Services on Demand
Journal
Article
Indicators
-
Cited by SciELO -
Access statistics
Related links
-
Cited by Google -
Similars in
SciELO -
Similars in Google
Share
Biotecnología en el Sector Agropecuario y Agroindustrial
Print version ISSN 1692-3561
Rev.Bio.Agro vol.6 no.2 Popayán Jul./Dec. 2008
CONSTRUCCIÓN DE MODELOS SEMIFÍSICOS DE BASE FENOMENOLÓGICA. CASO PROCESO DE FERMENTACIÓN
BUILDING PHENOMENOLOGICAL BASED SEMI-PHYSICAL MODELS. FERMENTATION PROCESS CASE
CÉSAR AUGUSTO GÓMEZ1, YUDY ALEXANDRA CALDERÓN2 Y HERNÁN ÁLVAREZ3
1 Escuela de Procesos y Energía. Facultad de Minas. Grupo de Investigación en Automática (GAUNAL) Universidad Nacional de Colombia, Sede Medellín
2 Escuela de Procesos y Energía. Facultad de Minas. Universidad Nacional de Colombia, Sede Medellín
3 Escuela de Procesos y Energía. Facultad de Minas. Grupo de Investigación en Automática (GAUNAL) Universidad Nacional de Colombia, Sede Medellín
Correspondencia: Hernán Álvarez. E-mail: hdalvare@unal.edu.co
Recibido para evaluación: Febrero 12 de 2008. Aprobado para publicación: Junio 23 de 2008
RESUMEN
Este trabajo presenta un método para la construcción de Modelos Semifisicos de Base Fenomenológica (MSBF). El método se basa en los fenómenos de transporte, tránsito, transmisión o transferencia, y en el principio de conservación. Se da una descripción detallada de los pasos del método propuesto. Luego se aplica el método en la construcción de un modelo que describe el comportamiento de cinco dinámicas (volumen, biomasa, sustrato, producto y temperatura) en un proceso de fermentación en continuo. La simulación muestra que el modelo obtenido puede predecir de forma adecuada el comportamiento dinámico de dicho bioproceso.
PALABRAS CLAVE
Modelado, proceso de fermentación, modelos semifísicos, dinámicas de proceso.
ABSTRACT
This work presents a method for building Phenomenological Based Semiphysical Models (PBSM). The method is based on transport, transfer, transmission or transit phenomena and conservation principle. A detailed description of proposed method steps is given. Next, the method is applied to attaining a model for describing the behavior of five dynamics (volume, biomass, substrate, product and temperature) of a continuous fermentation process. Model simulation shows that obtained model can predict dynamic performance of real process adequately.
KEYWORDS
Modeling, fermentation process, semiphysical models, process dynamics.
INTRODUCCIÓN
El uso intensivo de modelos en la ingeniería moderna es más que evidente. Los avances en la capacidad de computación han catapultado el desarrollo de modelos de proceso cada vez más detallados y precisos, que luego se utilizan en diseño, optimización, control y diagnóstico de fallas, entre otras tareas. Entre las tres grandes familias de modelos (fenomenológicos, empíricos y semifísicos), la facilidad de obtención de los modelos empíricos (basados solo en datos del proceso), ocultó posibilidades importantes de las otras dos familias de modelos. De otro lado, el requisito del conocimiento detallado de todos los fenómenos, ha hecho que los modelos fenomenológicos sean escasos en ingeniería, y que los existentes, estén confinados solo a centros de investigación especializada. La tercera familia (modelos semifísicos), solo empezó a demostrar sus verdaderas utilidades hasta que la potencia de cómputo alcanzó capacidad suficiente para resolver numéricamente sistemas de varias ecuaciones diferenciales y algebraicas simultáneamente. Sin embargo, aunque la literatura entrega algunos procedimientos para la construcción de esos modelos (fenomenológicos y semifísicos de base fenomenológica), tales procedimientos no son lo suficientemente explícitos para su aplicación inmediata. Siempre se dan algunos pasos soportados en la heurística del modelador, sin que exista manera para un ingeniero que apenas está iniciando su vida profesional (industrial o académica) de sobrepasar dicho escollo. En tal sentido, a pesar de la demostrada alta utilidad de los Modelos semifísicos de Base Fenomenológica (MSBF), todavía su obtención sigue estando restringida a algunos investigadores e ingenieros de proceso con entrenamiento para tal labor.
La construcción de un MSBF resulta la mayoría de las veces una tarea laboriosa, por lo que un método para su construcción, permite al investigador abordar su problema de una forma más organizada y sin temor a perderse en una maraña de expresiones matemáticas que pueden hacer su trabajo más difícil. Como característica fundamental del método que se describe en este trabajo, debe destacarse su capacidad para ser utilizado por un ingeniero que no es un experto en el proceso que modela. Basta con conocer la operación del proceso y contar con las bases de la ingeniería de procesos (termodinámica, fenómenos de transporte y operaciones unitarias), para que el procedimiento propuesto permita producir un MSBF útil. Como ejemplo, el método propuesto se utiliza para obtener un modelo del proceso de fermentación de glucosa en continuo, para la producción de alcohol etílico. El fin del modelo obtenido, es la optimización de la operación y el control del proceso. En tal sentido, el MSBF obtenido, no pretende ser un modelo explicativo sino uno descriptivo, de modo que se puede luego utilizar en el escalado del proceso [1].
MÉTODO PARA LA CONSTRUCCIÓN DE UN MSBF
Un modelo es un conjunto de elementos de representación de información que puestos juntos replican las características más relevantes (o de interés) de un proceso o sistema real. Todo modelo posee estructura y parámetros. La estructura es el conjunto de relaciones entre las partes del modelo, mientras que los parámetros son los valores numéricos o simbólicos que modifican o gradan las partes del modelo en su interrelación.
Un MSBF es una estructura matemática que se obtiene con base en la fenomenología subyacente al proceso que se estudia. La fenomenología se basa en los fenómenos de transporte, tránsito, transmisión o transferencia, y en el principio de conservación de cualquier propiedad balanceable. El transporte, tránsito, transmisión o transferencia se refiere a como se mueve o pasa a través de una superficie cualquier "entidad z"que pueda cuantificarse como
. Dicho fenómeno sigue la ley de gradiente, que se formula a través de tres términos: fuerza impulsora, resistencia al flujo de la entidad z y flujo neto producido. Debe destacarse aquí que el flujo neto es también un diferencial respecto al tiempo. Sin embargo, su interpretación es la de un flujo y no la de un cambio de una propiedad
en un volumen o espacio dado (sistema de proceso).

Aunque los gradientes pueden tener múltiples expresiones para su cálculo, dos de las más usadas son:

La primera constituye la diferencia entre el valor de una propiedad en la entrada y la salida del sistema de proceso. La segunda indica la diferencia entre el valor de una propiedad en el equilibrio o saturación (*) y la propiedad en la salida del sistema de proceso. Ambas asumen agitación perfecta al interior del sistema de proceso, de ahí que se pueda tomar el valor de la propiedad en la salida como representación de la propiedad en el interior del sistema de proceso.
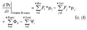
Por su parte, el principio de conservación dará cuenta del cambio de la propiedad en el interior del sistema de proceso. La forma genérica de dicho principio es:

Con Pr la propiedad balanceable de interés, Fioj flujo de entrada o salida, πioj proporción en la que la propiedad está en el flujo, Φk velocidad de aparición de Pr en la k-ésima fuente y Ψl la velocidad de consumo de Pr en el l-ésimo sumidero.
Por lo general en procesos químicos y biotecnológicos, las propiedades balanceables son la materia y la energía, involucradas en al proceso. Mediante balances de materia, energía (térmica) y cantidad de movimiento, se pueden obtener y relacionar las variables más significativas del proceso (los estados en el sentido de (Kalman, 1960) [2]). La universalidad del principio de conservación, le da a la estructura del MSBF un fundamento fenomenológico fuerte, además de dotarlo de características muy interesantes. Obviamente, la estructura del modelo se debe complementar con ecuaciones para los parámetros del modelo. Tales ecuaciones, denominadas ecuaciones constitutivas, por lo general hacen referencia a condiciones cinéticas o a fenómenos de transporte en el proceso. La mayoría de las veces las ecuaciones constitutivas resultan de carácter empírico (correlaciones desde datos experimentales).
El método que se propone en este trabajo parte de la base que un problema de modelado puede formularse con los pasos formales de un algoritmo [3]:
Dado:
- Un "Sistema de proceso".
- Un objetivo para el modelado.
- Un criterio de validación.
Encontrar:
-
Un modelo para el "Sistema de Proceso".
De acuerdo con un método objetivo y racional, que confine la subjetividad del que modela a la mera intencionalidad del modelo.
Aparecen cuatro conceptos básicos, que deben definirse con claridad para que el método sea claro para todos los lectores:
Sistema de Proceso. Es una abstracción del proceso a la manera de un sistema, con lo cual se pueden aplicar al proceso todas las herramientas de representación y análisis de sistemas matemáticos existentes [3]. Para entender esta abstracción o vista que el modelador tiene del proceso, brevemente dos definiciones complementarias. Proceso: grupo de operaciones o tratamientos de materia, energía o información, organizado de acuerdo con un arreglo dado (estructura), con el fin de obtener un producto de características específicas, que resulta de la interacción (parámetros funcionales) de las partes del proceso. Sistema: conjunto de reglas, principios, métodos, técnicas o cosas, ordenadas con arreglo a una ley (estructura) y para una finalidad determinada o función común (salida del sistema), que resulta de la interacción parcial (parámetros funcionales) de dichos elementos.
Objetivo para el modelado. Es la intencionalidad de quien modela, respecto de al menos una semejanza que quiere preservar entre el objeto real (proceso) y el objeto práctico-empírico (Modelo o Sistema). Normalmente tal objetivo se expresa en el deseo de "predecir" (usando el modelo) el comportamiento de al menos una variable del objeto real, ante cambios en una o más de sus variables de entrada o internas. El uso del modelo se funde con el objetivo para el Modelado, aunque el uso impone luego restricciones fuertes para la validación del modelo.
Criterio de validación. Al menos una manera de probar la fidelidad del modelo respecto de la semejanza tomada entre objeto Real (proceso) y objeto práctico (sistema=modelo). Si no existe, no habrá manera de darle al modelo legalidad ante sus potenciales usuarios. La validación da al modelo existencia en una comunidad, pero no lo hace poseedor de la verdad sobre el objeto real y mucho menos sobre toda la verdad: "ningún modelo es bueno, pero alguno sirve".
Finalmente, el aspecto que el algoritmo da como complemento final es el procedimiento de modelado. El que sigue, es el propuesto en el presente trabajo:
-
Elaborar una Descripción Verbal y un Diagrama de Flujo de Proceso que se complementen. Este paso indica la construcción de forma escrita el objeto de estudio, con todas sus características. El texto debe contener una descripción fiel de lo que ocurre en el proceso y de las características más importantes dependiendo del objetivo del modelo, de forma que cualquier persona que lo lea pueda entender como es el proceso. Si esto se logra, es posible armar un diagrama de Flujo del proceso que esté acorde con lo que se quiere modelar.
-
Fijar un Nivel de Detalle para el Modelo, de acuerdo con su utilización: ¿Qué preguntas contestará el modelo?. Para este paso se tienen dos insumos: las características del proceso y el resultado que se espera que el modelo entregue. Las características pueden ampliarse para abarcar el nivel de detalle perceptible en el tratamiento del proceso como un sistema. Se debe revisar si existe homogeneidad en el sistema, o regiones que son homogéneas con el fin de identificar posibles discretizaciones del sistema. El segundo insumo es el objetivo del modelo, que define variables e interacciones de mayor importancia que otras (que muy posiblemente deban descartarse). El nivel de detalle hace alusión a los alcances que se quieren del modelo teniendo en cuenta las características importantes del sistema y el deseo del investigador.
-
Definir tantos Sistemas de Proceso sobre el Proceso que se modelará como los exija el Nivel de Detalle. Por medio de un análisis de los resultados anteriores se debe definir que porción del proceso se tomará como sistema a tratar. Se definen por tanto las fronteras de tal sistema, lo que permite visualizar mejor los balances aplicables y el tipo de interacciones que se dan en las fronteras. Las siguientes dos consideraciones pueden ayudar en la identificación de sistemas de proceso:
-
Buscar separaciones físicas de proceso tales como paredes, membranas, etc.
-
Buscar la existencia de diferentes fases de proceso.
-
Aplicar el Principio de Conservación sobre cada uno de los Sistemas de Proceso. Se trata de plantear balances de alguna propiedad en el sistema (en procesos masa, energía (térmica) y cantidad de movimiento). Se sugiere tomar para cada sistema de proceso al menos los siguientes balances:
-
Total de masa, si existe acumulación detectable o significativa. La masa total en el sistema de proceso puede luego reescribirse en términos de variables de proceso como presión para gases o vapores o nivel para líquidos, sólidos o lechadas.
-
Por componente, si al menos una sustancia está cambiando. Si existen dos o más sustancias que cambian, debe buscarse una relación entre ellas o formular un balance para cada una.
-
De energía general, que puede ser tomado desde al menos dos sistemas de proceso: el que entrega energía y el que la recibe.
-
Definir los parámetros, las variables y las constantes conocidas en cada Sistema de Proceso.
-
Hallar ecuaciones constitutivas que permitan calcular el mayor número de parámetros en cada Sistema de Proceso. Se trata de encontrar expresiones que describan los parámetros del modelo de forma que se cumpla con el objetivo y el nivel de detalle del mismo. Recuérdese que todas las ecuaciones del modelo deben escribirse en un orden que permita luego la formulación de la solución del sistema de ecuaciones.
-
Verificar los Grados de Libertad del modelo (GL= # Ecuaciones - # Incógnitas). Si los GL del modelo matemático en cada sistema de proceso no se cumplen, identifique parámetros desde datos experimentales hasta que los grados de libertad (GL) del modelo, sean cero.
Verificar que todas las suposiciones hechas para la deducción de las ecuaciones de balance son razonables y están de acuerdo con el proceso real.
EJEMPLO DE APLICACIÓN DEL MÉTODO: MODELO DE UNA FERMENTACIÓN ALCOHÓLICA EN CONTINUO.
A continuación se recorren los pasos enunciados previamente para el método propuesto, pero tomando un proceso de fermentación alcohólica en continuo como ejemplo.
Descripción. Un jarabe glucosado de banano proveniente de un tratamiento de hidrólisis, es procesado para obtener etanol por medio de una fermentación con la levadura Saccharomyces cereviciae. El jarabe se puede obtener a través de dos líneas de proceso, simultáneas o individuales: i) hidrólisis ácida del fruto, ii) hidrólisis enzimática del material lignocelulósico de la planta de banano. El jarabe se complementa con fosfatos, sales de potasio y fuentes de nitrógeno, cofactores de la ruta metabólica por la cual la levadura convierte en fase líquida la glucosa a etanol y CO2.
La fermentación se lleva a cabo en un reactor cilíndrico de acero inoxidable, cerrado y enchaquetado, que se agita mediante una turbina tipo Rushton (ver Figura 1). Esta clase de agitación produce flujos axiales y radiales que garantizan la homogeneidad del sistema. El reactor es inoculado en el arranque con la levadura en su etapa más activa de crecimiento exponencial. Inocular la levadura en esta etapa de crecimiento garantiza las mejores condiciones para la producción de etanol. Al comienzo del proceso la producción de CO2 desplaza el aire presente, garantizando las condiciones anaerobias propias de la fermentación de etanol. El reactor opera en continuo con un flujo de alimentación del jarabe y renovación de células cuando se presente pérdida de viabilidad de estas. El reactor tiene dos corrientes de salida: una en fase líquida formada por el medio de fermentación residual, levadura y etanol, y la otra en fase gaseosa, principalmente formada por CO2 y vapor de agua. las condiciones de operación para la temperatura, pH y nivel de agitación en el proceso, se establecen de acuerdo al metabolismo de la levadura cuando produce etanol a partir de glucosa.

Nivel de detalle. El siguiente modelo tiene por objetivo predecir las dinámicas de volumen, concentración de biomasa, concentración de sustrato, concentración de producto y temperatura, tomadas como las variables más importantes (de interés) del bioproceso. De este modo, el modelo pueda usarse para el control de la fermentación, además de resultar un modelo lo suficientemente descriptivo como para abordar el problema de ingeniería. Esto permite analizar el proceso desde un nivel macroscópicamente, es decir que no hay una discretización del sistema de proceso a modelar (fluido en fase líquida dentro del biorreactor). Esto se puede asumir, sin pérdida de validez, por el uso de un reactor perfectamente agitado (CSTR), en el cual la agitación debe ser la suficiente para asegurar que una pequeña porción de volumen del caldo fermentativo es exactamente igual a otra porción diferente. Adicionalmente, se considera que el sistema es homogéneo, es decir que no hay una diferenciación entre los sólidos (la levadura) y el líquido, tomándolos como si estuvieran en una misma fase (líquida).
Definición de sistemas del proceso. Se pueden tomar tres sistemas de proceso: i) Fluido contenido en la chaqueta, ii) Fluido contenido dentro del reactor, y iii) Vapor y gases contenidos dentro del reactor. El sistema de proceso asociado con el fluido térmico en la chaqueta, se asume con una respuesta dinámica tan rápida, comparada con la respuesta del interior del reactor (líquido y vapores-gases), que se puede formular su comportamiento estático (con una ecuación algebraica). Por su parte, el sistema de proceso que se toma en la fase vapor-gas del interior del reactor, tampoco se modela, bajo dos supuestos: la masa de gas-vapor es muy pequeña comparada con la del líquido dentro del reactor, y el equilibrio térmico entre las fases es inmediato, por el bajo volumen del gas-vapor dentro del reactor. Por todo lo anterior, el único sistema de proceso que se toma para el análisis en este trabajo es el fluido dentro del reactor, limitado por las paredes del tanque, la frontera con la fase gaseosa dentro del reactor y la fase líquida que entra y sale del reactor por las tuberías. A este fluido se le conoce como el caldo de fermentación.
Aplicación del principio de conservación en el Sistema de Proceso. Por el supuesto de CSTR, las propiedades y concentraciones de cualquier especie del caldo son iguales en cualquier punto dentro del biorreactor, incluyendo la salida del mismo. Un supuesto que no es demasiado restrictivo es considerar que propiedades como la densidad, el calor específico y la viscosidad del caldo son constantes. Esto resulta real, puesto que los procesos industriales de fermentación industrial se mueven dentro de intervalos de operación pequeños. Teniendo en cuenta las consideraciones anteriores, se escriben los balances para el sistema de proceso seleccionado como representativo del biorreactor (líquido interior del tanque):
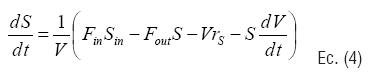
Balance Total de Masa:

Balance por Componente Biomasa:

Balance por Componente Producto:

Balance por Componente Sustrato:

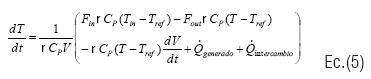
Balance General de Energía:

Definición de parámetros, variables y constantes. Para este modelo en particular tendremos parámetros de diseño (VT, AT) y parámetros asociados con propiedades de los fluidos, tales como (Ρ , CΡ). Aparecen variables ligadas con las condiciones operativas del proceso (Fin, Xin, Sin, Pin, Tin). Los parámetros que requieren ecuaciones constitutivas para su cálculo están ligados a la cinética del proceso (rX, rP, rS, Qgenerado).
Ecuaciones constitutivas. A continuación se muestran las expresiones que representan los parámetros a calcular en el modelo:
Cinética de crecimiento. Se utiliza una cinética específica para describir el fenómeno. Tal cinética contiene una parte de crecimiento neto y otra parte de muerte [4]. En este caso la muerte del microorganismo debe describir su pérdida de viabilidad:

Cinética de producción. Se considera que el proceso de producción de etanol es de tipo mixto, es decir que hay una producción neta por el crecimiento del microorganismo y una producción por el mantenimiento. Para describir este fenómeno se propone el uso de la ecuación de Luedeking-Piret [5].

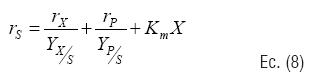
Cinética de consumo de sustrato. El sustrato consumido por la levadura tiene varias finalidades. Una parte se asimila para producir los componentes de la biomasa y poder crecer. Otra parte se utiliza para producir el etanol. Finalmente, otra parte sirve para realizar procesos como el transporte de la célula o la reparación de componentes en la biomasa. Estos tres efectos son resumidos en la siguiente expresión.

En la cual Y indica el rendimiento de biomasa ó producto por sustrato consumido y Km es la constante de mantenimiento.
Velocidad específica de crecimiento. Para describir el crecimiento de la levadura se utiliza una expresión cinética tipo Monod, completada con algunos términos para describir los efectos de inhibición por altas concentraciones de sustrato, biomasa y producto. La siguiente ecuación, propuesta por Atala et al. [6], cumple con estos postulados:

Velocidad específica de muerte. Se consideró que la muerte del microorganismo se debe principalmente a los efectos de estrés por la agitación en el reactor y a muerte natural por envejecimiento de la levadura [7], [8]. Para representar este efecto se utilizó de forma análoga el modelo de Croughan [9], en el cual se define una velocidad específica de muerte mínima dada por el propio metabolismo de la levadura y totalmente independiente de la agitación, y una función que describe el efecto de la agitación sobre la pérdida de viabilidad del microorganismo, con base a la teoría de los torbellinos (eddys) de Kolmogorov.

La función anterior define que las células mueren por efecto de la agitación sólo si el diámetro de los eddys es más pequeño que el diámetro de la levadura. La explicación es inmediata: si el diámetro del torbellino es más grande, la energía se utiliza simplemente para mover las células, mientras que en el caso contrario, un torbellino con área de acción menor puede dañar la membrana celular [10].
Energía disipada por el agitador. Se formula como la energía específica que suministra el agitador, para una velocidad de giro dada, definida por la teoría de Kolmogorov como:

Potencia entregada al fluido. Con la siguiente expresión se puede valorar la potencia que recibe el fluido desde el agitador:

Diámetro del torbellino. La siguiente expresión (según la teoría de Kolmogorov), permite encontrar el diámetro promedio de los torbellinos (eddys) en un sistema agitado:

Calor intercambiado con la chaqueta. Por medio de un balance de energía en el sistema de proceso fluido térmico en la chaqueta, bajo la simplificación mencionada arriba de tiempo de respuesta rápido de la chaqueta frente a un tiempo más largo en el reactor, se llega a [11]:

Calor generado por la fermentación. Se define un rendimiento de calor generado por biomasa producida, con lo cual se puede calcular el calor generado como :

Valor máximo de la velocidad específica de crecimiento. Se sabe que el crecimiento de la levadura se ve afectado por la temperatura y el pH del medio [12]. Estos efectos se añaden al modelo por medio de funciones que corrigen el valor de velocidad específica de crecimiento máximo óptimo (µopt), considerada como la velocidad de crecimiento cuando la temperatura y el pH están en un valor óptimo para la levadura:

Las funciones F(T) y G(pH) fueron propuestas en [13] como:

en la que:

y para la otra función:

con:

Coeficiente global de transferencia de calor. Se valora entre la chaqueta y el fluido en el interior del biorreactor, utilizando la formulación típica de "circuito térmico equivalente" de la transferencia de calor:

Coeficiente convectivo de transferencia de calor. Existen propuestas en la literatura que proponen formulaciones para calcular dicho coeficiente dependiendo, por ejemplo, del tipo de agitador que se está utilizando. Una de ellas es [14]:

Además de las ecuaciones anteriores, el modelo se completa con expresiones para la geometría del reactor y para algunas relaciones entre parámetros de diseño, todas fácilmente deducibles desde la teoría de diseño. Por cuestiones de espacio no se especifican aquí en detalle tales expresiones. Al lector interesado se le remite a libros de diseño y de ingeniería de procesos [15], [16], [17], [18], [19] y [20].
SOLUCIÓN DEL MODELO Y SU SIMULACIÓN
En lo que sigue, se muestran cuatro simulaciones del modelo del fermentador. En la Tabla 1, se presentan los valores de los parámetros utilizados para la simulación, todos tomados de las fuentes bibliográficas mencionadas en el punto 3.

Por la facilidad para programar y comprender su lógica, se utiliza el método de Euler para resolver las ecuaciones diferenciales que representan las dinámicas del proceso. Esto no implica que métodos más potentes para solucionar numéricamente ecuaciones diferenciales no puedan utilizarse en vez de Euler. Sin embargo, con el uso del método de Euler se favorece la didáctica del modelado y se facilita la aproximación a la simulación en ingeniería [21]. Con el modelo totalmente identificado (grados de libertad cero), se realizaron las siguientes simulaciones utilizando Matlab®. La Figura 2 muestra el resultado para una fermentación alcohólica que se realiza en 5 días, en un tanque de 5 L efectivos. Se inicia la simulación con un valor de biomasa X=5 kg/m3 y un valor de sustrato S=40 kg/m3. La concentración del sustrato que se alimenta es Sin=150 kg/m3, para una taza de dilución de 0.2 h-1.
Si ahora, por ejemplo, cambiamos la concentración de sustrato en el alimento Sin a un valor de 250 kg/m3, obtenemos otro tipo de resultado, puesto que la alta concentración de sustrato no permite un buen desempeño de la levadura, como lo muestra la Figura 3. Allí puede verse que la concentración de biomasa cae fuertemente y que se pierde una gran cantidad de sustrato. Este es justamente el efecto de inhibición por sustrato descrita por la ecuación 9. Es así como podemos variar ciertas entradas y ver como afecta el resultado de la fermentación. De ahí la buena capacidad predictiva del modelo, junto con su carácter descriptivo del fenómeno.

En una tercera simulación, en vez de cambiar la concentración de sustrato a la entrada, se cambio la escala del reactor, llevándolo de 5 a 50 litros. Los resultados se muestran en la Figura 4. Se evidencian ciertos efectos de inhibición, debida al estrés que se genera en un reactor más grande, en el cual para mantener el mismo nivel de agitación, debe aumentarse la potencia entregada al líquido. En consecuencia, se producen torbellinos mucho más fuertes y de menor tamaño, lo que aumenta la velocidad específica de muerte.

Finalmente, en la Figura 5 se muestra el efecto de llenado del reactor, pasando de un volumen inicial de 2.5 litros a un volumen final de 5 litros. Se nota el impacto que tiene el llenado sobre las dinámicas del sistema. La biomasa parece estar muriendo pero que luego toma fuerza en su crecimiento, mientras que la concentración de sustrato llega a niveles muy altos.

CONCLUSIONES
Se presentó en detalle un procedimiento para la construcción de Modelo semifísicos de Base Fenomenológica (MSBF), partiendo de la necesidad de contar con tal método de manera explícita, y sin demasiada carga heurística en sus pasos (que es lo frecuente se encuentra en los métodos disponibles desde la literatura).
El método es solo una herramienta útil para que tanto estudiantes como profesionales de ingeniería, encuentren una ruta de fácil abordaje y ejecución en los problemas de modelado. Se realizó un énfasis en las bases fenomenológicas que ponen a prueba los conocimientos básicos en cualquiera de las ramas de la ingeniería, pero en este caso aplicado en procesos biotecnológicos, que se puede decir, abarcan una amplia gama de los procesos industriales. Finalmente, aunque el modelado ha sido una técnica menospreciada tal vez por la dificultad que presenta obtener un modelo sin un método completo y detallado, el uso de modelos ha tomando fuerzas en la solución de problemas de diseño, escalado o control de procesos [22] y [23]. En tal sentido, el uso de modelos con un fuerte apego a la fenomenología subyacente al proceso, permite un acercamiento más certero y eficiente a la tarea desarrollada.
El interés de este artículo no fue solo mostrar el método como la herramienta descripta. El artículo pretende además, exponer con la brevedad del caso el modelo propuesto para el proceso de fermentación alcohólica, que pronto se adaptará en la investigación de nuevos procesos de obtención de etanol a partir de banano de rechazo. Este proceso busca solucionar en parte la actual demanda de etanol para fines de combustible en el país.
Se concluye que el modelo contempla eventos de peso que lo acercan al proceso real, entre estos están las inhibiciones por especies (biomasa, sustrato y producto), inhibiciones de intervalo de operación (pH y temperatura) y efectos atribuidos a la agitación. Éste, es un modelo decantado, con información seleccionada minuciosamente como la más apta para, no sólo predecir el proceso, sino para describirlo. Estas eran características deseadas para el modelo desde el inicio de su obtención (objetivo del modelo). El objetivo se logró, como lo demostraron las simulaciones presentadas.
Nomenclatura
VT Volumen del tanque. [m3]
V Volumen del caldo fermentativo. [m3]
F Flujo volumétrico. [m3/seg]
t Tiempo de fermentación. [seg]
X Concentración de biomasa. [Kg/m3]
P Concentración de producto. [Kg/m3]
S Concentración de sustrato. [Kg/m3]
T Temperatura. [°K]
pH pH
Tref Temperatura de referencia. [°K]
rX Velocidad de formación de biomasa. [Kg/m3seg]
rP Velocidad de formación de producto. [Kg/m3seg]
rS Velocidad de consumo de sustrato.[Kg/m3seg]
ρ Densidad. [Kg/m3]
CP calor especifico. [J/Kg°K]
Flujo de calor generado por la fermentación [J/seg]
Flujo de calor intercambiado con la chaqueta y/o el serpentín [J/seg]
µ Velocidad específica de crecimiento [seg-1]
Kd velocidad especifica de muerte [seg-1]
α Constante de producción asociada con el crecimiento
β Constante de producción asociada con el mantenimiento [seg-1]
Yx/s Rendimiento de biomasa por sustrato consumido [Kg célula/Kg sustrato]
Yp/s Rendimiento de producto por sustrato consumido [Kg producto/Kg sustrato]
Rendimiento de calor por sustrato
Km Constante de mantenimiento de la célula [Kg sustrato/Kg célula·seg]
µmax Velocidad expecífica máxima de crecimiento [seg-1]
Ks Constante de saturación de la célula [Kg/m3]
Ki Constante de inhibición por sustrato [m3/Kg]Pmax Concentración de producto máximo en el que la levadura crece [Kg/m3]
Xmax Concentración de biomasa máximo en el que la levadura crece [Kg/m3]
n Constante de inhibición asociado al producto
m Constante de inhibición asociado a la biomasa
Kdmin Velocidad especifica de muerte mínima [seg-1]v Viscosidad cinemática [m2/seg]
εT Energía disipada en el volumen del caldo [m2/seg2][J/Kg seg]
K Constante del modelo de Croughan dependiente de la célula y el reactor
λ Diámetro de los eddys [µm]
dLevadura Diámetro de la célula [µm]
U Coeficiente global de transferencia de calor [W/m2 °K]
Pot Potencia entregada por el agitador al caldo [J/seg] [W]
Da Diámetro del agitador [m]
µopt Velocidad expecífica óptima de crecimiento [seg-1]
Tmin Temperatura mínima en el que la célula vive [°K]
Tmax Temperatura máximo en el que la célula vive [°K]
Topt Temperatura óptima para el crecimiento de la célula [°K]
pHmin pH mínimo en el que la célula vive
pHmax pH máximo en el que la célula vive
pHopt pH óptimo para el crecimiento de la célula
Re Número de Reynold
Pr Número de Prandtl
N Velocidad de agitación [seg-1]
Np Número de potencia
k Conductividad del material del tanque [W/m°K]
hi Coeficiente convectivo en el lado del caldo [W/m2°K]
he Coeficiente convectivo en el lado del fluido térmico [W/m2°K]
µR Relación de viscosidades
Gc Factor de corrección geométrico
k Constante para la correlación del Nussel
a Constante para la correlación del Nussel
b Constante para la correlación del Nussel
c Constante para la correlación del Nussel
L Longitud característica [m]
Subíndices.
in En la entrada al reactor
out En la salida del reactor
0J En la entrada a la Chaqueta/Serpentín
J En la salida de la Chaqueta/Serpentín
REFERENCIAS
[1] RUÍZ, A.A. Factores de escala para la producción biotecnológica de etanol carburante. Propuesta de Tesis Doctoral en Ingeniería. Facultad de Minas. Universidad Nacional de Colombia, Sede Medellín. (2007). [ Links ]
[2] KALMAN, R. On the general theory of control systems. First IFAC congress. Moscow. (1960). [ Links ]
[3] HANGOS, K., AND CAMERON, I. Process Modelling and model analysis. Academic Press. (2001). [ Links ]
[4] AIBA, S., SHODA, M. and NAGATANI, M. Kinetics of product inhibition in alcohol fermentation. Bio-technology and bioengineering. Vol. 10, (1968). [ Links ]
[5] ATALA, D. Kinetics of ethanol fermentation with high biomass concentration considering the effect of temperature. Applied biochemistry and biotechnology. Vol. 91-93, (2001). [ Links ]
[7] CONVERTI, A. Mechanical mixing and biological deactivation: the role of shear stress application time. The biochemical engineering journal. Vl 62, (1996). [ Links ]
[8] GHALY, A.E. and EL-TAWEEL, A.A. Kinetics of batch production of ethanol from cheese whey. Biomass and Bioenergy, Vol. 6, No. 6, (1994). [ Links ]
[9] EDWARD, L.P., ATIEMO-OBENG, V.A. and KRESTA, S.M. Handbook of industrial mixing science and practice. Wiley-Inter-science. (2004). [ Links ]
[10] LEE, J. M., POLLARD, J. F. and COULMAN G.A. Ethanol fermentation with cell recycling: computer simulation. Biotechnology and bioengineering. Vol. 25, John Wiley & Sons Inc. (1983). [ Links ]
[11] COLOMBIÉ, S., MALHERBE, S. and SABLAYROLLES, J.M. Modeling of heat transfer in tanks during wine-making fermentation. Food control, No. 18, (2007). [ Links ]
[12] LEVENSPIEL, Octave. The Monod Equation: A revisit and generalization to product inhibition situation. Biotechnology and bioengineering, Vol 22, John Wiley & Sons Inc. (1980). [ Links ]
[13] ROSSO, L. Convenient model to describe the combined effects of temperature and pH on microbial growth. Applied and environmental microbiology. Vol. 61, No. 2, (1995). [ Links ]
[14] PERRY H., GREEN D.W. Manual del Ingeniero Químico. Mc Graw Hill. 7a ed. (2001). [ Links ]
[15] SEIDER, W., SEADER, J.D. and LEWIN, D. Process design principles: synthesis, analisis and evaluation. John Wiley and Sons. (1999). [ Links ]
[16] SHULER, M.L. and KARGI F. Bioprocess engineering: Basic concepts, Prentice Hall. (1992). [ Links ]
[17] TYAGY R.D. and GHOSE T.K. Batch and Multistage continuous ethanol fermentation of cellulose hydrolysate and optimum design of fermentor by graphical analysis. Biotechnology and bioengineering. Vol 22, John Wiley & Sons Inc. (1980). [ Links ]
[18] NAGAI, S. Advances in biochemical engineering. Mass and energy balances for microbial growth kinetics. (1979). [ Links ]
[19] DOURADO, A. Modeling and static optimization of the ethanol production in a cascade reactor. Biotechnology and Bioengineering. Vol 29, Jhon Wiley & Sns Inc., (1987). [ Links ]
[20] CONVERTI, A.A. Kinetic study of Saccharomyces Strains: Performance at high sugar concentration. Biotechnology and bioengineering. Vol 27, John Wiley & Sons Inc., (1985). [ Links ]
[21] CCOPA, E. Evaluation of optimization techniques for parameter estimation: application to ethanol fermentation considering the effect of temperature. Process Biochemistry, No 41, (2006). [ Links ]
[22] FERREIRA, L.S., DE SOUZA, M.B. and FOLLA, R.O. Development of an alcohol fermentation control system based on biosensor measurements interpreted by neural networks. Sensors and Actuators B, No. 75, (2001). [ Links ]
[23] LUEDEKING, R. and PIRET, E.L. Transient and steady states in continuous fermentation. Theory and experiment, Journal of biochemical and microbiological technology and engineering. Vol. 1, No. 4, (1959). [ Links ]












Flujo de calor [J/seg]
