos resultados son consistentes con un meta-análisis reciente que sugiere que, en programas presenciales, el aula invertida está asociada a un incremento en el desempeño y la motivación de los estudiantes [34]. Estos resultados son también consistentes con estudios que sugieren que el aula invertida puede resultar en mejores resultados de aprendizaje cuando en su implementación se promueve el aprendizaje activo y centrado en el estudiante [35]. En el contexto de la pandemia, nuestros resultados son también consistentes con experiencias recientes que sugieren que la estrategia de aula invertida mejora la percepción y efectividad de la enseñanza en línea [36].
Respecto al aprendizaje basado en proyectos, la mayor favorabilidad hacia el aula invertida es estadísticamente significativa en el criterio de comprensión y apropiación de conceptos teóricos. En la literatura, son pocos los estudios que comparan el aula invertida con el aprendizaje basado en proyectos. En cambio, la mayoría de los trabajos que incluyen estas dos modalidades usualmente involucran la implementación del aprendizaje basado en proyectos mediante el aula invertida (e.g., [37, 38]). En este sentido, los resultados de este trabajo representan un importante antecedente para la comparación de estas dos estrategias consideradas de forma independiente.
Para ninguno de los criterios estudiados, la metodología con aula invertida tiene una favorabilidad menor que las otras estrategias consideradas. En general, las tendencias observadas en la figura 6 son consistentes con los resultados de la tabla 2, con una importante observación: para la estrategia con aula invertida se observa una tendencia de percepción positiva monótonamente creciente en todos los criterios. Esta tendencia monotónica es exclusiva del aula invertida en los criterios de comprensión y apropiación de conceptos teóricos, formación integral y en interacción entre sujetos del proceso.
Como referencia, la tabla 3 muestra 5 comentarios seleccionados aleatoriamente entre los recibidos por los estudiantes cuando se les pidió justificar su preferencia por alguna de las metodologías consideradas en el estudio. En general se observan comentarios positivos hacia la metodología de aula invertida (hacia la que algunos estudiantes se refieren como Blended learning). Es de destacar el primer comentario en la tabla, donde un estudiante expresa su preferencia por el formato de cátedra clásica, debido a la falta de familiaridad o dificultades con las plataformas tecnológicas. Las limitaciones y dificultades asociadas al uso de la tecnología son una preocupación recurrente en la implementación de estrategias de enseñanza remota.
Tabla 3 Comentarios de los estudiantes
| El aprendizaje por medio de una cátedra presencial se hace más fácil para el estudiante, ya que por medio de plataformas no se está acostumbrado y es como si uno estuviera estudiando a larga distancia, razón por la cual estamos es haciendo un pregrado. |
| Tengo una preferencia por el blended learning debido a que fue un método mucho más amigable, con el que pude aprender un poco más de la materia. |
| La metodología blended learning me parece muy apropiada, ya que uno como estudiante se pone sus horarios y se exige más para entender y sacar adelante la asignatura, con los videos subidos por el profesor se ayuda mucho más para entender con facilidad cada tema, y con el proyecto se pone en práctica lo aprendido de forma teórica y quedan más claros los temas para ser luego evaluados por el profesor. |
| Me parece muy bueno el blended learning, queda muy bien aprendida la materia uniendo técnica y teoría que hace una educación más integral, el único aspecto a revisar sería que necesita mayor dedicación en tiempo para la asignatura. |
| La cátedraclásica pienso que ya debería ser dejada a un lado, y no irse directamente al extremo de solo proyectos, sin fundamento teórico no hay experiencia con el tema. Ahora bien, ya que subjetivamente me inclino hacia el blended learning, se debería hacer un análisis un poco más profundo de las preguntas de la anterior encuesta, tales como ese tiempo n en horas de la asignatura, bien dividido entre el tiempo que se le dedica al proyecto, y el tiempo que se le dedica a la teoría. Darle más importancia al proyecto en términos de porcentaje o darle más importancia a lo teórico en términos de porcentaje a criterio personal es un error, el interés mío como estudiante siempre será ver en la vida real como es que funciona este o aquel tema, el generar más porcentaje en el uno o en el otro, solo causa una pérdida de interés por el de menor porcentaje. |
Fuente: elaboración propia.
Los resultados de este trabajo sugieren que la adaptación del aula invertida para la enseñanza remota puede considerarse como una alternativa que, en términos relativos, tiene una buena percepción por parte de los estudiantes. El principal reto corresponde a la correcta integración y uso de las herramientas tecnológicas; y el alto costo en horas-hombre requeridas para el diseño e implementación de los recursos. Además del estudio sobre la percepción de los estudiantes, este trabajo presentó los criterios y estrategias de diseño para la adaptación de contenidos presenciales a la modalidad de presencialidad remota. Los resultados presentados en este trabajo corresponden a un estudio de cohorte secuencial en el que las tres estrategias son evaluadas sobre el mismo grupo de estudiantes en diferentes momentos del curso. Este diseño tiene la ventaja de que evita sesgos muestrales, ya que las tres estrategias son aplicadas en la misma muestra de la población. Sin embargo, una limitación de esta metodología es que los contenidos temáticos cubiertos con cada una de las estrategias de enseñanza aprendizaje consideradas en el estudio son distintos. Esto puede influir en la percepción de los estudiantes.
4. CONCLUSIONES
En este trabajo se comparó el uso del aula invertida como estrategia para la enseñanza remota con dos estrategias de enseñanza presencial: cátedra clásica y aprendizaje basado en proyectos. Para evaluar la percepción de los estudiantes sobre las ventajas y desventajas de cada estrategia en un curso de pregrado de ingeniería en una institución de educación pública en Colombia se realizó una encuesta considerando seis aspectos: la comprensión y apropiación de conceptos teóricos, formación integral, formación disciplinar, dedicación y carga académica, interacción entre sujetos del proceso y aprendizaje activo.
Usando una escala de Likert, los resultados globales de la encuesta en una muestra de 36 estudiantes sugieren una preferencia por el formato de enseñanza remota mediante aula invertida con una media de 4.5, frente al aprendizaje basado en proyectos y la cátedra clásica, con medias de 4.0 y 3.5, respectivamente. Respecto a cada criterio, la enseñanza remota mediante aula invertida tuvo una calificación igual o superior a las otras dos estrategias. Respecto a la cátedra clásica, la metodología de aula invertida fue evaluada positivamente con diferencias estadísticamente significativas (Mann- Whitney U test, p<0.05) en los criterios de comprensión y apropiación de conceptos teóricos, formación integral, formación disciplinar y aprendizaje activo. Respecto al aprendizaje basado en proyectos, las diferencias fueron significativas respecto al criterio de comprensión y apropiación de conceptos teóricos.















